Статистика рівня життя населення
МІНІСТЕРСТВО ОСВІТИ І НАУКИ УКРАЇНИ
Національний авіаційний університет
Кафедра фінансів, обліку і аудиту
КУРСОВА РОБОТА
з дисципліни
СТАТИСТИКА
Тема:
"Статистика рівня життя
населення”
Виконав студент 211 гр. ФЕП
Спец.6.030503 "Міжнародна економіка"
Копиленко Андрій Вячеславович
План
Вступ
Теоретична частина. Економічна сутність, види та джерела формування
доходів населення
1. Рівень задоволення життєвих потреб
2. Вартість життя населення
3. Споживчий попит населення
4. Міра споживання
5. Умови життя
6. Рівень зайнятості
Висновок (до теоретичної частини)
Практична частина
Список використаної літератури
Вступ
Дана курсова робота складається з двох частин:
теоретичної та практичної.
Головною метою теоретичної частини даної курсової
роботи є засвоєння знань зі статистики набутих протягом навчального року, а
також їх поглиблення з теми "Статистика рівня життя населення".
Рівень життя населення як соціально-економічна категорія являє собою рівень і
ступінь задоволення потреб людей у матеріальних благах, побутових і культурних
послугах. Тому аналіз життєвого рівня населення дає можливість визначити
основні напрямки вдосконалення соціально-економічної політики держави. В
розрізі цієї теми ми зможемо побачити, які показники входять до цієї статистики
та як вони використовуються.
Загалом, рівень життя - багатогранне явище, що
залежить від безлічі різноманітних причин, починаючи від території, де проживає
населення, тобто географічних факторів, і закінчуючи загальною
соціально-економічною й екологічною ситуацією, а також станом політичних справ
у країні.
Практична частина, яка складається з п’яти
завдань, несе на меті освоєння матеріалу та вміння практично застосовувати
набуті навички.
Теоретична
частина. Економічна сутність, види та джерела формування доходів населення
З набуттям Україною незалежності, підвищенням
ролі державної статистики в процесі соціально-економічної і політичної
розбудови держави, а також в результаті ухвалення курсу на інтеграцію в
міжнародне Європейське співтовариство відбулися якісні зміни у підходах до
визначення категорії рівня життя та структурні зміни в оцінці життєвого рівня
населення [3, с.48].
За класичним визначенням життєвий рівень
населення - це складна й багатовимірна соціально-економічна категорія, що
виражає ступінь задоволення матеріальних і духовних потреб населення.
В усі часи класична модель категорії життєвого
рівня є чинною і не втрачає свого значення. Але під впливом об'єктивних
діалектичних закономірностей розвитку суспільства змінюються структура потреб
людей та норми задоволення цих потреб. Для кожної окремої спільноти ці зміни
визначаються особливостями розвитку та існування конкретного суспільства,
держави і в цілому світового співтовариства.
Механізм цієї взаємодії можливо прослідити,
реалізовуючи підхід до життєвого рівня як складної категорії макро- і
мікрорівнів існування. Так, з розвитком НТП та звершенням НТР людство перейшло
на якісно новий технологічний рівень розвитку, в усіх сферах життя суспільства
і функціонування економіки запанували інформаційні технології. І структура
матеріальної забезпеченості населення об'єктивно увібрала в себе потребу якщо
не в "тотальному" володінні, то хоча б у вільному доступі і
використанні населенням комп'ютерних технологій, мобільного зв'язку, ресурсів
світової мережі Internet тощо.
Ще одним прикладом може служити осягнення
світовим співтовариством екологічної проблеми, зверненням до збереження і - на
даному етапі - вже до відновлення навколишнього природного середовища. І це
відповідним чином вплинуло на потреби людей. В наше життя увійшли поняття
"екологічно чистий продукт", "екологічно чистий регіон",
"незабруднена територія", "вироблено з натуральної
сировини" тощо. Отже, змінюється не лише структура потреб, але й
зумовлений дією об'єктивних факторів якісний рівень їх задоволення, що
безперечно має віднайти відображення у категорії життєвого рівня та підходах до
його визначення.
Внаслідок соціально-політичних зрушень в
українському суспільстві в рамках світового співтовариства особливо важливе
значення для характеристики життєвого рівня населення здобуває реальне
здійснення прав і свобод громадян: свобода слова, переконань, віросповідання,
пересування, право на гідне життя, на працю, на відпочинок, на освіту, на
соціальний захист тощо.
Коли дія ієрархії потреб, побудованої Маслоу,
стає чинною не лише стосовно окремих індивідів, а в масштабах всього
суспільства, категорія життєвого рівня не може залишатися константою і не
відображати ці зміни. Вона динамічна, існує і розвивається разом з
суспільством, в межах визначеного державного устрою [20, с.54].
У зв'язку з цим необхідно розрізняти різні щаблі
існування категорії життєвого рівня населення відповідно до визнаних
суспільством і державою потреб, покладених в її основу. При цьому характерним є
існування та використання категорії життєвого рівня разом з цілим комплексом
синонімічних та близьких за значенням термінів, як от: народний добробут,
вартість, якість та умови життя населення.
Так, найчастіше під рівнем життя населення
розуміють його добробут, що проявляється у забезпеченості населення необхідними
матеріальними благами й послугами, рівні їх споживання, який вже досягнуто, та
ступеня задоволення раціональних потреб.
Грошова оцінка благ та послуг, що фактично
споживаються та відповідають визначеному рівню задоволення потреб, являє собою
вартість життя населення.
Термін "якість життя населення"
найчастіше застосовують у випадку широкого розуміння поняття життєвого рівня
через включення до нього аспектів умов життя, зайнятості населення, його
здоров'я, освіти, оточуючого природного середовища. Умови життя можна укрупнено
поділити на умови побуту, праці й дозвілля. В свою чергу, умови праці включають
сані-тарно-гігієнічні, психофізіологічні, естетичні та соціально-психологічні
умови. Умови побуту - це забезпеченість населення житлом, його якість, розвиток
мережі побутового обслуговування, стан торгівлі, громадського харчування і
транспорту, медичне обслуговування населення. Умови дозвілля пов'язані з
використанням вільного часу людей - частини позаробочого часу, яка призначена
для розвитку особистості, більш повного задоволення її соціальних, духовних та
інтелектуальних потреб.
З розробкою в рамках ПРООН концепції людського
розвитку спостерігається тенденція до характеристики рівня життя населення
через індекс людського розвитку - ІЛР, і перехід до цієї категорії як до
синоніму життєвого рівня населення, що також є відображенням об'єктивних
процесів переорієнтації цінностей у міжнародному співтоваристві. Така
популярність ІЛР викликана зручністю для міжнародних (територіальних)
порівнянь, хоча виділення тільки індикаторів 3-х аспектів життя населення
(матеріальне забезпечення, рівень освіти, демографічна ситуація), а також
умовний підхід до них як до рівновагомих, перешкоджають використовувати ІЛР для
всебічного аналізу життєвого рівня.
Через неможливість характеристики життєвого рівня
за допомогою якого-небудь одного показника оцінювати й досліджувати цю
категорію можливо лише з використанням системи статистичних показників. На
сьогоднішній день створено цілий ряд систем показників рівня життя населення
Якщо об'єднати і узагальнити існуючі вітчизняні та міжнародні системи
показників життєвого рівня населення. На даному етапі розвитку в українському
суспільстві здійснюється перехід від категорії життєвого рівня, що характеризує
ступінь задоволення потреб, до категорії, що характеризує можливості
суспільства із забезпечення життя, діяльності та всебічного розвитку людини.
Життєвий рівень має виражатися сукупністю суспільних відносин і умов, що
характеризують життя, працю, побут та інтелектуально-культурний розвиток людей,
їх свободу й правову захищеність. Підвищились вимоги до цієї категорії і,
відповідно, з'явилась необхідність відпрацювати нові механізми статистичної
оцінки і характеристики життєвого рівня населення [7, с.68].
Традиційно у вітчизняній теорії та практиці
категорія "рівень життя" характеризується даними досягнутого рівня
