Системы оплаты труда и их анализ
Введение
труд оплата производительность
Проблема оплаты труда - одна из ключевых в российской
экономике. От ее успешного решения во многом зависят как повышение
эффективности производства, так и рост благосостояния людей, благоприятный
социально-психологический климат в обществе.
Одним из основных принципов организации заработной платы в
современной экономике является принцип материальной заинтересованности
работника в результатах своего труда.
При переходе к рыночной экономике произошли кардинальные
изменения во многих сферах экономической деятельности, в том числе и в системе
оплаты труда. Складываются новые отношения между государством, предприятием и
работником по поводу организации труда. Переход на рыночные отношения внес
изменения и в формы регулирования трудовых отношений. Теперь непосредственной
юридической формой регулирования трудовых отношений являются тарифные
соглашения и коллективный договор. Предприятия вправе выбирать системы и формы
оплаты труда самостоятельно, исходя из специфики и задач стоящих перед
предприятием.
В новых условиях решение проблем в области оплаты труда
невозможно без развитых механизмов социального партнерства. В плоскости
реформирования заработной платы находится и проблема государственных социальных
стандартов, представляющих нормативные показатели уровня жизни и социального
развития и используемых в качестве целевых ориентиров в практике
государственного управления процессами экономического и социального развития.
Актуальна проблема задолженности по оплате труда, которая остается
одной из наиболее острых проблем, вызывающих социальную напряженность.
Новые системы организации труда и заработной платы должны
обеспечить сотрудникам материальные стимулы. Эти стимулы могут быть
задействованы наиболее эффективно при жесткой индивидуализации заработной платы
каждого работника, т.е. при внедрении бестарифной, гибкой модели оплаты труда,
при которой заработок работника находится в прямой зависимости от спроса на
производимую им продукцию и выполняемые информационные услуги, от качества и
конкурентноспособности выполняемых работ и, конечно, от финансового положения
Общества, в котором он работает.
Необходимо учитывать так же, что формирование и величина
прибыли зависят от выбранной системы оплаты труда.
В результате трудовой деятельности производятся товары и
услуги, которые характеризуются, во-первых, издержками производства, или
себестоимостью, во-вторых, рыночной стоимостью. Соотношение этих двух величин
по каждому виду товаров и услуг, умноженных на их объём, определяет прибыльность
и рентабельность производства. Обобщающим показателем результативности труда
является его производительность, характеризующая объёмы выпущенной продукции
или произведённых услуг на единицу затрат труда. Различают производительность
труда в масштабе общества, региона, отрасли, производительность труда на
предприятии и производительность отдельного работника. Каждое предприятие
отличается определённым уровнем производительности труда, который может
повышаться или понижаться в зависимости от различных факторов. Непременным
условием развития производства служит повышение производительности труда.
Производительность труда - основной показатель экономической
эффективности производства отрасли и каждого предприятия.
Цель данной работы - рассмотреть статистические методы
изучения взаимосвязей производственных показателей фирмы.
В задачи работы входят:
выявление сущности результатов производственной деятельности
и динамического ряда;
рассмотрение различных методов сглаживания и выравнивания
динамических рядов.
В практической части работы предстоит выполнить несколько
заданий.
В аналитической части осуществим корреляционно-регрессионный
анализ влияния на производительность труда в сельском хозяйстве Калужской
области различных факторов.
При написании работы использовался пакет MS Excel.
1. Теоретическая часть
1.1
Теоретические основы оплаты труда и производительности
Оплата труда работников представляет собой компенсацию
работодателем труда наемного работника на предприятии работодателя,
соответствующую количеству и качеству выполненной работы.
Размеры этой компенсации имеют вполне определенные
количественные границы, поскольку, с одной стороны, они должны обеспечить [5, C. 134]:
а) работнику - определенный уровень удовлетворения его личных
и социальных потребностей, необходимых для восстановления его способностей к
труду, потребленных в производственном процессе;
б) работодателю - получение на данном рабочем месте от
работника результата необходимого для достижения конечной цели предприятия.
Различают денежную и неденежную (натуральную) формы оплаты
труда. Основной является денежная форма, позволяющая работнику в условиях
существования денег как всеобщего товарного эквивалента и наиболее
универсального средства платежа использовать их наиболее эффективно для удовлетворения
своих потребностей. К неденежным формам оплаты в современных условиях прибегают
весьма редко. Однако в условиях нарушенного денежного обращения, гиперинфляции
и нестабильного, кризисного состояния экономики, отсутствия надежного механизма
индексации доходов на рост цен неденежные формы оплаты труда мог получать более
широкое распространение.
Как социально - экономическая категория, оплата труда
отражает противоположность интересов наемного работника и работодателя в их
отношениях по поводу выполненной работником работы.
Для работника заработная плата - главная и основная часть его
личного дохода, средство воспроизводства его как носителя способностей к труду
и члена общества. Интерес работника состоит в увеличении оплаты труда (дохода)
путем увеличения как своего трудового вклада и результатов труда, так и цены
своих трудовых усилий.
Для работодателя оплата труда работников - это всегда расход
на рабочую силу как задействованный в производственном процессе ресурс. Интерес
работодателя состоит в минимизации расходов на рабочую силу в расчете на
единицу производимой продукции в результате как более продуктивного
использования работника в течение рабочего времени при оговоренной оплате за
единицу этого времени (ставке заработной платы), так и заключения более
выгодных условий найма.
В развитой рыночной экономике заработная плата - это цена,
выплачиваемая работнику за использование его труда, величина которой
определяется рынком труда, то есть спросом на рабочую силу и ее предложением.
Чем больше спрос на конкретную рабочую силу и чем меньше ее предложение, тем
выше заработная плата, и, наоборот, чем выше ее предложение, тем ниже
заработная плата [12, C. 155].
Основная задача организации зарплаты состоит в том, чтобы
поставить оплату труда в зависимость от количества и качества трудового вклада
каждого работника и тем самым повысить стимулирующую функцию вклада каждого.
Организация оплаты труда предполагает:
· определение форм и систем оплаты труда работников
предприятия;
· разработку критериев и определение размеров
доплат за отдельные достижения работников и специалистов предприятия;
· разработку системы должностных окладов служащих и
специалистов;
· обоснование показателей и системы премирования
сотрудников.
Вопросы организации труда занимают одно из ведущих мест в
социально - экономической политике предприятия. В условиях рыночной экономики
практическое осуществление мер по совершенствованию организации труда должно
быть основано на соблюдении ряда принципов оплаты труда, которую необходимо
базировать на следующих экономических законах:
законе возмещения затрат на воспроизводство рабочей силы;
законе стоимости.
