|
Переходный процесс по каналу возмущения27
|
|
|
Порядок звена для аппроксимации
|
1
|
|
Входной сигнал датчика, ед. изм. вел.
|
-100 - 150
|
|
Выходной сигнал датчика, мА
|
0,5
|
|
Инерционность датчика, с
|
2
|
|
Тип процесса
|
С 20 % перерегулированием
|
|
Входной сигнал преобразователя, мА
|
0 - 5
|
|
Выходной сигнал преобразователя, кгс/см2
|
0,2 - 1
|
|
Инерционность преобразователя, с
|
0,1
|
|
Входной сигнал исполнительного механизма,
кгс/см2
|
0,2 - 1
|
|
Выходной сигнал исполнительного механизма, %
хода рег. органа
|
0 - 100
|
|
Инерционность исполнительного механизма, с
|
0,8
|
|
Канал для построения переходного процесса
|
Задание
|
Аппроксимация
передаточной функции объекта управления по каналу управления передаточной
функцией звена первого порядка с запаздыванием
Строим экспериментальную кривую разгона по исходным данным.
Кривая разгона представлена на рис 1.
Рис. 1 Экспериментальная и расчетная кривые разгона
По экспериментальной кривой разгона делаем аппроксимацию
передаточной функции объекта управления по каналам управления и возмущения
передаточной функцией звена первого порядка с запаздыванием. Рассчитать
величину достоверности аппроксимации.
Строим касательную по заданным точкам (см. рис 1). Получаем
уравнение касательной
y = 2,4075x - 21,112
Получаем характерные точки:
Пересечения касательной с осью абсцисс: y=0; x1=8,77
Пересечения касательной с осью асимптотой: y=68,9; x2=37,39
По графику определяем необходимые значения:
t - запаздывание по
времени, определяется как отрезок от начала координат до пересечения с осью
абсцисс (t=8,77).
Т - постоянная времени, определяется как разность
вспомогательных точек касательной
T=x2-x1=37,39-8,77=28,62
K - коэффициент усиления объекта, определяется как
максимальное значение выходной величины K=68,9.
Таким образом, согласно полученным данным, передаточную
функцию объекта управления можно приблизительно записать так:
где К - коэффициент усиления объекта, Т - постоянная времени, τ - запаздывание.
Для построения расчетного переходного процесса необходимо найти Y расчетное по формуле:

Расчет
величины достоверности аппроксимации
Для определения величины достоверности аппроксимации
используем формулы:
, R^2= 0,999
Так как величина достоверности аппроксимации больше 0,9
следовательно, она входит в допустимый предел и можно считать, что мы описали
объект с достаточной точностью.
Расчет
передаточных функций датчика, преобразователя и исполнительного механизма
Определяем передаточные функции прочих известных частей
системы.
Для того чтобы систему можно было считать линейной, будем
исходить из того, что эти значения не выходят за предельные в процессе
функционирования системы. Для определения коэффициента преобразования можно
воспользоваться формулой:
Вместо постоянной времени в передаточную функцию подставляется
значение инерционности.
аппроксимация управление передаточный датчик
Для датчика: Кд= 
=0,017; Тд=2
Для преобразователя: Кпр=
; Тпр=0,1
Для исполнительного механизма: Кисп=
; Тисп. м. = 0,8
Для объекта: К=68,9; Т=28.62
Если звено более чем в 10 раз менее инерционно, значит можно
считать что оно усилительное Т/Тд=28,62/2=14,31>10, поэтому звено считаем
усилительным
Wд (р) = 
=0,017
Т/Тпр=28,62/0,1=286,2>10. поэтому звено считаем усилительным
Wпр (р) =
=0,16
Т/Тим=28,62/0,8=35,78>10. поэтому звено считаем усилительным
Wисп. м. (р)
=
=125
Датчик, преобразователь и исполнительный механизм в данной работе
можно считать усилительными звеньями.
Расчет передаточной
функции эквивалентного объекта управления, представляющего собой
последовательное соединение всех известных звеньев системы
Передаточную функцию эквивалентного объекта получим,
используя правила последовательного соединения звеньев, согласно которым
передаточная функция представляет собой произведение передаточных функций всех
соединенных звеньев.
Передаточная функция эквивалентного объекта управления будет
равна:
Получили звено 3 порядка. Для упрощения вычислений
отбрасываем члены с наименьшей инерционностью (0.5p+1). Получаем звено 2
порядка.

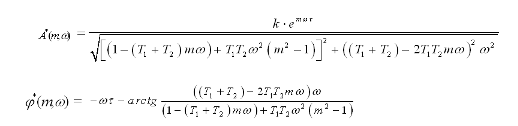
Подставляем числа в формулы. РАЧХ приведена на рисунке 2,
РФЧХ - на рисунке 3.
Рис. 2 Расширенная амплитудная характеристика

