Основы статистики
1. Средние величины и показатели
вариации
общественный дисперсия
средний статистика
В статистике средними величинами называют
обобщающие показатели, выражающие типичные, характерные для определенного места
и времени размеры и количественные соотношения явлений общественной жизни.
Средние величины бывают следующих видов:
арифметическая, геометрическая, гармоническая, квадратическая, кубическая и др.
В зависимости от частоты повторения вариант
средние исчисляются как простые не взвешенные, так и взвешенные.
Среднюю арифметическую не взвешенную
рассчитывают по формуле:
=
.
При расчете средних величин отдельные значения
осредняемого признака могут повторяться, тогда расчет средней производится по
сгруппированным рядам (дискретными или интервальными). В таком случае
используется для расчета средней величины формула средней арифметической
взвешенной:
,
где xi
- значение осредняемого признака,
fi
- частота,
n - число единиц
совокупности.
Средняя гармоническая невзвешенная определяется
по формуле:
.
Если же в условии даны показатели об урожайности
культуры и ее валовом сборе, например, то для расчета средней урожайности применяется
формула средней гармонической взвешенной:
,
где
-
сумма значений осредняемого признака по группе;
xi
- значение осредняемого признака.
Средняя гармоническая вычисляется в тех случаях,
когда средняя предназначенная для расчета сумм слагаемых, обратно
пропорциональных величине заданного признака, т.е. когда суммированию подлежат
не сами варианты, а обратные им величины.
Аналогичен подход для расчета средней цены,
среднего процента выполнения плана, средний производительности труда и т.п.
Средняя геометрическая определяется по формуле:
Наиболее широкое применение средняя
геометрическая получила для определения среднегодовых темпов роста в рядах
динамики.
При выборе того или иного вида средней следует
исходить из того, что средняя применена правильно тогда, когда она имеет
реальный экономический смысл.
Разновидностью средней являются мода и медиана.
Эти величины также используются в качестве характеристик вариационного ряда.
Мода (М0) представляет собой значение
изучаемого признака, повторяющееся с наибольшей частотой.
Для дискретного ряда распределения мода
определяется наиболее просто: варианта, против которой располагается наибольшая
частота, и будет модой.
В интервальном ряду наибольшая частота указывает
не на модальную варианту, а на содержащий моду интервал. Поэтому в модальном
интервале необходимо определить модальную варианту. При этом надо иметь в виду,
что при расчетах будет получено не точное, а некоторое условное значение моды,
так как неизвестен характер распределения частоты внутри модального интервала.
Вычисление моды в интервальном ряду производится
по следующей формуле:
,
где
-
начало (нижняя граница) модального интервала;
- величина
интервала;
- частота
модального интервала;
- частота
интервала, предшествующего модальному;
- частота
интервала, следующего за модальным.
Медианой (Ме) называется значение
признака приходящееся на середину упорядоченной совокупности. Для ее
определения достаточно расположить в порядке возрастания или убывания все
варианты. Средняя варианта и будет являться медианой. Расчет медианы для
интервального ряда производится по формуле:
,
где
-
начало (нижняя граница) медианного интервала;
- сумма накопленных
частот ряда;
- величина
интервала;
- накопленная
частота варианта, предшествующих медианному;
- частота
медианного интервала.
Информация о средних уровнях обычно бывает
недостаточной для полного анализа изучаемого процесса или явления. Необходимо
учитывать и разброс, т.е. вариацию значений отдельных единиц совокупности.
Для характеристики размеров колеблемости
признаков в статистике применяется следующие показатели: размах вариации,
среднее линейное отклонение, дисперсия, среднее квадратичное отклонение,
коэффициент вариации и др.
Размах вариации представляет собой разность
между наибольшим и наименьшим значением вариации, т.е.
.
Среднее линейное отклонение определяется из
отношения суммы, взятой по абсолютной величине (без учета знака) отклонения
всех вариант от средней арифметической, к объему всей совокупности. Оно бывает
взвешенное и незвешенное и определяется соответственно по формулам:
,
.
Дисперсия - это средняя из квадратов отклонений
значений признака от его средней арифметической величины. Она определяется по
формуле арифметической простой:
.
Или средней арифметической взвешенной:
.
Если имеются два взаимоисключающих друг друга
варианта, от вариации признака называется альтернативной. Обозначая наличие
признака - 1, а отсутствие - 0, и долю вариантов обладающих данным признаком - p,
а долю вариантов, не обладающих им -q
и замечая, что p+q=1,
получаем среднюю:
.
Дисперсию альтернативного признака определяем по
формуле:
.
Следовательно, дисперсия альтернативного
признака находится по формуле:
.
Среднее квадратичное отклонение - это корень
квадратный из дисперсии - определяется по формулам средней арифметической
простой:
.
Или средней арифметической взвешенной:
.
Среднее квадратическое отклонение
альтернативного признака:
.
Мерой сравнения степеней колеблемости для двух,
трех и более вариационных рядов служит показатель, который носит название
коэффициента вариации и определяться по формуле:
%.
Задание 1. Выработка одноименных деталей за
смену рабочими трех цехов завода характеризуется следующими данными:
Таблица
|
Цех
|
Январь
|
Февраль
|
|
Сред.
выр. дет. за смену одним рабочим, шт.
|
Число
рабочих
|
Сред.
выр. дет. за смену одним рабочим, шт.
|
Выработано
всего деталей, шт.
|
|
I
|
30
|
70
|
33
|
2343
|
|
II
|
40
|
80
|
41
|
3280
|
|
III
|
35
|
|
36
|
1944
|
Вычислите среднюю выработку деталей на одного
рабочего по трем цехам завода:
а) за январь;
б) за февраль.
Сравните полученные результаты.
Решение
Построим исходную логическую формулу: чтобы
найти среднюю выработку деталей по заводу за месяц необходимо общее число выработанных
деталей разделить на число работников.
Всего деталей/ Число рабочих
а) Вычислите среднюю выработку деталей на одного
рабочего по трем цехам завода:
а) за январь;
б) за февраль.
Решение
Построим исходную логическую формулу: чтобы
найти среднюю выработку деталей по заводу за месяц необходимо общее число
выработанных деталей разделить на число работников.
Всего деталей/ Число рабочих
а) Для начала найдем общее число выработанных
деталей за январь, для этого количество деталей выработанных за смену одним
рабочим умножим на число рабочих.
Обозначим через
- среднюю
выработку, а через
- число
рабочих, тогда всего деталей за январь:
Зная общее количество деталей,
вычислим среднемесячную выработку деталей за январь по формуле средней
арифметической взвешенной:
б) Чтобы найти среднюю выработку за
февраль необходимо узнать общее количество работников.
Обозначим через
- выработано
всего деталей,
- среднюю
выработку,
тогда
всего работников в феврале:
Зная общее число рабочих , вычислим
среднемесячную выработку деталей за февраль по формуле средней гармонической
взвешенной:
Сравним среднюю выработку деталей на одного
рабочего по трем цехам завода за январь и февраль:
деталей
Из полученных результатов следует,
что средняя выработка деталей на одного рабочего по трем цехам завода в феврале
снизилась на 30,2 деталей.
Задание 2. Выберете форму средней и определите
среднюю выработку в час, показатели ее вариации, моду и медиану.
Таблица
|
Количество
выработанных за смену (8 ч) деталей, одним рабочим
|
8
|
9
|
10
|
11
|
12
|
|
Число
рабочих
|
5
|
10
|
28
|
9
|
3
|
Решение
Определим среднюю выработку в час по формуле
средней арифметической взвешенной:
Производительность труда одного рабочего в
среднем составляет 9,909 деталей в час.
Показатели вариации:
среднее линейное отклонение
Средняя выработка в час колеблется от среднего
значения на 0,678 деталей.
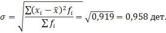
дисперсия
Отклонения случайных значений от среднего
составляет 0,919 деталей2.
среднее квадратическое отклонение
Колеблемость индивидуальных значений составляет
0,958 деталей.
коэффициент вариации
Совокупность однородная, т. к. коэффициент
вариации равен 9,67%, это означает, что производительность рабочих в целом по
предприятию примерно одинакова. Мода:
Так как мода - это варианта, встречающаяся в
изучаемой совокупности чаще всего, т. е. варианта, которой соответствует
наибольшая частота, поэтому:

дет.
Вывод: Наибольшее число рабочих
имеет выработку 10 деталей за смену.
Медиана:
Медиана - это варианта, находящаяся в середине
ряда распределения.
Ряд распределения: 8; 9; 10; 11; 12
Вывод: У половины рабочих производительность
меньше 10 деталей, у половины больше.
Ответ: средняя выработка в час равна 9,909 шт.;
коэффициент вариации равен 9,67%, что свидетельствует об однородности
совокупности, мода равна 10 деталей, медиана равна 10 деталей.
Табл.1 Результаты расчета средней и показателей
вариации
|
Кол-во
дет. в смену, шт.
|
Число
раб., чел. fi
|
Накопленные
частоты
|
Центр.
варианта      
|
|
|
|
|
|
|
1
|
2
|
3
|
4
|
5
|
6
|
7
|
8
|
9
|
|
8
|
5
|
5
|
-
|
40
|
1,909
|
9,545
|
3,644
|
18,22
|
|
9
|
10
|
15
|
-
|
90
|
0,909
|
9,09
|
0,826
|
8,26
|
|
10
|
28
|
43
|
-
|
280
|
0,091
|
2,548
|
0,008
|
0,224
|
|
11
|
9
|
52
|
-
|
99
|
1,091
|
9,819
|
1,19
|
10,71
|
|
12
|
3
|
55
|
-
|
36
|
2,091
|
6,273
|
4,372
|
13,116
|
|
|
|
|
|
|
|
|
|
|
|
 =
|
|
|
|
2. Ряды динамики
Рядом динамики называется ряд чисел,
характеризующих изменение общественного явления во времени. Значения
показателей, образующих ряд динамики, называют уровнем ряда
.
Для общей характеристики уровня явления за тот
или иной период исчисляется средний уровень ряда. Способ расчета среднего
уровня ряда зависит от характера ряда. Различают моментный и интервальный ряды
динамики.
Моментным рядом называют ряд, который образуют
показатели характеризующие состояние явления на тот или иной момент времени.
Интервальным рядом динамики называют ряд,
который образуют показатели характеризующие явление за тот или иной период
времени.
Средний уровень интервального ряда определяется
по формуле:
,
где n
- число членов ряда динамики.
Средний уровень моментного ряда определяют по
формуле средней хронологической:
.
Абсолютный прирост показывает на сколько единиц
увеличился (или уменьшился) анализируемый уровень ряда относительно базисно
уровня (по базисной схеме) или уровня предшествующего года (по цепной схеме).
Соответственно его определяют по формулам:
(по базисной
схеме),
(по цепной схеме).
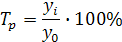
Темп роста показывает, во сколько раз
анализируемый уровень ряда увеличился (или уменьшился) по сравнению с уровнем
принятым за базу сравнения (по базовой схеме) или предшествующим уровнем (по
цепной схеме). Темп роста выражают в процентах или отвлеченных числах
(коэффициент роста). Его определяют по формуле:
(по базисной
схеме),
(по цепной схеме).
Темп прироста показывает, на сколько процентов
увеличился (или уменьшился) анализируемый уровень ряда по сравнению с базисным
(по базисной схеме), или предшествующим уровнем ряда (по цепной схеме). Его
определяют как отношение абсолютного прироста к уровню, принятому за базу
сравнения по формулам:
(по базисной
схеме),
(по цепной схеме).
Темпы роста и прироста связаны между собой, что
видно из формул их расчета:
Это дает основание определить темп прироста
через темп роста:
.
Средний темп роста и средний темп прироста
характеризуют соответственно темпы роста и прироста за период в целом. Средний
темп роста рассчитывается по данным ряда динамики по формуле средней
геометрической:
,
где
-
количество цепных коэффициентов роста.
Исходя из соотношения темпов роста и прироста,
определяется средний темп прироста:
.
Абсолютное значение одного процента прироста А -
это отношение цепного абсолютного прироста к цепному темпу прироста выраженному
в процентах. Оно определяется по формуле:
.
Как видно из расчета абсолютное значение одного
процента прироста равно 0,01 предшествующего уровня.
С помощью ряда динамики изучают явления, имеющие
сезонный характер. Сезонными колебаниями называют устойчивые внутригодовые
колебания в ряду динамики, обусловленные специфическими условиями производства,
потребления или продажи продукции или услуг. Например, потребление топлива или
электроэнергии для бытовых нужд, перевозки пассажиров, продажи товаров и др.
Уровень сезонности оценивается с помощью
индексов сезонности. Индекс сезонности показывает, во сколько раз фактический
уровень ряда в момент или интервал времени больше среднего уровня. Он
определяется по формуле:
,
где
-
уровень сезонности;
- текущий уровень
ряда динамики;
- средний уровень
ряда.
Графически индекс сезонности может быть
представлен с помощью полигона - основного вида графиков, используемого для
графического изображения рядов динамики.
Задание 3
По данным таблицы 2 вычислите:
. Основные аналитические показатели рядов
динамики (по цепной и базисным схемам):
абсолютный прирост;
темпы роста;
темпы прироста;
абсолютное значение 1 % прироста.
. Показатели средних:
средний уровень ряда динамики;
среднегодовой темп роста;
среднегодовой темп прироста.
Табл. 2 Основные показатели
|
Показатели
|
Годы
|
|
1996(y0)
|
1997(y1)
|
1998(y2)
|
1999(y3)
|
2000(y4)
|
2001(y5)
|
|
Прожиточный
минимум, руб./мес
|
264,1
|
369,4
|
411,2
|
493,3
|
908,3
|
1180,4
|
. По данным таблицы 3 вычислите индекс сезонности
и изобразите графически сезонную волну.
Табл. 3 Товарооборот магазина, тыс. руб.
|
Месяц
|
Значение
товарооборота, тыс. руб.
|
|
Январь
|
316
|
|
Февраль
|
283
|
|
Март
|
140
|
|
Апрель
|
79
|
|
Май
|
55
|
|
Июнь
|
32
|
|
Июль
|
77
|
|
Август
|
7
|
|
Сентябрь
|
30
|
|
Октябрь
|
201
|
|
Ноябрь
|
125
|
|
Декабрь
|
263
|
Решение
Абсолютный прирост
По базисной схеме

