Основы статистики
Введение в статистику
Понятие статистики как науки и
история её возникновения и развития
О статистике слышали все. К этому слову мы так
привыкли, что часто и не задумываемся, а знаем ли мы, собственно, что это за
наука, как и не задумываемся над смыслом многих ежедневно употребляемых слов и
выражений. В бессмертном труде Ильфа и Петрова "12 стульев" сказано:
"Статистика знает все". Итак, что же представляет собой термин
"статистика"? В настоящее время насчитывается около 1000 определений
статистики. Первое из них относится к 1749 году и означает
"государствоведение". На сегодняшний день под термином
"статистика" следует понимать следующее:
Статистика - отрасль общественных
наук, имеющая своей целью сбор, упорядочивание, анализ и сопоставление фактов,
относящихся к самым разнообразным явлениям. Это учение о системе
показателей, т.е. количественных характеристиках, дающих всестороннее
представление об общественных явлениях, о народном хозяйстве в целом и
отдельных его отраслях.
Основная задача статистики и ее предназначение
состоит в том, чтобы помочь людям лучше понять многие современные мировые
проблемы.
Статистика имеет древние корни. Вот лишь
некоторые сведения. В Китае более чем за 2000 лет до н. э. проводились
исчисления населения по полу, возрасту, образованию, собирались сведения о
состоянии промышленности и с/х. В Древнем Риме велась статистика численности
населения и имущественного положения граждан.
Развитие торговых и международных
товарно-денежных отношений явилось стимулом для дальнейшего формирования учета
и статистики.
В конце IX века проводились первые учетные
операции: инвентаризация королевских имений, учет населения. Первыми
учетно-статистическими источниками были летописи. Однако если собирание
статистических данных началось в глубокой древности, то их обработка и анализ,
т. е. зарождение статистики как науки, относится ко 2ой половине
XVII века. В это время и было введено в научный обиход само слово
"статистика". Это сделал немецкий ученый Г. Ахенваль.
Во 2ой половине XVII века в Германии
возникла "Школа государствоведения". Ее основатель - Г. Конринг.
Школа просуществовала более 150 лет, она, в основном, собирала
описательно-информационный материал, который практически не анализировался. В
трудах сторонников этой школы содержалось описание государств, их устройства,
быта, климата, финансов, армии и т.д. Поэтому чисто статистическими эти труды
было назвать нельзя.
Ближе к современному пониманию статистики была
английская "Школа политических арифметиков", которая возникла на 100
лет раньше немецкой. Основателями были: Д. Граунт, Э. Галлей и В. Петти. В их
трудах наметилось 2 направления: демографическое (Граунт, Галлей) и
статистическо-экономическое (Петти). Политические арифметики путем обобщения и
анализа фактов стремились цифрами охарактеризовать состояние и развитие
общества, показать закономерности развития общественных явлений, проявляющиеся
в массовом материале.
В первой половине XIX века возникло третье
направление статистической науки - статистическо-математическое. Особый вклад в
его развитие внес бельгийский статистик А. Кетле. Он назвал статистику -
"социальной физикой", т.е. наукой, которая изучает законы
общественных явлений с помощью количественных методов.
Наиболее известным ученым XX века в области
статистики Запада являлся Р. Фишер, который продуктивно работал с 1912 по 1962
годы; многие его исследования оказали существенное воздействие на современную
статистику. Представители статистическо-математического направления считают
основой статистики - теорию вероятностей.
Большим шагом вперед к развитию статистической
науки послужило применение статистическо-математических методов и широкое
использование компьютерной техники в анализе социально-экономических явлений.
Основные черты дисциплины
"Статистика", цели и задачи статистики, предмет статистики
Статистика -
наука общественная. Общество является предметом изучения многих общественных
наук: экономической теории, права, истории, отраслевых экономик и т. д. От
других общественных наук статистику отличает то, что она изучает количественную
сторону массовых общественных явлений. Особенность статистики состоит прежде
всего в том, что статистические данные выражаются в количественной форме:
статистика говорит языком цифр, дает количественную оценку изучаемых ею
общественных явлений.
Предметом статистики
как науки являются количественные стороны массовых общественных явлений в
неразрывной связи с их качественной стороной. Статистика исследует
количественное выражение закономерностей общественного развития в конкретных
условиях пространства и времени.
Предмет статистики имеет свои
основные черты:
-Статистика исследует не отдельные факты, а
массовые социально-экономические явления и процессы.
Объектом статистического исследования является
статистическая совокупность.
Статистическая совокупность - это
множество единиц, обладающих однородностью, определенной целостностью и
наличием вариации. Отдельно взятый элемент
статистической совокупности называется единицей статистической совокупности.
- Статистическое исследование должно проводиться
в конкретных условиях места и времени.
Единицы статистической совокупности
характеризуются общими признаками или качественной однородностью, под которой
понимается сходство единиц по каким-либо одним признакам, но различие по другим
признакам.
Единицам статистической совокупности присуща
вариация признаков - это количественное изменение значений признака при
переходе от одной единицы совокупности к другой.
-Количественную характеристику статистика
выражает через числа, которые называются статистическими показателями.
-Статистика характеризует структуру общественных
явлений.
Методы статистики. Статистика и
другие виды хозяйственного учёта
Методом статистики является
совокупность специфических приемов, которые применяет статистика для
исследования своего предмета. К таким приемам относятся: метод массовых
наблюдений, метод группировок, метод обобщающих показателей.
Метод массовых наблюдений обусловлен тем,
что для обобщений необходима достаточно большая совокупность фактов, отражающих
данное явление.
Метод группировок - это расчленение
разнородных явлений на однородные по признакам сходства и различия. С помощью
группировок отграничиваются одни совокупности от других, изучаются
распределение единиц совокупности по тем или иным признакам, а также
взаимосвязь между отдельными признаками.
Метод обобщающих
показателей дает сводную характеристику
совокупности фактов. Он проявляется в сводных показателях, характеризующих
объемы (численность элементов) совокупностей, в средних и относительных
величинах, в индексах и показателях динамики
Специфическими приемами
статистики выступают также статистические таблицы и графики.
Основным методом статистики является
статистическое исследование, которое состоит из 3 основных этапов:
) Статистическое наблюдение;
) Сводка и группировка результатов наблюдения;
) Анализ полученных сводных материалов.
Все эти этапы связаны между собой.
Статистическое наблюдение -
научно-организованный сбор сведений об изучаемых социально-экономических
процессах или явлениях. Результатом статистического наблюдения являются данные,
характеризующие каждою единицу совокупности.
Метод статистической группировки включает в себя
распределение исходных данных на группы, качественно однородных по одному или
нескольким признакам. Статистическая сводка представляет собой комплекс
последовательных операций по обобщению единичных фактов, образующих
совокупность. Результаты статистической группировки и сводки оформляются в виде
статистических таблиц.
Статистический анализ является заключительной
стадией статистического исследования. В процессе анализа исследуются структура,
динамика и взаимосвязи общественных явлений или процессов.
Выделяют следующие основные этапы анализа:
)установление фактов и их оценка;
2)выделение характерных черт и причин явления;
3)сопоставление явления с другими;
4)формулирование выводов и предложений.
Организация статистических исследований в
Республике Беларусь базируется на единой системе учета. Последняя
включает в себя три вида учета: первичный, или оперативный, бухгалтерский и
статистический.
Оперативный учет -
это учет, регистрация отдельных единичных фактов на рабочих местах, в бригадах,
на предприятиях, в учреждениях. Первичный (оперативный) учет необходим для
оперативного руководства производством.
Бухгалтерский учет -
это учет средств, материальных ценностей и их движения в пределах предприятий,
организаций, учреждений. Особенностью бухгалтерского учета является то, что он
ведется в денежном выражении на основе строго документированных, записей всех
единичных фактов (хозяйственных операций).
Статистический учет
-
это всеобъемлющий, исчерпывающий и всесторонний учет явлений в масштабе
предприятий, отраслей и народного хозяйства в целом. Он выявляет объемы, связи,
отношения в пределах всего народного хозяйства и его подразделений.
Статистический учет является завершением учета, он дает развернутую
характеристику состояния и развития народного хозяйства, культуры и других
явлений и процессов общества в целом. Тем самым статистический учет раскрывает
сущность изучаемых явлений. Для того чтобы статистический учет мог стать
завершающей стадией учета, оперативный и бухгалтерский учет организуются так,
чтобы их данные могли быть легко обобщены посредством статистического учета.
Первичный, бухгалтерский и
статистический учет находятся в тесной взаимосвязи и единстве. Взаимосвязь их,
в частности, заключается в том, что бухгалтерский и статистический учет
используют данные первичного, оперативного учета, а статистический кроме того
использует данные бухгалтерского учета. Единство трех видов учета заключается в
единстве их целей и задач, единстве форм первичной документации, в едином
методологическом руководстве всем учетом в стране, осуществляемом Национальным
статистическим комитетом Республики Беларусь. Каждый из трех видов учета
выполняет свои, только ему присущие функции и представляет собой отдельное
звено единой системы; во взаимной связи они дополняют друг друга.
Статистическая деятельность в
Республике Беларусь
Различают статистику
государственную и ведомственную.
Государственная
статистика в Республике Беларусь организуется
органами государственной статистики по установленным ими методологиям,
программам и формам. Могут проводиться также региональные статистические
наблюдения. Порядок их проведения и формы документации устанавливаются
соответствующими органами государственной статистики. Все министерства,
ведомства, концерны, ассоциации, общества, предприятия, организации,
учреждения, кооперативы, хозяйства, общественные организации и другие
формирования обязаны представлять все необходимые данные для проведения
государственных статистических исследований бесплатно в порядке, установленном
государственными статистическими органами.
Ведомственной статистикой называют
статистику, ведущуюся в министерствах, ведомствах и других органах
государственного управления в соответствии с возложенными на них функциями
управления и контроля.
В Республике Беларусь
статистическую деятельность осуществляют: Национальный статистический комитет
Республики Беларусь; областные и Минское городское управления статистики;
городские и районные отделы статистики; министерства, ведомства, научные
учреждения, общественные и кооперативные организации, другие юридические лица,
ведущие статистические наблюдения.
