Основы статистики

  • Вид работы:
    Контрольная работа
  • Предмет:
    Математика
  • Язык:
    Русский
    ,
    Формат файла:
    MS Word
    224,44 Кб
  • Опубликовано:
    2014-02-21
Вы можете узнать стоимость помощи в написании студенческой работы.
Помощь в написании работы, которую точно примут!

Основы статистики

1. Метод группировок в статистике. Виды группировок. Понятие об интервале, выбор интервалов

Статистическая группировка - это один из основных этапов проведения статистического исследования.

Процесс образования однородных групп на основе разделения статистической совокупности на части или объединение изучаемых статистических единиц в совокупности по определенным для них признакам называют статистической группировкой. Важнейшим статистическим методом обобщения данных являются статистические группировки.

Различают следующие виды статистических группировок:

) типологические;

) структурные;

) аналитические.

Качественно однородные группы совокупностей, называют типологической группировкой.

Для построения типологической группировки необходимо воспользоваться количественными и качественными (атрибутивными) признаками.

Разделение однородной совокупности на определенные группы, которые в дальнейшем будут характеризовать структуру по определенному группировочному признаку, называют структурной группировкой.

Здесь также рассматриваются количественные и атрибутивные признаки.

Основная задача статистических группировок - исследование связей и зависимостей между признаками единиц статистической совокупности, которая решается с помощью построения аналитических группировок.

Аналитическая группировка - это группировка, выявляющая взаимосвязи и взаимозависимости между изучаемыми социально-экономическими явлениями и признаками, их характеризующими.

Все признаки в статистической науке можно подразделять на факторные и результативные. Признаки, которые оказывают большое влияние на изменение результативных признаков, называют факторными. Признаки, изменяющиеся под влиянием факторных признаков, называют результативными.

Простой называется группировка, если группа образована только по одному признаку.

Если разбить группу на подгруппу в соответствии с определенными признаками, то такую группировку называют комбинированной.

Различают группировки по используемой информации:

) первичные - производятся на основе исходных данных, которые были получены в результате статистического наблюдения;

) вторичные - это результат соединения или расчленения группировки.

Принципы построения группировок

Для построения статистических группировок нужно выбрать группировочный признак, далее определить количество групп, на которые разбивают изучаемую статистическую совокупность, и зафиксировать границы интервалов группировки. Для каждой группировки нужно находить конкретные показатели или их систему, которые должны охарактеризовать изучаемые группы.

Выбор группировочного признака - сложный вопрос в теории статистической группировки и статистического исследования в целом.

Группировочный признак - это основание, по которому проводится разбивка единиц совокупности на отдельные группы. От степени точности группировочного признака зависит правильность выводов статистического исследования.

В группировку входят количественные и атрибутивные (качественные) признаки. Количественные признаки обычно имеют числовое выражение. Атрибутивные признаки дают качественную характеристику единицы совокупности.

Число групп, на которые расчленяется статистическая совокупность, зависит от количества градаций атрибутивного признака.

Важно изучить экономическую сущность исследуемого явления при построении группировки по количественному признаку.

После установления числа групп решается вопрос об определении интервалов группировки.

Интервал группировки - это интервал значений варьирующего признака, лежащих в пределах определенной группы. Каждый интервал имеет свою длину (ширину), верхнюю и нижнюю границы.

Нижняя граница интервала - это наименьшее значение признака в интервале, а верхняя граница интервала - его наибольшее значение.

Ширина интервала - это разность между верхней и нижней границами.

Интервалы группировки в зависимости от их ширины бывают равными и неравными. Неравные делятся на прогрессивно возрастающие, прогрессивно убывающие, произвольные и специализированные.

Выбор равных или неравных интервалов зависит от степени заполнения интервалов.

Интервалы группировок могут быть закрытыми и открытыми.

Закрытыми интервалами являются интервалы, в которых указаны верхняя и нижняя границы. Открытые интервалы имеют только одну границу.

