Расчет одноконтурной системы автоматического управления

  • Вид работы:
    Курсовая работа (т)
  • Предмет:
    Информатика, ВТ, телекоммуникации
  • Язык:
    Русский
    ,
    Формат файла:
    MS Word
    103,68 Кб
  • Опубликовано:
    2014-03-27
Вы можете узнать стоимость помощи в написании студенческой работы.
Помощь в написании работы, которую точно примут!

Расчет одноконтурной системы автоматического управления

Міністерство освіти і науки України

Національний технічний університет

“ Харківський політехнічний інститут”

Кафедра АХТС та ЕКМ









Курсова робота з Теорії автоматизації керування

Виконала

студентка групи ІТ 39-б

Ігнатенко Д.Н.

Перевірила:

Печенко Т.І.






Харьков 2012

 

СОДЕРЖАНИЕ


Введение

1.       Определение динамических характеристик объекта

1.1 Определение дифференциального уравнения объекта

.2 Определение временных характеристик h(t), w(t)

.3 Определение и построение частотных характеристик

2.       Расчет оптимальных параметров настройки ПИ-регулятора

3.       Проверка устойчивости АСР по критерию Гурвица

.        Построение переходного процесса в АСР и его качество

.        Вывод

.        Список литературы

 

Введение


Автоматизация производства - одно из важнейших направлений научно-технического прогресса, развитие которого имеет объективный характер. Это связано, прежде всего, с тем, что благодаря автоматизации решаются задачи повышения продуктивности производства и улучшения условий труда. В процессе развития автоматизации и соответственно технических средств автоматизации можно выделить три существенных периода: начальный этап, этапы комплексной механизации и автоматизации и автоматизированных систем управления.

На начальном этапе, когда производство было низкопродуктивным, автоматизировались только те операции, управление которыми человек не мог осуществить надежно из-за своих психофизических показаний.

Переход ко второму этапу происходил в условиях роста продуктивности агрегатов и установок, развития материальной и научной базы автоматизации.

На третьем этапе автоматизация охватывает все более сложные функции управления, а центральной составляющей автоматизированной системы управления становится ЭВМ.

Теория автоматического управления является теоретической основой автоматизации, изучает принципы построения автоматических систем управления, а также их анализ.

1.       ОПРЕДЕЛЕНИЕ ДИНАМИЧЕСКИХ ХАРАКТЕРИСТИК ОБЪЕКТА


1.1     Определение дифференциального уравнения объекта

настройка регулятор частотный временной

Дифференциальное уравнение объекта определяет зависимость изменения выходной величины от входной функции времени и полностью характеризует динамические свойства объекта. В теории автоматического управления принято в левой части уравнения записывать выходную величину и все ее производные, причем сама выходная величина записывается с коэффициентом равным единице. Все входные величины записываются в правой части дифференциального уравнения, которое легко получить по переходной функции объекта.

 

 

С помощью преобразования Лапласа получим дифференциальное уравнение объекта по его изображению:

 

 

1.2 Определение временных характеристик h(t), w(t)

Временной переходной характеристикой h(t) называется такая функция, которая показывает, как изменяется выходная величина во времени при подаче на вход звена или объекта единичного скачка или ступенчатого воздействия - 1(t).

Единичный скачок - стопроцентное изменение входной величины, возмущающее воздействие от полного открытия клапана до его полного закрытия.

Достоинства временных и частотных характеристик состоит в том, что они могут быть определены как аналитически, так и экспериментально. Все характеристики взаимосвязаны между собой. Самым трудным для системы возмущающим воздействием является скачок.

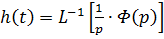
Для того чтобы найти переходную характеристику h(t), которая определяется только динамическими свойствами звена или объекта, необходимо решить дифференциальное уравнение на единичный скачок Хвх=1(t). Объект первого порядка описывается уравнением:

 

Единичное ступенчатое воздействие описывается функцией:

 

При подаче на вход разомкнутой системы с передаточной функцией W(p) входной величины хвх =1(t) на выходе получаем переходную характеристику хвых=h(t). Входная и выходная величины в преобразованном виде записываются так:

 

С учетом этих соотношений получаем:

 или

 

С помощью обратного преобразования Лапласа можно определить переходную функцию разомкнутой системы:

 тогда

Зная дифференциальное уравнение первого порядка, построим график временной переходной характеристики.

Определим корень характеристического уравнения для данного дифференциального уравнения:

 

 

Константу интегрирования С найдем из начальных условий:

 

 

 

t

h(t)

0

0

35

0,251

45

0,308

70

0,427

90

0,504

120

150

0,66

180

0,709

220

0,756

280

0,798

310

0,811

400

0,834

500

0,844



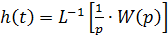
Импульсная переходная характеристика w(t) показывает изменение выходной величины во времени при подаче на вход функции Дирака δ(t) или единичного импульса.

Интеграл от единичного импульса равен единице.

Импульсная характеристика связана с переходной характеристикой h(t). Чтобы найти импульсную характеристику w(t) необходимо взять производную от h(t).

 

 

Изменяя время t, составим таблицу.

t

w(t)

0

0,0085

35

0,0059

45

0,0054

70

0,0042

90

0,0034

120

0,0025

150

0,0019

180

0,0014

220

0,000094

280

0,00052

310

0,00038

400

0,00016



1.3 Определение и построение частотных характеристик

Важной динамической характеристикой звеньев и систем автоматического управления есть частотные характеристики. На основании их использования разработаны инженерные частотные методы исследования АСР, достоинство которых заключается в том, что частотные характеристики позволяют определить влияние того или иного параметра на динамические свойства системы (устойчивость, переходной процесс). Частотные характеристики можно определить экспериментально. Это важно в тех случаях, когда сложно составить уравнение динамики. Частотные характеристики звеньев и систем строятся на основе их комплексных передаточных функций.