Из требований экономических законов может быть сформулирована
система принципов организации оплаты труда, включающая в себя:
принцип оплаты по затратам и результатам, который следует из
всех указанных выше законов. На протяжении длительного периода времени вся
система организации оплаты труда в государстве было нацелена на распределение
по затратам труда, которое не соответствует требованиям современного уровня
развития экономики. В настоящее время более строгим является принцип оплаты по
затратам и результатам труда, а не только по затратам;
принцип повышения уровня оплаты труда на основе роста
эффективности производства, который обусловлен, в первую очередь, действием
таких экономических законов, как закон повышающейся производительности труда,
закон возвышения потребностей. Из этих законов следует, что рост оплаты труда
работника должен осуществляться только на основе повышении эффективности
производства;
принцип опережения роста производительности общественного
труда по сравнению с ростом заработной платы, который вытекает из закона
повышающейся производительности труда. Он призван обеспечить необходимые
накопления и дальнейшее расширение производства;
принцип материальной заинтересованности в повышении
эффективности труда следует из закона повышающейся производительности труда и
закона стоимости. Необходимо не просто обеспечивать материальную
заинтересованность в определенных результатах труда, но и заинтересовать
работника в повышении эффективности труда. Реализация этого принципа в
организации оплаты труда будет способствовать достижению определенных
качественных изменений в работе всего хозяйственного механизма.
Заработная плата тесно связана с производительностью труда.
Производительность труда - важнейший показатель эффективности процесса труда,
представляет собой способность конкретного работника создавать в единицу
времени определенное количество продукции. А заработная плата, относящаяся к
денежному вознаграждению, выплачивается работнику за выполненную работу [18, C. 143].
Заработная плата, являясь традиционным фактором мотивации
труда, оказывает доминирующее влияние на производительность. Организация не
может удержать рабочую силу, если она не выплачивает вознаграждения по
конкурентоспособным ставкам и не имеет шкалы оплаты, стимулирующей людей к
работе. Для того чтобы обеспечить стабильный рост производительности,
руководство должно четко связать заработную плату, продвижение по службе с
показателями производительности труда, выпуском продукции.
Система вознаграждения за труд должна быть создана таким
образом, чтобы она не подрывала перспективные усилия на обеспечение
производительности при краткосрочных негативный результатах. Особенно это относится
к эшелону управления.
Зарплата может действовать как фактор, де стимулирующий
развитие производительности труда. Медленная работа часто вознаграждается
оплатой сверхурочных. Отделы, допустившие перерасход трудозатрат на выполнение
определенных работ в этом году могут надеяться на увеличение сметы на будущий
год. Сам факт более крупных затрат времени не является автоматическим
индикатором выполнения большего объема работ, хотя схемы оплаты труда часто
исходят именно из этих предположений.
Линия поведения должна заключаться в том, чтобы поощрять то,
что способствует росту производительности. В деятельности по организации оплаты
труда предпринимателю редко предоставляется полная самостоятельность. Обычно
оплата труда регулируется и контролируется компетентными государственными
органами.
Регулирование оплаты труда осуществляется на основе сочетания
мер государственного воздействия с системой договоров.
Государственное регулирование оплаты труда включает:
законодательное установление и изменение минимального размера
оплаты труда в РФ;
налоговое регулирование средств, направляемых на оплату труда
предприятиями, а также доходов физических лиц;
установление районных коэффициентов и процентов надбавок;
установление государственных гарантий по оплате труда.
Регулирование оплаты труда на основе договоров и соглашений
обеспечивается: генеральным, территориальным, коллективными договорами,
индивидуальными договорами (контрактами).
Существуют три типа политики в области доходов и заработной
платы:
контроль за инфляцией с помощью налогов и фискальных мер;
регулирование доходов на основе государственных правил и
положений;
политика трехстороннего сотрудничества.
Все эти элементы имеют место в России. Но при чрезмерной
дифференциации заработков, централизованная политика в области оплаты труда
вряд ли принесет хорошие результаты. Ориентация на налоговое регулирование
доходов может стимулировать черный рынок. Потому главная надежда, видимо, в
политике переговоров, в частности, по поводу утверждения уровней заработной
платы, обеспечивающих гибкую и справедливую оплату труда.
Прожиточный минимум представляет собой показатель
минимального состава и структуры потребления материальных благ и услуг,
необходимых для сохранения здоровья человека и обеспечения его
жизнедеятельности. Прожиточный минимум используется для обоснования минимальной
оплаты труда и трудовой пенсии по старости и для установления минимального
размера пособия по безработице и стипендии на период профессиональной
подготовки граждан по направлению службы занятости.
Минимальный размер оплаты труда представляет собой низшую
границу стоимости неквалифицированной рабочей силы, исчисляемой в виде денежных
выплат в расчете на месяц, которые получают лица, работающие по найму, за
выполнение простых работ в нормальных условиях труда. Минимальный размер оплаты
труда определяется с учетом стоимости жизни и экономических возможностей
государства. Минимальный размер оплаты определяется в размере 40% прожиточного
минимума, рассчитанного на душу населения, что предполагает его периодически
пересмотр с учетом имения индекса потребительских цен и тарифов на услуги.
Минимальная ставка заработной платы основывается на
минимальном размере оплаты труда. Месячная минимальная заработная плата
работника, выполнившего свои трудовые обязательства (нормы труда), не может быт
ниже минимального размера оплаты труда. В минимальный размер оплаты труда не
включаются доплаты и надбавки, а также премии и другие поощрительные выплаты.
При определении минимальной ставки (оклада) работников предприятия работодатель
обязан предусматривать их в более высоком размере, чем установленный
Федеральным законом минимальный размер оплаты труда. На уровне минимального
размера оплаты труда ставка работников устанавливается в случаях, если
предприятие испытывает трудности экономического характера, либо в качестве
специальной меры по предотвращению массового высвобождения работников.
Для регулирования оплаты труда работников бюджетной сферы
предназначена Единая тарифная сетка, она является основой тарифной системы. Она
представляет собой шкалу тарификации и оплаты труда всех категорий работников
от рабочего разряда до руководителей организации [23, C. 132].
Производительность труда является одним из важнейших
показателей эффективности общественного производства. Применение этого
показателя позволяет оценить эффективность труда, как отдельного работника, так
и коллектива.
Производительность в широком понимании - это умственная
склонность человека к постоянному поиску возможности усовершенствования того,
что существует. Оно основано на уверенности в том, что человек может работать
сегодня лучше, чем вчера, а завтра еще лучше. Оно требует постоянного
совершенствования экономической деятельности.
При изучении вопроса об экономическом содержании
производительности труда надо исходить из того, что труд, затрачиваемый на
производство продукции, состоит из живого труда, расходуемого в данный момент в
процессе производства продукции, и прошлого труда, овеществленного в ранее
созданной продукции, используемый для производства новой.