доходів, витрат та споживання населенням благ та послуг, диференціацією за
рівнем доходів. З метою удосконалення статистичного вивчення рівня життя ДКСУ
здійснюються розрахунки модельного набору соціальних індикаторів життєвого
рівня населення, що містить 27 показників, об'єднаних за групами у
макроекономічні показники, показники матеріального забезпечення, особистого
споживання, житлових умов та соціальної напруженості.
Статистичні показники життєвого рівня
розраховуються, як правило, на одного середньостатистичного жителя. Але
враховуючи сучасний підхід до населення країни як до сукупності сімей чи
домогосподарств, безпосередньо в яких і формується добробут, здійснюється
дослідження рівня життя по відношенню до всього населення, до сімей,
домогосподарств (особливо з різною величиною доходу), до окремих соціальних
груп.
Змінилися акценти у використанні показників рівня
життя - вони дещо змістилися від вимірювально-оцінювальної в бік
оцінювально-зіставної функції. Об'єктивні вимоги розвитку суспільства вже
вимагають не часткових даних, а більш узагальнюючих, всеохоплюючих досліджень
життєвого рівня з акцентом на соціальні аспекти. Підвищена увага приділяється
використанню показників рівня життя для проведення на об'єктивній розрахунковій
основі зіставлень у часовому розрізі, за окремими доходно-майновими групами
населення, територіальних порівнянь (за різними регіонами країни, міжнародні
порівняння).
Подавши представлену модель категорії життєвого
рівня у розрізі статистичних показників (запропонованих у якості індикаторів),
що використовуються у відповідних дослідженнях, отримуємо складну багатовимірну
систему статистичних показників відносно різних об'єктів і напрямків аналізу
життєвого рівня населення. Її дійсно можна назвати всеохоплюючою, такою що
включає і макро-, і мікрорівні існування категорії життєвого рівня. Водночас
вона не дає цілісного уявлення про рівень життя в даний момент часу й у динаміці,
а також мало придатна для проведення порівняльного аналізу рівня життя
населення різних соціальних груп, регіонів або держав [7, с.70].
Більшість з показників є основними і традиційними
для галузей статистики, що займаються дослідженням окремих аспектів життя
населення, хоча і мають свою специфіку у вітчизняній системі статистики.
Зокрема, в основу дослідження життєвого рівня населення України покладений
аналіз витрат, а не доходів. Віднесення окремих показників до характеристик
певних аспектів є досить умовним, наприклад, показники соціального забезпечення
можуть використовуватись при аналізі доходів, споживання, умов праці тощо.
Певні представлені показники не витримують критики з приводу їх обрахунку та
використання у практичних дослідженнях, а показники деяких аспектів дослідження
життєвого рівня взагалі складно подати в конкретних величинах, що становить
певну наукову проблему. Існує також проблема інформаційного забезпечення
подібного всеохоплюючого дослідження життєвого рівня населення.
Розглянуті схема та система показників свідчать,
наскільки складним і багатофакторним є явище життєвого рівня населення, і
наскільки складно проводити узагальнююче всеохоплююче дослідження і
статистичний аналіз цього явища. Враховуючи підвищення ролі оцінювально-зіставної
функції статистичних показників, виникає проблема багатовимірного зіставлення
результатів такого аналізу.
статистика рівень життя населення
Тому потрібно обґрунтовано підійти до
формулювання відповідної системи показників, тобто визначити з усього апарата
статистичних показників певної галузі статистики справжні індикатори даного
аспекту дослідження. Таким чином, можливо вирішити не лише проблему
адекватності побудованої системи, але й проблему скорочення числа показників
задля розширення можливостей й підвищення зручності використання подібного
аналізу. На фоні діючої в Україні системи регіонального самоврядування
актуальність проведення таких досліджень не викликає сумнівів.
Через це виникає потреба визначити її базові
аспекти, які в умовах сучасного соціально-економічного і політичного розвитку
України дійсно можна використовувати без загрози викривлення аналітичних
результатів дослідження життєвого рівня за розгорнутою моделлю трактування.
Відповідно до цього доцільно проводити дослідження окремих аспектів життєвого
рівня, об'єднаних категорією соціально-економічного становища населення.
Аналіз соціально-економічного становища населення
як основної складової категорії життєвого рівня може проводиться за
індикаторами з показників наступних аспектів:
· демографічної ситуації;
· економічного становища
населення;
· стану здоров'я;
· освіти;
· зайнятості;
· соціальної напруги;
· житлових (побутових)
умов;
· умов праці;
· екологічної ситуації.
Фактично категорія соціально-економічного
становища населення охоплює соціальний, економічний та демографічний аспекти
життєвого рівня. Представлена структура її індикаторів відображає підвищення
значущості соціальних аспектів у механізмі реалізації державної політики
України в умовах соціально орієнтованої ринкової економіки. Наступним кроком
побудови загального механізму дослідження соціально-економічного становища
населення має стати обґрунтування системи відповідних статистичних індикаторів,
виходячи з критерію існуючої інформаційної бази та практичного застосування
саме до регіональних порівнянь життєвого рівня населення України.
В світі питання нормативної регламентації рівня
життя населення є досить проблемний, оскільки не існує чітко визначеної
розробленої універсальної правової бази. Єдиним джерелом регулювання дотримання
прав та свобод людини є міжнародні угоди, договори та конвенції і хартії. На
сьогодні найбільш суттєвим нормативним документом в даному відношенні є
"Конвенція ООН з прав людини". Всі інші аспекти захисту прав і свобод
регламентуються на основі двосторонніх та багатосторонніх домовленостей між
країнами.
В Україні основними нормативними джерелами
регулювання рівня життя та соціального захисту населення є ряд законодавчих
актів, кодексів та інших нормативних документів [23, с.133].
Першим важливим джерелом правового забезпечення
рівня життя населення є Конституція України. В ній викладено основні принципи
законодавчого регулювання рівня життя населення. Вона доктринально окреслює
основні пріоритети формування соціальної політики України.
Іншими важливими нормативними документами є
кодекси та закони. Кодекси містять систематизовані збірки нормативних актів, що
регламентують той чи інший аспект функціонування соціальної сфери в Україні.
Важливими у цьому значенні є Цивільний кодекс, Кодекс законів про працю. Серед
законодавчих актів на особливу увагу заслуговує такий важливий нормативний акт
як Закон України "Про державний бюджет України". В цьому законі
міститься фінансово-економічне підтвердження основних напрямків проведення
соціально-економічної політики на відповідний рік.
Слід за законами йдуть укази Президента України
(наприклад, "Про основні напрями соціальної політики" на відповідний
рік, тощо), постанови Кабінету міністрів, рішення відповідних міністерств та
відомств, листи, накази, інструкції.
Однак, незважаючи на величезну кількість
нормативно-правових актів, що регулюють рівень життя населення, на сьогодні
більшість з них носить лише умовний характер, оскільки на практиці основні
вимоги та напрямки державної політики часто не виконуються. Більшість
нормативних актів часто мають суперечливу основу, що створює серйозні проблеми
процесі прийняття їх до виконання.
Доходи та рівень життя населення в системі
економічних категорій
В умовах сучасного функціонування ринкового
механізму та структурних змін в економіці держави зазнало трансформації
формування доходів населення, їх використання та система розподілу. Найбільшу
питому вагу у структурі грошових доходів населення становить оплата праці.
Заробітна плата як соціально-економічна категорія є основним джерелом грошових
доходів працівників і разом з тим є головним рушієм соціально-економічного
розвитку держави. Вона забезпечує не лише відтворення робочої сили, але й стає
вагомим чинником відтворення суспільного виробництва та виступає основним регулятором
ринку праці.