руб.

руб.

руб.

руб.

руб.
По цепной схеме

руб.

руб.

руб.

руб.

руб.
Рассчитаем темпы роста
По базисной схеме
По цепной схеме
Рассчитаем темп прироста:
По базисной схеме
По цепной схеме
Рассчитаем средний темп роста
В целом за период прожиточный
минимум увеличился до 128,35%.
Рассчитаем средний темп прироста
Вывод: В целом за период прирост
прожиточного минимума составил 28,35%.
Рассчитаем абсолютное значение
одного процента прироста
Табл. 4 Основные аналитические показатели ряда
динамики
|
Показатели
|
Схема
расчета
|
Годы
|
|
|
1996
|
1997
|
1998
|
1999
|
2000
|
2001
|
|
Уровень
ряда
Yi
|
|
264,1
|
369,4
|
411,2
|
493,3
|
908,3
|
1180,4
|
|
Абсолютный
прирост ∆Y
|
Базисная
|
Х
|
105,3
|
147,1
|
229,2
|
644,2
|
916,3
|
|
Цепная
|
Х
|
105,3
|
41,8
|
82,1
|
415
|
272,1
|
|
Темп
роста Тр,%
|
Базисная
|
100%
|
139,87
|
155,70
|
186,79
|
343,92
|
446,95
|
|
Цепная
|
100%
|
139,87
|
111,32
|
119,97
|
184,13
|
129,96
|
|
Темп
прироста
Тпр,%
|
Базисная
|
Х
|
39,87
|
55,70
|
86,79
|
243,92
|
346,95
|
|
Цепная
|
Х
|
39,87
|
11,32
|
19,97
|
84,13
|
29,96
|
|
Аб.
Знач. 1% прироста A
|
Цепная
|
Х
|
3,694
|
4,112
|
4,933
|
9,083
|
1,1804
|
Рассчитаем индексы сезонности
Табл. 5 Итоговые расчеты индексов
|
Месяц
|
Значение товарооборота,
тыс.
руб.
|
Индекс сезонности, %
|
|
Январь
|
316
|
4,59
|
|
Февраль
|
283
|
4,11
|
|
Март
|
140
|
2,03
|
|
Апрель
|
79
|
1,15
|
|
Май
|
55
|
0,80
|
|
Июнь
|
32
|
0,46
|
|
Июль
|
77
|
1,12
|
|
Август
|
7
|
0,10
|
|
Сентябрь
|
30
|
0,44
|
|
Октябрь
|
201
|
2,92
|
|
Ноябрь
|
125
|
1,82
|
|
Декабрь
|
263
|
3,82
|
Изобразим волну сезонности
Рис.1 Сезонная волна.
С начала года продажи начинают постепенно
снижаться, после середины снова растут. Пик товарооборота приходится на январь
месяц, в августе достигает минимального значения.
3. Индексы
Под индексами понимают относительный показатель,
характеризующий изменение уровня сложного общественного явления во времени и
его соотношение в пространстве. Различают индивидуальные и сводные (общие)
индексы. Индивидуальный индекс характеризует изменение явления, состоящего из
однородных элементов, и представляет собой обычную относительную величину
динамики, выполнения плана, сравнения. Индивидуальный индекс обозначаю буквой i
с подстрочным указанием индексируемого показателя. Индексируемым называют
показатель, изменение которого характеризует индекс. Тек, например, для
характеристики выполнения планового задания по производству отдельных видов
продукции рассчитывают индивидуальные индексы физического объёма продукции по
формуле.
где q1
, q0
- объём производства какого-либо вида продукции в натуральном выражении
соответственно в отчётном и базисном периодах, который является индексируемой
величиной.
Сводный индекс характеризует изменения явления,
состоящего из разнородных непосредственно не суммируемых элементов.
Чтобы охарактеризовать при помощи индексов
изменение явлений, состоящих из разнородных элементов, необходимо прежде всего
обеспечить возможность суммирования этих элементов для их дальнейшего
сопоставления. Для этого следует привести их в соизмеримый вид посредством
специального соизмерителя который, являясь общей мерой этих явлений, выражает
то общее, что им присуще. Так, для продукции народного хозяйства как
совокупности разноимённых видов изделий, несмотря на их различные потребительские
свойства, общим является то, что все они представляют собой результат труда,
затраты которого могут быть выражены как в единицах рабочего времени, например
человеко-часах, так и в стоимостной форме, имеющей денежное выражение. Эти
показатели: время, стоимость - могут быть использованы как соизмерители и
называются весами индекса. Умножив индексируемый показатель на соответствующий
вес, выражаем элементы анализируемой совокупности в одних единицах измерения,
т. е. проводим их в соизмеримый вид, поэтому их уже можно суммировать и
сопоставлять. Так, например, умножив объём различных видов изделий на их
себестоимость, мы выражаем их в стоимостной форме, что позволяет их суммировать
и сопоставлять. При этом, чтобы индекс отражал изменение только индексируемой
величины, веса индексов берут на одном уровне. Если в качестве веса
используются объёмные показатели (продукция, численность), их берут на уровне
текущего периода, если качественные показатели (план, себестоимость, затраты
времени на единицу продукции), то их принимают на уровне базисного периода.
В статистике широко используются индексы
физического объёма продукции, индекс себестоимости, затрат, реализованной
продукции, цен, товарооборота, производительности труда, удельного расхода
материалов и др.
Сводный индекс физического объёма продукции Iq
в общем виде определяется по формуле
Iq=
,
где q1
q0
- объём продукции каждого вида изделий соответствующего периода (индексируемый
показатель);
z0
- себестоимость каждого вида изделий базисного периода (вес индекса)
Сводный индекс себестоимости Iz
определяют
по формуле
Iz=
,
где z1
z0
- себестоимость отдельных видов продукции соответственно в текущем и базисном
периодах.
Он характеризует, как в среднем изменяется
уровень себестоимость продукции различных видов в целом по анализируемой
совокупности.
Сводный индекс затрат IZq
определяют по формуле
IZq=
,
где z1q1,
z0q0
-
затраты по производству различных видов продукции соответственно в отчётном и
базисном периодах.
Он характеризует, как изменились затраты по
производству продукции различных видов в целом по анализируемой совокупности.
Сводный индекс цен Ip
определяют по формуле
Ip=
,
где p1
, p0
- цена отдельных видов продукции соответственно в текущем и базисном периодах.
Он характеризует, как изменились в среднем
уровни цен на различные виды продукции по анализируемой совокупности.
Сводный индекс товарооборота Iqp
определяют по формуле
Iqp=
где q1p1,
q0p0
- размер товарооборота соответственно в текущем и базисном периодах.
Сводный индекс производительности труда I1/t
определяют по формуле
I1/t=
,
где t1,
t0 -
затраты времени на производство единицы продукции соответственно в текущем и
базисном периодах.
Он характеризует изменение производительности
труда, является показателем, обратным индексу трудоёмкости It,
который определяют по формулам:
It=
I1/t=
.
Индекс характеризует, как изменились затраты
времени на единицу продукции в связи с ростом производительности труда.
Сводный индекс массы отработанного времени Iqt
определяют по формуле:
Iqt=
,
где q1t1(T1),
q0t0(T0)
- это время, затраченное на производство всей продукции соответственно в
текущем и базисном периодах.
Сводный индекс удельного расхода материалов Im
топлива определяют по формуле
Im=
где m1,
m0
- удельный расход материалов (топлива), т. е. расход материалов (топлива) на
единицу продукции соответственно в текущем и базисном периодах.
Он характеризует, как изменился расход различных
видов материалов, топлива на единицу продукции.
Расчёт индексов может быть выполнен в агрегатной
форме и форме средних индексов - среднеарифметического взвешенного и
среднегармонического. Все вышеприведённые индексы рассчитаны как агрегатные
индексы. Выбор формы расчёта индексов зависит от наличия исходных данных. Если
известны значения индексируемого показателя и веса в текущем и базисном
периодах, то пользуются агрегатной формой индексов. Если отсутствуют значения
индексируемого показателя или веса в текущем или базисном периодах, но известны
изменения индексируемого показателя или веса по отдельным единицам