К количественным признакам можно отнести непрерывный признак, или дискретный.

Специализированные интервалы - это интервалы, которые применяются для выделения из совокупности одних и тех же типов по одному и тому же признаку у явлений, находящихся в различных условиях.

2. Понятие о структурных средних. Мода и медиана

Для характеристики структуры статистической совокупности применяются показатели, которые называют структурными средними. К ним относятся мода и медиана.

Мода (Мо) - чаще всего встречающийся вариант. Модой называется значение признака, которое соответствует максимальной точке теоретической кривой распределений.

Мода представляет наиболее часто встречающееся или типичное значение.

Мода применяется в коммерческой практике для изучения покупательского спроса и регистрации цен.

В дискретном ряду мода - это варианта с наибольшей частотой. В интервальном вариационном ряду модой считают центральный вариант интервала, который имеет наибольшую частоту (частность).

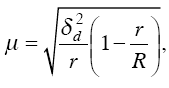
В интервальных вариационных рядах моду определяют приближенно по формуле:

ХМ0 - нижняя граница модального интервала;- величина (шаг, ширина) модального интервала;- локальная частота интервала, предшествующего модальному;- локальная частота модального интервала;- локальная частота интервала, следующего за модальным.

Распределение населения по уровню среднедушевого месячного дохода

Среднедушевой доход, руб.

Удельный вес населения, % (f i)

Накопленная частота, % (Si)

менее 1000

2,4

2,4

1000-3000

35,5

37,9

3000-5000

30,0

67,9

5000-7000

15,7

83,6

7000-9000

7,7

91,3

9000 и выше

8,7

100,0

Всего

100,0

Х



На графике (гистограмме распределения) моду определяют следующим образом: по оси ординат откладывают локальные частоты, а по оси абсцисс - интервалы либо центры интервалов. Выбирают самый высокий столбик, которому соответствует величина признака с наибольшей частотой в ряду распределения.

Мода применяется для решения некоторых практических задач. Так, например, при изучении товарооборота рынка берется модальная цена, для изучения спроса на обувь, одежду используют модальные размеры обуви и одежды.

Медиана - это численное значение признака у той единицы совокупности, которая находится в середине ранжированного ряда (построенного в порядке возрастания, либо убывания значений изучаемого признака). Медиану иногда называют серединной вариантой, т. к. она делит совокупность на две равные части таким образом, чтобы по обе ее стороны находилось одинаковое число единиц совокупности. Если всем единицам ряда присвоить порядковые номера, то порядковый номер медианы будет определяться по формуле (n+1):2 для рядов, где n - нечетное. Если же ряд с четным числом единиц, то медианой будет являться среднее значение между двумя соседними вариантами, определенными по формуле: n:2, (n+1):2, (n:2)+1.

В дискретных вариационных рядах с нечетным числом единиц совокупности - это конкретное численное значение в середине ряда.

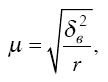
Нахождение медианы в интервальных вариационных рядах требует предварительного определения интервала, в котором находится медиана, т.е. медианного интервала - этот интервал характеризуется тем, что его кумулятивная (накопленная) частота равна полусумме или превышает полусумму всех частот ряда.

- нижняя граница медианного интервала- величина медианного интервала;-сумма накопленных частот интервала, предшествующего медианному интервалу;- локальная частота медианного интервала.

По данным таблицы определим медианное значение среднедушевого дохода. Для этого необходимо определить какой интервал будет медианным. Используем формулу номера медианной единицы ряда, т.е. середины:


Дробное значение N (всегда при четном числе членов) равное 50,5% говорит о том, что середина ряда находится между 50% и 51%, т.е. в третьем интервале. Иными словами: медианным считается интервал, на который впервые приходится более половины суммы накопленных частот. Отсюда медиана:



Для того, чтобы определить графически интервал, в котором находится медиана, по оси ординат откладывают накопленные частоты, а по оси абсцисс - центры интервалов. Из точки на оси ординат, которой соответствует 50.5% суммы накопленных частот, проводят линию параллельно оси абсцисс до пересечения с кумулятой. Из точки пересечения опускают перпендикуляр на ось абсцисс.