Национальный статистический комитет Республики
Беларусь, областные, городские и районные органы статистики как специально
уполномоченные государственные учреждения образуют единую систему
государственной статистики республики.
Национальный статистический
комитет Республики Беларусь проводит статистическую политику, разрабатывает
методологию, состав статистической информации, вводит государственную
республиканскую статистическую отчетность, определяет потоки государственной
отчетности, обеспечивает органы власти и управления, других участников
общественного воспроизводства республики статистической информацией.
Областные и Минское городское
управления статистики организуют статистическую деятельность в границах
административных территорий исходя из планов статистических работ Национального
статистического комитета Республики Беларусь и решений местных органов власти и
управления. Отделы статистики района (города) являются первичным звеном системы
государственной статистики и обеспечивают сбор и обработку статистической
информации на подчиненных им территориях в соответствии с планом статистических
работ Национального статистического комитета Республики Беларусь и областных
управлений статистики. Для организации и проведения исследовательских и
методологических работ создан научно-исследовательский институт по статистике.
Статистическая деятельность в
Республике Беларусь осуществляется в соответствии с Законом Республики Беларусь
"О государственной статистике", который был принят Палатой
представителей 29 октября 2004 года и одобрен Советом Республики 10 ноября 2004
года.
Раздел 1. Основы теории
статистики
1.1 Статистическое наблюдение
Понятие статистического наблюдения,
его основные этапы, программа, план.
Статистическое наблюдение - это
массовое, планомерное, научно-организованное наблюдение за явлениями
социально-экономической жизни, которое заключается в регистрации отобранных
признаков у каждой единицы совокупности.
Примерами статистического
наблюдения являются: опросы общественного мнения населения, анкеты и др.
Статистическое наблюдение может проводиться органами
государственной статистики, НИИ, экономическими службами банков и т.д.
Процесс проведения статистического наблюдения
включает следующие этапы:
Ø Подготовка наблюдения;
Ø Проведение массового сбора данных;
Ø Автоматизированная обработка данных;
Ø Разработка предложений по совершенствованию
статистического наблюдения.
I
этап: этап подготовки - процесс, включающий различные
виды работ. Здесь определяют цель и объект наблюдения, состав признаков,
подлежащих регистрации, разрабатывают документы для сбора данных, определяют
методы и средства получения данных.
II
этап: проведение массового сбора данных включает
работы, связанные с непосредственным заполнением статистических формуляров. Он
начинается с рассылки статистических формуляров в органы, проводящие наблюдение
и заканчивается их сдачей в органы, занимающиеся обработкой данных.
III
этап: на этапе автоматизированной обработки данные
подвергаются арифметическому и логическому контролю.
IV
этап: на этом этапе анализируются причины, которые
привели к неверному заполнению статистических бланков и разрабатываются
предложения по совершенствованию наблюдения.
Статистическое наблюдение
организуется и проводится по заранее составляемому плану, который состоит из
двух частей: программно-методологических и организационных
мероприятий. К программно-методологическим мероприятиям относятся:
определение цели и задач наблюдения, определение объекта и единицы наблюдения,
составление программы наблюдения, выбор формы статистического формуляра и
разработка инструкции. К организационным мероприятиям плана статистического
наблюдения относятся: определение места, времени и сроков наблюдения,
определение органов, отвечающих за проведение наблюдений, выбор способа
собирания и регистрации данных, определение круга подготовительных мероприятий.
Отправным пунктом любой
статистической работы является определение цели этой работы. В соответствии с
поставленной целью определяется объект статистического наблюдения.
Исходя из целей и задач
статистического наблюдения разрабатывается программа наблюдения, представляющая
собой перечень признаков, отобранных для характеристики явлений. Программой
наблюдения можно считать перечень вопросов, на которые должны быть получены
ответы по каждой единице наблюдения. В программу наблюдения должны включаться
только наиболее существенные для характеристики данного явления признаки,
находящиеся в определенной связи друг с другом.
Основные черты статистического
наблюдения:
Цель наблюдения - заключается
в получении достоверной информации для выявления закономерностей развития
явлений и процессов. Не ясно поставленная цель может привести к тому, что в
процессе наблюдения будут собранны ненужные данные или не будут получены
сведения, необходимые для анализа.
Объект наблюдения
- некоторая статистическая совокупность, в которой проходят исследуемые
социально-экономические явления и процессы.
Единица наблюдения
- составной элемент объекта, являющийся носителем признаков, подлежащих
регистрации.
Отчётная единица
- субъект, от которого поступают сведения об единице наблюдения. Объект
наблюдения и отчётная единица могут совпадать.
Статистический формуляр
- документ одного образца, содержащий программу и результаты наблюдения. Он
необходим, чтобы обеспечить единообразие полученных сведений от каждой отчётной
единицы. Обязательными элементами формуляра являются адресная и титульная
части.
Титульная -
содержит наименование статистического наблюдения и органа, который проводит
наблюдение.
Адресная
часть включает адрес отчётной единицы, её подчинённость.
Формуляр может иметь различное название: карточка,
переписной лист, опросный бланк, анкета.
Различают 2 системы формуляра:
o индивидуальную,
которая содержит ответы на вопросы только об одной единице наблюдения;
o списочную,
которая содержит ответы на вопросы сразу о нескольких единицах наблюдения.
Программа наблюдения - перечень
признаков, подлежащих регистрации в процессе наблюдения. Она необходима, чтобы
отобрать те признаки, которые являются существенными для данного исследования.
Вопросы программы должны быть точными, следует определять состав и последовательность
вопросов.
Место и время наблюдения - выбор
места зависит от цели наблюдения. Выбор времени зависит от 2 вопросов:
¨ установления критического момента
(даты) или интервала времени;
¨ определения срока (периода)
наблюдения.
Критический момент
- это конкретный день года, час дня, по состоянию на который должна быть
проведена регистрация признаков.
Срок (период) наблюдения
- это время, в течение которого происходит заполнение статистических
формуляров; время, необходимое для проведения массового сбора данных.
Формы, виды и способы
статистического наблюдения.
|
Организационные
формы
статистического
наблюдения.
|
Виды статистического
наблюдения.
|
Способы
статистического наблюдения.
|
|
По
времени регистрации
|
По
охвату единиц совокупности
|
|
|
1.Статистическая
отчётность. 2.Специально организованное наблюдение. 3.Регистры.
|
1.Текущее
или непрерывное. 2.Прерывное: § периодическое; § единовременное.
|
1.Сплошное.
2.Несплошное: § выборочное;
§ основного
массива; § монографическое.
|
1.Непосредственное.
2.Документальное. 3.Опрос: § экспедиционный;
§ саморегистрации;
§ корреспонденций;
§ анкетный; § явочный.
|
Формы
статистического наблюдения:
1.Статистическая отчётность - основная
форма статистического наблюдения, с помощью которой органы, ведущие наблюдение,
в определённые сроки получают от предприятий, организаций и учреждений
определённые отчётные данные с подписями ответственных лиц.
2.Специально организованное
наблюдение - проводится с целью получения
сведений, отсутствующих в отчётности или для проверки её данных.
3.Регистры - форма
непрерывного статистического наблюдения за долговременными процессами, имеющими
фиксированное начало, стадию развития и фиксированный конец. Оно основано на
ведении статистического регистра. Регистр представляет собой систему, постоянно
следящую за состоянием единицы наблюдения и оценивающую силу воздействия
различных факторов на изучаемые показатели. В регистре каждая единица
наблюдения характеризуется совокупностью показателей. Одни из них остаются
неизменными в течение всего времени наблюдения и регистрируются один раз,
другие - обновляются по мере изменения. Все показатели хранятся до полного
завершения наблюдения.
Виды
статистического наблюдения:
|
По
времени регистрации фактов:
|
|
Текущее
наблюдение
|
При
нём изменения в отношении изучаемых явлений фиксируются по мере их
наступления.
|
|
Прерывное
периодическое наблюдение
|
При
таком наблюдении данные, отражающие изменение объекта, могут быть собраны в
ходе нескольких обследований. Они обычно проводятся по схожей программе.
|
|
Прерывное
единовременное наблюдение
|
Наблюдение
даёт сведения о количественных характеристиках какого-либо явления или
процесса в момент его исследования.
|
|
По
охвату единиц совокупности:
|
|
Сплошное
наблюдение
|
Его
задача заключается в получении информации о всех единицах совокупности.
|
|
Несплошное
наблюдение
|
Предполагает,
что обследованию подлежит лишь часть единиц изучаемой совокупности.
|
|
Несплошное
выборочное наблюдение
|
Основано
на принципе случайного отбора тех единиц изучаемой совокупности, которые
должны быть подвергнуты наблюдению.
|
|
Несплошное
наблюдение основного массива
|
Обследованию
подвергаются самые существенные, обычно наиболее крупные единицы
совокупности, которые по основному признаку имеют наибольший удельный вес в
совокупности.
|
|
Несплошное
наблюдение монографическое
|
Обследованию
подвергаются единицы изучаемой совокупности, обычно представители каких-либо
новых видов. Оно проводится с целью выявления имеющихся тенденций в развитии
данного дела или явления.
|
Способы статистического наблюдения:
|
Непосредственное
наблюдение
|
Наблюдение,
при котором сами регистраторы путём непосредственного замера, взвешивания или
подсчёта устанавливают факт, подлежащий регистрации, и на этом основании
производят записи в формуляре наблюдения.
|
|
Документальный
опрос
|
Основан
на использовании в качестве источника статистической информации различного
рода документов, как правило, учётного характера.
|
|
Опрос
|
Способ
наблюдения, при котором необходимые сведения получают со слов респондента. Он
предполагает обращение к непосредственному носителю информации.
|
|
Устный
опрос
|
(Экспедиционный)
- специально подготовленные работники получают необходимую информацию на
основе опроса соответствующих лиц и сами фиксируют ответы.
|
|
Опрос
саморегистрации
|
Формуляры
заполняются самими респондентами, а счётчики раздают им бланки опросного
листа, разъясняют правила их заполнения, а затем их собирают.
|
|
Корреспондентский
опрос
|
Способ
предполагает, что сведения в органы, ведущие наблюдение, сообщает штат
добровольных корреспондентов. Этот вид опроса требует наименьших затрат, но
не даёт уверенности в том, что полученные сведения высококачественны.
|
|
Анкетный
опрос
|
Предполагает
сбор информации в виде анкет. Определённому кругу респондентов вручаются
специальные вопросники, заполнение которых носит добровольный характер и осуществляется
анонимно.
|
|
Явочный
опрос
|
Предполагает
предоставление сведений в органы, ведущие наблюдение в явочном порядке
(регистрации браков, разводов и т.д.)
|
Организационные вопросы
статистического наблюдения. Закон Республики Беларусь "О государственной
статистике".