Функцией живого труда является не только создание новой
стоимости, но и перенесение рабочего времени, материализованного в вещественных
элементах производства, на вновь создаваемый продукт. Поэтому производительная
сила живого труда характеризуется его способностью создавать новые
потребительные стоимости. Общая тенденция повышения производительности труда
проявляется в том, что доля живого труда в продукте уменьшается, а доля
овеществленного труда (сырья, материалов) возрастает, но так, что общая сумма
труда, заключающаяся в единице продукции, сокращается. В этом и состоит
сущность повышения производительности труда.
Изменение соотношения между затратами живого и
овеществленного труда может происходить по-разному в зависимости от уровня
развития производительных сил. На высшем этапе научно-технического прогресса с
ростом механизации и автоматизации производства снижаются одновременно затраты
и живого и овеществленного труда на единицу продукции, но затраты живого труда
снижаются в большей степени, чем затраты прошлого труда, поэтому доля живого
труда в продукте уменьшается, а доля прошлого - увеличивается. Отсюда, чем выше
уровень механизации и автоматизации труда, тем большую роль в его экономии
будет играть сокращение затрат овеществленного труда.
Производительность труда является показателем экономического
роста, то есть показателем, обеспечивающим рост реального продукта и дохода.
Отсюда производительность труда - общий объем продукции, деленный на количество
затраченного, на его производство труда, или реальная часовая выработка на
одного занятого. Повышение производительности труда в любой системе может
происходить различными путями под воздействием различных факторов. Она может
повышаться, если наблюдается одна из следующих ситуаций:
Объем продукции растет, а затраты снижаются;
Объем продукции растет быстрее, чем затраты;
Объем продукции остается без изменения, в то время как
затраты снижаются (например, в результате реализации программ по сокращению
издержек);
Объем продукции растет при неизменных затратах;
Объем продукции снижается более медленными темпами, чем
затраты.
Важным этапом работы на предприятии является поиск путей для
повышения производительности труда, которые можно классифицировать следующим
образом:
Повышение технического уровня производства в результате
механизации и автоматизации производства; внедрения новых видов оборудования и
технологических процессов; улучшения конструктивных свойств изделий; повышения
качества сырья и применение новых конструктивных материалов;
Улучшение организации производства и труда путем повышения
норм труда и расширения зон обслуживания; уменьшение числа рабочих, не
выполняющих нормы; упрощение структуры управления; механизация учетных и
вычислительных работ; повышение уровня специализации производства;
Структурные изменения в производстве вследствие изменения
удельных весов отдельных видов продукции; трудоемкости производственной
программы; доли покупных полуфабрикатов и комплектующих изделий; удельного веса
новой продукции.
Повышение производительности труда не может быть
беспредельным. Экономически разумные пределы роста производительности труда
диктуются условием увеличения массы потребительных стоимостей и повышения
качества продукции. Стремление к безмерному повышению производительности труда
за счет сокращения численности работающих может привести к снижению объема и
качества выпускаемой продукции.
Основным источником удовлетворения потребностей трудящихся
является оплата труда, будучи правильно организованной, она содействует
вовлечению людей в производство, становиться важнейшим средством материального
стимулирования непрерывного повышения производства, повышения его
эффективности.
В зависимости от состава затрат труда, включаемых в
трудоемкость продукции, и их роли в процессе производства выделяют технологическую
трудоемкость, трудоемкость обслуживания производства, производственную
трудоемкость, трудоемкость управления производством и полную трудоемкость.
Следует различать номинальную и реальную зарплату.
Номинальная зарплата представляет собой сумму денег, получаемую работником за
единицу времени труда (час, неделю, месяц). Реальная зарплата - это количество
товаров и услуг, которые можно приобрести на полученную сумму денег. На
последнюю значительное влияние оказывает рост цен на товары и услуги. Поэтому с
ростом номинальной зарплаты жизненный уровень людей может не только расти, но и
снижаться. Это происходит тогда, когда темпы роста цен на товары и услуги
обгоняют темпы роста номинальной зарплаты.
Если вникнуть глубже в два подхода к определению сущности
заработной платы, становится очевидным тот факт, что основная разница между
ними в том, что первый из них принимает во внимание характер собственности на
средства производства как определяющий мотив распределительных отношений в
обществе, в то время как 2 - ой подход начисто игнорирует эти отношения, беря
во внимание лишь экономическую сторону распределительных отношений.
Уровень заработной платы характеризуется средней заработной
платой одного работника. В статистике исчисляются показатели среднемесячной и
среднегодовой начисленной заработной платы для всего персонала предприятия и
организации и по отдельным категориям персонала.
Среднемесячная начисленная заработная плата работников
определяется путем деления начисленного фонда заработной платы на среднесписочную
численность. При этом из фонда заработной платы необходимо вычесть суммы,
начисленные на оплату труда работников несписочного состава. Таким образом,
определяется размер среднемесячной заработной платы работников на уровне
предприятий и организаций, отрасли и экономики в целом.
Кроме того, на уровне предприятия и организации определяется
среднемесячная заработная плата работников без совместителей. В этом случае из
начисленного фонда заработной платы следует вычесть сумму начисленной оплаты
труда лиц, принятых на работу по совместительству, и разделить полученную сумму
на среднесписочную численность работников без учета лиц, работающих по
совместительству.
Средняя часовая заработная плата работников рассчитывается
как отношение суммы начисленной заработной платы списочного состава за месяц и
человеко-часов, фактически отработанных работниками, включенными в списочный
состав работников.
1.2
Методы изучения производительности труда и оплаты труда
труд оплата производительность
Метод группировки
Следствием выполнения аналитической группировки является
вывод о наличии и направлении связи между показателями. Логическим продолжением
статистического исследования после выполнения аналитической группировки
является определение тесноты связи аналитической зависимости между
показателями.
Нужно выбрать:
) факторный показатель является количественным признаком, а
результативный показатель - качественный признак (например, оплату труда);
) основанием группировки является качественный показатель, а
результативный показатель - количественный признак (например, величина
заработной платы - производительность труда);
) показатель-фактор и показатель-результат являются
качественными признаками (например, квалификация работников и уровень их
образования);
) факторный и результативный показатели являются
количественными признаками (например, стаж работы и уровень оплаты труда).
Факторный показатель оказывает влияние на результативный
показатель. Чтобы установить связь между показателями, аналитическая
группировка всегда осуществляется по показателю-фактору. Затем по каждой группе
отбираются соответствующие значения показателя-результата и рассчитывается его
среднее значение. Сопоставляя изменение средних значений показателя-результата
от группы к группе с изменениями показателя-фактора, можно сделать вывод о
наличии или отсутствии взаимосвязи, а также о ее направлении. Различие
групповых средних позволяет утверждать, что признаки взаимозависимы. Если
изменение величины показателя-фактора в определенном направлении вызывает изменение
величины показателя - результата в том же направлении, то связь прямая, в
противном случае - связь обратная. Результаты аналитической группировки
представляются в табличном виде.