анализируемой совокупности, пользуются формой средних индексов.
Индекс переменного состава отражает динамику
среднего показателя (для однородной совокупности) за счет изменения индексируемой
величины х у отдельных элементов и за счет изменения весов f,
по которым взвешиваются отдельные значения х. Любой индекс переменного состава
- это отношение двух средних величин для однородной совокупности (за два
периода или по двум территориям):
.
Индекс фиксированного состава отражает динамику
среднего показателя лишь за счет изменения индексируемой величины х, при
фиксировании весов на уровне, как правило, отчетного периода f1:
.
По аналогии можно показать динамику среднего
показателя лишь за счет изменения весов f
при фиксировании индексируемой величины на уровне базисного периода х0.
такой индекс условно назван индексом структурных сдвигов и имеет вод:
.
Индексы широко используются в факторном анализе
для выявления меры влияния факторных показателей на средний уровень
определяемого или результативного показателя.
Задание 4. Объем товарооборота за отчетный год в
фактических ценах возрос на 36%,а цены снизились на 15%. Определить, как
изменился физический объем товарооборота.
Таблица. Решение
|
Базисный
период
|
Отчетный
период
|
|
PQ
|
100%
|
136%
|
|
P
|
100%
|
85%
|
Товарооборот в базисном периоде обозначим за
1,тогда в отчетном периоде он составит 1,36( т.к. товарооборот увеличился на
36%). Цены на продукцию в базисном периоде также обозначим за 1, тогда в
отчетном периоде они составят 0,85(т.к. цены снизались на 15%).
Сводный индекс товарооборота можно найти по
формуле:
Отсюда можно выразить индекс физического объема:
В базисном периоде физический объем составлял 1,
в отчетном 1,156, следовательно, физический объем товарооборота вырос на 15,6%
4. Выборочное наблюдение
Выборочное наблюдение - это один из видов не
сплошного наблюдения, при котором учёту подлежит только часть единиц
наблюдаемого явления, и отбор единиц в выборочную совокупность производится по
определенному закону. Статистические характеристики, полученные на основе
выборочного наблюдения - выборочная средняя, выборочная дисперсия и т. д.
всегда отличаются по величине от статистических характеристик генеральной
совокупности, охватывающей все единицы изучаемого явления.
Разница статистических характеристик генеральной
и выборочной совокупности называется ошибкой выборки или репрезентативности и
обозначается
где xср.
генер. и xср.
выбор. - соответственно генеральная и выборочная
средние.
Величина ошибки выборки средней
зависит
от числа наблюдений составляющих выборочную совокупность и дисперсии изучаемого
признака
.
Чем больше величина выборки n
тем ошибка выборки меньше. Чем больше дисперсия значений признака в выборке
тем
больше ошибка выборки. Аналитически это записывается так:
Дисперсию доли, как альтернативного признака,
определяют по формуле
где w
- доля
Соответственно ошибка доли определяется по формуле
В математической статистике доказано, что с
определенной вероятностью p
можно утверждать, что при данной дисперсии изучаемого признака и числа
наблюдений величина ошибки не превысит определённой заранее заданной величины,
называемой предельной ошибкой выборки
.
Предельную ошибку средней определяют по формуле:
где t
- коэффициент доверия (отношение предельной и средней ошибки выборки).
Коэффициент доверия определяется по выписке из
таблицы значений функции приведённую в конце настоящих методических указаний.
Предельную ошибку доли определяют по формуле
.
В зависимости от способа отбора единицы в
выборочную совокупность различают следующие виды выборки:
индивидуальную, серийную;
случайную, механическую, типологическую;
повторную, бесповторную.
При бесповторной выборке единица изучаемого
явления может попасть в выборку только один раз, при повторном способе отбора
единица изучаемого явления может попасть в выборку нескольких раз.
Соответственно ошибка выборки при бесповторном отборе рассчитывается по
формуле:
где N
- число единиц в генеральной совокупности:
при повторном отборе - по формуле
Задаваясь определённой допустимой ошибкой
выборки
с
вероятностью ошибки p и зная
дисперсию изучаемого признака
определяют число
единиц n подлежащих отбору
в выборочную совокупность при бесповторном отборе:
при повторном отборе:
Выписка из таблицы значение функции
при различных значениях t:
Таблица
|
t
|
F(t)
|
t
|
F(t)
|
t
|
F(t)
|
t
|
F(t)
|
|
0,96
|
0,663
|
1,70
|
0,911
|
1,81
|
0,93
|
1,94
|
0,948
|
|
0,99
|
0,678
|
1,735
|
0,917
|
1,86
|
0,937
|
2,00
|
0,955
|
|
1,46
|
0,856
|
1,75
|
0,92
|
1,90
|
0,943
|
3,00
|
0,997
|
Задание 5. Произведено выборочное обследование
длительности производственного стажа рабочих. В выборке было взято 200 рабочих
из общего количества в 1000 человек. Результат выборки следующий:
Таблица
|
Стаж,
годы
|
2-4
|
4-6
|
6-8
|
8-10
|
|
Число
рабочих
|
50
|
80
|
45
|
25
|
На основании приведенных данных определить:
) С вероятностью 0,917 возможные пределы
колебаний средней продолжительности стажа всех рабочих;
) Какое число рабочих надо взять в
выборку, чтобы ошибка не превышала 1 года, на основе приведенных выше
показателей.
Решение
Чтобы рассчитать ошибку репрезентативности
найдем дисперсию значений признака в выборке.
t- коэффициент
доверия, для вероятности 0,917 его значение равно 1,735
Средняя продолжительность стажа всех рабочих
колеблется в пределах от 5,2418 лет до 5,6582 лет.
2) 
Чтобы ошибка не превышала 1 года,
надо взять в выборку 11, 06 рабочих.
5. Статистика численности и состава
населения
Население - совокупность лиц, проживающих на
определённой территории.
Естественное движение - изменение численности
населения, которое определяется непосредственно рождениями и смертями и
косвенно - браками и разводами. К числу абсолютных показателей естественного
движения населения относятся:
· Число родившихся N;
· Число умерших M;
· Количество браков B;
· Количество разводов R;
· Естественный прирост населения (N-M).
Механическое движение населения - передвижение
населения через границы страны или какие - либо территории (миграция) с целью
изменения места жительства.
Абсолютные показатели механического движения
населения:
· Число прибывших Sпр;
· Число выбывших Sвыб;
· Сальдо миграции Sпр-
Sвыб;
· Оборот миграционных процессов Sпр+
Sвыб.
На основе данных о естественном и механическом
приросте населения может быть исчислен показатель общего прироста населения
:
.
Абсолютные показатели естественного и
механического движения населения служат для расчёта соответствующих
относительных показателей, которые измеряются в промилле (
),
т. е. на 1000 человек. К относительным показателям естественного движения
населения относятся:
· Общий коэффициент рождаемости
где
-
средняя за данный период численность населения (определяется как средняя
арифметическая численность на начало и конец периода);
· Коэффициент фертильности
где Sф
- средняя за данный период численность женщин в фертильном возрасте (15-49лет);
dф
- удельный вес женщин в фертильном возрасте в общей численности населения;
· Коэффициент смертности
Коэффициент естественного прироста
· Коэффициент жизненности В. И.
Покровского
· Коэффициент брачности
· Коэффициент разводимости
Механическое движение населения характеризуют
следующие относительные показатели:
· Коэффициент механического прироста
населения
· Коэффициент интенсивности прибытия
населения на данную территорию
· Коэффициент интенсивности выбытия
населения
Коэффициент общего прироста населения
определяется по формуле