Большое организационное
значение для статистического наблюдения имеют подготовительные мероприятия к
его проведению. Особенно большое внимание подготовительным мероприятиям
уделяется при проведении специальных обследований и переписей. Одним из первых
мероприятий в плане подготовительных работ является составление предварительных
списков всех единиц, которые должны быть обследованы. Так, при подготовке
переписи населения составляются списки населенных мест, а в городах, кроме
того, списки домовладений, чтобы не допустить пропусков при проведении
наблюдения.
Особенно ответственным
подготовительным мероприятием при переписи населения и других переписях
является переписное районирование, то есть разбивка территории на
участки и расчет необходимого количества переписчиков. Границы отдельных
переписных районов обязательно осматриваются на местности.
Большое
внимание при проведении подготовительных работ уделяется подготовке
инспекторов, счетчиков и разъяснительной работе среди населения. Счетчики изучают
инструкцию по заполнению переписных формуляров, учатся правильно их заполнять.
При проведении разъяснительной работы населению объясняют цели и задачи
планируемых статистических работ. При
подготовке к проведению наблюдения своевременно разрабатывается статистический
инструментарий (бланки, инструкции и другая документация).
Важнейшим
требованием статистических исследований является достоверность статистических
данных на всех стадиях статистической работы и прежде всего на стадии
статистического наблюдения. Несмотря на все меры, принимаемые, чтобы избежать
ошибок в процессе наблюдения, они могут возникать. Необходимо знать причины
возникновения ошибок, чтобы уметь их обнаружить и устранить.
Ошибки
наблюдения в статистике подразделяются па два вида: ошибки регистрации и
ошибки репрезентативности (представительности).
Ошибки регистрации возникают
как вследствие неправильного установления факта (например, описки), так и
вследствие неправильной записи. Они могут быть случайными и систематическими.
Случайные ошибки - это ошибки, вызванные самыми различными причинами
и дающие искажения как в одну, так и в другую сторону. К случайным относятся,
например, описки, допущенные из-за рассеянности, невнимательности работника.
Эти ошибки при собирании сведений о массовых явлениях большой опасности не
представляют, так как при подсчете сводных итогов и обобщающих показателей
почти полностью взаимопогашаются. Другое
дело - ошибки систематические. Эти ошибки дают искажения всегда в одну
сторону, носят тенденционый характер и поэтому не "компенсируют" друг
друга. Систематические ошибки подразделяются па преднамеренные и непреднамеренные.
К преднамеренным ошибкам относятся различного рода приписки в отчетности,
которые заведомо искажают реальное положение дел. Непреднамеренные
систематические ошибки допускаются неумышленно. К таким ошибкам относятся,
например, ошибки аккумуляции возрастов при переписях населения. Эти ошибки
связаны с тенденцией пожилых людей преувеличивать свой возраст или округлять
его до чисел, кратных 5 и особенно 10.
Ошибки
репрезентативности возникают только при несплошном
(выборочном) наблюдении. Они происходят из-за того, что отобранная в случайном
порядке часть совокупности недостаточно точно (полно) отражает особенности всей
совокупности в целом.
Статистическая деятельность в
Республике Беларусь осуществляется в соответствии с Законом РБ "О
государственной статистике". Закон принят Палатой представителей 29
октября 2004 года. Одобрен Советом Республики 10 ноября 2004 года.
Изменения и дополнения:
Закон Республики Беларусь от 4 января 2008 г. №
309-З (Национальный реестр правовых актов Республики Беларусь, 2008 г., № 6,
2/1406) <H10800309>;
Закон Республики Беларусь от 2 июля 2009 г. №
31-З (Национальный реестр правовых актов Республики Беларусь, 2009 г., № 161,
2/1583) <H10900031>. Настоящий
Закон определяет порядок организации и ведения государственной статистики в
Республике Беларусь и регулирует отношения, связанные с осуществлением
государственной статистической деятельности.
Основными задачами государственной
статистики являются:
-разработка научно обоснованной статистической
методологии и ее совершенствование в соответствии с национальными и
международными стандартами в области статистики;
сбор, обработка, обобщение, накопление, хранение
и защита статистических данных (информации) на основе статистической
методологии;
представление сводных статистических данных
(информации) Президенту Республики Беларусь, Национальному собранию Республики
Беларусь, Совету Министров Республики Беларусь, Администрации Президента
Республики Беларусь, Комитету государственного контроля Республики Беларусь,
республиканским органам государственного управления и иным государственным
организациям, подчиненным Совету Министров Республики Беларусь, областным и
Минскому городскому исполнительным комитетам;
распространение сводных статистических данных
(информации).
Основными принципами государственной
статистики являются:
-профессиональная независимость;
рациональность при выборе способов сбора
первичных статистических данных;
научная обоснованность, достоверность и
объективность статистических данных (информации);
актуальность и своевременность статистических
данных (информации);
конфиденциальность первичных статистических
данных;
сопоставимость статистических данных (информации);
доступность и открытость сводных статистических
данных (информации).
Закон включает в себя:
ГЛАВА 1
ОБЩИЕ ПОЛОЖЕНИЯ
Статья 1. Основные термины, применяемые в
настоящем Законе, и их определения.
Статья 2. Отношения, регулируемые настоящим
Законом.
Статья 3. Законодательство Республики Беларусь о
государственной статистике.
Статья 4. Основные задачи государственной
статистики.
Статья 5. Основные принципы государственной
статистики.
Статья 6. Международное сотрудничество в области
государственной статистики.
ГЛАВА 2
СУБЪЕКТЫ ПРАВООТНОШЕНИЙ В ОБЛАСТИ
ГОСУДАРСТВЕННОЙ СТАТИСТИКИ, ИХ ПРАВА И ОБЯЗАННОСТИ
Статья 7. Субъекты правоотношений в области
государственной статистики.
Статья 8. Система органов государственной
статистики.
Статья 9. Права и обязанности органов
государственной статистики.
Статья 10. Недопустимость вмешательства в
государственную статистическую деятельность.
Статья 11. Права и обязанности уполномоченных
государственных организаций.
Статья 12. Права и обязанности респондентов.
ГЛАВА 3
ОСУЩЕСТВЛЕНИЕ ГОСУДАРСТВЕННОЙ СТАТИСТИЧЕСКОЙ
ДЕЯТЕЛЬНОСТИ
Статья 13. Ведение государственной статистики.
Статья 14. Программа статистических работ.
Статья 15. Финансовое обеспечение деятельности
органов государственной статистики.
Статья 16. Государственные статистические
наблюдения.
ГЛАВА 4
ПРЕДСТАВЛЕНИЕ, РАСПРОСТРАНЕНИЕ И ИСПОЛЬЗОВАНИЕ
СТАТИСТИЧЕСКИХ ДАННЫХ (ИНФОРМАЦИИ)
Статья 17. Представление первичных
статистических данных.
Статья 18.Распостранение и использование
статистических данных (информации).
Статья 19. Формирование и ведение
статистического регистра.
ГЛАВА 5
ОТВЕТСТВЕННОСТЬ ЗА НАРУШЕНИЕ ЗАКОНОДАТЕЛЬСТВА
РЕСПУБЛИКИ БЕЛАРУСЬ В ОБЛАСТИ ГОСУДАРСТВЕННОЙ СТАТИСТИКИ
Статья 20. Ответственность за нарушение порядка
представления и искажение данных государственной статистической отчетности.
Статья 21. Ответственность за нарушения,
допущенные при осуществлении государственной статистической деятельности.
ГЛАВА 6
ЗАКЛЮЧИТЕЛЬНЫЕ ПОЛОЖЕНИЯ
Статья 22. Вступление в силу настоящего Закона.
Статья 23. Приведение актов законодательства
Республики Беларусь в соответствие с настоящим Законом.
Статья 24. Признание законодательного акта
утратившим силу.
1.2 Сводка и группировка
статистических данных
Упорядочение, систематизация и обобщение
статистических данных проводятся на втором этапе статистического исследования в
процессе сводки и группировки данных, полученных при статистическом наблюдении.
Только надлежащая обработка статистического материала позволяет выявить
сущность социально-экономических явлений, характерные черты и существенные
особенности отдельных типов, обнаружить закономерности и тенденции их развития.
Сводка - представляет собой комплекс
последовательных операций по обобщению конкретных, единичных фактов, образующих
совокупность, для выявления характерных черт и явлений, а также
закономерностей, присущих изучаемому явлению.
По объёму выполняемых работ сводки бывают:
•Простая сводка - операция по подсчёту общих
итогов по совокупности единиц наблюдения.
•Сложная сводка - представляет собой комплекс
операций, включающих группировку единиц совокупности, подсчёт итогов по каждой
группе и по всему объекту в целом и представление результатов группировки и
сводки в виде статистических таблиц.
По форме обработки материала сводка бывает:
· Децентрализованная - при которой разработка
материала производится последовательными этапами.
· Централизованная - при которой весь
первичный материал поступает в одну организацию, где подвергается обработке от
начала до конца.
По технике выполнения сводка бывает:
· Механизированная - при которой все
операции осуществляются с помощью электронно-вычислительных машин.
· Ручная - при которой все основные
операции осуществляются вручную.
