Теоретический расчёт основных параметров горения и тушения пожаров газовых фонтанов
Введение
адиабатический пожар
газовый фонтан
Увеличивающаяся с каждым годом добыча нефти и
газа, ежегодный объем которой в настоящее время в стране составляет сотни млрд.
м3, повышает вероятность аварийных ситуаций, которые могут
сопровождаться крупными пожарами, большими материальными потерями, ухудшением
экологической обстановки в зоне пожара и прилегающих районах, а нередко и
человеческими жертвами. Это обусловливается отказом механизмов, нарушением
технологии добычи, природными катастрофами и приводит к серьёзным авариям.
Пожары на открыто фонтанирующих газонефтяных
скважинах являются одними из наиболее сложных видов промышленных аварий.
Некоторое представление о пожаре на
фонтанирующей скважине можно получить по следующим данным: дебит мощных газовых
фонтанов может достигать 10 - 20 миллионов кубометров в сутки, высота горящего
факела - 80 - 100 м, а интенсивность тепловыделения в факеле - несколько
миллионов киловатт.
Целью курсовой работы «Теоретический расчёт
основных параметров горения и тушения пожаров газовых фонтанов» является
выработка навыков использования теоретических знаний, полученных при изучении
дисциплины «Физико-химические основы развития и тушения пожаров» при проведении
расчётов параметров пожаров и расхода огнетушащих веществ.
В результате выполнения курсовой работы студент
должен знать и уметь оценивать расчётными методами:
режим истечения газового фонтана;
параметры пожара газового фонтана;
адиабатическую и действительную температуры
пламени;
интенсивность облучённости от факела пламени в
зависимости от расстояния до устья скважины;
1. Расчётная часть
.1 Исходные данные
адиабатический пожар газовый фонтан
Вариант 8587
Компактный газовый фонтан состава (см. ниже),
истекающий через устье диаметром dy,
имеет высоту факела пламени Hф.
Химический недожог ηх
в зоне горения составляет от низшей теплоты сгорания.
Содержание компонентов, % (об):
Метан (СH4)
- 90 %
Этан (С2H6)
- 8 %
Сероуглерод (СS2)
- 2 %
Параметры газового фонтана:
Диаметр устьевого оборудования (dy)
- 250 мм
Высота факела пламени - 45 м
Химический недожог (в долях от низшей теплоты
сгорания) - 0,15
Рассчитать:
Дебит газового фонтана;
Адиабатическую температуру горения Ta,
ºС;
Действительную температуру горения Тг,
ºС;
Изменение интенсивности лучистого теплового
потока в зависимости от расстояния до устья скважины qл.
Определить безопасное расстояние Lб;
Адиабатическую температуру потухания Тпот,
ºС;
Минимальный секундный расход воды Vmin,
л/с;
Удельный расход воды на тушение фонтана Vуд,
л/м3;
Коэффициент использования воды kв.
1.2 Расчёт параметров газового
фонтана
1. Дебит газового фонтана (
, млн. м3/сутки)
может быть рассчитан из высоты факела пламени по формуле (4):
= 0,0025×
=0,0025×452
= 5,06 млн. м3/сутки
Секундный расход газа составит Vг
= 5,06∙106/ (24×60×60) = 58,59 м3/с.
Режим истечения газовой струи может
быть определён сравнением эффективной скорости истечения (Vэ) со
скоростью звука (Vо)
Эффективная скорость истечения (Vэ)
газовой струи может быть определена по уравнению:
-
секундный расход газа, м3/с;- диаметр устья скважины, м.
Скорость
звука в метане (V0) составляет 430 м/с
.
Теплота пожара рассчитывается по формуле:
=
Qн (1-ηх)
низшая
теплота горения газовой смеси:
где
Qнi - низшая теплота сгорания i-го горючего компонента, кДж/м3;
φгi -
содержание i-го горючего компонента в смеси, % об.
