Основы эконометрики

  • Вид работы:
    Курсовая работа (т)
  • Предмет:
    Менеджмент
  • Язык:
    Русский
    ,
    Формат файла:
    MS Word
    28,46 Кб
  • Опубликовано:
    2013-03-15
Вы можете узнать стоимость помощи в написании студенческой работы.
Помощь в написании работы, которую точно примут!

Основы эконометрики

Государственное образовательное учреждение

высшего профессионального образования

"ЧЕЛЯБИНСКИЙ ГОСУДАРСТВЕННЫЙ УНИВЕРСИТЕТ"

Институт экономики отраслей, бизнеса и администрирования







Основы эконометрики


Выполнил: Ибатуллин И.А.

Группа: 28ПС-202

Проверил: Шатин И.А.







Челябинск

Задание для выполнения практической работы


Работа включает в себя анализ реальных экономических данных при помощи изученных эконометрических моделей.

Работа должны быть выполнена в соответствии со следующими этапами:

1)  Рассчитайте корреляцию между, экономическими показателями (не менее 5) из статистических данных по выборке не менее 45 наблюдений (из Интернета, печатных источников или Вашего предприятия). Интерпретируйте полученные данные.

2)      Постройте линейную множественную регрессию. Определите теоретическое уравнение множественной регрессии. Оцените адекватность построенной модели. Определите значимость переменных, найдите среднюю ошибку аппроксимации (вручную в экселе), коэффициент детерминации, линейные коэффициенты корреляции между всеми членами регрессии, найти критерий Фишера, Т-статистику и т. д.

)        Проверьте модели на отсутствие автокорреляции.

)        Проверка на гетероскедастичность моделей.

Таблица 1. Данные для анализа

Годы

Общий валовой внутренний продукт, трлн. руб.

Оплата труда наемных работников, трлн.руб

Чистые налоги на производство и импорт, трлн.руб

Наличие основных фондов в РФ

Оборот оптовой торговли , трлн. руб.


Y

X1

X2

X3

X4

2000

7305,6

2937,2

1248,5

14334,8

3,1

2001

8943,6

3848,4

1402,6

17464,2

4,3

2002

10819,2

5065,1

1847,2

21495,2

5,5

2003

13208,2

6231,4

2112,5

26333,3

6,8

2004

17027,2

7845,0

2875,5

32173,3

8,9

2005

21609,8

9474,3

4248,4

34873,7

11,4

2006

26917,2

11985,9

5386,7

41493,6

15,6

2007

33247,5

15526,1

6334,3

47489,5

19,9

2008

41276,8

19559,8

8218,4

60391,5

24,0

2009

38808,7

20412,5

6474,5

74441,1

31,1

2010

45166,0

22531,6

8252,3

82303,0

28,3

2011

54369,1

26757,2

10919,2

93185,6

32,0


1. Корреля́ция

Корреля́ция (корреляционная зависимость) - статистическая <#"602423.files/image001.gif">) найденная функция регрессии описывает связь между исходными значениями факторов X и Y


где  - объясненная вариация;  - общая вариация.

В нашем случае, функция регрессии описывает связь между исходными значениями факторов X и Y на 99,97%.

Таблица 4. Дисперсионный анализ

 

df

SS

MS

F

Значимость F

Регрессия

4

2752106540

688026634,9

3487,269116

1,2712E-11

Остаток

7

1381076,79

197296,6846



Итого

11

2753487616

 

 

 


Число регрессоров m = 4 число n-m-1 = 12-4-1=7, где n - число наблюдений.

Для уровня значимости α = 0,05 и при степенях свободы 4, 7 табличное значение критерия Фишера Fтаб = 4,12. Значение F=3487,27 выше табличного, данное уравнение регрессии будет статистически значимым. Уравнение регрессии является пригодным для практического использования, т.к. F расч > Fтаб не менее чем в 4 раза.