В соответствии с сущностью статистической сводки
как второго этапа статистического исследования задачи ее можно сформулировать
как получение обобщающих показателей для информационно-справочных и
аналитических целей. Сводка массовых статистических данных осуществляется по
заранее разработанным программе и плану. В процессе разработки программы определяются
подлежащее и сказуемое сводки.
Подлежащее-это
объект исследования, расчлененный на группы и подгруппы.
Сказуемое -
показатели, которые характеризуют подлежащее сводки. Программа сводки
определяется задачами статистического исследования.
Однако можно выделить общие вопросы, решаемые в
программе групповой сводки:
выделение групп, на которые
должна быть расчленена совокупность в зависимости от задач исследования и
сущности изучаемых явлений;
определение перечня
группировочных признаков, позволяющих отнести отдельные единицы изучаемой
совокупности в ту или иную группу в пределах выделенной системы групп;
установление границ каждой
группы при группировке по количественным признакам;
установление системы
показателей для количественной и качественной характеристики выделенных групп.
Статистическая сводка
выполняется по заранее продуманному плану. В плане сводки решаются вопросы о
способах проведения работы по обобщению информации - вручную или
механизированным способом, о последовательности отдельных операций сводки, выполняемых
в децентрализованном и централизованном порядке. В плане статистической сводки
устанавливаются сроки выполнения каждого этапа и сводки в целом, а также
способы изложения результатов сводки. Это могут быть ряды распределения,
статистические таблицы и статистические графики.
Группировкой называют разделение
множества единиц изучаемой совокупности на группы по определённым существенным
для них признакам.
Невозможность статистической характеристики
объекта исследования без выделения групп легко показать на примере совокупности
промышленных организаций. Каждая промышленная организация имеет индивидуальные
особенности: год образования, место положения, состав установленного
организацией оборудования и т.д. Без преодоления иных индивидуальных черт
исследовать закономерности развития промышленности, которые теряются в
многочисленных характеристиках, отличающих одну организацию от другой, нельзя.
Поэтому организации необходимо объединить в группы по отрасли промышленности,
назначению выпущенной продукции, численности занятых и т.д. Таким образом, в
показателях произойдёт выявление общих, существенных признаков исследуемого
явления.
С
помощью метода группировок решаются следующие задачи:
1. выделение социально - экономических типов
явлений;
2. изучение структуры явления и структурных
сдвигов, происходящих в нём;
. выделение связи и зависимости между
явлениями.
Статистические группировки бывают:
§ Типологические -
это разделение исследуемой качественно - однородной совокупности на классы,
социально - экономические типы, однородные группы в соответствии с правилами
научной группировки. Типологические группировки широко применяется в
исследовании социально- экономических типов явлений и процессов.
§ Структурные -
в них происходит разделение однородной совокупности на группы, характеризующие
её структуру по какому-либо основному признаку. С помощью таких группировок
могут решаться вопросы изучения населения по полу, возрасту, месту проживания.
§ Аналитические
- группировки, выявляющая взаимосвязи между изучаемыми явлениями и их
признаками.
Кроме того, группировки бывают:
§ Простые - по одному признаку;
§ Комбинационные - по 2 и более признакам
(группировка населения по месту жительства, по полу, по национальности).
Группировки образуются на основании определённых
признаков.
Признаки бывают:
|
Существенные
признаки
|
Определяют
сущность явления, являются основными.
|
|
Второстепенные
признаки
|
Не
являются существенными, но имеют большое влияние на исследуемое явление.
|
|
Атрибутивные
признаки (качественные)
|
Выражают
свойства изучаемых явлений, которые не могут количественно измерены.
|
|
Количественные
признаки
|
Отражают
свойства явлений, которые могут быть измерены, подсчитаны.
|
|
Прерывные
признаки
|
Признаки,
которые могут выражаться только целыми числами (число детей в семье).
|
|
Непрерывные
признаки
|
Могут
выражаться как целыми числами, так и дробными числами (вес).
|
|
Факторные
признаки
|
Признаки,
оказывающие влияние на изменение других признаков.
|
|
Результативные
признаки
|
Признаки,
величина которых формируется под воздействием факторных признаков.
|
В результате сводки и
группировки статистических материалов получают ряды цифровых показателей,
характеризующие отдельные стороны изучаемого явления. Эти ряды называются
статистическими.
По содержанию статистические
ряды делятся на ряды динамики и ряды распределения.
Рядами
распределения называются ряды, характеризующие
распределение единиц совокупности по какому-либо признаку, разновидности
которого расположены в определенном порядке. Ряды распределения бывают
атрибутивными и вариационными.
Атрибутивными
называются ряды, образованные по атрибутивным признакам, например распределение
населения по полу. Построение атрибутивных рядов несложно: образуется столько
групп, сколько вариантов атрибутивного признака имеет изучаемое явление.
Вариационные ряды
распределения образуются по количественным признакам.
Вариационный ряд -
это последовательность количественных значений признака, расположенных в
порядке возрастания или убывания. Например, имеются данные о месячной выработке
20 рабочих: 80, 86, 92, 86, 98, 86, 110, 110, 92, 98, 110, 92, 98, 92 единицы
изделия. Построим вариационный ряд (табл. 1.2.1). В такой записи лучше видна
вариация выработки рабочих и число рабочих, имеющих тот или иной показатель
выработки.
Таблица 1.2.1. Распределение рабочих по
выработке
|
Выработка,
штук
|
Численность
рабочих, человек
|
|
x - варианты
|
f - частоты
|
|
80
|
1
|
|
86
|
5
|
|
92
|
5
|
|
98
|
3
|
|
110
|
6
|
В вариационном ряду различают
два элемента: варианты и частоты.
Варианта -
это отдельное значение группировочного признака в вариационном ряду.
Частоты -
это числа, которые показывают, как часто встречаются те или иные варианты.
Различают дискретные и интервальные
вариационные ряды.
Для дискретных рядов характерно
прерывное изменение признака. Примером дискретного вариационного ряда является
распределение семей по числу детей, где варианты - группы семей по числу детей,
а частоты - число семей.
В интервальных вариационных рядах значения
вариант даются в виде интервалов. Вычисление статистических показателей в
интервальном ряду возможно только при условии предварительного представления
его в форме дискретного ряда, в котором вариантами являются средняя
арифметическая величина нижней и верхней границ каждой группы.
Результаты сводки и группировки
статистических данных оформляются в виде статистических таблиц.
Статистические
таблицы - это способ рационального изложения и
наглядного представления статистических данных, характеризующих изучаемые
явления и процессы.
Статистическая таблица состоит
из горизонтальных строк и вертикальных граф. Пересечения строк и граф образуют остов
таблицы (рис. 1.2.1).
Рис.1.2.1. Остов статистической
таблицы.
В образующиеся при пересечении
строк и столбцов клетки вписываются цифровые данные. Содержание в строках
раскрывается в заголовках в первой графе слева (боковые заголовки), показателей
в столбцах - в заголовках, расположенных в верхней части таблицы (верхние
заголовки). Обязательным элементом таблицы является общий заголовок. Остов
таблицы вместе с заголовками, но без цифровых показателей, образуют макет
статистической таблицы.
Основными элементами таблицы
выступают подлежащее и сказуемое.
Подлежащее
статистической таблицы - это единицы наблюдения,
объект исследования в целом или разделенный на группы и подгруппы.
Сказуемое таблицы -
это показатели, характеризующие подлежащее.
Таблицы в зависимости от строения подлежащего
подразделяются па простые, групповые и комбинационные.
Простыми называются
таблицы, подлежащее которых представляет собой объект наблюдения без деления на
группы и подгруппы. В зависимости от объекта изучения простые таблицы
подразделяются на перечневые, территориальные, хронологические. В
простых перечневых таблицах подлежащее представлено перечнем единиц,
составляющих объект изучения. В простых территориальных таблицах в качестве
подлежащего выступают административно-территориальные единицы страны (области,
районы, города). В простых хронологических таблицах подлежащее - различные
периоды времени (годы, кварталы, месяцы или даты). Зачастую в подлежащем
простых таблиц сочетаются перечень или территория с периодами (моментами)
времени. Такие таблицы называются перечнево - хронологическими или
территориально - хронологическими. Простые таблицы используются в основном в
справочно-информационных целях, они наглядно и рационально отражают результаты
наблюдения и сводки и публикуются в статистических ежегодниках и справочниках.
Групповыми называются
таблицы, подлежащим в которых является группировка единиц наблюдения по одному
признаку.
Комбинационные
таблицы - в которых подлежащее представляет собой группировку по двум и более
признакам.
Групповые и комбинационные таблицы отличаются от
простых большей степенью обобщения данных статистического наблюдения и
аналитичностью. Комбинационные таблицы по сравнению с простыми и групповыми
предоставляют большие возможности для глубокого и всестороннего изучения
явления, его связей с другими явлениями.
Статистические таблицы строятся по
правилам:
таблица должна иметь чётко сформулированный
заголовок, кратко, но точно раскрывающий содержание таблицы с указанием объекта
изучения;
если показатели, приводимые в таблице, однородны
и измеряются в одних и тех же единицах измерения, то последние записываются в
конце общего заголовка, либо под общим заголовком;
графы сказуемого, если их много, нумеруются
арабскими цифрами;
боковые и верхние заголовки таблицы
формулируются кратко и чётко;
если сведения о показателе отсутствуют, то в
соответствующей клетке ставятся три точки;
если явление в изучаемом периоде не имело места,
то ставится прочерк;
количественные показатели таблицы должны иметь
одинаковую степень точности;
статистические таблицы не следует перегружать
излишними показателями, это снижает их главные достоинства: наглядность и
выразительность;
статистические таблицы должны содержать общие и
при необходимости групповые итоги.
Правильно составленные и оформленные
статистические таблицы легко читаются и анализируются.
1.3 Абсолютные и относительные
величины
Статистические показатели -
количественная характеристика социально-экономических явлений в условиях
качественной определённости.
Система показателей - система
или совокупность взаимосвязанных показателей, имеющих одноуровневую и
многоуровневую структуру и нацеленная на решение конкретной статистической
задачи.