Ожидаемая численность населения через t
лет (St)
может быть определена по формуле
где S0
- численность населения в базовом году;
t - число лет,
отделяющих расчётный год от базовых.
Различают три вида возрастной структуры
населения.
Прогрессивный вид структуры населения, для
которой характерно превышение доли возрастной группы 0-14 лет над возрастной
группой 50 лет и старше. Такое соотношение ведёт к "омоложению"
населения, что связано с увеличением доли экономически активного населения,
ростом рождаемости, брачности, снижения смертности по старости и другими
положительными изменениями демографических показателей.
Регрессивный вид структуры населения, при
котором численность лиц молодого возраста меньше численности пожилых групп
населения, что отражает процесс "старения" населения.
Стационарный вид структуры населения, когда
численность пожилых групп полностью восполняется численностью подрастающего
поколения и, таким образом, демографические показатели стабилизируются.
Задание 6. По
данным таблицы 6 определите:
- естественный, механический и общий прирост
населения;
оборот миграционных процессов;
коэффициенты: общие коэффициенты рождаемости и
смертности, коэффициенты фертильности, коэффициенты жизненности Покровского,
коэффициенты брачности и разводимости, коэффициенты естественного,
механического и общего прироста населения;
численность населения через 5 лет
По данным таблицы 7 определите тип возрастной
структуры и изобразите ее графически.
Охарактеризуйте демографическую ситуацию по
данным вашего варианта.
Табл. 6 Демографические показатели
|
Показатели
|
Ед.
измерения
|
Обоз.
|
Знач.
|
|
Численность
население на конец года
|
млн.
чел.
|
St
|
147,0
|
|
Число
женщин на 1000 мужчин
|
Чел.
|
Sж
|
1196
|
|
Доля
женщин в возрасте от 15-49 лет в общей чис. женщин
|
%
|
dф
|
43
|
|
Родилось
|
тыс.
чел.
|
N
|
1988,9
|
|
Умерло
|
тыс.
чел.
|
M
|
1656,0
|
|
Прибыло
в страну
|
тыс.
чел.
|
Sпр
|
913,2
|
|
Выбыло
из страны
|
тыс.
чел.
|
Sвыб
|
729,5
|
|
Число
браков
|
тыс.
чел.
|
В
|
1319,9
|
|
Число
разводов
|
тыс.
чел.
|
R
|
559,9
|
На начало года численность населения составила
147,2 млн. чел.
Табл. 7 Распределение населения по возрастным
группам, тыс.чел.
|
Возрастные
группы
|
Численность,
тыс. чел.
|
|
Все
население в т.ч. в возрасте, лет
|
117534
|
|
0-4
|
13353
|
|
5-9
|
12415
|
|
10-14
|
8502
|
|
15-19
|
8975
|
|
20-24
|
11552
|
|
25-29
|
10591
|
|
30-34
|
11103
|
|
35-39
|
6423
|
|
40-44
|
6177
|
|
45-49
|
7167
|
|
50-54
|
5965
|
|
55-59
|
4751
|
|
60-64
|
3589
|
|
65-69
|
2664
|
|
70
и старше
|
4303
|
Решение
) Естественный прирост