=
Рис. 3 Расширенная фазово-частотная характеристика
После получения формул для расширенных частотных характеристик мы
переходим к определению настроек регулятора. Для этого необходимо построить на
плоскости настроек кривую равной степени колебательности m. Для построения кривой используются формулы:
, 
величина, обратная постоянной времени регулятора.
,
коэффициент преобразования регулятора.
Кривая представлена на рис.4.
Рис. 4 Кривая равной степени колебательности m=0,366
После построения кривой на плоскости настроек, находим точку S0=max и значение частоты, соответствующее этой
точке. По методу расширенных частотных характеристик
= 0,143. Результаты расчетов П, И, ПИ,
ПИД-регуляторов в приведены в таблице 1:
Таблица 1 - Настроечные
параметры регуляторов
|
П
|
И
|
ПИ
|
ПИД
|
|
S0
|
-
|
0,001
|
0,001
|
0,001
|
|
S1
|
0,0068
|
-
|
0,0084
|
0,0084
|
|
S2
|
-
|
-
|
-
|
0,004
|
2=4*S0=4*0,001=0,004
Запишем математические выражения всех регуляторов:
WП=S1=0,0068, Wи=
WПИ=
WПИД=
Проверка
полученных систем на устойчивость
Проверку проводим по критерию Найквиста. Для этого в среде Matlab получаем передаточные
функции разомкнутых систем с разными типами регуляторов, используя
последовательное соединение звеньев. АФХ полученных систем представлены на
рисунках 5 - 8.
Рис. 5 АФХ разомкнутой системы с П-регулятором
Рис. 6. АФХ разомкнутой системы с И-регулятором
Рис. 7. АФХ разомкнутой системы с ПИ-регулятором
Рис. 8. АФХ разомкнутой системы с ПИД-регулятором
Поскольку ни одна из полученных АФХ не охватывает критическую
точку, все полученные системы устойчивы.
Определение
запасов устойчивости полученных систем
С помощью программной среды Matlab определяем запасы
устойчивости полученных систем управления.
Частотные характеристики полученных систем представлены на
рисунках 9 - 12.
Рис. 9 Частотные характеристики разомкнутой системы с П-регулятором
Рис. 10 Частотные характеристики разомкнутой системы с
И-регулятором
Рис. 11 Частотные характеристики разомкнутой системы с
ПИ-регулятором
Рис. 12 Частотные характеристики разомкнутой системы с
ПИД-регулятором
Запасы устойчивости представлены в таблице 2:
Таблица 2-Запасы устойчивости регуляторов П, И, ПИ, ПИД.
|
Тип регулятора
|
П-регулятор
|
И-регулятор
|
ПИ-регулятор
|
|
Н
|
0.808
|
0.853
|
-0.12
|
0.607
|
|
γ, є
|
180
|
180
|
-7.4
|
53
|
Все запасы устойчивости отвечают стандартным требованиям для
такого рода систем.
Качество
переходных процессов в замкнутых системах управления
Построение
переходных процессов в замкнутых системах управления
В данной курсовой работе требуется построить переходные
процессы в замкнутых системах по каналу задания.
По правилам построения передаточных функций замкнутых систем:
Учитывая наличие запаздывания в объекте управления, для
построения переходных процессов в системе, все ее звенья необходимо представить
в виде уравнений в пространстве состояний. Для этого воспользуемся
возможностями среды Simulink (рисунок 13). Переходные процессы представлены на рисунке
14.
Рис. 13 Моделирование переходных процессов в среде Simulink
Рис. 14 Переходные процессы по каналу задания П, И, ПИ, ПИД -
регуляторов
Определение
прямых показателей качества полученных процессов
Чтобы сделать окончательные выводы о качестве регулирования,
необходимо определить прямые показатели качества построенных переходных
процессов.
Время регулирования определяем по графику.
Динамическая ошибка:
Статическая ошибка:
Степень затухания:
Показатели качества представлены в таблице 3:
Таблица 3. Показатели качества регуляторов П, И, ПИ, ПИД
|
Тип регулятора
|
П-регулятор
|
И-регулятор
|
ПИ-регулятор
|
ПИД-регулятор
|
|
А
|
0
|
0
|
0
|
0.15
|
|
Δ
|
0.73
|
0
|
0
|
0
|
|
 , с178014045
|
|
|
|
|
|
Ψ,%
|
100
|
100
|
100
|
100
|
Из данных представленных в таблице видно, что статическую
ошибку дает только П-регулятор, самое большое время регулирования дает
И-регулятор, а самое маленькое П-регулятор, степень затухания у П-, И - и
ПИ-регуляторов близка к заданной, а у ПИД-регулятора отличается, что
обусловлено ручным выбором одной из настроек. Максимальную динамическую ошибку
дает ПИ-регулятор.
Учитывая все вышесказанное, наибольшее качество регулирования
обеспечивает ПИД-регулятор, позволяющий добиться точного регулирования, при
минимальной динамической ошибке и достаточно небольшом времени регулирования.
Выводы
1. В данной работе была проведена
аппроксимация экспериментально полученной кривой разгона объекта управления
уравнением звена второго порядка с запаздыванием. Рассчитанная величина
достоверности аппроксимации больше 0,9, можно считать, что объект описан с
достаточной точностью.
2. Получили передаточные функции датчика,
преобразователя и исполнительного механизма, и, путем сравнения инерционности
этих звеньев и объекта управления, установили, что: датчик, преобразователь и
исполнительный механизм в данной работе можно считать усилительными звеньями.
3. Используя правила последовательного
соединения звеньев, получили передаточную функцию эквивалентного объекта.
4. Методом расширенных частотных
характеристик произвели расчет настроек П-, И - и ПИ - регуляторов, используя
данные о желаемом переходном процессе в системе. Настройки ПИД-регулятора
получили на основе настроек ПИ-регулятора, добавив дифференциальную
составляющую.
5. Проанализировали устойчивость всех
полученных систем и определив запасы устойчивости, установили, что они отвечают
стандартным требованиям для такого рода систем.
6. Построили переходные процессы в
полученных замкнутых системах управления по каналу задания и сравнили
показатели качества. В результате сравнения пришли к выводу, что оптимальным
для данного объекта является ПИД-регулятор.