Статистические показатели бывают:
-по охвату единиц совокупности: индивидуальные и
сводные;
( сводные подразделяются на объёмные и
расчётные),
по форме выражения: абсолютные, относительные,
средние.
Индивидуальные показатели - характеризуют
отдельный объект или отдельную единицу совокупности.
Сводные показатели - характеризуют
группу единиц, представляющую собой часть статистической совокупности.
Объёмные показатели - получают
путём сложения показателей отдельных единиц совокупности.
Расчётные показатели - вычисляются
по различным формулам и служат для решения отдельных статистических задач.
Абсолютные показатели -
являются первичной формой выражения статистического наблюдения. Они
характеризуют абсолютные размеры изучаемых явлений и процессов. Их получают
непосредственно в процессе статистического наблюдения как результат замера,
подсчёта и т.д.
Единицы измерения абсолютных
показателей :
натуральные
(относятся: м, кг, л, км, м2, м3, и т.д.);
условно-натуральные
( используются в тех случаях, когда какой-то продукт имеет несколько разновидностей,
и общий объем можно определить только исходя из общего для всех разновидностей
потребительского свойства. Перевод в условные единицы измерения осуществляются
на основе специальных коэффициентов, рассчитываемых как отношение
потребительских свойств отдельных разновидностей продукта к эталонному значению
(топливо с условной теплотой сгорания: МДж/кг; кВт/час и др.);
- трудовые
(позволяют учитывать как общие затраты труда на предприятии, так и трудоёмкость
отдельных операций технологического процесса (чел/день, чел/час));
- стоимостные
(дают денежную оценку социально-экономическим явлениям и процессам (руб., у.е.
и т.д.).
Относительные показатели - представляют
собой результат деления одного абсолютного показателя на другой и выражают
соотношение между количественными характеристиками социально-экономических
процессов и явлений.
При расчёте относительного показателя,
абсолютный показатель, находящийся в числителе называется текущим или
сравниваемым. Показатель же, с которым производится сравнение и который
находится в знаменателе, называется, основанием или базой сравнения.
Рассчитываемый относительный показатель указывает, во сколько раз сравниваемый
абсолютный показатель больше базисного или какую долю от него составляет.
Относительные показатели могут выражаться в коэффициентах или процентах. Если
база сравнения принимается за 1, то относительный показатель выражается в
коэффициентах, а если база сравнения принимается за 100, то относительный
показатель выражается в процентах.
Виды и прядок расчёта относительных
показателей.
|
Относительный
показатель динамики (ОПД)
|
Представляет
собой соотношение уровня исследуемого процесса или явления за данный период
времени и уровня этого же процесса или явления в прошлом. Если данный
показатель выражен кратным отношением, он называется коэффициентом роста,
если его умножить на 100% - получаем темп роста.
|
|
|
Относительный
показатель плана (ОПП), относительный показатель реализации плана (ОПРП)
|
Используется
всеми субъектами финансово-хозяйственной сферы, которые осуществляют
перспективное планирование своей деятельности, а также для сравнения реально
достигнутых результатов с ранее намеченными.
|
|
|
|
|
|
|
|
|
Относительный
показатель структуры (ОПС)
|
Представляет
собой соотношение структурных частей изучаемого объекта и их целого.
Выражается в долях единицы или в %-х. Рассчитанные величины, соответственно
называемые долями или удельными весами, показывают, какой долей обладает или
какой удельный вес имеет i-часть в общем итоге.
|
|
|
Относительный
показатель координации (ОПК)
|
Характеризует
соотношение отдельных частей целого между собой. В качестве базы сравнения
выбирается та часть совокупности, которая имеет наибольший удельный вес или
является приоритетной с экономической, социальной или какой-либо другой точки
зрения. В результате получают, сколько единиц каждой структурной части
приходиться на одну единицу базисной структурной части.
|
|
|
Относительный
показатель интенсивности (ОПИ)
|
Характеризует
степень распространения изучаемого явления или процесса в присущей ему среде.
Этот показатель исчисляется, когда абсолютная величина оказывается
недостаточной для формулировки обоснованных выводов о масштабах явления, его
размеров, насыщенности, плотности и распространения. Расчет ОПИ в ряде
случаев связан с проблемой выбора наиболее обоснованной, соответствующей
данному процессу или явлению базы сравнения. Разновидностью ОПИ является
показатель уровня экономического развития, характеризующий производство
продукции в расчете на душу населения и играющий важную роль в оценке
развития экономики государства.
|
|
|
Относительный
показатель сравнения (ОПСр)
|
Представляет
собой соотношение одноим..ных абсолютных показателей, характеризующихарак
разные объекты (предприятия, фирмы).
|
|
1.4 Средние величины и показатели
вариации
Общественные явления, несмотря
на наличие многочисленных и разнообразных уровней или значений, обладают
некоторыми характерными, свойственными большинству из них свойствами, которые
могут выражаться в статистике при помощи средних величин.
Средние величины в
статистике - это показатели, выражающие характерные, типичные, свойственные
большинству признаков размеры и соотношения.
Метод средних величин
заключается в замене большого числа фактических значений признака одной
усредненной величиной, поглощающей имеющиеся внутри совокупности вариации.
Надежность средних величин зависит как от меры, величины вариации признака
внутри совокупности, так и от численности самой совокупности. Чем меньше
вариация признака и больше совокупность, по которой она определяется, тем
надежнее средняя величина. Поэтому в статистике разработаны как правила
использования метода средних величии, так и правила расчета средних величин.
Далее, общие средние для
качественно однородных явлений должны дополняться средними и индивидуальными
величинами, характеризующими части целого.
И, наконец, средние должны
рассчитываться для достаточно многочисленных совокупностей, чтобы в них мог
проявиться закон больших чисел, обеспечивающий устойчивость средних.
В статистике используются
различные виды средних величин: средняя арифметическая, средняя гармоническая,
средняя геометрическая, средняя квадратическая, средняя хронологическая и т. д.
При использовании средних величин важно правильно выбрать вид средней и способ
ее расчета.
Средние величины:
|
1
|
Исходное
соотношение средней
|
ИСС
|
(Суммарное значение или объём осредняемого
признака) (Число
единиц или объём совокупности)
|
|
2
|
Средняя
арифметическая простая величина
|
|
, где Xi -
индивидуальное значение признака, n - число
единиц совокупности, - средняя
величина явления.
|
|
3
|
Средняя
арифметическая взвешенная величина
|
|
, где fi- вес i-го
варианта.
|
|
4
|
Средняя
гармоническая простая величина
|
|
, где n - число
единиц совокупности, Xi - индивидуальное значение
признака.
|
|
5
|
Средняя
гармоническая взвешенная величина
|
|
, где Wi -
второстепенный показатель осредняемого признака.
|
|
6
|
Средняя
геометрическая невзвешенная
|
|
, где к -
количество осредняемых величин.
|
|
7
|
Средняя
геометрическая взвешенная
|
|
, где fi- вес i-го
варианта.
|
|
8
|
Средняя
хронологическая
|
|
|
Модой в статистике
называется величина признака (варианта), которая чаще всего встречается в
совокупности. В дискретном вариационном ряду это
будет варианта, имеющая наибольшую частоту. Поэтому определение моды для
дискретного ряда не представляет трудностей.
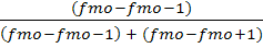
При исчислении моды М0
для интервального вариационного ряда необходимо вначале определить
модальный интервал, в пределах которого находится мода, а затем приближенное
значение модальной величины признака по формуле:
Mo
= Xo
+ i
Мо - мода;
Хо -
нижняя граница модального интервала (модальным называется интервал, имеющий
наибольшую частоту);
i
-
величина модального интервала;
fmo
- частота модального интервала;
fmo
-1
- частота интервала, предшествующего модальному;
fmo
+1
- частота интервала, следующего за модальным.
Медианой в
статистике называется варианта, которая находится в середине вариационного
ранжированного ряда. Медиана делит ряд на две равные
части.
Так, медианой ряда из пяти
вариант, расположенных в возрастающем или убывающем порядке, будет третья по
счету варианта. Когда ряд состоит из четного числа членов, в качестве медианы
берется средняя арифметическая величина из двух вариант, расположенных в
середине ряда. Например, для шести членов ряда медиана будет равна средней
арифметической третьей и четвертой вариант. Так, для следующего ряда: 30, 26,
25, 24, 23 и 20, медиана будет равна (25+24):2=24,5.
Порядковый номер медианы дискретного
вариационного ряда равен полусумме частот ряда с добавлением 1/2, или:
При исчислении медианы для
интервального вариационного ряда (
)
вначале определяют медианный интервал, в пределах которого находится медиана,
аналогичным образом, а затем приближенное значение медианы по формуле:
Me = Xo + i
- медиана;
Хо -
нижняя граница медианного интервала (медианным интервалом называется интервал,
накопленная частота которого превышает половину общей суммы частот);
i
- величина медианного интервала;
Sme
- 1
- накопленная частота интервала, предшествующего медианному;
fme
-
частота медианного интервала;
∑fi
- общая сумма частот.
Мода и медиана относятся к так
называемым структурным средним. Они используются как дополнительные
характеристики к средним величинам или вместо них.
Изучаемые статистикой явления и
процессы общественной жизни обычно имеют разнообразные варианты, значения
признаков. Вариация - изменение (колеблемость) значений признака внутри
совокупности. Величины признаков варьируют под действием различных причин и
условий. Чем разнообразнее условия, влияющие на размер данного признака, тем
больше его вариация.
Поскольку колеблемость
признаков бывает большей или меньшей, возникает задача измерения ее величины.
Измерение вариации признака является необходимым условием при решении целого
ряда задач. К основным из них относятся: определение надежности средних
величин, результатов выборочных наблюдений для различных совокупностей,
вычисления показателей асимметрии и эксцесса и в ряде других случаев.
Для измерения размера вариации
в статистике используются различные показатели, которые принято делить на
абсолютные и относительные. К абсолютным показателям вариации относятся:
размах вариации, среднее линейное отклонение, дисперсия признака и среднее
квадратическое отклонение. К относительным показателям - коэффициент
осцилляции, линейный коэффициент вариации, коэффициент вариации. Они
используются как при сравнении вариаций различных признаков в одной и той же
совокупности, так и при сравнении вариаций одного признака в нескольких
совокупностях, где уровень средних арифметических различен.