Соотношение моды, медианы и средней арифметической указывает на характер распределения признака в совокупности, позволяет оценить его асимметрию. Если M0<Me<Х - имеет место правосторонняя асимметрия. Если же Х<Me<M0 - левосторонняя асимметрия ряда. По приведенному примеру можно сделать заключение, что наиболее распространенным является доход порядка 2715 руб. в месяц. В то же время, более половины населения располагает доходом свыше 3807 руб., при среднем уровне 4338 руб.


Из соотношения этих показателей следует сделать вывод о правосторонней асимметрии распределения населения по уровню среднедушевого денежного дохода:

Квартиль - это четвертая часть совокупности, определяется как и медиана, только сумму частот необходимо разделить на 4, а при определении квартильного интервала, кумулятивная частота должна быть больше или равна четверти суммы частот совокупности.

Дециль - делит совокупность на десять равных частей. Определяется аналогично как и квартиль, только сумму частот необходимо разделить на 10.

3. Ошибки выборочного наблюдения

Между признаками выборочной совокупности и признаками генеральной совокупности, как правило, существует некоторое расхождение, которое называется ошибкой статистического наблюдения. При массовом наблюдении ошибки неизбежны, но возникают они в результате действия различных причин. Величина возможной ошибки выборочного признака происходит из-за ошибок регистрации и ошибок репрезентативности. Ошибки регистрации, или технические ошибки, связаны с недостаточной квалификацией наблюдателей, неточностью подсчетов, несовершенством приборов и т.п.

Под ошибкой репрезентативности (представительства) понимают расхождение между выборочной характеристикой и предполагаемой характеристикой генеральной совокупности. Ошибки репрезентативности бывают случайными и систематическими. Систематические ошибки связаны с нарушением установленных правил отбора. Случайные ошибки объясняются недостаточно равномерным представлением в выборочной совокупности различных категорий единиц генеральной совокупности.

В результате первой причины выборка легко может оказаться смещенной, так как при отборе каждой единицы допускается ошибка, всегда направленная в одну и ту же сторону. Эта ошибка получила название ошибки смещения. Ее размер может превышать величину случайной ошибки. Особенность ошибки смещения состоит в том, что, являясь постоянной частью ошибки репрезентативности, она увеличивается с увеличением объема выборки. Случайная же ошибка с увеличением объема выборки уменьшается. Кроме того, величину случайной ошибки можно определить, тогда как размер ошибки смещения практически определить очень сложно, а иногда и невозможно, поэтому важно знать причины, вызывающие ошибку смещения, и предусмотреть мероприятия по ее устранению.

Ошибки смещения бывают преднамеренные и непреднамеренные. При-чиной возникновения преднамеренной ошибки является тенденциозный под-ход к выбору единиц из генеральной совокупности. Чтобы не допустить появление такой ошибки, необходимо соблюдать принцип случайности отбора единиц.

Непреднамеренные ошибки могут возникать на стадии подготовки выборочного наблюдения, формирования выборочной совокупности и анализа ее данных. Чтобы не допустить появление таких ошибок, необходима хорошая основа выборки, т.е. та генеральная совокупность, из которой предполагается производить отбор, например список единиц отбора. Основа выборки должна быть достоверной, полной и соответствовать цели исследования, а единицы отбора и их характеристики должны соответствовать действительному их состоянию на момент подготовки выборочного наблюдения. Нередки случаи, когда в отношении некоторых единиц, попавших в выборку, труд-но собрать сведения из-за их отсутствия на момент наблюдения, нежелания дать сведения и т.п. В таких случаях эти единицы приходится заменять другими. Необходимо следить, чтобы замена осуществлялась равноценными единицами.