тыс.чел.
Механический прирост

тыс.чел.
Общий прирост

тыс.чел.
2) Оборот миграционных процессов

тыс.чел.
3) Коэффициенты
Коэффициент рождаемости
Коэффициент смертности
Коэффициент фертильности
Коэффициент жизненности Покровского
Коэффициент брачности
Коэффициент разводимости
Коэффициент естественного прироста
Коэффициент механического прироста
Коэффициент общего прироста
) Численность населения через 5 лет
Рис.2. Структура населения.
Структура населения имеет прогрессивный вид,
т.к. численность возрастной группы от 0 до 14 лет (34270 тыс. чел) превышает
численность возрастной группы 50 лет и старше (21272 тыс. чел), это подтверждает
диаграмма, изображенная на рисунке 2.
6. Система национальных счетов
Система национальных счетов (СНС) - это
современная информационная база, используемая для описания и анализа процессов
рыночной экономики на макроуровне. Все хозяйствующие субъекты в СНС делятся на
"резидентов" (юридические и физические лица, участвующие в
экономической деятельности на территории страны более 1 года) и
"нерезидентов". Резиденты в свою очередь группируются по 5 секторам в
зависимости от целей своего функционирования и источников финансирования
деятельности.
сектор - нефинансовые корпорации и
квазикорпорации. К сектору относятся крупные хозяйствующие единицы, созданные с
целью производства товаров (оказания услуг) и продажи их на рынке по ценам,
возмещающим затраты и приносящим прибыль. Обычно имеют форму акционерных
обществ (корпораций).
сектор - финансовые корпорации и
квазикорпорации. Хозяйствующие субъекты. Созданные для оказания посреднических
услуг между теми, кто сберегает доходы и инвесторами. Финансируется за счет
разницы в величине полученных и выплаченных процентов.
сектор - государственное управление. Выполняет
две функции - перераспределение национального дохода и богатства и оказания
нерыночных (бесплатных) услуг. Финансирует расходы за счет налогов.
сектор - некоммерческие организации. Функции -
нерыночные услуги членам некоммерческих организаций. Финансирование - за счет
членских взносов.
сектор - домохозяйства. Мелкие некорпорированные
предприятия и семьи как экономически и юридически независимые единицы.
Выполняет три функции - производство рыночных товаров и услуг, предоставление
рабочей силы остальным секторам, потребление конечных товаров и услуг.
В СНС различают два вида товаров и услуг:
· Промежуточные товары и услуги,
которые приобретаются для переработки, т.е. для потребления в процессе
производства ("промежуточное потребление");
· Конечные товары и услуги,
приобретаемые для целей конечного потребления ("конечное
потребление"). Конечное потребление имеют 3-5 секторов.
СНС представляет собой развернутую
статистическую макроэкономическую модель экономики. Внешние - это система
таблиц-счетов, похожих на бухгалтерские счета. Счета имеют вид балансовых
построений: каждый счет представляет собой баланс в виде двухсторонней таблицы,
в которой каждая операция отражается дважды: один раз в ресурсах, другой - в
использовании. Итоги операций на каждой стороне счета сбалансируются или по
определению или с помощью балансирующей статьи, которая является ресурсной
статьей следующего счета. Балансирующая статья счета, обеспечивающая баланс
(равенство) его правой и левой части, рассчитывается как разность между
объемами ресурсов и их использованием. Балансирующая статья предыдущего счета,
отраженная в разделе "Использование", является исходным показателем
раздела "Ресурсы" последующего счета. Этим достигается увязка счетов
между собой и образование системы национальных счетов. Рассмотрим наиболее
важные счета. Счет производства является первым в системе счетов. Он отражает
производство товаров и услуг.
Валовый выпуск (ВВ) - основной показатель объема
производства. Определяется как сумма выручки от реализации. Так как ВВ
оценивается в ценах конечного покупателя (текущих ценах), необходимо к ВВ
добавить налоги на продукты (НДС) и вычесть субсидии на продукты (СП).
Таблица. Счет №1. Производство
|
Использование
|
Ресурсы
|
|
Промежуточное
потребление
|
Валовый
выпуск
|
|
Налоги
на продукты
|
|
Субсидии
на продукты (-)
|
|
Валовая
добавленная стоимость
|
|
Промежуточное потребление (ПП) - стоимость
товаров и услуг, которые израсходованы в производстве валового выпуска (без
заработной платы). Балансирующая статья счета - валовая добавленная стоимость
(ВДС):
ВДС = ВВ+НДС-СП-ПП.
ВДС в целом по стране представляет собой Валовый
внутренний продукт, рассчитанный производственным методом.
Этот метод расчета позволяет получить ответ на
вопрос, где, в какой отрасли, в каком секторе экономики произведен ВВП страны.
Следующий счет в CBC
- счет образования доходов.
Он отражает формирование первичных доходов
участников производства, т.е. позволяет проанализировать как произведенный ВВП
распределяется между факторами производства - наемными работниками (оплата
труда), предпринимателями (прибыль), государство (налоги и социальное
страхование).
Счет №2 позволяет определить ВВП
распределительным методом:
Таблица. Счет № 2. Образование доходов
|
Использование
|
Ресурсы
|
|
Оплата
труда
|
Валовая
добавленная стоимость
|
|
Налоги
|
|
|
Валовая
прибыль
|
|
ВВП = оплата труда + налоги + прибыль.
Счет №3 характеризует распределение доходов,
полученных от производства, между владельцами собственности и таким образом
показывает отличие национального дохода (НД) от национального продукта.
Различие может быть обусловлено наличием положительного или отрицательного