Корреляционно-регрессионный
анализ
Корреляционно-регрессионный анализ позволяет выявить влияние
на производительность труда различных факторов и он состоит из таких основных
этапов:
построение системы факторов, которые существенно влияют на
прибыль;
разработка модели, которая отображает общее содержание
взаимосвязей, которые изучаются, и количественная оценка ее параметров;
проверка качества модели;
оценка влияния отдельных факторов.
На первом этапе осуществляется отбор факторов, которые
существенно влияют на результативный признак.
Он проводится прежде всего исходя из содержательного анализа.
Для получения надежных оценок в модель не следует включать
много факторов, их количество не должно быть большее одной трети объема данных,
которые анализируются.
Но поскольку на начальному этапе разработки модели у
исследователя нет однозначного ответа на вопрос относительно набора
существенных факторов, то при использовании ЭВМ отбор факторов обычно
осуществляется непосредственно в процессе создания модели методом
последовательной регрессии.
Суть этого метода состоит в последовательном включении
дополнительных факторов в модель и оценке влияния добавленного фактора.
Используется также подход, по которому на факторы, включаемые
в предшествующий состав модели, не накладывается особых ограничений и лишь на
следующих стадиях проводится их оценивание и отбор.
Второй этап начинается с разработки модели, которая
отображает общее содержание взаимосвязей, которые изучаются.
Регрессионная модель - это уравнения (или система уравнений),
что показывает, какие факторы, по мнению исследователя, должны быть привлечены
к взаимосвязям, которые подлежат анализу.
Регрессионное уравнение дает также представление о форме
связи.
Метод
параллельных рядов
Строятся два ряда признаков, которые находятся в определенной
взаимосвязи; затем визуально определяют характер и тесноту взаимосвязи.
Например, данные об оплате труда и производительности труда.
Для характеристики взаимосвязи факторный признак располагают
в монотонно убывающем или возрастающем порядке, а показатели результата
перемещаются в соответствии с факторным показателем.
Индексный
метод
Данные о среднечасовой заработной плате работников
рассчитываются на уровне предприятий и отдельных отраслей.
Динамика уровней заработной платы анализируется на основе
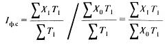
индексов заработной платы. Чаще всего используется индекс переменного состава
заработной платы, который рассчитывается по следующей формуле:
где,
F0 и F1 - фонд начисленной заработной платы отдельных
категорий работников (или всего персонала предприятия, отрасли) в базисном и
отчетном периодах;
Т0 и Т1 - среднесписочная численность
отдельных категорий персонала (или численность персонала предприятий или
отраслей) в базисном и отчетном периодах;
Х0 и Х1 - средняя зарплата по
категориям персонала (по предприятиям или отраслям) в базисном и отчетном
периодах.
Индекс переменного состава заработной платы показывает, каким
образом изменился средний уровень заработной платы в отчетном периоде по
сравнению с базисным в зависимости от изменения средней заработной платы
отдельных категорий персонала (на отдельных предприятиях или в отраслях) и
удельного веса численности работников с различным уровнем оплаты труда.
Каждый из этих факторов влияет на изменение среднего уровня
заработной платы по-разному.
Для устранения влияния структурного фактора следует
воспользоваться индексом фиксированного состава заработной платы, который
рассчитывается по следующей формуле:
Этот индекс показывает, каким образом изменился средний
уровень заработной платы без учета структурного фактора, т.е. только в
результате изменения уровней заработной платы работников в отчетном периоде по
сравнению с базисным.
Влияние структурного фактора можно определить с помощью
индекса структурных сдвигов, который рассчитывается путем деления индекса
переменного состава заработной платы на индекс фиксированного состава
заработной платы:
Iстр.сдв = Iп.с / Iф.с
Этот индекс характеризует, каким образом изменился средний
уровень заработной платы в зависимости от изменения удельного веса численности
работников с различным уровнем заработной платы.
При анализе динамики заработной платы необходимо
анализировать динамику как номинальной (т.е. начисленной) заработной платы, так
и реальной заработной платы (как покупательной способности номинальной
заработной платы). Реальная заработная плата определяется путем деления
номинальной зарплаты на сводный индекс пен на потребительские товары и услуги.
Статистика изучает дифференциацию заработной платы
работников. Размер заработной платы зависит от уровня квалификации работника,
интенсивности труда, условий труда, а также от отрасли, в которой занят
работник, территориального размещения предприятий и организаций и других
факторов.
2.
Практическая часть
Задание 1
В задание 1 предполагается по данным по 30 предприятиям
построить статистический ряд распределения организаций по уровню среднегодовой
заработной платы, образовав 5 групп с равными интервалами.
Среднегодовая заработная плата получилась путем деления ФЗП
на среднесписочную численность рабочих.
Таблица 1. Исходные данные
|
№ п/п
|
Среднесписочная
численность рабочих, человек
|
Выпуск
продукции, тыс. штук
|
ФЗП, млн. руб.
|
Уровень
среднегодовой заработной платы, тыс. руб.
|
|
1
|
162
|
36,45
|
11,34
|
70
|
|
2
|
156
|
23,4
|
8,112
|
52
|
|
3
|
179
|
46,54
|
15,036
|
84
|
|
4
|
194
|
59,752
|
19,012
|
98
|
|
5
|
165
|
41,415
|
13,035
|
79
|
|
6
|
158
|
26,86
|
8,532
|
54
|
|
7
|
220
|
79,2
|
26,4
|
120
|
|
8
|
190
|
54,72
|
17,1
|
90
|
|
9
|
163
|
40,424
|
12,062
|
74
|
|
10
|
159
|
30,21
|
9,54
|
60
|
|
11
|
167
|
42,418
|
13,694
|
82
|
|
12
|
205
|
64,575
|
21,32
|
104
|
|
13
|
187
|
51,612
|
16,082
|
86
|
|
14
|
161
|
35,42
|
10,465
|
65
|
|
15
|
120
|
14,4
|
4,32
|
36
|
|
16
|
162
|
36,936
|
11,502
|
71
|
|
17
|
188
|
53,392
|
16,356
|
87
|
|
18
|
164
|
41
|
12,792
|
78
|
|
19
|
192
|
55,68
|
17,472
|
91
|
|
20
|
130
|
18,2
|
5,85
|
45
|
|
21
|
159
|
31,8
|
9,858
|
62
|
|
22
|
162
|
39,204
|
11,826
|
73
|
|
23
|
193
|
57,128
|
18,142
|
94
|
|
24
|
158
|
28,44
|
8,848
|
56
|
|
25
|
168
|
43,344
|
13,944
|
83
|
|
26
|
208
|
70,72
|
23,92
|
115
|
|
27
|
166
|
41,832
|
13,28
|
80
|
|
28
|
207
|
69,345
|
22,356
|
108
|
|
29
|
161
|
35,903
|
10,948
|
68
|
|
30
|
186
|
50,22
|
15,81
|
85
|
Для определения групп предприятий определяем размер интервала
по уровню среднегодовой зарплаты:
i = R / n = хmax - xmin / n
i = 120 - 36/5 = 16,8 тыс. руб.