Случайная ошибка выборки возникает в результате случайных различий между единицами, попавшими в выборку, и единицами генеральной совокупности, т.е. она связана со случайным отбором. Теоретическим обоснованием появления случайных ошибок выборки является теория вероятностей и ее предельные теоремы.

Сущность предельных теорем состоит в том, что в массовых явлениях совокупное влияние различных случайных причин на формирование закономерностей и обобщающих характеристик будет сколь угодно малой величиной или практически не зависит от случая. Так как случайная ошибка выборки возникает в результате случайных различий между единицами выборочной и генеральной совокупностей, то при достаточно большом объеме выборки она будет сколь угодно мала.

Предельные теоремы теории вероятностей позволяют определять размер случайных ошибок выборки. Различают среднюю (стандартную) и предельную ошибку выборки. Под средней (стандартной) ошибкой выборки понимают такое расхождение между средней выборочной и генеральной совокупностями (~ -), которое не превышает ±. Предельной ошибкой выборки принято считать максимально возможное расхождение (~ -), т.е. максимум ошибки при заданной вероятности ее появления.

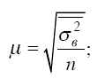
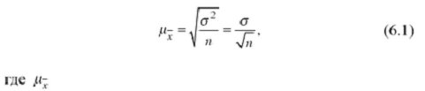
В математической теории выборочного метода сравниваются средние характеристики признаков выборочной и генеральной совокупностей и доказывается, что с увеличением объема выборки вероятность появления больших ошибок и пределы максимально возможной ошибки уменьшаются. Чем больше обследуется единиц, тем меньше будет величина расхождений выборочных и генеральных характеристик. На основании теоремы, доказанной П.Л. Чебышевым, величину стандартной ошибки простой случайной выборки при достаточно большом объеме выборки (n) можно определить по фор-муле 6.1:


стандартная ошибка.

Из этой формулы средней (стандартной) ошибки простой случайной выборки видно, что величина зависит от изменчивости признака в генеральной совокупности (чем больше вариация признака, тем больше ошибка выборки) и от объема выборки n (чем больше обследуется единиц, тем меньше будет величина расхождений выборочных и генеральных характеристик).

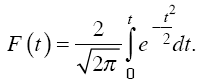
Академик A.M. Ляпунов доказал, что вероятность появления случай-ной ошибки выборки при достаточно большом ее объеме подчиняется закону нормального распределения. Эта вероятность определяется по формуле:


В математической статистике употребляют коэффициент доверия t, значения функции F(t) табулированы при разных его значениях, при этом получают соответствующие уровни доверительной вероятности (табл. 6.1).

Коэффициент доверия t и соответствующие уровни доверительной вероятности


Коэффициент доверия позволяет вычислить предельную ошибку выборки,


т.е. предельная ошибка выборки равна t-кратному числу средних ошибок выборки.

Таким образом, величина предельной ошибки выборки может быть установлена с определенной вероятностью. Как видно из последней графы табл. 6.1, вероятность появления ошибки равной или большей утроенной средней ошибки выборки, т.е.


крайне мала и равна 0,003 (1-0,997). Такие маловероятные события считаются практически невозможными, а потому величину


можно принять за предел возможной ошибки выборки.

Выборочное наблюдение дает возможность определить среднюю арифметическую выборочной совокупности и величину предельной ошибки этой средней, которая показывает (с определенной вероятностью), насколько выборочная величина может отличаться от генеральной средней в большую или меньшую сторону. Тогда величина генеральной средней будет представлена интервальной оценкой, для которой нижняя граница будет равна


Интервал, в который с данной степенью вероятности будет заключена неизвестная величина оцениваемого параметра, называют доверительным, а вероятность Р - доверительной вероятностью. Чаще всего доверительную вероятность принимают равной 0,95 или 0,99, тогда коэффициент доверия t равен соответственно 1,96 и 2,58. Это означает, что доверительный интервал с заданной вероятностью заключает в себе генеральную среднюю.