КПФ - это отношение выходной величины, преобразованной по Фурье, к входной величине, преобразованной по Фурье, при нулевых начальных условиях. Для того, чтобы получить комплексную передаточную функцию необходимо в передаточную функцию W(p) вместо (p) подставить (jω).

 

Частота колебаний на входе и выходе одинаковая, а амплитуда и фазовый сдвиг входных и выходных колебаний различны.

Амплитудно-частотная характеристика - это отношение амплитуды выходного сигнала к амплитуде входного сигнала на данной частоте, - она показывает, как звено пропускает данный сигнал.

 

Фазочастотная характеристика - сдвиг по фазе между выходным и входным сигналом на данной частоте.

 

АФЧХ - геометрическое место точек, которое представляет собой след, который оставляет модуль КПФ (АЧХ) при изменении w от 0 до бесконечности, а угол между этим модулем и положительным направлением вещественной оси представляет собой аргумент КПФ (ФЧХ).

Построение частотных характеристик объекта производим по известной передаточной функции, в которой производится подстановка jw вместо p, после чего получаем КПФ W(jω). График W(jω) есть АФЧХ. Разделив W(jω) на реальную и мнимую часть, находим модуль A(ω) и аргумент φ(ω) КПФ.

 

 

 

Выделим реальную Re(ω) и мнимую Im(ω) части КПФ.

 

Найдем модуль и аргумент АФЧХ.

 

 

Расчет частотных характеристик проводим на ЭВМ. Результаты расчетов представлены в таблице №3, графики W(j), A(ω), приведены на рисунках 3, 4, 5.

2.       Расчет оптимальных параметров ПИ-регулятора


Существуют 2 метода расчета оптимальных параметров настройки регулятора:

1.       Точный расчет с помощью РАФЧХ

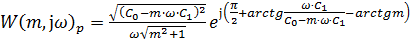
Порядок расчета оптимальных параметров настройки регуляторов аналогичен расчету области устойчивости, только вместо нормальных W(jw) применяют расширенные W(m, jw). Получают не область устойчивости, а линию равную степени затухания.

РАФЧХ получают заменой в W(p) оператора Лапласа (p) на (j-m)ω, m - степень колебательности системы.

Всегда расчет ведут на заданную степень затухания.

Передаточная функция объекта - апериодическое звено первого порядка.

 

Передаточная функция ПИ регулятора

 

Условие нахождения на границе устойчивости представляем в виде:

 

Выражение расширенной амплитудно-фазо-частотной характеристики получаем из W(p) и W(p) подстановкой вместо p - (j-m)ω:

 

 

На основании этого можно записать:

 

 

Находим выражение для параметров настройки регуляторов С0 и С1:

 

Подставляем численные значения k, T, m и , изменяя частоту от 0 до ω, средние частоты среза рассчитываем на ЭВМ параметры настройки C0 и C1 табл.4, рисунок 6.

3.       Проверка устойчивости по критерию Гурвица


.1 Формулировка критерия Гурвица

По критерию Гурвица система автоматического управления будет устойчива, если основной определитель Гурвица и все его диагональные миноры будут положительны.

Определитель Гурвица составляется следующим образом:

.)       По диагоналям вписываются все коэффициенты характеристического уравнения замкнутой системы, начиная со второго и по последний.

.)       Заполнение определителя идёт по столбцам

.)       Выше диагональных коэффициентов идут коэффициенты, стоящие после него. Вниз идут коэффициенты, стоящие до него.

.)       Диагональные миноры определяются вычёркиванием справа и снизу последовательно по одной строке и по одному столбцу и т.д.

Передаточная функция замкнутой системы:

 

 

 

 

Характеристическое уравнение замкнутой АСР:

 

 

Приводим к общему знаменателю, затем числитель приравниваем к нулю.

 

Составляем определитель Гурвица.

 

 

 

 

Вывод: Получим что основной определитель Гурвица и все его диагональные миноры положительные. Следовательно, система автоматического регулирования устойчива.

4.       Построение переходного процесса в АСР


Переходной процесс можно определить по передаточной функции замкнутой системы.

 

 

 

От изображения переходим к дифференциальному уравнению:

 

Данное уравнение решаем на ЭВМ методом Рунге-Кута.

Переходной процесс приведен на рисунке 7.

 

Вывод


В данной курсовой работе приведен расчет системы автоматического управления, производится оптимизация параметров настройки регулятора, проверка устойчивости системы, анализ качества переходного процесса в системе.

Математическая модель объекта включает в себя описание его динамики и статики. Временные и частотные характеристики определили моделированием на ЭВМ. Расчет оптимальных параметров настройки регуляторов произвели с помощью РАФЧХ на ЭВМ, а также построение переходного процесса путем решения дифференциального уравнения с использованием преобразования Лапласа.

 

Список литературы


1)                Математические основы теории автоматического регулирования / под ред. Б. К. Чемоданов - М. Высш. Школы, 1971.

2)      Методические указания к курсовой работе по ТАУ. Сост. Т. И. Печенко - ХПИ, 1987.

)        Бессекорский Б. А., Попов Е. П. Теория систем автоматического управления. - М.: Наука, 1975.

)        Стефании Е. П. Основы расчета настройки регуляторов теплоэнергетических процессов - М.: Энергия, 1972.

Похожие работы на - Расчет одноконтурной системы автоматического управления

 

Не нашли материал для своей работы?
Поможем написать уникальную работу
Без плагиата!
Без нейросетей!