Формируем группы:
I. 36 - 52,8 [36; 36 + 16,8]
II. 52,8 - 69,6 [52,8; 52,8 + 16,8]
III. 69,6 - 86,4 [69,6; 69,6 + 16,8]
IV. 86,4 - 103,2 [86,4; 86,4 + 16,8]
V. 103,2 - 120 [103,2; 103,2 + 16,8]
Делаем разноску предприятий по группам. Если значение показателя
соответствует значению верхней границы интервала одной группы и нижнему
значению границы интервала другой группы, то эту организацию мы относим к
последнему.
Таблица 2. Разработанная таблица
|
№ п/п
|
Среднегодовая
зарплата, тыс. руб.
|
Номер
организаций
|
Среднегодовая
зарплата по предприятиям, тыс. руб.
|
Удельный вес
среднегодовой зарплаты в%, к итогу
|
|
1
|
До 52,8
|
1,2,3
|
133
|
5,66
|
|
2
|
52,8 - 69,6
|
4,5,6,7,8,9
|
365,000
|
15,53
|
|
3
|
69,6 - 86,4
|
10,11,12,13,14,15,16,17,18,19,20,21
|
945,000
|
40,21
|
|
4
|
86,4 - 103,2
|
22,23,24,25,26
|
460,000
|
19,57
|
|
5
|
103,2 - и выше
|
27,28,29,30
|
447,000
|
19,02
|
|
Итого
|
30
|
2350
|
5,66
|
На основании разработанной таблицы строим ряд распределения.
Таблица 3. Ряд распределения организаций по уровню средней
зарплаты
|
№ п/п
|
Группы
организаций по среднегодовой зарплате, руб.
|
Число
предприятий
|
|
А
|
1
|
(в % к итогу)
|
S
|
|
1
|
До 52,8
|
3
|
10
|
3
|
|
2
|
52,8 - 69,6
|
6
|
(3+6) = 9
|
|
3
|
69,6 - 86,4
|
12
|
40
|
(9+12) = 21
|
|
4
|
86,4 - 103,2
|
5
|
16,67
|
(21 + 5) = 26
|
|
5
|
103,2 - и выше
|
4
|
13,33
|
(26+4) = 30
|
|
Итого
|
30
|
100
|
|
Наибольшее число организаций сосредоточено в группе с уровнем
средней зарплаты от 69,6 до 86,4 тыс. рублей - 12 организаций (40%); 6
организаций (20%) имеют уровень зарплат от 52,8 до 69,6 тыс. руб.; 5
организаций (16,67%) - от 86,4 до 103,2 рубля; наименьшее число организаций
сосредоточено в 5-й группе с уровнем зарплат от 103,2 до 120 тыс. руб. - 4
организации (13,33%).
Если данные сгруппированы, то
= 2356,8/30 = 78,56 рублей.
где n - объем выборки; k - число интервалов группировки; ni
- частота i-ого интервала; хi - срединное значение i-ого интервала
Найдем середину интервала и произведение nixi
|
Группа
|
Середина
интервала
|
nixi
|
|
1
|
44,40
|
133,2
|
|
2
|
61,20
|
367,2
|
|
3
|
78,00
|
936
|
|
4
|
94,80
|
474
|
|
5
|
111,60
|
446,4
|
|
Итого
|
|
2356,8
|
Для сгруппированных в интервальный вариационный ряд данных:
Здесь хi - срединные значения интервалов группировки;
- взвешенная сумма квадратов отклонений.
|
Группа
|
x`-xср
|
(x`-xср)*n
|
(x`-xср)2
|
(x`-xср)2*n
|
|
1
|
34,16
|
102,48
|
1166,906
|
3500,717
|
|
2
|
17,36
|
104,16
|
301,3696
|
1808,218
|
|
3
|
0,56
|
6,72
|
0,3136
|
3,7632
|
|
4
|
16,24
|
81,2
|
263,7376
|
1318,688
|
|
5
|
33,04
|
132,16
|
1091,642
|
4366,566
|
|
Итого
|
101,36
|
426,72
|
2823,968
|
10997,95
|
у2 = 10997,95/30 = 366,6
Стандартным отклонением (или средним квадратическим
отклонением) называется корень квадратный из дисперсии:
= 19,15
Коэффициент вариации используется и как показатель
однородности выборочных наблюдений.
= 19,15/78,56 *100% = 24,37%
Коэффициент вариации более 33%, что свидетельствует о том,
что совокупность неоднородна, но менее 40%, что говорит о незначительной
колеблемости показателей в ряду распределения.
Для несгруппированных данных среднее арифметическое
определяется по следующей формуле:
= 2350/30 = 78,33 руб.,
где n - объем выборки; хi - варианты выборки.
Для несгруппированных и сгруппированных данных величина среднего
арифметического отличается из-за различного способа вычисления.
Построим графики полученного ряда распределения.
Рис. 1. Кумулята распределения среднегодовой зарплаты
Графическое определение медианы
Рис. 2. Гистограмма распределения среднегодовой зарплаты
Графическое определение моды
Рис. 3. Полигон распределения среднегодовой зарплаты
Ме = 82,2 тыс. рублей
Мо = 75,9 тыс. рублей
где Х0 - нижняя граница медианного (модального)
интервала;- величина этого интервала;Ме-1 - сумма частот,
накопленных в интервалах, предшествующих медианному;
По накопленным частотам определим, что медиана находится в
интервале 69,6 - 86,4 тыс. руб., поскольку его кумулятивная частота равна 21,
что превышает половину суммы всех частот.
Тогда по формуле Ме =
= 82,2 тыс. руб.
Моду Мо
где Х0 - нижняя граница медианного (модального)
интервала;- величина этого интервала;Ме-1 - сумма частот,
накопленных в интервалах, предшествующих медианному;
Мода находится в интервале с наибольшей частотой - т.е. в интервале
69,6 - 86,4 тыс. руб.
Мо =
тыс. руб.
Расхождения между средней простой арифметической и
средневзвешенной арифметической связано с тем, что при расчете средней простой
берутся фактические данные, а при расчете средневзвешенной центральные
показатели, рассчитанные как сумма нижней и верхней границы интервала группы
деленная на два.