Сутність політики доходів полягає в
безпосередньому встановленні державою такої верхньої межі збільшення
номінальної заробітної плати, яка сприяла б виконанню основних задач і
реалізації пріоритетів, що стоять перед економікою.
Конкретне формулювання окремих положень політики
доходів в різних країнах різне [16].
На практиці не існує двох повністю ідентичних
варіантів розвитку політики доходів. У механізмі здійснення і формах прояву
цієї політики в кожній конкретній державі розрізняються наступні особливості,
що зумовлені:
соціально-економічним і політичним
розвитком тієї або іншої країни;
- ступенем і характером втручання держави
в питання регулювання заробітної плати;
традиціями висновку колективних
договорів;
соціальною напруженістю у суспільстві.
Головним об'єктом усіх варіантів політики доходів
є заробіток робітника в цілому, у тому числі ставка заробітної плати, оплата
наднормових, соціальні виплати та інше. В країнах Західної Європи, як правило,
політика доходів має на увазі безпосереднє обмежувальне регулювання всіх
основних категорій доходів населення, що лежать в основі особистого і
виробничого споживання. Політика доходів на практиці переважно впливає на рух
тільки заробітної плати.
В умовах сучасного функціонування ринкового механізму
та структурних змін в економіці держави зазнало трансформації формування
доходів населення, їх використання та система розподілу. Найбільшу питому вагу
у структурі грошових доходів населення становить оплата праці. Заробітна плата
як соціально-економічна категорія є основним джерелом грошових доходів
працівників і разом з тим є головним рушієм соціально-економічного розвитку
держави. Вона забезпечує не лише відтворення робочої сили, але й стає вагомим
чинником відтворення суспільного виробництва та виступає основним регулятором
ринку праці.
Сутність політики доходів полягає в
безпосередньому встановленні державою такої верхньої межі збільшення
номінальної заробітної плати, яка сприяла б виконанню основних задач і
реалізації пріоритетів, що стоять перед економікою.
Доходи населення - це сума грошових коштів і
матеріальних благ, які домашні господарства одержали за певний проміжок часу у
натуральному вигляді для підтримання фізичного, морального, економічного та
інтелектуального стану людини. Роль доходів визначається тим, що рівень
споживання населення прямо залежить від їх рівня.
Грошові доходи населення включають всі
надходження грошей у вигляді оплати праці робітників, доходів від
підприємницької діяльності, пенсій, стипендій, різних допомог, доходів від
власності у вигляді відсотків, дивідендів, ренти, сум від продажу цінних
паперів і нерухомості.
Натуральний дохід включає, перш за все,
продукцію, вироблену домашнім господарством для власного споживання.
Номінальні доходи характеризують рівень грошових
доходів незалежно від оподаткування і цін, а реальний дохід характеризує
номінальні доходи з урахуванням зміни роздрібних цін і тарифів. Індекс
споживчих цін впливає на купівельну спроможність номінальних доходів населення:
Номінальні і реальні доходи, а також розміри і
динаміка основних доходів окремих груп населення, таких як заробітна плата,
пенсії або стипендії, дають перше уявлення щодо рівня життя.
Рівень життя - це соціально-економічна категорія,
яка відображає ступінь розвитку і задоволення фізичних, духовних і соціальних
потреб населення, а також умови в суспільстві для розвитку і задоволення цих
потреб.
Згідно з рекомендаціями МОП рівень життя
відображають такі показники: обсяг фонду споживання на душу населення, реальні
доходи, тривалість життя, освіта; обсяг споживання важливих продуктів у
натуральному виразі, забезпеченість житлом, комунальними і соціальними
послугами, транспортом і зв'язком; охорона здоров'я, соціальне забезпечення.
Виходячи з міжнародних норм, необхідно також враховувати: зайнятість і умови
праці, чинні соціальні гарантії, демографічні, екологічні умови, домашнє майно
тощо. Окрім цього, необхідно брати до уваги поширення негативних
соціально-економічних явищ, таких як інфляція, безробіття, бідність,
злочинність, дискримінація в різних її проявах.
Рівень життя визначають в цілому по країні, на
окремих територіях та соціальних групах.
У світовій практиці для характеристики рівня
життя використовується такий інтегральний показник, як індекс людського
розвитку, котрий включає три індикатори: національний або валовий внутрішній
продукт на душу населення (ВВП), тривалість життя, рівень освіти населення. Ці
величини співвідносяться з найвищими світовими рівнями цих показників.
Рівень життя населення залежить від економічного
потенціалу і значною мірою визначається величиною ВВП і структурою його
використання. Джерелом підвищення рівня життя населення є зростання
національного доходу, який складає частину сукупного суспільного продукту після
відрахування витрачених у процесі виробництва засобів праці і матеріальних
витрат, тобто новостворену вартість.
Для характеристики рівня життя у вітчизняній і
зарубіжній практиці використовуються показники бідності: абсолютної і
відносної.
За абсолютної бідності, бідними є частина
домогосподарств, які не можуть забезпечити себе необхідною сумою благ,
необхідних для збереження здоров'я і ведення помірно активного трудового життя.
За відносної бідності, бідними є частина домогосподарств, які мають низькі
доходи.
У зарубіжній практиці відносна бідність характеризується
доходом, що не перевищує 40-60% доходу, що склався в країні.
На поняття бідності як соціально-економічного
явища впливає соціальна політика, що проводиться в країні. Це поняття залежно
від завдань, які виконуються, може мати різний зміст в одній і тій самій країні
в різний період (наприклад, програми щодо обмеження бідності в США в
післявоєнний період і сьогодні), а також в один і той самий період у різних
країнах (існують певні труднощі щодо національних оцінок бідності за єдиними
стандартами в Європейському Союзі). У різних країнах існують свої підходи до
критеріїв зарахування органами соціального захисту конкретної особи або
домогосподарства до бідних. Наприклад, у США і Англії для цього
використовуються шкали державних допомог, у Франції - мінімальна заробітна
плата. У цих країнах люди, які потребують допомоги, повинні довести, що їхні
доходи менші від тих, що гарантує держава.
Рівень бідності і чисельність бідних залежить від
межі бідності, офіційно встановленої державою. Ця мета, у свою чергу, залежить
від фінансових можливостей країни, оскільки декларовані межі бідності
ґрунтуються на певних розмірах соціальних програм.
Зараз чинниками, які впливають на рівень бідності
в Україні, є:
місце розташування домогосподарств (у сільських
районах рівень бідності вищий, проте необхідно враховувати, що сільська і
міська бідність суттєво різняться);
висока частка дітей;
- досягнення пенсійного віку;
безробіття, в тому числі у прихованій
формі (невиплати заробітної плати, її затримки, вимушені відпустки з ініціативи
наймачів без збереження утримання тощо);
висока частка утриманців у отримувача
доходів.
Залежно від джерел формування доходи можуть бути
трудові і нетрудові. За визначенням МОП, трудовий дохід - це дохід, який
отримує працівник у результаті своєї економічної діяльності як наймана робоча
сила або у разі самостійної зайнятості. Слід розрізняти також трудові доходи
від основної роботи за наймом і доходи від вторинної зайнятості.
На формування доходів впливають нівелюючі та
диференціюючі чинники. До перших входять заробітки сім'ї, пенсії пенсіонерів,
які живуть в сім'ї і вносять свою пенсію в бюджет сім'ї, допомоги, що одержують
члени сім'ї. До диференціюючих - наявність непрацездатних членів сім'ї, їхня
кількість у сім'ї, співвідношення тих членів сім'ї, які працюють і не працюють.
Залежно від джерел формування доходи можуть бути
трудові і нетрудові.
Нетрудові доходи - це надходження від діяльності,
що ведеться з відхиленням від прийнятих у суспільстві державних правових норм,
норм моралі та поведінки громадян.
У сучасних умовах значна частина доходів є
прихованими. Вони пов'язані з тіньовою економікою, що становлять приховану
економічну діяльність. До неї зараховують:
види економічної діяльності, що не є
незаконним бізнесом, проте в них приховуються або зменшуються доходи,
знижується величина заробітної плати з метою ухилення від податків та інших
зобов'язань;
- неформальна економічна діяльність, яка
належить до законних видів діяльності або ведеться підприємствами, що належать
окремим особам, домашнім господарствам, котрі не оформлюються як особи, що
ведуть економічну діяльність;
нелегальна діяльність, яка охоплює
незаконні види виробництва та послуг і підпадає під кримінальну
відповідальність (виробництво і продаж наркотиків, контрабанда).
Окрім того, до прихованих доходів відносять
доходи осіб, які ведуть незареєстровану індивідуальну підприємницьку діяльність
(доходи від виробництва продукції для продажу в особистих підсобних
господарствах, продаж товарів приватними особами на ринках, від послуг з
будівництва, що здійснюється неформальними бригадами, юридичних послуг, послуг
з ремонту одягу, взуття, побутової техніки, індивідуальних послуг у сфері
освіти і культури тощо).
Об'єктивною характеристикою рівня грошових
доходів є відповідність їх прожитковому мінімуму.
Прожитковий мінімум є показником обсягу та
структури споживання основних матеріальних благ та послуг на мінімально
допустимому рівні, що забезпечує підтримування активного фізичного стану різних
соціально-демографічних груп. Відтак, мінімальні розміри оплати праці, а також
пенсії за віком, стипендії, соціальні допомоги та інші компенсаційні виплати
мають орієнтуватися на величину прожиткового мінімуму, бюджет якого є вартісною
оцінкою натурального набору прожиткового мінімуму, а також включає всі витрати
на податки та інші обов'язкові платежі.
Також прожитковий мінімум і величина його
вартості для громадян працездатного віку є одним з інструментом соціальної
політики. Зазначені категорії використовуються відповідно до поставленої мети:
) як орієнтири під час регулювання доходів і
витрат різних груп населення;
) для обґрунтування розмірів оплати праці та
регулювання міжгалузевого підвищення заробітної плати;
) співвідношення в оплаті праці за галузями;
) для оцінки матеріальних і фінансових ресурсів,
необхідних для реалізації поточних і перспективних соціальних програм на рівні
регіону, підприємства.
Функціональний розподіл доходів пов'язаний із
способом, яким грошові доходи суспільства діляться на заробітну плату, ренту,
відсоток і прибуток. Сукупні доходи розподіляються відповідно до функції, яку
виконує одержувач доходу. Функціональний розподіл формує первинні доходи
населення. Як засвідчує практика розвинутих країн, у змішаній економіці основна
частина загального доходу припадає на заробітну плату, а дохід дрібних
власників є, по суті, комбінацією заробітної плати, прибутку, ренти і відсотка.
Особистий розподіл доходів пов'язаний із
способом, яким сукупний дохід суспільства розподіляється серед окремих
домогосподарств, причому сукупний дохід нерівномірно розподіляється між групами
сімей. Частина доходів населення надходить державі як індивідуальні податки, а
залишок розподіляється на особисте споживання і заощадження.
Заробітну плати розділяють на номінальну та
реальну. Номінальна заробітна плата - це сума коштів, які одержують працівники
за виконаний обсяг робіт, кількість та якість витраченої праці та кінцевих
результатів діяльності підприємства. Така форма зарплати дозволяє здійснювати
обмін на необхідні товари, проте більш точною характеристикою доходів є реальна
заробітна плата. Це сукупність матеріальних та культурних благ і послуг, які
може придбати працівник за номінальну заробітну плату. Величина реальної
заробітної плати напряму залежить від рівня цін на продукти споживання та послуги
і величини номінальної заробітної плати. Цю залежність можна виразити так:
Ірзп = Інзп/ Іц (1)
де Ірзі, І нзп - відповідно індекси реальної і
номінальної заробітної плати;
Іц - індекс цін.
Якщо ціни на товари зростають швидше, ніж
номінальна заробітна плата, то реальна заробітна плата знижується.
Підвищення рівня реальної заробітної плати та
забезпечення стабільних темпів її зростання, а отже, і підвищення купівельної
спроможності населення, може бути досягнуто лише двома способами:
суттєвим підвищенням номінальної
заробітної плати;
- стримуванням зростання цін на споживчі
товари та послуги, запровадженням ефективного механізму індексації заробітної
плати з метою підтримання її купівельної спроможності, а також грошових доходів
і збережень громадян.
До основної заробітної плати належить заробітна
плата, нарахована за виконану роботу відповідно до встановлених норм праці
(норми часу, виробітку, обслуговування, посадові обов’язки) за відрядними
розцінками, тарифними ставками робітників та посадовими окладами службовців. До
основної заробітної плати включено також суми авторського гонорару працівникам
мистецтва, редакцій газет та журналів, телеграфних агентств, видавництв, радіо,
телебачення та інших підприємств і (або) оплата їх праці, що здійснюється за
ставками (розцінками) авторської (постановочної) винагороди, нарахованої на
певному підприємстві.
Додаткова заробітна плата - це винагорода за
працю понад установлені норми, за трудові успіхи та винахідливість і за
особливі умови праці. До додаткової заробітної плати входять надбавки та
доплати до тарифних ставок та посадових окладів у розмірах, передбачених чинним
законодавством (за високу кваліфікаційну майстерність, за класність водіям,
персональні надбавки, за знання іноземної мови тощо). Сюди також належать
оплата щорічних і додаткових відпусток, компенсація за невикористану відпустку,
премії за виробничі результати, включаючи премії за економію матеріальних
ресурсів тощо.
До інших заохочувальних та компенсаційних виплат
належать виплати у вигляді винагород за підсумками роботи за рік, винагороди за
винаходи і раціоналізаторські пропозиції, матеріальна допомога, вартість
путівок на лікування та відпочиноктощо.
Фактори формування рівня життя населення
Розглянемо основні соціально-економічні
показники, які визначають рівень життя населення в сучасній ринковій економіці.
1.
Рівень задоволення життєвих потреб
Незліченна безліч товарів поділяються на товари,
що задовольняють виробничі потреби, чи засоби виробництва: робітники будинку і
спорудження, верстати, устаткування і т.д., і предмети споживання, що
задовольняють особисті, чи індивідуальні, потреби. У свою чергу, предмети
споживання поділяються на предмети короткочасного користування (продукти
харчування, одяг, предмети домашнього побуту і т.д.) і тривалого користування
(житлові будинки, меблі, музичні центри, автомобілі і т.д.), а також на
предмети розкоші, що задовольняють потреби багатих людей.
Людські потреби дуже різноманітні. Зокрема, по
суб'єктах (носіям потреб) розрізняються індивідуальні, групові, колективні і
суспільні. За об'єктом (предметом, на який вони спрямовані) запити людей
підрозділяються на матеріальні, духовні, етичні (стосовні до моральності) і
естетичні (що стосуються мистецтва). За сферами діяльності виділяються потреби
праці, спілкування, рекреації (відпочинку, відновлення працездатності) та
економічні.
2.
Вартість життя населення
Вартість життя населення безпосередньо пов’язана
з такими поняттями як:
Індекс споживчих цін;
- Споживчий кошик;
Вартість мінімального продовольчого кошика;
Індекс споживчих цін характеризує рівень інфляції
в країні. Ці показники здаються на перший погляд тотожними. Однак не всяке
зростання цін є показником інфляції. Ціни можуть підвищуватися внаслідок
поліпшення якості продукції чи погіршення умов видобутку паливно-сировинних
ресурсів. У цьому разі це буде неінфляційне зростання цін.
Зростання рівня цін призводить до зростання
вартості мінімального продовольчого кошика і водночас призводить до зменшення
рівня задоволення потреб населення, за умови, що доходи не зростатимуть в
кратному розмірі відповідно до зростання рівня споживчих цін.
3.
Споживчий попит населення
Споживчий попит це в цілому величина, яка
характеризується бажанням та можливістю населення купувати певні товари на
певному ринку, в певний момент часу і за визначену ціну.
Розуміння споживчого попиту на товар, що виникає