Низшая
теплота сгорания отдельныхкомпонентов рассчитывается, выбирается в таблице 2
приложения.
Теплота
пожара - тепловыделение в зоне горения в единицу времени (кВт)
q = Qн (1-ηх) ∙ V=
38263,2(1-0,15)∙58,59 = 1905688,7 кВт
.
Мощность теплового излучения факела пламени
Для
определения теплоотдачи излучением пламени (ηл) определим
среднюю молекулярную массу фонтанирующей газовой смеси
Молекулярную
массуфонтанирующего газа (
),
состоящего из нескольких компонентов, можно определить по формуле:
,
где
−молекулярная
масса i-гoгорючего
компонента газового фонтана;
− доля
i-гo горючего
компонента.
Молекулярная
масса горючего газа, содержащего метан и сероуглерод, будет равна:
Коэффициент теплопотерь излучением от пламени
газового фонтана может бытьопределён в соответствии со следующей формулой [1]:
.
,
Коэффициент общих теплопотерь будет
равен:
,
где
- общие теплопотери при горении
газового фонтана, представляющие собой долюот низшей теплоты сгорания
;
- химический недожог (0,15);
Мощность излучения от расстояния до
устья скважины (L):
Для установления величины
облучённости окружающего пространства факелом пламени в зависимости от
расстояния до скважины в формуле (31) необходимо задаваться значениями L, принимая
их равными 5, 10,20, 40, 60, 80, 100, 120, 150 и 200 м. В формулу (31)
подставляются также высота факела пламени Нф= 45 м, секундный расход
газа VГ = 58,59 м3/с и коэффициент теплопотерь излучением
hл = 0,364.
В качестве примера проведём расчёт
облучённости (qл) на
расстоянии L, м:
кВт/м2
Рассчитанные значения облучённости
сведём в таблице 3.
Таблица 1 - Величина облучённости от
факела газового фонтана в зависимости от расстояния до устья скважины
|
L,м
|
5
|
10
|
20
|
40
|
60
|
80
|
100
|
120
|
140
|
160
|
|
qл,
кВт/м2
|
61,12
|
53,56
|
35,83
|
15,42
|
7,91
|
4,70
|
3,09
|
2,18
|
1,61
|
1,24
|
По результатам расчёта, представленным в
таблице3, строится график зависимости мощности излучения от расстояния до устья
скважины, по которому определяются границы зон I - IV.
ЗависимостьЕ = f(L) в графической форме
представлена на рис. 1.
Рисунок 1 - Зависимость мощности теплового
потока от расстояния до устья скважины
При расчёте расстояния L принимается, что
источником излучения пламени фонтана является точка, расположенная в его
геометрическом центре, - т.е. на высоте Нф/2 от устья скважины
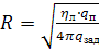
Рисунок 2 - Схема для расчёта плотности
теплового потокаТогда плотность потока излучения Eчерез
сферу радиусом R равна
откуда расстояние R, на котором плотность
лучистого теплового потока равна заданному значению qзад,
определяется выражением
Очевидно, что соответствующее расстояние от
скважины на уровне земли L равно:
Дляqзад = 4,2 кВт/м2:
Для qзад = 14 кВт/м2:
Таблица 2
|
Мощность
теплового потока, кВт/м2
|
Граница
зоны до устья скважины, м
|
|
4,2
|
85,00
|
|
14,0
|
42,58
|
За адиабатическую температуру потухания как
предельный параметр процесса горения может быть принята адиабатическая
температура горения на нижнем концентрационном пределе распространения пламени
(НКПР).
Определяется НКПР для индивидуальных компонентов
смеси (СН4 и CS2)
по аппроксимационной формуле или выбирается из таблицы приложения:
для метана φн
= 5,28 %,
для этана φн
= 2,9 %,
для сероуглерода φн
= 1,0 %.