Показатели вариации
рассчитываются по формулам:
1. Размах вариации определяется
по формуле:
R
= Xmax.
- Xmin.
- размах вариации;
Xmax.
- максимальное значение признака;
Xmin.-
минимальное значение признака.
2. Среднее линейное отклонение
простое определяется по формуле:
d
=
d
-
среднее линейное отклонение простое;
Xi
-
индивидуальное значение признака;
X
-
средняя величина признака.
. Среднее линейное отклонение
взвешенное определяется по формуле:
d
=
- среднее линейное отклонение
взвешенное;
fi - вес i-го варианта
(признака).
4. Дисперсия
простая определяется по формуле:
G2 =
5. Дисперсия
взвешенная определяется по формуле:
G2 =
6. Среднее
квадратическое отклонение определяется по формуле:
G =
7. Коэффициент
вариации определяется по формуле:
VG =
100%
-
коэффициент вариации;
G - среднее квадратическое
отклонение;
Х - средняя
величина явления.
8. Линейный
коэффициент вариации определяется по формуле:
Vd
=
100%
Vd
-
линейный коэффициент вариации.
9. Коэффициент осцилляции
определяется по формуле:
VR
=
100%
-
коэффициент осцилляции.
1.5 Ряды динамики
Одной из важнейших задач
статистики является изучение развития явлений общественной жизни во времени.
Эта задача решается посредством построения и анализа статистических рядов
динамики.
Кроме этого ряды динамики
позволяют измерить динамику изучаемых явлений на основе системы статистических
показателей, выявить и количественно оценить основную тенденцию развития
(тренд) изучаемого явления, исследовать сезонные колебания в развитии явлений и
процессов общественной жизни, произвести интерполяцию, экстраполяцию и
прогнозирование уровней социально-экономических явлений.
Рядами динамики в
статистике называются ряды расположенных в хронологическом порядке показателей,
характеризующих изменение величины общественных явлений во времени.
Ряды динамики состоят из
числовых значений двух показателей: моментов или периодов времени t,
к
которым относятся приводимые данные, и соответствующих им статистических данных
у, которые называются уровнями динамического ряда.
Виды рядов динамики
представлены в таблице.
При экономическом анализе
социально-экономических явлений возникает необходимость сравнения отдельных показателей
внутри динамического ряда, а также сравнения уровней аналогичных динамических
рядов. Для правильного определения характера и темпов развития изучаемого
явления показатели динамического ряда должны быть сопоставимы между собой, а
также с уровнями аналогичных динамических рядов.
статистика учет индекс
цена
Несопоставимость уровней рядов
динамики возможна по различным причинам: из-за изменения территории или даты
учета, разной продолжительности периодов, к которым относятся уровни; в силу
изменения цен, курса валюты, различий в охвате явления статистическими
наблюдениями; из-за разных методик исчисления уровней, а также различных единиц
измерения; из-за неоднородности совокупностей по структуре и т.д.
Несопоставимость уровней из-за
изменения территориальных границ (или административного или ведомственного
подчинения) довольно часто встречается в статистической практике. Чтобы сделать
данные сопоставимыми, необходимо пересчитать все уровни в границах одной
территории (обычно в новых). Отметим, что не всегда изменение границ приводит к
несопоставимости показателей. Если нужно определить, как изменились
анализируемые показатели в зависимости от изменения территории, то сравнивают
фактические данные на территории в новых и прежних границах.
Пересчитывать данные необходимо
при изменении даты учета. Например, если учет скота в течение ряда лет
проводился по состоянию на 1 октября, а затем на 1 января, то данные учета в
разные даты нельзя объединять в один ряд динамики, не пересчитав их, так как они
несопоставимы.
В интервальном динамическом
ряду условием сопоставимости уровней является равенство периодов времени, за
которые приводятся данные, так как показатели, характеризующие какое-либо
явление за произвольные отрезки времени, не сопоставимы. Например, нельзя
сравнивать месячные показатели выпуска продукции с квартальными, квартальные с
годовыми.
При сопоставлении данных в
денежном выражении возникают сложности из-за того, что уровни цен непрерывно
меняются, а кроме того, в. статистике используются несколько видов цен:
оптовые, розничные, кооперативные, договорные, закупочные, сдаточные и др. Все
виды цен могут быть переведены в единые (базисные) неизменные цены, которые
называются сопоставимыми ценами. Такой перевод осуществляется либо прямой оценкой
объекта исследования непосредственно в сопоставимых ценах, либо с помощью
индексов цен.
Сопоставимость показателей
динамического ряда по полноте охвата единиц наблюдения означает, что в каждом
из промежутков или моментов времени, представленных в ряду, учтены все объекты,
без каких-либо пропусков. Например, анализируя динамику численности студентов
высших учебных заведений по годам, нельзя в одни годы учитывать студентов всех
видов обучения, а в другие - только студентов дневного обучения.
Если статистические показатели
измеряются в разных единицах измерения, это также делает их несопоставимыми.
Такие показатели пересчитывают в одни и те же единицы измерения при помощи
специальных коэффициентов перевода.
При построении рядов динамики
необходимо использовать единую методику учета данных или расчета уровней. В
каждом конкретном случае сопоставимость данных достигается различными приемами.
Можно заменять абсолютные величины относительными, так как последние обладают
свойством абстрагировать различия абсолютных величин. Иногда данные, не
сопоставимые по суммарному значению, вполне сравнимы по своим средним
значениям.
Аналитические показатели рядов
динамики.
|
Наименование
|
Обозначение
|
Формула
расчёта
|
Значение
показателя
|
|
1.Абсолютный
прирост (цепной)
|
∆Yiц
|
∆Yiц = Yi - Yi-1, где
Yi - текущий
уровень ряда; Yi-1 - предшествующий
уровень ряда.
|
Характеризует
абсолютный размер увеличения(уменьшения) уровня ряда за определённый
промежуток времени.
|
|
2.
Абсолютный прирост (базисный)
|
∆Yiб
|
∆Yiб = Yi - Y1, где Y1 - начальный
уровень ряда.
|
|
|
3.Коэффициент
роста (цепной)
|
Крц
|
|
Коэффициент
роста и темп прироста представляет собой две формулы выражения интенсивности
изменения уровня. Коэффициент роста показывает во сколько раз данный уровень
ряда больше базисного уровня или какую часть базисного уровня составляет
уровень текущего периода за некоторый промежуток времени.
|
|
4.
.Коэффициент роста (базисный)
|
Крб
|
|
|
|
5.Темп
роста (цепной)
|
Трц
|
Трц
= Крц ×
100%
|
|
|
6.Темп
роста (базисный)
|
Трб
|
Трб
= Крб ×
100%
|
|
|
7.
Темп прироста (цепной)
|
∆Тц
|
∆Тц =
|
Характеризует
относительную скорость изменения уровня ряда в единицу времени.
|
|
8.
Темп прироста (базисный)
|
∆Тб
|
∆Тб = Трб -
100%
|
|
|
9.Абсолютное
значение одного процента прироста
|
А
/%/
|
|
Абсолютное
значение одного процента прироста представляет собой одну сотую часть
базисного уровня.
|
|
10.Общий
абсолютный прирост
|
∆Yiобщ
|
∆Yiобщ = ∑∆Yiц = Yn - Y1 Yn -
последний уровень ряда.
|
Характеризует
общий абсолютный прирост
|
.Средние показатели
рядов динамики:
|
Наименование
и обозначение
|
Формула
расчета
|
Значение
показателя
|
|
Средний
уровень ряда динамики
|
Для
интервальных рядов с равноотстоящими уровнями: Для интервальных рядов с
неравноотстоящими уровнями: Для моментного ряда с
равноотстоящими уровнями: Для моментного ряда с
неравноотстоящими уровнями:
|
Характеризует
типичную величину абсолютных уровней. у - уровни интервального и моментного
рядов n -
количество периодов времени t- периоды времени,
отделяющие один от другого
|
|
Средний
абсолютный прирост
|
|
Является
обобщающим показателем скорости абсолютного изменения уровней динамического
ряда. Показывает, на сколько единиц увеличивался или уменьшался уровень по
сравнению с предыдущим в среднем за анализируемую единицу времени. n - число
уровней ряда динамики n-1 - число цепных
абсолютных приростов
|
|
Средний
темп роста
|
Если
анализируемый период разбит на равные отрезки времени: или или
|
Является
обобщающим показателем индивидуальных темпов роста уровней ряда динамики. m=n-1 - число
цепных темпов роста; ti - продолжительность i-x отрезков
времени
|
|
Средний
темп прироста
|
или (если выражен в
коэффициентах)
|
Является
обобщающим показателем темпов прироста уровней ряда динамики.
|
1.6 Индексы
Индексный метод - один из самых
распространенных методов статистического анализа экономических явлений. С
помощью индексов изучаются народное хозяйство в целом и его отдельные отрасли,
а также деятельность предприятий, объединений, фирм, хозяйств и др.; выявляется
динамика развития социально-экономических явлений, анализируется выполнение
планов или норм; определяется влияние отдельных факторов на общий результат,
вскрываются резервы производства; проводятся территориальные и международные
сопоставления экономических показателей.
Индексом в
статистике называется относительный показатель, характеризующий соотношение во
времени, по сравнению с планом или в пространстве уровней
социально-экономических явлений. Так как индекс -
относительный показатель, то он всегда получается при соотношении двух величин:
отчетной (или текущей), т. е. сравниваемой, и базисной, т. е. той, с уровнем
которой сравнивается отчетная величина. Если за базу сравнения берется уровень
явления за какой-то прошлый период времени, получают динамические индексы; если
за базу сравнения берется уровень явления на другой территории, получают
территориальные индексы.