Задание 2
Построим аналитическую группировку, используя следующие
данные
Таблица 4. Исходные данные
|
№ п/п
|
Уровень
производительности труда, тыс. руб./чел.
|
Уровень
среднегодовой заработной платы, тыс. руб.
|
|
1
|
225
|
36
|
|
2
|
150
|
45
|
|
3
|
260
|
52
|
|
4
|
308
|
54
|
|
5
|
251
|
56
|
|
6
|
170
|
60
|
|
7
|
360
|
62
|
|
8
|
288
|
65
|
|
9
|
248
|
68
|
|
10
|
190
|
70
|
|
11
|
254
|
71
|
|
12
|
315
|
73
|
|
13
|
276
|
74
|
|
14
|
220
|
78
|
|
15
|
120
|
79
|
|
16
|
228
|
80
|
|
17
|
284
|
82
|
|
18
|
250
|
83
|
|
19
|
290
|
84
|
|
20
|
140
|
85
|
|
21
|
200
|
86
|
|
22
|
242
|
87
|
|
23
|
296
|
90
|
|
24
|
180
|
91
|
|
25
|
258
|
94
|
|
26
|
340
|
98
|
|
27
|
252
|
104
|
|
28
|
335
|
108
|
|
29
|
223
|
115
|
|
30
|
270
|
120
|
Построим аналитическую группировку
Рассчитаем уровень производительности труда и среднегодовую
зарплату
Таблица 4. Группировка предприятий по уровню
производительности и средней оплате труда
|
Группы
предприятий по уровню производительности, тыс. руб./чел.
|
Число
предприятий, ед.
|
Уровень
производительности, тыс. руб.
|
Средняя
зарплата, тыс. руб.
|
|
|
|
всего
|
в среднем на
одно предприятие
|
|
120-168
|
3
|
410,00
|
209,00
|
69,67
|
|
168-216
|
4
|
740,00
|
307,00
|
76,75
|
|
216-264
|
12
|
2911,00
|
924,00
|
77,00
|
|
264-312
|
7
|
2012,00
|
569,00
|
81,29
|
|
312 и выше
|
4
|
1350,00
|
341,00
|
85,25
|
|
Итого
|
30
|
7423,00
|
2350,00
|
78,33
|
Из данных таблицы можно сделать вывод о том, что с
увеличением производительности труда от первой к пятой группе увеличивается и
средняя зарплата на одно предприятие. Это свидетельствует о наличии прямой
связи между показателями.
В связи с тем, что уровень производительности от первой к
пятой группе возрастает в 2,28 раза, средняя зарплата возрастает в 1,27 раза.
Это свидетельствует о том, что связь между показателями корреляционная. Данные
таблицы свидетельствуют о наличии корреляционной связи между
производительностью труда и заработной платой.
Построим корреляционную таблицу.
Таблица 5. Корреляционная таблица предприятий по уровню
производительности и средней зарплате
|
Группы
предприятий по уровню производительности, тыс. руб./чел.
|
Группы
предприятий по средней зарплате, тыс. руб.
|
|
|
До 52,8
|
52,8-69,6
|
69,6-86,4
|
86,4-103,2
|
103,2 и выше
|
Итого
|
|
До 17
|
1
|
1
|
2
|
|
|
4
|
|
17-22
|
|
|
3
|
1
|
|
4
|
|
22-26
|
2
|
2
|
3
|
2
|
2
|
11
|
|
26-31
|
|
2
|
3
|
1
|
1
|
7
|
|
31 и выше
|
|
1
|
1
|
1
|
1
|
4
|
|
Итого
|
3
|
6
|
12
|
5
|
4
|
30
|
Из таблицы следует, что распределение предприятий произошло
вдоль диагонали проведенной из левого верхнего угла в нижний правый угол, это
говорит об увеличении производительности труда в связи с увеличением заработной
платы.
Характер концентрации предприятий по диагонали корреляционной
таблицы свидетельствует о наличии корреляционной связи между изучаемыми
признаками.
Осуществляем расчет показателей тесноты корреляционной связи
между признаками.
Расчет коэффициента детерминации производим по формуле:
з2 = д2 /у2
Рассчитываем межгрупповую дисперсию:
д2 = ∑(у - у)2f /∑f
Межгрупповая дисперсия рассчитывается по результативному
признаку, т.е. зарплате.
д2 = (67,25 - 78,33)2∙*4 + (81,25
- 78,33) 2∙*4 + (76,9 - 78,33) 2∙*11 + (81,28
- 78,33) 2*7 + (85,25 - 78,33) 2*4 = 2110,87
Рассчитываем общую дисперсию:
у2 = у2 - у2, где у2
= ∑у2 /n
Делаем разработочную таблицу, где у - величина зарплаты.
Таблица 6
|
Уровень
среднегодовой заработной платы, тыс. руб., у
|
y2
|
|
225
|
50625
|
|
150
|
22500
|
|
260
|
67600
|
|
308
|
94864
|
|
251
|
63001
|
|
170
|
28900
|
|
360
|
129600
|
|
288
|
82944
|
|
248
|
61504
|
|
190
|
36100
|
|
254
|
64516
|
|
315
|
99225
|
|
276
|
76176
|
|
220
|
48400
|
|
120
|
14400
|
|
228
|
51984
|
|
284
|
80656
|
|
250
|
62500
|
|
290
|
84100
|
|
140
|
19600
|
|
200
|
|
242
|
58564
|
|
296
|
87616
|
|
180
|
32400
|
|
258
|
66564
|
|
340
|
115600
|
|
252
|
63504
|
|
335
|
112225
|
|
223
|
49729
|
|
270
|
72900
|
|
7423
|
1938297
|
у2 = ∑у2 /n = 1938297/30 = 64609,9
.
у2 = 64609,9 - 78,332 = 3388,3
з2 = 2110,87/3388,3 = 0,623
Корень квадратный из коэффициента детерминации - есть
эмпирическое корреляционное отношение.
з = √ з2
з = √0,623 = 78%
Коэффициент детерминации свидетельствует о том, что изменение
производительности труда на 62,3% определяется изменением зарплаты.
Эмпирическое корреляционное отношение свидетельствует о том,
что связь между производительностью труда и зарплатой тесная.
Задание 3
Средняя ошибка выборки представляет собой среднее
квадратическое отклонение выборочных средних относительно генеральной средней
м = t
= t
В задании 1, мы вычислили среднее квадратическое отклонение,
которое равно 19,15. Из этого показателя получим дисперсию альтернативного
признака.
у2 = 19,152 = 366,6 тыс. руб.
n = 30
если Р=0,954 то t=2
м = t
=
*2 = 6,25 тыс. рублей
Таким образом, ошибка выборки средней величины средней зарплаты с
вероятностью 0,954 составит 6,25 тыс. рублей.