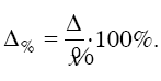
Наряду с абсолютной величиной предельной ошибки выборки рассчитывается и относительная ошибка выборки, которая определяется как процентное отношение предельной ошибки выборки к соответствующей характеристике выборочной совокупности:


Чем больше величина предельной ошибки выборки, тем больше величина доверительного интервала и тем, следовательно, ниже точность оценки. Средняя (стандартная) ошибка выборки зависит от объема выборки и степени вариации признака в генеральной совокупности.

В теории выборочного метода разработаны различные способы отбора и виды выборки, обеспечивающие репрезентативность. Под способом отбора понимают порядок отбора единиц из генеральной совокупности. Различают два способа отбора: повторный и бесповторный. При повторном отборе каждая отобранная в случайном порядке единица после ее обследования возвращается в генеральную совокупность и при последующем отборе может снова попасть в выборку. Этот способ отбора построен по схеме «возвращенного шара»: вероятность попасть в выборку для каждой единицы генеральной совокупности не меняется независимо от числа отбираемых единиц. При бесповторном отборе каждая единица, отобранная в случайном порядке, после ее обследования в генеральную совокупность не возвращается. Этот способ отбора построен по схеме «невозвращенного шара»: вероятность попасть в выборку для каждой единицы генеральной совокупности увеличивается по мере производства отбора.

В зависимости от методики формирования выборочной совокупности различают следующие основные виды выборки:

собственно случайную;

механическую;

типическую (стратифицированную, районированную);

серийную (гнездовую);

комбинированную;

многоступенчатую;

многофазную;

взаимопроникающую.

Собственно случайная выборка формируется в строгом соответствии с научными принципами и правилами случайного отбора. Для получения собственно случайной выборки генеральная совокупность строго подразделяется на единицы отбора, и затем в случайном повторном или бесповторном порядке отбирается достаточное число единиц.

Случайный порядок подобен жеребьевке. На практике он чаще всего применяется при использовании специальных таблиц случайных чисел. Если, например, из совокупности, содержащей 1587 единиц, следует отобрать 40 единиц, то из таблицы отбирают 40 четырехзначных чисел, которые меньше 1587.

В том случае, когда собственно случайная выборка организуется как повторная, расчет стандартной ошибки производится в соответствии с формулой (6.1). При бесповторном способе отбора формула для расчета стандартной ошибки будет:


где 1 - n / N - доля единиц генеральной совокупности, не попавших в выборку. Так как эта доля всегда меньше единицы, то ошибка при бесповторном отборе при прочих равных условиях всегда меньше, чем при повторном. Бесповторный отбор организовать легче, чем повторный, и он применяется намного чаще. Однако величину стандартной ошибки при бесповторном отборе можно определять по более простой формуле. Такая замена возможна, если доля единиц генеральной совокупности, не попавших в выборку, большая и, следовательно, величина близка к единице.

Формировать выборку в строгом соответствии с правилами случайного отбора практически очень сложно, а иногда невозможно, так как при использовании таблиц случайных чисел необходимо пронумеровать все единицы генеральной совокупности. Довольно часто генеральная совокупность такая большая, что провести подобную предварительную работу чрезвычайно сложно и нецелесообразно, поэтому на практике применяют другие виды выборок, каждая из которых не является строго случайной. Однако организуются они так, чтобы было обеспечено максимальное приближение к условиям случайного отбора.