внаслідок його застосування задля різних цілей, та сукупної пропозиції товару,
що володіє декількома джерелами виробництва, не становить великих труднощів,
оскільки кілька партій товару, що вимагаються для різних цілей чи постачаються
з різних джерел, можуть бути складені разом за схемою додавання попиту багатих,
середніх і бідних шарівна один і той же товар.
При зростанні споживчого попиту відбувається
зростання споживчих цін, що в свою чергу впливає на зменшення рівня задоволення
життєвих потреб. Однак в деяких секторах економіки домінуючим регулятором
споживчого попиту є ціни - тобто для товарів тривалого користування не
первинної необхідності, коли їх придбання може біти відкладеним у часі. Тоді
рівень цін впливатиме на рівень задоволення споживчого попиту на ці товари.
4.
Міра споживання
Даний показник характеризується насамперед
обсягами споживання населенням основних категорій споживчих товарів. Міра
споживання є дуже суттєвим показником в економіці при визначення рівня життя
населення.
Зростання міри споживання є неоднозначним при
визначення того факту, зростає рівень життя чи спадає. Річ у тім, що необхідно
проаналізувати, споживання яких саме товарів та послуг зростає, а потім на
основі цього робити певні узагальнення.
Можливі наступні схеми взаємозв'язку даного
показника з переліченими у попередніх питаннях:
Зростання рівня споживання продовольчих
товарів може бути зумовлене зниженням цін на окремі їх категорії, що позитивно
впливатиме на зростання рівня життя, або ж може бути викликане зростанням цін
на одні товари, та стабільністю цін на товари замінники, що зумовить зростання
споживання товарів замінників - це негативно впливатиме на показник рівня
життя.
- Зростання цін на продовольчі товари та
стабільність цін на непродовольчі, чи навпаки - негативно відіб'ється на рівні
життя. В першому випадку результат буде більш негативним, ніж у другому, якщо
враховувати порядок первинності задоволення потреб.
Міра споживання може бути викликана
також дією ряду факторів, що зумовлюють ажіотажний попит на окремі категорії
товарів (може бути викликано рядом політичних та економічних чинників, а також
природних). Така схема зростання споживання не сприятиме зростанню загального
рівня життя населення.
.
Умови життя
Покращення житлових умов прямо пропорційно
впливає на рівень життя населення відповідної категорії. Для аналізу цього
показника доцільно використовувати середні показники умов життя по країні з
врахування структури населення відповідно до рівня доходів.
Винагорода за працю
Винагорода за працю в ринковій економіці
представлена в основному заробітною платою та іншими платежами, що виплачуються
робітникові за виконану роботу або відпрацьовані години.
Існує багато різних класифікацій та підходів до
визначення заробітної плати, однак нас цікавить механізм впливу динаміки
заробітної плати на рівень життя населення.
В цілому зростання заробітної плати є позитивним
фактором впливу на рівень життя населення, оскільки це призводить до зростання
доходів домогосподарств, збільшує рівень споживання та рівень задоволення
основних життєвих потреб.
Однак зростання заробітної плати сприяє і
розвитку інфляційних процесів. Водночас розвиватиметься дві інфляційні
тенденції - інфляція попиту (зростання попиту на окремі товари спричинити
зростання цін на них) та інфляція витрат (зростання заробітної плати
призводитиме до зростання витрат на оплату праці та відрахувань підприємств на
соціальні платежі, що спричинить до зростання собівартості продукції та
відповідної цін реалізації її споживачам).
6.
Рівень зайнятості
Поняття "зайнятість" досить складне у
плані визначення. На перший погляд, його можна було б трактувати в тому
розумінні, що всі 100% робочої сили мають роботу. Проте це не так. Певний
рівень безробіття вважається нормальним і цілком виправданим.
Рівень і структуру безробіття визначає сукупність
техніко-технологічних, організаційно-виробничих, соціально-економічних та інших
факторів. Ключовою проблемою регулювання зайнятості є досягнення оптимального
поєднання високої ефективності праці та надійних соціальних гарантій в умовах
безробіття.
Зростання рівня зайнятості сприяє зростанню рівня
життя населення за рахунок зростання середньодушових доходів населення та рівня
споживання в цілому по країні.
Соціальний захист населення та соціальні гарантії
Соціальний захист - це державна підтримка верств
населення, які можуть зазнавати негативного впливу ринкових процесів, з метою
забезпечення відповідного життєвого рівня, тобто заходи, що включають надання
правової, фінансової, матеріальної допомоги окремим громадянам (найбільш
вразливим верствам населення), а також створення соціальних гарантій для
економічно активної частини населення.
Висновок
(до теоретичної частини)
За класичним визначенням життєвий рівень
населення - це складна й багатовимірна соціально-економічна категорія, що
виражає ступінь задоволення матеріальних і духовних потреб населення. З
розробкою в рамках ПРООН концепції людського розвитку спостерігається тенденція
до характеристики рівня життя населення через індекс людського розвитку - ІЛР,
і перехід до цієї категорії як до синоніму життєвого рівня населення, що також
є відображенням об'єктивних процесів переорієнтації цінностей у міжнародному
співтоваристві. Через неможливість характеристики життєвого рівня за допомогою
якого-небудь одного показника оцінювати й досліджувати цю категорію можливо
лише з використанням системи статистичних показників.
Отже, спираючись на розглянуті показники, можна
проаналізувати особливості основних напрямків та перспектив підвищення рівня
життя країни.
Практична
частина
І. Побудувати ряд розподілу робочих кожного цеха
і всього заводу за загальним стажем роботи, виділити чотири групи з наступними
спеціалізованими інтервалами:
) менш 1 року;
) від 1 до 2 років;
) від 3 до 5 років;
) від 6 до 10 років;
) від 11 років і вище. Відобразити ряд розподілу
графічно та визначити моду та медіану.
ІІ. На основі побудованого ряду розподілу
розрахувати відносні величини структури, які характеризують склад робочих
кожного цеху і всього заводу за загальним стажем роботи.
ІІІ. Розрахувати відносні показники варіації
виробничого стажу робочих в цілому по заводу. Зробити висновки.
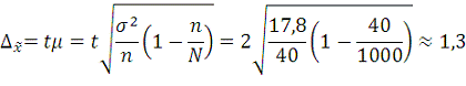
ІV. З вірогідністю 0,954 визначити помилку
вибірки для середнього виробничого стажу робочих цеху №1 і для частини робочих,
які мають стаж менше ніж 7 років. Вказати межі значень цих показників в
генеральній сукупності. Яка повинна бути чисельність вибірки, щоб помилка
виробки з цією вірогідністю для середнього виробничого стажу не перевищувала
0,5 року?.1. За допомогою графічного метода визначити форму зв’язку між
виробничим стажем і тарифним розрядом робочих цеха №1 з №21 по №40 включно
(n=20).
. Вичислити параметри рівняння регресії, які
характеризують залежність між виробничим стажем і тарифним розрядом робочих.
Пояснити зміст отриманих параметрів.
. Визначити ступінь тісноти зв’язку між ознаками,
які ми розглядали..
Цех №1. Розподіл робітників за стажем роботи
|
Стаж
роботи
|
Кількість
робітників
|
Медіанний
інтервал
|
|
Менше
1 року
|
3
|
3
|
|
Від
1 до 2 років
|
4
|
7
|
|
Від
3 до 5 років
|
6
|
13
|
|
Від
6 до 10 років
|
14
|
27
|
|
Від
11 років і вище
|
13
|
40
|
|
Всього
|
40
|
-
|
Цех №2. Розподіл робітників за стажем роботи
|
Стаж
роботи
|
Кількість
робітників
|
Медіанний
інтервал
|
|
Менше
1 року
|
2
|
2
|
|
Від
1 до 2 років
|
5
|
7
|
|
Від
3 до 5 років
|
10
|
17
|
|
Від
6 до 10 років
|
29
|
46
|
|
Від
11 років і вище
|
14
|
60
|
|
Всього
|
60
|
-
|
Розподіл робітників за стажем всього заводу.
|
Стаж
роботи
|
Кількість
робітників
|
Медіанний
інтервал
|
|
Менше
1 року
|
5
|
5
|
|
Від
1 до 2 років
|
9
|
14
|
|
Від
3 до 5 років
|
16
|
30
|
|
Від
6 до 10 років
|
43
|
73
|
|
Від
11 років і вище
|
27
|
100
|
|
Всього
|
100
|
-
|
.
Відносні величини структури кожного цеху та
заводу в цілому.
Цех №1.
Цех №2.
Завод повністю
III.
Відносні показники варіації виробничого стажу
робочих в цілому по заводу.
Варіація - відмінності значень ознаки в різних
одиницях даної сукупності.