Среднее арифметическое было определено по формуле:
= 2350/30 = 78,33 млн. руб.,
где n - объем выборки; хi - варианты выборки.
При указанной вероятности границы, в которых будет находиться
средняя зарплата будут равны 78,33-6,25<78,33<78,33+6,25 или
72,08<78,33< 84,58.
Количество предприятий с зарплатой 86,4 тыс. руб. и выше - 9
Доля предприятий с зарплатой более 86,4 тыс. рублей находится
в пределах:
Выборочная доля составит:
Щ = 9/30 = 0,3
Ошибку выборки определяем по формуле:
где N - объем генеральной совокупности.
=+ - 0,15
Следовательно с вероятностью 0,15 можно утверждать, что доля
предприятий со средним уровнем зарплаты > 86,4 тыс. руб. будет находиться в
следующих пределах:
30% ± 15% 15£ w £ 45 %
Задание 4
Таблица 6
|
Показатели
|
Базисный период
|
Отчетный период
|
Абсолютное
изменение
|
Относительное
изменение, %
|
|
Выпуск
продукции, млн. руб.
|
14,4
|
15,8
|
1,4
|
109,72
|
|
Среднесписочная
численность работников, чел.
|
130
|
125
|
-5
|
96,15
|
|
Среднегодовая
стоимость ОПФ, млн. руб.
|
16
|
18
|
2
|
112,50
|
Уровень производительности труда, показатель эффективности использования
основных производственных фондов (фондоотдачу), фондовооруженность труда за
каждый период. Абсолютное и относительное изменение всех показателей в отчетном
периоде по сравнению с базисным периодом. Результаты расчетов представьте в
таблице. Взаимосвязь индексов фондоотдачи, фондовооруженности и
производительности труда.
Абсолютное изменение выпуска продукции в результате изменения
численности работников, производительности труда и обоих факторов вместе.
Сделайте выводы.
Можно видеть, что выпуск продукции увеличился на 1,4 млн.
рублей или 9,72%.
Численность работников сократилась на 5 человек или на 3,85%,
а среднегодовая стоимость ОПФ возросла на 2 млн. рублей или на 12,5%.
Уровень производительности труда = выпуск продукции/
Среднесписочная численность работников
Фондоотдача - выпуск продукции / среднегодовая стоимость
основных фондов
Фондовооруженность - стоимость основных средств предприятия /
среднесписочная численность работников
|
Показатели
|
Базисный период
|
Отчетный период
|
Абсолютное
Изменение
|
Относительное
изменение, %
|
|
Уровень
производительности труда, тыс. руб./чел.
|
110,8
|
126,4
|
15,6
|
13,718
|
|
Фондоотдача,
руб.
|
0,90
|
0,88
|
-0,02
|
-2,222
|
|
Фондовооруженность,
руб.
|
0,12
|
0,14
|
0,02
|
16,667
|
Также расчеты показывают, что производительность труда возросла
на 13,718%, фондоотдача снизилась на 2,222%, а фондовооруженность возросла на
16,667%.
Взаимосвязь индексов фондоотдачи, фондовооруженности труда и
производительности труда можно представить следующим образом:
,
где Q - стоимость годового выпуска продукции,
- средняя численность работников,
- среднегодовая стоимость основных фондов.
Так в базисном периоде
Абсолютное изменение выпуска продукции в результате изменения
численности работников
ДQ = (T1 - T0)*W0 = (125-130)*110,8 = -554 тыс. руб.,
где Т - численность работников, W - производительность
труда
Абсолютное изменение выпуска продукции в результате изменения
производительности труда
ДQ = (W1 - W0)*T1 = (126,4 - 110,8)*125 = 1950 тыс. руб.
По двум факторам вместе 1950-554 = 1369 тыс. руб. или ≈
1400 тыс. руб.
3.
Аналитическая часть
1. Постановка задачи
Цель аналитической части - закрепить полученные теоретические
знания на практике. Осуществим корреляционно-регрессионный анализ влияния на
производительность труда в областях РФ различных факторов. Данные взяты из
сборника Регионы России. М., 2006.
Анализ осуществим данных за 2006 г. в MS Excel.
2. Методика решения задачи
Корреляционно-регрессионный анализ состоит из таких основных
этапов:
построение системы факторов, которые существенно влияют на
результативный признак;
разработка модели, которая отображает общее содержание
взаимосвязей, которые изучаются, и количественная оценка ее параметров;
проверка качества модели;
оценка влияния отдельных факторов.
На первом этапе осуществляется отбор факторов, которые
существенно влияют на результативный признак.
Он проводится прежде всего исходя из содержательного анализа.
Для получения надежных оценок в модель не следует включать
много факторов, их количество не должно быть большее одной трети объема данных,
которые анализируются.
Но поскольку на начальному этапе разработки модели у
исследователя нет однозначного ответа на вопрос относительно набора
существенных факторов, то при использовании ЭВМ отбор факторов обычно
осуществляется непосредственно в процессе создания модели методом
последовательной регрессии.
Суть этого метода состоит в последовательном включении дополнительных
факторов в модель и оценке влияния добавленного фактора.
Используется также подход, по которому на факторы, включаемые
в предшествующий состав модели, не накладывается особых ограничений и лишь на
следующих стадиях проводится их оценивание и отбор.
Второй этап начинается с разработки модели, которая
отображает общее содержание взаимосвязей, которые изучаются.
Регрессионная модель - это уравнения (или система уравнений),
что показывает, какие факторы, по мнению исследователя, должны быть привлечены
к взаимосвязям, которые подлежат анализу.
Регрессионное уравнение дает также представление о форме
связи.
3. Технология выполнения компьютерных расчетов
Используем инструмент «Корреляция» пакета MS Excel. Получим на рабочем
листе результат корреляционного анализа (таблица 1).