При чисто механической выборке вся генеральная совокупность единиц должна быть прежде всего представлена в виде списка единиц отбора, составленного в каком-то нейтральном по отношению к изучаемому признаку порядке, например по алфавиту. Затем список единиц отбора разбивается на столько равных частей, сколько необходимо отобрать единиц. Далее по заранее установленному правилу, не связанному с вариацией исследуемого признака, из каждой части списка отбирается одна единица. Этот вид выборки не всегда может обеспечить случайный характер отбора, и полученная выборка может оказаться смещенной. Объясняется это тем, что, во-первых, упорядочение единиц генеральной совокупности может иметь элемент неслучайного характера. Во-вторых, отбор из каждой части генеральной совокупности при неправильном установлении начала отсчета может также привести к ошибке смещения. Однако практически легче организовать механическую выборку, чем собственно случайную, и при проведении выборочных обследований чаще всего пользуются этим видом выборки. Стандартную ошибку при механической выборке определяют по формуле собственно случайной бесповторной выборки (6.2).

обеспечить представительство в выборке соответствующих типических групп генеральной совокупности по интересующим исследователя признакам;

увеличить точность результатов выборочного обследования.

При типической выборке до начала ее формирования генеральная совокупность единиц разбивается на типические группы. При этом очень важным моментом является правильный выбор группировочного признака. Выделенные типические группы могут содержать одинаковое или различное число единиц отбора. В первом случае выборочная совокупность формируется с одинаковой долей отбора из каждой группы, во втором - с долей, пропорциональной ее доле в генеральной совокупности. Если выборка формируется с равной долей отбора, по существу она равносильна ряду собственно случайных выборок из меньших генеральных совокупностей, каждая из которых и есть типическая группа. Отбор из каждой группы осуществляется в случайном (повторном или бесповторном) либо механическом порядке. При типической выборке, как с равной, так и неравной долей отбора, удается устранить влияние межгрупповой вариации изучаемого признака на точность ее результатов, так как обеспечивается обязательное представительство в выборочной совокупности каждой из типических групп. Стандартная ошибка выборки будет зависеть не от величины общей дисперсии σ2, а от величины средней из групповых дисперсий σi2. Поскольку средняя из групповых дисперсий всегда меньше общей дисперсии, постольку при прочих равных условиях стандартная ошибка типической выборки будет меньше стандартной ошибки собственно случайной выборки.

При определении стандартных ошибок типической выборки применяются следующие формулы:

при повторном способе отбора


при бесповторном способе отбора:


средняя из групповых дисперсий в выборочной совокупности.

Серийная (гнездовая) выборка - это такой вид формирования выборочной совокупности, когда в случайном порядке отбираются не единицы, подлежащие обследованию, а группы единиц (серии, гнезда). Внутри отобранных серий (гнезд) обследованию подвергаются все единицы. Серийную выборку практически организовать и провести легче, чем отбор отдельных единиц. Однако при этом виде выборки, во-первых, не обеспечивается представительство каждой из серий и, во-вторых, не устраняется влияние межсерийной вариации изучаемого признака на результаты обследования. В том случае, когда эта вариация значительна, она приведет к увеличению случайной ошибки репрезентативности. При выборе вида выборки исследователю необходимо учитывать это обстоятельство. Стандартная ошибка серийной выборки определяется по формулам:

при повторном способе отбора -



где σ - межсерийная дисперсия выборочной совокупности; r - число отобранных серий;

при бесповторном способе отбора -


где R - число серий в генеральной совокупности.

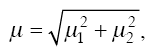
При комбинированной выборке величина стандартной ошибки выборки состоит из ошибок на каждой ее ступени и может быть определена как корень квадратный из суммы квадратов ошибок соответствующих выборок. Так, если при комбинированной выборке в сочетании использовались механическая и типическая выборки, то стандартную ошибку можно определить по формуле


где μ1 и μ2 - стандартные ошибки соответственно механической и типической выборок.

Особенность многоступенчатой выборки состоит в том, что выборочная совокупность формируется постепенно, по ступеням отбора. На первой ступени с помощью заранее определенного способа и вида отбора отбираются единицы первой ступени. На второй ступени из каждой единицы первой ступени, попавшей в выборку, отбираются единицы второй ступени и т.д. Число ступеней может быть и больше двух. На последней ступени формируется выборочная совокупность, единицы которой подлежат обследованию. Так, например, для выборочного обследования бюджетов домашних хозяйств на первой ступени отбираются территориальные субъекты страны, на второй - районы в отобранных регионах, на третьей - в каждом муниципальном образовании отбираются предприятия или организации и, наконец, на четвертой ступени - в отобранных предприятиях отбираются семьи.