сальдо доходов от собственности "полученных" и "переданных".
У "богатых" стран ВНП больше чем НД, так как они имеют инвестиции в
других странах и получают доходы от этой собственности. В "бедных"
странах наоборот: они являются заемщиками и передают часть произведенного в
стране национального продукта в виде платы за использование чужой собственности
другим странам
Таблица. Счет №3. Распределение первичных
доходов
|
Использование
|
Ресурсы
|
|
Доходы
от соб., переданные другим странам: рента проценты дивиденды
|
Прибыль
|
|
Оплата
труда
|
|
Налоги
|
|
Сальдо
первичных доходов
|
Доходы
от соб., получ. от других стран: рента проценты дивиденды
|
Балансирующая статья счета №3 - сальдо первичных
доходов - это национальный доход страны:
НД = оплата труда + прибыль + доходы от
собственности полученные - доходы от собственности переданные.
В ресурсах счета №4 отражается национальный
доход и полученные текущие трансферты. Трансферты - операция, в результате
которой одна хозяйственная единица передает другой единице товары, услуги,
активы безвозмездно. Различают трансферты капитальные (т.е. одномоментные,
например, передача капитала в ходе приватизации в виде ваучеров) и текущие
(регулярные платежи в виде налогов, пенсий, пособий и т.п.).
Таблица. Счет №4. Перераспределение доходов
|
Использование
|
Ресурсы
|
|
Текущие
трансферты, выплаченные: · Налог
на прибыль · Подоходный
налог · Социальное
страхование
|
Сальдо
первичных доходов (национальный доход)
|
|
Текущие
трансферты, полученные: · Налог
на прибыль · Подоходный
налог · Социальное
страхование
|
|
Располагаемый
доход
|
|
Балансирующая статья счета №4 - располагаемый
доход (РД), являющийся источником средств, направляемых на потребление и
накопление.
РД = НД + текущие трансферты полученные -
текущие трансферты выплаченные.
В ресурсах счета №5 отражается национальный
располагаемый доход (переносится из предыдущего счета). В
"использовании" - расходы на конечное потребление. Конечное
потребление - стоимость товаров и услуг, используемых непосредственно для
удовлетворения потребностей людей, т.е. потребительские расходы, которые
группируются по источникам финансирования: конечное потребление домохозяйств,
госучреждений и некоммерческих организаций.
Таблица. Счет №5. Использование располагаемого
дохода
|
Использование
|
Ресурсы
|
|
1.
Конечное потребление
|
Располагаемый
доход
|
|
1.1.
Домашних хозяйств
|
|
|
1.2.
Государственного управления
|
|
|
1.3.
Некоммерческих организаций
|
|
|
2.
Сбережения
|
|
Сбережение определяется как разница между
располагаемым доходом и конечным потреблением. Норма сбережений определяется по
соотношению величины сбережений и РД:
Таблица. Счет №6. Операции с капиталом
|
Использование
|
Ресурсы
|
|
Капитальные
трансферты, выплаченные
|
Сбережения
|
|
Накопление
основных фондов
|
Капитальные
трансферты, полученные
|
|
Прирост
материальных оборотных средств
|
|
|
Приобретение
земли
|
|
|
Приобретение
ценностей
|
|
|
Приобретение
нематериальных активов
|
|
|
Чистое
кредитование
|
Чистое
заимствование
|
В ресурсную часть счета №8 включаются:
сбережения (из предыдущего счета) и капитальные трансферты, которые по секторам
включают их передачу из других секторов, а также их поступление из других
стран, а по стране в целом - это трансферты, полученные от "остального
мира" или переданные ему. В "использование" входят различные
типы вложений в активы. Балансирующая статья этого счета может быть как в
ресурсной части, так и в части "использование" в зависимости от того,
наблюдается недостаток или избыток ресурсов для финансирования капитальных
затрат.
Счет "Товаров и услуг" заполняется
только для страны в целом, в этом его отличие от предыдущих счетов, которые
заполняются как по секторам, так и по стране в целом. (В данном задании следует
заполнить все счета только для страны в целом). Счет "Товаров и
услуг" характеризует общие ресурсы товаров и услуг по стране в целом, а
также направления использования этих ресурсов. В ресурсной части отражаются
Валовый выпуск и чистые налоги на продукты (т.е. налоги за вычетом субсидий), а
также импорт товаров и услуг. В "Использовании" отражаются
промежуточное потребление, конечное потребление, валовое накопление и экспорт
товаров и услуг. Этот счет не имеет остатка или балансирующей позиции, поэтому
для сводимости данных может быть использована позиция "статистическое
расхождение".
Таблица. Счет №7. Товаров и услуг
|
Использование
|
Ресурсы
|
|
1.
Промежуточное потребление
|
1.
Валовый выпуск
|
|
2.
Конечное потребление
|
2.
Импорт
|
|
3.
Валовое накопление
|
3.
Чистые налоги на продукты
|
|
3.1.
Приобретение основных фондов
|
|
|
3.2.
Накопление материальных оборотных средств
|
|
|
3.3.
Приобретение ценностей
|
|
|
4.
Экспорт
|
|
|
5.
Статистическое расхождение
|
|
На основании счета "Товаров и услуг"
можно определить ВВП двумя методами:
1. Методом конечного использования:
ВВП = Конечное потребление + Валовое накопление
+ Экспорт - Импорт
2.
Производственным
методом:
ВВП = Валовый выпуск - Промежуточное потребление
+ Чистые налоги
Валовый выпуск, промежуточное потребление и
чистые налоги переносятся в этот счет из счета производства, конечное
потребление - из счета использования доходов, валовое накопление основных
средств и изменение запасов материальных оборотных средств - из счета
капитальных затрат.
Задание 7. Составьте СНС на основании таблицы 8:
Таблица. 8 Показатели результатов экономической
деятельности России за год (трлн. руб.)
|
Показатели
|
|
|
Выпуск
товаров и услуг в основных ценах