,
где ji
- концентрация i-го горючего
газа в смеси;
jiн
- значение НКПР i-го
компонента.
Для нахождения коэффициента избытка
воздуха на НКПР для данной смеси газов рассчитаем теоретический объём воздуха:
,
где
- сумма произведений
стехиометрических коэффициентов реакций горения каждого компонента горючей
смеси (
) на
процентное содержание этого компонента (ji) в смеси;
- процентное содержание кислорода в
газовой смеси.
СН4(г)+ 2(О2
+3,76N2) = СО2(г)
+ 2Н2О(г)+2×3,76N2
С2Н6(г)+ 3,5(О2
+3,76N2) = 2СО2(г)
+ 3Н2О(г)+3,5×3,76N2
СS2(г)+3(О2(г)+3,76N2)=2SО2(г)+CO2(г)+3×3,76N2
Отсюда 
или
Для расчёта адиабатической
температуры потухания методом последовательных приближений - из уравнения
химической реакции горения определяется объём и состав продуктов горения.
Определим объём (V) и число
молей (ν) продуктов
горения, образовавшихся при сгорании исходной смеси, содержащей 90об. % СН4,
8 об. % С2Н6, 2 об. %СS2, используя
приведённые выше химические уравнения реакций их горения.

Суммарный объём продуктов горения с
учётом избытка воздуха составит:
V*пг
= Vпг+DVв=(1,08+ 2,04
+ 0,04 + 8,05)+ 10,61= 10,79+10,61= 21,4 м3/м3
Рассчитывается среднее теплосодержание продуктов
горения
по таблице приложения определяется первая
приближённая температура, ориентируясь на азот, количество которого в продуктах
горения наибольшее
Рассчитывается теплосодержание притемпературеT1
= 1200 ºC
1
= 2718,5·1,08 + 2133,9·2,04 + 2735,2·0,04 + 1705,3·8,05 + 1720,4·10,6 = 39379,7
кДж/м3;
Рассчитывается теплосодержание при температуре T2
= 1100 ºC
2
= 2460,4·1,08 + 1926,5·2,04 + 2488,8·0,04 + 1551,1·8,05 + 1554,9·10,6 = 35670,7
кДж/м3
Методом линейной интерполяции определяем
адиабатическую температуру потухания:
Расчёт теплосодержания теоретического объёма
продуктов горения при температуре потухания проводится методом последовательных
приближений с линейной интерполяцией, для чего используются данные табл. 2
приложения
Результаты сводятся таблицу 3.
Таблица 3 - Теплосодержание продуктов горения
при температуре потухания
|
№
п/п
|
Продукт
горения (теоретический)
|
Теплосодержание,
кДж/м3
|
|
1
|
Диоксид
углерода
|
2640,8
|
|
2
|
Пары
воды
|
2071,5
|
|
3
|
Диоксид
серы
|
2661,0
|
|
4
|
Азот
|
1658,9
|
После интегрирования уравнения получим выражение
для расчёта адиабатической температуры горения:
Для расчётов воспользуемся
следующими средними значениями теплоёмкостей для температурного диапазона 298−2000
K:
=53,14;
=42,34;
=32,76;
= 52,57
Дж/моль.K
Подставив приведённые значения
теплоёмкостей и числа молей продуктов сгорания в формулу (25), получим:
Действительная температура горения
всегда ниже адиабатической, так как часть тепла теряется с излучением. При
расчёте действительной температуры горения учитываются потери тепла в
результате химического недожога в зоне горения, когда образуются продукты
неполного сгорания (СО, С, 
и др.) и потери тепла за счёт
излучения факела пламени.
Действительная температура горения
газового фонтана будет равна:
.