В формулах, системах уравнений,
экономико-математических моделях текущие данные помечаются единицей, стоящей
чуть ниже буквенного обозначения величины. Например: p1
, a данные, которые
используются в качестве базы сравнения, помечаются нулем: р0. (В
математике такие обозначения называются индексами, в статистике - подстрочными
значками.) Как и всякая относительная величина, индексы выражаются в виде
коэффициентов, если за основание принимается единица, или в виде процентов,
если за основание принимается сто.
Социально-экономические
явления, изучаемые статистикой, обычно состоят из многих элементов. Так,
валовой выпуск продуктов и услуг включает стоимость конечных товаров и услуг,
созданных всеми общественно организованными видами экономической деятельности и
во всех отраслях экономики. Другими словами, валовой выпуск продуктов и услуг
состоит из многих отдельных видов продуктов и услуг.
Индексы рассчитываются как для
отдельных элементов сложного явления, так и для всего сложного явления в целом.
В первом случае они называются индивидуальными и обозначаются латинской
буквой i, а во второй - общими
и обозначаются I . К
индивидуальным индексам относятся индексы, характеризующие изменение выпуска
одного какого-либо вида продукции (индексы выплавки стали, добычи калийных
удобрений, производства телевизоров и др.), индексы, характеризующие изменение
цены какого-либо товара (велосипедов, цемента, говядины и др.), себестоимости
отдельного изделия и т. д.
К индексам, исчисленным для
всего сложного явления, т. е. общим, относятся индексы, характеризующие
динамику выпуска всей продукции предприятия, отрасли и др., динамику цен группы
товаров, или всех товаров, или набора продовольственных и непродовольственных
товаров и услуг, входящих в "потребительскую корзинку", динамику
себестоимости ряда изделий.
Для удобства построения
индексов в теории статистики разработана символика, т. е. каждая анализируемая
величина имеет свое обозначение. Так, количество единиц данного вида
произведенной или реализованной продукции обозначается - q,
цена единицы изделия - р, себестоимость единицы изделия - z,
трудоемкость единицы изделия - t,
выработка продукции па одного работающего - w,
удельный расход материала (топлива), т. е. расход материала (топлива) на
единицу продукции, - m
и т.д.
Следовательно, индивидуальный
индекс физического объёма будет иметь вид:
Формула индивидуального индекса
цен будет:
а индивидуального индекса
себестоимости:
и т.д.
Классификация индексов:
Общие индексы
используются для сопоставления непосредственно несоизмеримых, разнородных
явлений. Например, с помощью общих индексов можно охарактеризовать динамику
выпуска продукции всей промышленности или динамику объемов всей выпускаемой
продукции на мебельной фабрике, изготавливающей различные виды продукции:
столы, кресла, диваны, шкафы. Однако нельзя просто сложить объемы продукции
различных видов за два периода и отнести эти суммы одну к другой. Такое
суммирование бессмысленно не только из-за различных единиц измерения (тонны,
штуки, метры и др.), но также из-за того, что каждый вид продукции имеет свое
назначение и произведен с разными затратами средств и общественно необходимого
времени.
Чтобы сделать сопоставимыми несоизмеримые
явления (или их элементы), нужно выразить их общей мерой; стоимостью, трудовыми
затратами и т. д. Эта задача решается построением и расчетом общих Индексов.
Основной формой общих индексов являются агрегатные индексы.
Агрегатный индекс состоит из 2 элементов:
1. Индексируемых величин, изменение которых
должен отразить индекс.
2. Показателей, которые служат
соизмерителями (весами).
Произведение индексируемой величины на соизмеритель
(вес) должно давать определённую экономическую категорию (pq,
Yq, tq и
т.д.).
Правила построения агрегатных
индексов:
1. Если строится индекс
качественного показателя, то весами выступают показатели отчётного периода.
2. Если строится индекс количественного
показателя, то весами выступают показатели базисного периода.
Агрегатный индекс стоимости
продукции:
Ypq
, где
0×q0,
p1×q1
- стоимость
произведённой продукции, соответственно в базисном и отчётном периодах.
Yq
-
характеризует, изменение фактической стоимости произведённой продукции по
анализируемому перечню:
Взаимосвязь:
Абсолютное изменение:
∆pq
= ∑p1×q1─∑p0×q0
∆pq=∆pqp
+∆pqq
Агрегатный индекс цен:
Yp
, где
0,
p1
- цена
каждого вида продукции соответственно в базисном и в отчётном периодах.
q1
- объём
каждого вида продукции в отчётном периоде.
Yp
-
характеризует, как изменились цены на различные виды продукции в среднем.
Взаимосвязь:
Абсолютное изменение:
∆pqp
= ∑p1×q1─∑p0×q1
Агрегатный индекс физического
объёма:
Yq
, где
q0
- объём
каждого вида продукции в базисном периоде.
Yq
-
характеризует, как изменился в среднем общий объём продукции по анализируемому
перечню:
Взаимосвязь:
Абсолютное изменение:
∆pqq
= ∑q1×p0─∑q0×p0
Средние индексы
- разновидность общих индексов, которые исчисляются как величина индивидуальных
индексов (как средняя арифметическая или как средняя гармоническая).
Различают:
-Средний арифметический взвешенный
индекс - получается из агрегатного, если заменить в
числителе значение индексируемого показателя отчётного периода равным ему
произведением значения индивидуального индекса на значение индексируемой
величины базисного периода.
Например: средний арифметический взвешенный
индекс объёма продукции:
, т.к.
, то
Применяется вместо агрегатных индексов
количественных показателей.
-Средний гармонический взвешенный
индекс - получается также из агрегатного, только в
знаменателе значение индексируемой величины базисного периода заменяется равным
ей отношением значения индексируемой величины отчётного периода к значению
индивидуального индекса.
Например: средний гармонический взвешенный
индекс цены:
, т.к.
, то
Применяется вместо агрегатных индексов
качественных показателей.
Экономические явления часто
характеризуются с помощью средних величин. В частности, все качественные
показатели, как правило, выражаются в виде средних: средняя цена единицы
продукции (
), средняя
себестоимость единицы изделия (
), средняя
заработная плата одного рабочего (
),
выработка продукции в среднем па одного работника (
),
средняя трудоемкость одного изделия (
) и
т. п. Для изучения динамики таких показателей в статистической практике
применяются индексы средних величин (средних уровней).
Рассмотрим построение этих индексов на примере
динамики средней трудоемкости единицы продукции (средних затрат времени на
единицу продукции).
Индексы переменного состава:
,
где:
t
0,
t1-
уровни трудоёмкости единицы продукции соответственно за базисный и отчётный
периоды.
Индекс переменного состава - характеризует изменение
среднего уровня в целом за счёт двух факторов: изменения осредняемых уровней
(индексируемой величины t)
и влияния структурных сдвигов, т.е. изменения удельных весов единиц
совокупности.
Взаимосвязь:

Абсолютное изменение уровня среднего
показателя:
за счёт изменения уровней осрядняемого признака
и за счёт изменения структуры:
Индексы постоянного (фиксированного)
состава:
Характеризует, как изменяется уровень изучаемого
показателя только за счёт изменения непосредственно индексируемой величины (t).
Взаимосвязь:

Абсолютное изменение уровня среднего
показателя:
Индексы структурных сдвигов:
,
Характеризует, как изменяется уровень изучаемого
показателя только за счёт влияния структурных сдвигов.
Взаимосвязь:

Абсолютное изменение уровня среднего
показателя:
Во всех рассмотренных выше
индексах сравнивались данные за два периода времени: базисный и отчетный.
Однако для более глубокого изучения динамики экономических явлений, выявления
закономерностей и тенденций их развития проводятся индексные сопоставления за
ряд последовательных периодов. В этом случае рассчитывается система цепных и
базисных индексов.
Базисными индексами
называется
система последовательно вычисленных индексов одного и того же явления,
характеризующих его изменение по отношению к постоянной базе, т. е. в качестве
знаменателя всех рассчитываемых индексов берется индексируемая величина
базисного периода.
Цепными индексами называется
система индексов одного и того же явления, показывающих изменение его по отношению
к меняющейся базе, т. е. каждая индексируемая величина сравнивается с
предшествующей величиной.
Выбор системы индексов
определяется задачами анализа. Для оценки скорости происходящих изменений от
периода к периоду используют цепные индексы. Если же целью исследования
является определение общего изменения экономического явления за конкретный
исторический период, рассчитывают базисные индексы.
Система цепных и базисных индексов может быть
исчислена как для отдельного элемента сложного явления (индивидуальные
индексы), так и для всего сложного явления (общие индексы). Индивидуальные
базисные и цепные индексы тождественны базисным и цепным относительным
величинам динамики.
Последовательное произведение п
цепных индивидуальных индексов дает n-й
базисный индекс, а отношение п-го базисного индивидуального индекса к
предыдущему (п-1) дает п-й цепной индекс.
1.7 Графическое изображение
статистических данных
Начало использования графического метода в
статистике относится ко второй половине XVIII
в.
В 1765 г. вышла в свет работа известного английского химика и
философа-материалиста Джозефа Пристли "График биографии", а
четыре года спустя другая его работа под названием "Новый график
истории". Вторая работа Д. Пристли, представляющая собою большую
хронограмму (изображение и анализ расположения событий во времени), охватывала
период с 1200 г. до н. э. по 1750 г. н. э. и
содержала до 2000 имен. В ней горизонтальными линиями была изображена
продолжительность жизни отдельных исторических лиц.
В 1786 г. выходит в свет
"Торговый и политический атлас, изображающий с помощью гравированных по
меди цветных чертежей прогресс торговли государственных доходов, расходов и
долгов Англии в течение всего XVIII
в. Его автором был англичанин Уильям Плейфер. В этой работе использовались
различные приемы графического изображения статистических данных: линейные
графики, секторные, столбиковые и другие диаграммы.
Впервые графический метод в
статистике, в частности диаграммы сравнения по площади фигур, использовал
немецкий ученый Август Фридрих Кроме. Он сыграл большую роль в
разработке диаграмм статистических сравнений, перейдя от примитивных картограмм
к диаграммам сравнения и сложным трехмерным диаграммам, представляющим в одной
геометрической фигуре пространство, плотность населения и денежные доходы
государств.