Таким образом, выборочная совокупность формируется на последней ступени. Многоступенчатая выборка более гибкая, чем другие виды, хотя в общем она дает менее точные результаты, чем выборка того же объема, но сформированная в одну ступень. Однако при этом она имеет одно важное преимущество, которое заключается в том, что основу выборки при многоступенчатом отборе нужно строить на каждой из ступеней только для тех единиц, которые попали в выборку, а это очень важно, так как нередко готовой основы выборки нет.

Стандартную ошибку выборки при многоступенчатом отборе при группах разных объемов определяют по формуле


где μ1, μ2, μ3… - стандартные ошибки на разных ступенях;, n2, n3,… - численность выборок на соответствующих ступенях отбора.

В том случае, если группы неодинаковы по объему, то теоретически этой формулой пользоваться нельзя. Но если общая доля отбора на всех ступенях постоянна, то практически расчет по этой формуле не приведет к искажению величины ошибки.

Сущность многофазной выборки состоит в том, что на основе первоначально сформированной выборочной совокупности образуют подвыборку, из этой подвыборки - следующую подвыборку и т.д. Первоначальная выборочная совокупность представляет собой первую фазу, подвыборка из нее - вторую и т.д. Многофазную выборку целесообразно применять в случаях, если:

для изучения различных признаков требуется неодинаковый объем выборки;

колеблемость изучаемых признаков неодинакова и требуемая точность различна;

в отношении всех единиц первоначальной выборочной совокупности (первая фаза) необходимо собрать менее подробные сведения, а в отношении единиц каждой последующей фазы - более подробные.

Одним из несомненных достоинств многофазной выборки является то обстоятельство, что сведениями, полученными на первой фазе, можно пользоваться как дополнительной информацией на последующих фазах, информацией второй фазы - как дополнительной информацией на следующих фазах и т.д. Такое использование сведений повышает точность результатов выборочного обследования.

При организации многофазной выборки можно применять сочетание различных способов и видов отбора (типическую выборку с механической и т.д.). Многофазный отбор можно сочетать с многоступенчатым. На каждой ступени выборка может быть многофазной.

Стандартная ошибка при многофазной выборке рассчитывается на каждой фазе в отдельности в соответствии с формулами того способа отбора и вида выборки, при помощи которых формировалась ее выборочная совокупность.

Взаимопроникающие выборки - это две или более независимые выборки из одной и той же генеральной совокупности, образованные одним и тем же способом и видом. К взаимопроникающим выборкам целесообразно прибегать, если необходимо за короткий срок получить предварительные итоги выборочных обследований. Взаимопроникающие выборки эффективны для оценки результатов обследования. Если в независимых выборках результаты одинаковы, то это свидетельствует о надежности данных выборочного обследования. Взаимопроникающие выборки иногда можно применять для проверки работы различных исследователей, поручив каждому из них провести обследование разных выборок.

Стандартная ошибка при взаимопроникающих выборках определяется по той же формуле, что и типическая пропорциональная выборка. Взаимопроникающие выборки по сравнению с другими видами требуют больших трудовых затрат и денежных расходов, поэтому исследователь должен учитывать это обстоятельство при проектировании выборочного обследования.

Литература

1.   И.В. Бурханова «Теория статистики. Самое главное» Институт экономики и права И. Кушнира.

2.      Л.М. Неганова «Статистика» Институт экономики и права И. Кушнира.

группировка интервал мода ошибка

Похожие работы на - Основы статистики

 

Не нашли материал для своей работы?
Поможем написать уникальную работу
Без плагиата!
Без нейросетей!