Теплосодержание продуктов горения
при температуре потухания
пг = 2640,8∙1,08+2071,5∙2,04+2661,0∙0,04+1658,9∙8,05
= 20532,4 кДж/м3
Количество тепла, которое должно
быть отведено от зоны горения огнетушащим средством
отв= Qн-Qпг
=38263,2- 20532,4 = 17730,9 кДж/м3
Отвод тепла от зоны пламени
происходит в результате нагрева воды от начальной температуры до температуры
потухания. Охлаждающий эффект воды определяется
охл = c(Tкип-Tо)+Qисп+cp(Tпот-Tкип)охл
= 4,2(100-20) + 2260 + 2,52(1169,9-100) = 5292,1 кДж/кг(л)
1.3 Определение расхода воды на
тушение газового фонтана
Минимальный (теоретический) удельный расход воды
на тушение
Минимальный секундный расход воды
min
=Vоуд×Vг=3,35×58,59
= 196,31 л/с
По таблице 1 приложения находится фактический
(нормативный) секундный расход воды на тушение фонтана дебитом 5,06млн м3/сутки,
истекающим из скважины диаметром 250 мм Vф = 220 л/с.
Фактический удельный расход воды рассчитывается
пол
Коэффициент использования огнетушащего средства
составит
Таблица 4 - Итоговая таблица
|
Дебит
фонтана, млн м3/сут
|
Теплота
пожара, кВт
|
Граница
зон теплового воздействия пожара, м
|
Удельный
расход воды, л/м3
|
Коэффициент
использования
|
|
|
Мощность
теплового потока, кВт/м2
|
|
|
|
|
4,2
|
Расчётн.
|
Факт
|
|
|
5,06
|
1905688,7
|
85,0
|
42,58
|
3,35
|
3,75
|
0,89
|
Выводы
. Граница
локальной зоны теплового воздействия факела пламени газового фонтана, на
которой личный состав может работать без специального теплозащитного снаряжения
не более 15 минут при условии защиты кожных покровов (q= 4,2 кВт/м2), находится
на расстоянии 85,0 м от устья скважины.
. Граница
локальной зоны теплового воздействия факела пламени газового фонтана, на
которой личный состав может вести боевую работу в специальном теплозащитном
снаряжении под защитой распылённых водяных струй не более 5 минут (q = 14
кВт/м2) находится на расстоянии 42,58м от устья скважины.
. Требуемый
секундный расход воды с учётом коэффициента её использования, обеспечивающий
прекращение горения газового фонтана с дебитом 5,06 млн. м3/сут, составляет220
л/с.
Список
использованной литературы
1.
Андросов А. С., Бегишев И. Р., Салеев Е. П. Теория горения и взрыва. - М.:
Академия ГПС МЧС России, 2007.
.
Андросов А. С., Салеев Е. П. Примеры и задачи по курсу «Теория горения и
взрыва». - М.: Академия ГПС МЧС России, 2008.
.
Драйздейл Д. Введение в динамику пожаров. - М.: Стройиздат, 1990.
.
Абдурагимов И. М., Говоров В. Ю., Макаров В. Е. Физико-химические основы
развития и тушения пожаров. - М.: ВИПТШ МВД СССР, 1980.
.
Теребнев В. В., Артемьев Н. С., Грачев В. А. Справочник спасателя-пожарного. -
М: Центр пропаганды, 2006.
.
Бобков С. А., Бабурин А. В., Комраков П. В. Примеры и задачи по курсу
«Физико-химические основы развития и тушения пожара»: Учеб. пособие. - М.:
Академия ГПС МЧС России, 2010. - 98 с.
.
Расчёт процессов горения и взрыва: учебное пособие/ В.А. Портола, Н.Ю.
Луговцова, Е.С. Торосян; Юргинский технологический институт. - Томск: Изд-во
Томского политехнического университета, 2012. - 108 с.
.
Андросов А.С. Теоретический расчёт основных параметров горения и тушения пожара
газового фонтана: Курсовая работа по дисциплине «Физико-химические основы
развития и тушения пожаров». - М.: Академия ГПС МЧС России, 2011. - 13 с.
1.