XIX
в. - время внедрения графиков в различные области науки. Распространению и
развитию графического метода в статистике способствовали не только научные
публикации, но и международные статистические конгрессы: III
Венский (1857 г.), VII
Гаагский (1869 г.), VIII
Петербургский (1872 г.), а также сессии Международного статистического
института, регулярно проводившиеся с конца XIX
в. На сессиях 1901, 1903 и 1911 гг. рассматривался вопрос о разработке
международных рекомендаций по использованию графических методов в различных
областях статистической практики.
В XX
в. коренным образом изменились роль и назначение графических методов в
экономике. Графики становятся не только способом наглядного изложения данных,
но и выполняют роль инструментов управления на железнодорожном транспорте, в
оперативном руководстве производством. Широкое распространение получают
"организационные" графики, предназначенные для анализа
организационных форм предприятия, порядка и организации работ, технологических
процессов. Тем самым графики из простого средства иллюстрации превратились в
необходимое условие, инструмент повседневной организационной работы.
Ученые XX
в., используя достижения своих предшественников, обогатили графический метод
новыми аналитическими функциями. Графические изображения используются при
проведении многих расчетов. Широкое распространение получили номограммы -
графики, служащие целям вычислений. Появляются публикации, освещающие историю
графических изображений в статистике, методику построения различных видов
графиков. Наиболее известны опубликованная в 1937 г. большая работа по истории
графиков Функгаузера "Funkheser,
Hist'orial
development
of the
graphical
representation
of statistical,data
Osiris, vol"
III, 1937 г., работы
советских ученых Л. А. Вызова "Графические методы в статистике,
учете и планировании", (1940 г.), Я. П. Герчука "Графические
методы в статистике" (1986 г.). В них подробно изложены теоретические
основы графического метода, дана методика и техника построения различных
диаграмм.
Статистический график -
это особый способ изображения социально-экономических явлений, выраженных в
статистических показателях. Графики предназначены для наглядного изображения, а
также для изучения закономерностей в развитии массовых общественных явлений и
процессов.
Наглядность изображения
общественных явлений - важнейшее достоинство графика. Наглядность достигается
благодаря использованию геометрических фигур, линий, точек и других графических
изображений. С их помощью цифровая характеристика общественных явлений легче
воспринимается и анализируется, информация принимает наиболее доступную форму.
К построению статистических
графиков предъявляется ряд обязательных требований:
· график должен быть
наглядным, понятным и легко читаемым;
· график должен иметь
все элементы, его образующие;
· цифровые данные,
изображаемые графически, должны правильно и объективно отражать общественные
явления.
К основным элементам графиков относятся: графический
образ, поле графика, пространственные ориентиры, масштабные ориентиры,
экспликация графика.
Основные элементы статистического
графика
|
Графический
образ
|
Совокупность
графических символов: точек, линий, столбиков и др. геометрических и не
геометрических фигур.
|
|
Поле
графика
|
Место
расположения графического образа. В большинстве случаев оно представляет
собой прямоугольник.
|
|
Пространственные
ориентиры
|
Служит
для привязки графического образа в пространстве. В статистических графиках
они представляются, в основном, системой прямоугольных координат, образуемой
пересекающимися под прямым углом линиями.
|
|
Масштабные
ориентиры
|
Определяются
системой масштабных шкал или масштабными знаками.
|
|
Масштабная
шкала
|
Линия,
отдельные точки которой могут быть прочитаны как значения статистических
показателей. Масштабная шкала состоит из 3-х элементов: 1) Носителя (опоры);
шкалы (оси координат); 2) Чёрточек или точек, ограничивающих отрезки; 3)
Цифровых значений чёрточек или точек.
|
|
Масштаб
графика
|
Условная
мера перевода числовой величины в графическую, т.е. это длина отрезка
(графический интервал), принятого за единицу измерения. Графический интервал
должен соответствовать принятому масштабу.
|
|
Экспликация
графика
|
Включает
в себя: название, чётко формирующее сущность графического изображения,
подписи на осях координат с указанием, значение таких показателей на них
откладываются; единицы измерения графических показателей, масштаб и пояснение
графику.
|
|
Композиция
статистического графика
|
Представляют
собой сочетание цифровых статистических данных с их графическим изображением,
наиболее наглядно отображающим нужный аспект явления. Композиция графика
включает отбор статистических данных, формат графика, выбор графического
образа, масштаб и построение масштабных шкал. Правильная композиция графика
способствует цельному восприятию процесса развития изучаемого явления в
наглядной форме. Немаловажная роль при этом играет художественное оформление
графика. Основными требованиями при построении статистических графиков
является простота и ясность содержания, лёгкость прочтения, скорость и
надёжность запоминания.
|
Большое разнообразие
статистических графиков требует их классификации. В основе классификации лежат
два признака: вид графического образа и решаемые задачи. В зависимости от вида
графического образа графики подразделяются на: точечные, линейные,
столбиковые, ленточные, плоскостные, фигурные.
С точки зрения решаемых задач
графики подразделяются на: показательные, или диаграммы, и статистические
карты. Диаграмма (от греч. diagramma
-
изображение, рисунок, чертеж) - это графическое изображение, раскрывающее
соотношение сравниваемых величин. Диаграммы в свою очередь подразделяются
на графики сравнения, графики вариационных рядов, графики зависимости
варьирующих признаков.
Статистические
карты - это особый вид графиков. Задачей
статистических карт является изображение результатов статистического наблюдения
по географическим зонам, территориям. Статистические карты подразделяются на
картограммы и картодиаграммы. Картограммы и картодиаграммы наглядно
отражают статистические показатели в распределении по территории района,
страны, континента.
Линейные графики. Непрерывность
процесса развития лучше всего иллюстрируют линейные графики. Графическое поле
линейной диаграммы определяется системой координат. На оси абсцисс обычно
откладываются периоды, на оси ординат - уровни динамического ряда. Масштабные
шкалы строятся на осях координат в соответствии с выбранным масштабом.
Графический образ - кривую линию - получают, соединяя точки, отложенные в
графическом поле исходя из имеющихся данных.
Положение любой точки на графическом поле
определяется пересечением перпендикуляров, идущих от точек с соответствующими
значениями на оси абсцисс и оси ординат. Перпендикуляр, проведенный к оси
ординат, называется абсциссой, а перпендикуляр к оси абсцисс - ординатой.
Графический образ должен быть более выразительным, чем линии координатного поля
и оси координат.
При построении линейных
графиков должны выполняться следующие правила:
· по оси абсцисс
график должен иметь базовую (нулевую) линию для сравнения. Такой линией чаще всего
служит ось координат или масштабная шкала независимой величины (аргумента);
· масштабная шкала по
оси ординат должна начинаться с 0 и заканчиваться числом большим, чем
максимальное значение признака;
· разметка шкал
должна проводиться так, чтобы интервалы между делениями были невелики и
соответствовали количественным размерам общественных явлений. Если используемые
для построения графика статистические данные находятся в интервале от 15 до 95
единиц, то интервал между делениями вертикальной шкалы можно взять равным 10, а
деления обозначить так: 0, 10, 20, 30, 40, 50, 60, 70, 80, 90, 100;
· если кривая
стремительно поднимается в верхний правый угол, то масштаб должен быть таким,
чтобы она не доходила до вершины угла;
· когда на одном
графическом поле нужно разместить два-три графических образа, изображающих
общественные явления с различными размерами, допускается разрыв числовой сетки
путем выбрасывания средней части диаграммы; масштабы всех графиков должны быть
одинаковыми;
· для облегчения
чтения шкал лучше, по возможности, пользоваться числами, кратными 10 или 5;
· графики, строящиеся
в системе декартовых координат, двухмерны. Они требуют масштаба как по
вертикали, так и по горизонтали;
· масштабы для обеих шкал выбираются
независимо один от другого. Однако, выбирая их, нужно стремиться сделать
графическое изображение гармоничным, пропорциональным, чтобы оно не было
слишком вытянутым по горизонтали или по вертикали.
Столбиковые и
ленточные диаграммы. В столбиковых диаграммах графическим
образом выступают вертикально стоящие прямоугольники - столбики. Столбиковые
диаграммы показывают развитие явлений во времени, используются при сравнении
размеров однородных общественных явлений, относящихся к различным объектам, для
изображения структуры и структурных сдвигов.
Столбики размещают по ранжиру:
в порядке возрастания или убывания показателя. В отличие от линейных графиков
столбиковые диаграммы выполняются в одном масштабе и с использованием только
одной масштабной шкалы (обычно по оси ординат). Основными требованиями,
предъявляемыми к построению столбиковых диаграмм, являются: соблюдение
соразмерности столбиков по высоте; шкала, по которой определяется высота
столбиков, должна иметь базовую линию, т. е. начинаться с 0; шкала должна быть
непрерывной, а следовательно, разрывы столбиков не допускаются; основания всех
столбиков должны быть одинаковыми; расстояния между столбиками также должны
быть одинаковыми и меньше оснований столбиков.
Полосовые или
ленточные диаграммы - это те же столбиковые диаграммы,
но столбики (полосы, ленты) в них расположены не вертикально, а горизонтально.
Основания полос полосовых диаграмм располагаются по оси ординат. По оси абсцисс
строится масштабная шкала. Методика построения та же, что и столбиковых
диаграмм.
Однако чаще для изображения
структуры и структурных сдвигов используются секторные диаграммы. Секторная
диаграмма - это круг, разделенный радиусами на секторы. Количество секторов
определяется структурой изображаемого явления. Каждый сектор отражает часть
совокупности, и его площадь должна быть пропорциональна удельному весу этой
части. Известно, что площадь сектора круга пропорциональна его центральному
углу. Поэтому для построения секторной диаграммы необходимо определить
центральные углы в соответствии с удельным весом отдельных частей в общей
совокупности. С этой целью 360 делится на 100 (круг принимается за 100%) и
умножается на удельный вес соответствующей части совокупности, если даны
удельные веса; или 360 делится на объем совокупности и умножается на размер
соответствующей части совокупности, если даны абсолютные величины. Затем с
помощью транспортира находятся центральные углы, что приводит к делению круга
на секторы.