Таблица 11
|
Y
|
X0
|
X1
|
|
Производительность
труда, тыс. руб.
|
Объем
производства, тыс. руб.
|
Оплата труда,
руб.
|
|
Республика
Адыгея
|
2356,2
|
30,255
|
2263
|
|
Калужская
область
|
3241,2
|
20,124
|
3125,3
|
|
Орловская
область
|
3661,1
|
38,163
|
3452,2
|
|
Псковская
область
|
2310,2
|
47,204
|
2203,3
|
|
Курская область
|
2177
|
33,546
|
2088,1
|
|
Тамбовская
область
|
2109,8
|
22,831
|
2102,3
|
|
Республика
Дагестан
|
2514,1
|
60,984
|
2106,3
|
|
Калининградская
область
|
1981
|
43,776
|
1800
|
|
Владимирская
область
|
2343,9
|
33,148
|
2234,3
|
|
Смоленская
область
|
2229,2
|
25,376
|
2100,3
|
|
Ивановская
область
|
2181,1
|
34,359
|
2063,2
|
|
Тверская
область
|
2138,9
|
51,014
|
2064,1
|
|
Брянская
область
|
2563,1
|
41,806
|
2496,3
|
|
Воронежская
область
|
2110,4
|
29,753
|
2036,3
|
|
Костромская
область
|
2141,9
|
12,528
|
2047,2
|
|
Новгородская
область
|
2117,1
|
31,026
|
2031,2
|
|
Ярославская
область
|
2347,7
|
42,714
|
2139,2
|
|
Белгородская
область
|
2299,2
|
33,62
|
2146,3
|
|
Республика
Карелия
|
2174,1
|
43,987
|
2036,3
|
|
Астраханская
область
|
2110,2
|
15,652
|
2088,2
|
|
Рязанская
область
|
2276,8
|
26,394
|
2134,2
|
|
Тульская
область
|
2229,9
|
32,539
|
2156,3
|
|
Московская
область
|
2171
|
45,702
|
2032,2
|
|
Ленинградская
область
|
2160,3
|
23,89
|
2046,3
|
|
|
Производительность
труда, тыс. руб.
|
Объем
производства, тыс. руб.
|
|
Производительность
труда, тыс. руб.
|
1
|
|
|
|
Объем
производства, тыс. руб.
|
0,046659
|
1
|
|
|
Оплата труда,
руб.
|
0,978402
|
-0,08244
|
1
|
Применим инструмент «Регрессия» для регрессионного анализа
данных.
Наибольшее влияние на производительность труда имеет оплата
труда.
|
ВЫВОД ИТОГОВ
|
|
|
|
|
|
|
|
|
Регрессионная
статистика
|
|
|
|
|
|
|
|
|
Множественный R
|
0,978402
|
|
|
|
|
|
|
|
|
R-квадрат
|
0,95727
|
|
|
|
|
|
|
|
|
Нормированный
R-квадрат
|
0,955328
|
|
|
|
|
|
|
|
|
Стандартная
ошибка
|
79,1304
|
|
|
|
|
|
|
|
|
Наблюдения
|
24
|
|
|
|
|
|
|
|
|
Дисперсионный
анализ
|
|
|
|
|
|
|
|
df
|
SS
|
MS
|
F
|
Значимость F
|
|
|
|
|
Регрессия
|
1
|
3086120
|
3086120
|
492,8627
|
1,49E-16
|
|
|
|
|
Остаток
|
22
|
137755,7
|
6261,621
|
|
|
|
|
|
|
Итого
|
23
|
3223875
|
|
|
|
|
|
|
|
Коэффициенты
|
Стандартная
ошибка
|
t-статистика
|
P-Значение
|
Нижние 95%
|
Верхние 95%
|
Нижние 95,0%
|
Верхние 95,0%
|
|
Y-пересечение
|
67,33462
|
103,2386
|
0,652223
|
0,521014
|
-146,769
|
281,4384
|
-146,769
|
281,4384
|
|
Оплата труда,
руб.
|
1,025229
|
0,04618
|
22,20051
|
1,49E-16
|
0,929457
|
1,121002
|
0,929457
|
1,121002
|
4.
Анализ результатов статистических компьютерных расчетов
Анализируя таблицу, необходимо отметить, что коэффициент
множественной корреляции R=0,9784 говорит о том, что связь между производительностью
труда и объемом производства и оплатой труда в районах Калужской области можно
считать сильной. Коэффициент детерминации утверждает, что вариация результата,
то есть производительности труда на 95,72% зависит от вариации объема
производства и оплаты труда.
Критерий Фишера F=492,86 говорит о том, что уравнение регрессии,
характеризующее производительность труда с вероятностью 0,95 в целом
статистически значимое.
Второй столбец таблицы дает нам те коэффициенты уравнения
регрессии, которые были найдены, третий столбец содержит ошибки коэффициентов
уравнения регрессии.
Коэффициенты Стьюдента также говорят о статистически значимом
уравнении регрессии.
Заключение
группировка оплата распределение
производительность
Производительность труда - это способность производить в
единицу времени определенное количество продукции (работ, услуг) или
затрачивать определенное количество времени на производство единицы продукции.
Существует 2 аспекта статистического изучения
производительности труда:
производительность живого труда (на микроуровне - на
предприятии, либо на группе предприятий, выпускающих однородную продукцию,
например, филиалы и представительства предприятия) определяется затратами
времени в данном производстве;
производительность общественно труда (на макроуровне -
например, в рамках отдельной отрасли) определяется затратами живого и прошлого
труда, произведенными на предшествующих стадиях общественного производства и
овеществленные в сырье, материалах, топливе, энергии, орудиях труда,
потребляемых в процессе производства.
Анализируя таблицу, необходимо отметить, что коэффициент
множественной корреляции R=0,9784 говорит о том, что связь между производительностью
труда и объемом производства и оплатой труда в районах Калужской области можно
считать сильной. Коэффициент детерминации утверждает, что вариация результата,
то есть производительности труда на 95,72% зависит от вариации объема
производства и оплаты труда.
Критерий Фишера F=492,86 говорит о том, что уравнение регрессии,
характеризующее производительность труда с вероятностью 0,95 в целом
статистически значимое.
Второй столбец таблицы дает нам те коэффициенты уравнения
регрессии, которые были найдены, третий столбец содержит ошибки коэффициентов
уравнения регрессии.
Коэффициенты Стьюдента также говорят о статистически значимом
уравнении регрессии.
Список литературы
1. Громыко Г.Л. Статистика. М.: ЮНИТИ-ДАНА,
2001.
2. Козинец Л.С. Темпы роста и структурные
сдвиги в экономике. М. Инфра-М, 2001.
. Курс социально-экономической статистики
/ Под ред. М.Г. Назарова. М.: «Финансы и статистика», 2000.
. Общая теория статистики: Статистическая
методология в изучении коммерческой деятельности / Под редакцией О.Э. Башиной,
А.А. Спирина. М.: Инфра-М, 2005.
. Российский статистический ежегодник. М.:
«Финансы и статистика», 2002.
. Статистика / Под. ред. В.М. Гусарова.
М.: ЮНИТИ-ДАНА; 2001.
. Статистика /Под редакцией В.Г. Ионина.
М.: ЮНИТИ-ДАНА, 2001.
. Статистический словарь. М. «Дело», 2001.
. Теория статистики / Под редакцией Р.А.
Шмойловой. М.: «Финансы и статистика», 2003.
. Экономическая статистика / Под ред. Ю.И.
Иванова. М.: Финансы и статистика», 2002.