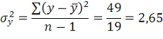
7,75
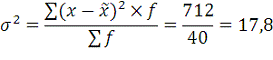
Середній стаж роботи на всьому заводі становить 7,75 років.
На основі проведених спостережень складаємо таблицю:
|
Стаж
роботи
|
Кількість
робітників
|
|
|
|
|
Менше
1 року
|
5
|
-7,25
|
3,62
|
262,81
|
|
Від
1 до 2 років
|
9
|
-6,25
|
9,37
|
351,56
|
|
Від
3 до 5 років
|
16
|
-3,75
|
15
|
225
|
|
Від
6 до 10 років
|
43
|
0,25
|
2
|
2,69
|
|
Від
11 років і вище
|
27
|
5,25
|
68,25
|
744,
19
|
|
Всього
|
100
|
|
98,25
|
1586,25
|
Відносні показники варіації визначають на основі
абсолютних показників варіації. Отже,
. Визначимо абсолютні показники варіації.
А) Розмах варіації:

=25-0=25 (років)
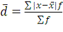
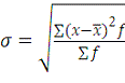
Б) Середнє лінійне відхилення:

В) Середнє квадратичне відхилення:

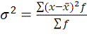
Г) Дисперсія:

, 
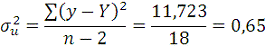
15,86
2. Відносні показники варіації:
А) Коефіцієнт асиміляції:



322%
Б) Лінійний коефіцієнт варіації:


12,6%
В) Квадратичний коефіцієнт варіації:


51,3%
Отже, порівнявши розрахунки, можна зробити висновок, що
сукупність є неоднорідною, а середня величина - нетиповою і ненадійною
характеристикою даної сукупності, оскільки 
.
IV.
Визначимо помилку вибірки для середнього виробничого стажу
першого цеху загалом та частини робочих, які мають стаж до 7 років.
Цех №1. Розподіл робітників за стажем роботи
|
Стаж
роботи
|
Кількість
робітників
|
|
Менше
1 року
|
3
|
|
Від
1 до 2 років
|
4
|
|
Від
3 до 6 років
|
11
|
|
Від
7 до 10 років
|
9
|
13
|
|
Всього
|
40
|
За даними: p=0,954; n=40; t=2;
Межі середнього стажу для всіх робітників заводу
будуть складати:
Середній стаж першого цеху за даними вибірки
визначається за формулою середньо арифметичної і складає:
Вибіркова дисперсія відповідно складатиме:
Помилка вибірки для першого цеху складатиме:
Отже,

З ймовірністю 0,954 можна стверджувати, що середній
виробничий стаж цеху №1 лежить в межах від 5,65 до 8,25 років в генеральній
сукупності.
Частка робітників зі стажем до 7 років складає:
Гранична помилка для частки становить:

- довірчі межі генеральної частки.
Отже, з імовірністю 0,954 можна стверджувати, що робочі
першого цеху зі стажем до 7 років не виходитимуть за межі від 30% до 60%.
Для обчислення необхідної чисельності вибірки визначення
середнього тарифного розряду скористаємось формулою:
Щоб помилки вибірки для середнього виробничого стажу з
вірогідністю 0,954 не перевищували 0,5 року численність вибірки повинна бути
222..
. Згрупуємо робочих цеху №1 з №21 по №40 за виробничим
стажем.
|
Порядковий
номер
|
Стаж
роботи
|
Тарифній
розряд
|
|
22
|
0
|
1
|
|
25
|
1
|
2
|
|
37
|
1
|
2
|
|
29
|
2
|
1
|
|
32
|
4
|
2
|
|
21
|
5
|
2
|
|
34
|
5
|
4
|
|
27
|
6
|
3
|
|
31
|
6
|
4
|
|
33
|
6
|
3
|
|
39
|
6
|
3
|
|
26
|
7
|
4
|
|
23
|
8
|
4
|
|
30
|
8
|
4
|
|
35
|
8
|
3
|
|
28
|
11
|
6
|
|
40
|
11
|
6
|
|
24
|
12
|
4
|
|
36
|
17
|
6
|
|
38
|
20
|
6
|
За даними таблиці будуємо графік.
Як видно з графіку між стажем і розрядом існує
пряма залежність, тому що, чим більший стаж тим більший розряд.
. Вичислимо параметри рівняння регресії, які
характеризують залежність між виробничим стажем робочих і розрядом.
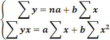
Рівняння регресії має вигляд:
Де
- значення факторної ознаки;