|
1044,3
|
|
Промежуточное
потребление
|
481,5
|
|
Налоги
на продукты и импорт
|
71,9
|
|
Субсидии
на продукты и импорт (-)
|
24,0
|
|
Оплата
труда наемных работников
|
301,0
|
|
Налоги
на производство и импорт
|
85,0
|
|
Субсидии
на производство и импорт (-)
|
26,6
|
|
Доходы
от собственности, полученные от "остального мира"
|
6,2
|
|
Доходы
от собственности, переданные "остальному миру"
|
11,3
|
|
Текущие
трансферты, полученные от "остального мира"
|
0,7
|
|
Текущие
трансферты, переданные "остальному миру"
|
1,1
|
|
Расходы
на конечное потребление - всего В том числе: -домохозяйства -государственного
сектора -некоммерческих организаций
|
422,1
267,1 136,7 18,3
|
|
Импорт
товаров и услуг
|
141,7
|
|
Экспорт
товаров и услуг
|
169,5
|
|
Статистическое
расхождение
|
?
|
|
Валовое
накопление основного капитала
|
133,2
|
|
Изменение
запасов материальных оборотных средств
|
22,8
|
|
Капитальные
трансферты, полученные от "остального мира"
|
9,7
|
|
Капитальные
трансферты, переданные "остальному миру"
|
7,6
|
Решение
СНС:
Таблица. Счет 1
Производство
|
Использование
|
Сумма
|
Ресурсы
|
сумма
|
|
Промежуточное
потребление
|
481,5
трлн. руб.
|
Валовый
выпуск
|
1044,3
трлн. руб.
|
|
|
Налоги
на продукты
|
71,9
трлн. руб.
|
|
|
Субсид.
на продукты(-)
|
24
трлн. руб.
|
|
ВДС
|
610,7
трлн. руб.
|
|
|
ВДС = ВВ+НДС-СП-ПП.
ВДС=1044,3+71,9-24-481,5=610,7трлн. руб.
Таблица. Счет 2 Образование
доходов
|
Использование
|
Сумма
|
Ресурсы
|
Сумма
|
|
Оплата
труда
|
301,0
трлн. руб.
|
ВДС
|
610,7
трлн. руб.
|
|
Налоги
|
85,0
|
|
|
|
Валовая
прибыль
|
224,7
трлн. руб.
|
|
|
Валовая прибыль = 610,7 - 301,0 - 85,0 = 224,7
трлн. руб.
ВВП = оплата труда + налоги + прибыль.
ВВП = 482,0 + 1230,0 = 1712 трлн. руб.
Таблица. Счет 3 Распределение
первичных доходов
|
Использование
|
Сумма
|
Ресурсы
|
Сумма
|
|
Доходы
от соб., переданные другим странам: · Рента
· проценты · дивиденды
|
11,3
трлн. руб.
|
Прибыль:
|
224,7
трлн. руб.
|
|
|
Оплата
труда:
|
301,0
трлн. руб.
|
|
|
Налоги
|
85,0
|
|
Сальдо
первичных доходов:
|
605,6
трлн. руб.
|
Доходы
от собст., получ. от других стран: · рента
· проценты · дивиденды
|
6,2
трлн. руб.
|
Балансирующая статья счета №3 - сальдо первичных
доходов - это национальный доход страны:
НД = оплата труда + прибыль + налоги + доходы от
собственности полученные - доходы от собственности переданные.
НД = 301,0 + 224,7 + 85,0 + 6,2 - 11,3 = 605,6
трлн.руб.
Сальдо первичных доходов равно 605,6 трлн. руб.
Таблица. Счет 4 Перераспределение
доходов
|
Использование
|
Сумма
|
Ресурсы
|
Сумма
|
|
Текущие
трансферты, выплаченные: · Налог
на прибыль · Подоходный
налог · Социальное
страхование
|
1,1
трлн. руб.
|
Сальдо
первичных доходов (национальный доход):
|
605,6
трлн. руб.
|
|
|
Текущие
трансферты, полученные: · Налог
на прибыль · Подоходный
налог · Социальное
страхование
|
0,7
трлн. руб.
|
|
Располагаемый
доход
|
607,7
трлн. руб.
|
|
|
РД = НД + текущие трансферты полученные -
текущие трансферты выплаченные.
РД = 605,6 + 0,7 - 1,1 = 605,2 трлн. руб.
Таблица. Счет 5 Использование
располагаемого дохода
|
Использование
|
Ресурсы
|
Сумма
|
|
1.Конечное
потребление
|
422,1
трлн. руб.
|
Распол.
доход
|
605,2трлн.
руб.
|
|
1.1.Домашних
Хозяйств
|
267,1
трлн. руб.
|
|
|
|
1.2.Государственного
управления
|
136,7
трлн. руб.
|
|
|
|
1.3.Некоммерческих
организаций
|
18,3
трлн. руб.
|
|
|
|
2.Сбережения
|
183,1
трлн. руб.
|
|
|
Сбережения = РД - конечное потребление.
Сбережения =605,2 - 422,1 = 183,1 трлн. руб.
Норма сбережений определяется по соотношению
величины сбережений и РД:
Норма сбережений = Сбережения / РД =
183,1/605,2= 0,303 трлн. руб.
Таблица. Счет 6 Операции с капиталом
|
Использование
|
Сумма
|
Ресурсы
|
Сумма
|
|
Капитальные
трансферты, выплаченные:
|
7,6
трлн. руб.
|
Сбережения:
|
183,1
трлн. руб.
|
|
Накопление
основных фондов
|
133,2
трлн. руб.
|
Капитальные
трансферты, пол:
|
9,7
трлн. руб.
|
|
Прирост
материальных оборотных средств
|
22,8
трлн. руб.
|
|
|
|
Приобретение
земли
|
|
|
|
|
Приобретение
ценностей
|
|
|
|
|
Приобретение
нематериальных активов
|
|
|
|
|
Чистое
кредитование:
|
29,2
трлн. руб.
|
|
|
ЧК = 183,1 + 9,7 - 7,6 - 133,2 - 22,8 = 29,2
трлн.руб.
Таблица. Счет 7 Товаров
и услуг
|
Использование
|
Сумма
|
Ресурсы
|
Сумма
|
|
1.
Промежуточное потребление:
|
481,5
трлн. руб.
|
1.
Валовый выпуск:
|
1044,3трлн.
руб.
|
|
2.
Конечное потребление:
|
422,1
трлн. руб.
|
2.
Импорт:
|
141,7
трлн. руб.
|
|
3.
Валовое накопление:
|
133,2трлн.
руб.
|
3.
Чистые налоги на продукты:
|
71,9-24,0=47,9
трлн. руб.
|
|
3.1.
Приобретение основных фондов трлн. руб.
|
|
|
|
|
3.2.
Накопление материальных оборотных средств
|
22,8
трлн. руб.
|
|
|
|
3.3.
Приобретение ценностей
|
|
|
|
|
4.
Экспорт:
|
169,5
трлн. руб.
|
|
|
|
5.
Статистическое расхождение:
|
4,8
|
|
|
На основании счета "Товаров и услуг"
можно определить ВВП двумя методами:
1. Методом конечного использования:
ВВП = Конечное потребление + Валовое накопление
+ Экспорт - Импорт
ВВП = 422,1+133,2+169,5 - 141,7= 583,1трлн. руб.
2. Производственным методом:
ВВП = Валовый выпуск - Промежуточное потребление
+ Чистые налоги
ВВП = 1044,3 - 481,5+47,9=610,7 трлн. руб.
Статистическое расхождение =583,1-610,7 =-27,6
трлн. руб.
список литературы
1.
Лекции
по дисциплине "Статистика"
.В.В.Голубев,
Т.В.Терентьев, Н.С.Белогина. Статистика. Рабочая программа с методическими
указаниями - М.:РГОТУПС, 2002.
.Г.Л.
Громыко. Теория статистики: Учебник - М.:ИНФРА-М, 2000.
.Р.А.Шмойлова.
Теория статистики: учебник - М.:Финансы и статистика, 2007. - 656с.