- параметри рівняння.
Коефіцієнт b вказує на те, наскільки змінюється
результативна ознака 
внаслідок зміни факторної ознаки на одиницю. У тому випадку, коли
значення 
позитивне, то зв’язок між явищами прямий, якщо негативне -
обернений. Параметри рівняння 
визначають за допомогою методу найменших квадратів складеної і
розв’язаної системи двох рівнянь з двома невідомими:
де n - число членів у кожному з двох порівнювальних рядів;

- сума значень факторної ознаки;

- сума значень результативної ознаки;

- сума добутків значень факторної та результативної ознаки.
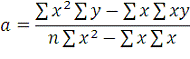
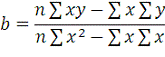
Розв’язавши дану систему рівнянь, дістанемо такі параметри:
Для визначення цих показників скористаємось минулою
таблицею.
Позначимо стаж роботи - x; тарифний розряд - y.
|
Цех №1
|
|
Розрахункові
дані
|
|
x
|
y
|
xy
|
|
|
|
0
|
1
|
0
|
0
|
1,5
|
|
1
|
2
|
2
|
1
|
1,77
|
|
1
|
2
|
2
|
1
|
1,77
|
|
2
|
1
|
2
|
4
|
2,04
|
|
4
|
2
|
8
|
16
|
2,58
|
|
5
|
2
|
10
|
25
|
2,85
|
|
5
|
4
|
20
|
25
|
2,85
|
|
6
|
3
|
18
|
36
|
3,12
|
|
6
|
4
|
24
|
36
|
3,12
|
|
6
|
3
|
18
|
36
|
3,12
|
|
6
|
3
|
18
|
36
|
3,12
|
|
7
|
4
|
28
|
49
|
3,39
|
|
8
|
4
|
32
|
64
|
3,66
|
|
8
|
4
|
32
|
64
|
3,66
|
|
8
|
3
|
24
|
64
|
3,66
|
|
11
|
6
|
66
|
121
|
4,47
|
|
11
|
6
|
66
|
121
|
4,47
|
|
12
|
4
|
48
|
144
|
4,74
|
|
17
|
6
|
102
|
289
|
6,09
|
|
20
|
6
|
120
|
400
|
6,9
|
|
144
|
70
|
640
|
1532
|
-
|

, тоді
Тоді, лінійне рівняння регресії зв’язку між виробничим
стажем і розрядом має вигляд:
Можна зробити висновок, що зв’язок між стажем та розрядом
прямий, оскільки b позитивне значення. Якщо стаж роботи збільшиться на 1
рік, то розряд зросте на 0,27. Якщо стаж не буде збільшуватись (x=0), то
розряд не перевищить 1,5.
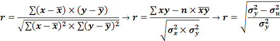
3. Оцінка щільності
зв’язку.
Показником щільності
зв’язку між ознаками при прямолінійному зв’язку виступає коефіцієнт кореляції
Пірсона (r), він також вказує на напрямок зв’язку:
Якщо r>0,
то зв'язок прямий;
- Якщо r<0,
то зв'язок зворотний.
Коефіцієнт кореляції
Пірсона можна розрахувати за формулою:
|
Зв’язок
|
Коефіцієнт
кореляції
|
|
Прямий
|
Зворотний
|
|
Слабкий
|
0,1 -
0,3
|
-0,1 -
0,3
|
|
Середній
|
0,3 -
0,7
|
-0,3 -
0,7
|
|
Високий
|
0,7 -
0,99
|
-0,7 -
0,99
|

; 
Отже, відповідно до таблиці, яка показує тісноту зв’язку
можна стверджувати, що в даній моделі існує тісний зв'язок між явищами, а
оскільки коефіцієнт кореляції r = 0,87, то зв'язок прямий.
Список
використаної літератури
1. Базилевич В.Д., Баластрик Л.О. Макроекономіка. - К.:
Знання, 2012
2. Баластрик. Інституціональні аспекти реформування соціальної
інфраструктури // Економіка і підприємництво: стан та перспективи (збірник
наукових праць) - 2009.
3. Власюк О.С., Пирожков С.І. Індекс людського розвитку:
досвід України. - К.: ПРООН, 2011
4. Гарантія на соціальний захист: (нормативні документи) //
Людина і праця №2. - 2011.
5. Головко Л.С. Соціальні послуги - основа формування людських
ресурсів // Економіка і підприємництво: стан та перспективи (збірник наукових
праць) - 2009.
6. Горянська С.В. Фінансове забезпечення соціального захисту
населення // Фінанси України №6. - 2011
7. Дзюба І.В. Категорія рівня життя населення: сучасний підхід
// Статистика України, 2012, №1. - с.68-75
8. Державне регулювання економіки / За ред. Л.І. Дідківська,
Л.С. Головко - К-2010.
9. Державне регулювання економіки / За ред. Михасюк І.,
Мельник А. - К-2010
10. Державний комітет статистики України, 2012. - 146 с.
11. Державні фінанси України / Під ред. Василик О., Павлюк К. -
К-2012
12. Економіка і підприємництво: стан та перспективи (збірник
наукових праць) - 2009.
13. Качан Л. Розвиток економіки - основа реальних позитивних
зрушень в соцаальній сфері // Технополис №3. - 2011.
14. Ляхович Г. Пріоритетні напрями розвитку соціального захисту
населення з врахуванням світового досвіду // Вісник Тернопільської академії
народного господарства №18. - 2010
15. Мазурок П. Державна політика щодо регулювання рівня життя
населення та зниження бідності // Україна: аспекти праці. - 2012, №5. - с.32-48
16. Махсма М. Рівень життя населення // Економіка АПК №3. -
2011.
17. Пашев М. Соціальна політика та її вплив на доходи та рівень
життя населення // Україна: аспекти праці. - 2012, №2. - с.64-67
18. Радіонова І.Ф. Макроекономіка та економічна політика:
Підручник. - К.: Таксон, 2010.
19. Самюелсон Пол А., Нордгауз Вільям Д. Макроекономіка:
Переклад з англ. - К.: Основи, 1995.
20. Степан Панчишин Макроекономіка. - К.: Либідь, 2008.
21. Удотова Л.Ф. Соціальна статистика: Підручник. - К.: КНЕУ,
2010. - 376 с.
22. Фишер С., Дорнбуш Р., Шмалепзи Р. Экономика. - М.: Дело,
1993.
23. Хоменко А.І. Правове забезпечення соціального захисту та
належного життєвого рівня населення // Політика і час, 2012, №5. - с.132-135