Таблица 5. Коэффициенты регрессии

 

Коэффициенты

Стандартная ошибка

t-статистика

P-Значение

Нижние 95%

Верхние 95%

Y-пересечение

1882,373846

322,7076624

5,833062133

0,00064155

1119,29148

2645,45621

Переменная X 1

1,21497104

0,421875014

2,879931261

0,02365391

0,21739515

2,21254693

Переменная X 2

1,973119612

0,428183437

4,608117553

0,00246044

0,96062667

2,98561255

Переменная X 3

-0,035488734

0,050250561

-0,706235581

0,50286322

-0,15431243

0,08333496

Переменная X 4

70,97386696

117,4208705

0,604439966

0,56462024

-206,682371

348,630105


В столбце "Коэффициенты" получены коэффициенты уравнения регрессии:

у=1882,37+1,21Х1+1,97Х2-0,035Х3+70,97Х4

Видно, что отрицательное влияние на показатель Общий валовой внутренний продукт оказывает переменная Х3 - наличие основных фондов в РФ.

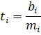
Стандартные ошибки mi, t-статистики ti могут быть вычислены по формулам

,

Где σY - среднее квадратическое отклонение для отклика Y,

σXi - среднее квадратическое отклонение для регрессора Xi (X1, X2, …)

R2- коэффициент детерминации для уравнения множественной регрессии,

 - коэффициент детерминации для зависимости отклика Y от всех регрессоров кроме Xi,

- коэффициент детерминации для зависимости Xi от всех регрессоров кроме Xi.

Табличные t-критерии Стьюдента зависят от принятого уровня значимости и от числа степеней свободы (n-m-1). Если вычисленные значения t-критерия превышают табличные, то говорят, что соответствующий коэффициент регрессии является статистически значимым и на него можно опираться в анализе и прогнозе.

Более того, используя табличное значение t-критерия и стандартную ошибку mi коэффициента регрессии bi можно с вероятностью 1 - α сделать вывод о том, что истинное значение коэффициента регрессии попадет в интервал (bi - tтаб*mi , bi + tтаб*mi).

Для нашего примера:

m(X1) =0,42188,

m(X2) =0,42818,(X3) =0,05025,(X4) =117,42087,(y) =322,707662(X1) =2,87993,(X2) =4,60812,

t(X3) -0,70624,

t(X4) =0,60444,

t(y) =5,833062

Табличное значение t-критерия Стьюдента при уровне значимости α = 0,05 и числе степеней свободы 7 tтаб =3,335. Коэффициенты t- статистики при регрессорах Х2, Х3 и Х4 меньше t таб., и согласно t-критерию не являются статистически значимыми. Регрессор Х1, больше t таб. И является статистически значимым.

По величине Р-значения возможно определять значимость коэффициентов, не находя критическое значение t-статистики. Если значение t-статистики велико, то соответствующее значение вероятности значимости мало - меньше 0,05, и можно считать, что коэффициент регрессии значим. И наоборот, если значение t-статистики мало, соответственно вероятность значимости больше 0,05 - коэффициент считается незначимым.

Для коэффициентов b0, b1,b2 значения вероятности меньше 0,05 и для них коэффициент регрессии значим. Для коэффициентов b3, b4 значения вероятности стремятся к единице и следовательно, коэффициенты незначимы.

Таблица 6. Относительная ошибка аппроксимации

Наблюдение

Предсказанное Y

Остатки Е

Стандартные остатки

1

7628,114123

-322,4678232

-0,910067939

2

9007,906163

-64,32376269

-0,181534373

3

11309,22878

-490,0165306

-1,382923511

4

13171,03006

37,20372121

0,104996255

5

16576,47912

450,7117376

1,271997615

6

21348,95794

260,8075472

0,736050452

7

26710,01154

207,1898359

0,584730672

8

32973,10354

274,4096897

0,774438387

9

41424,11435

-147,2651676

-0,415611413

10

39026,03672

-217,2888587

-0,613232111

11

44625,22264

540,8239548

1,526312105

12

54898,86821

-529,7843435

-1,49515614



СУММА

18,52



Средняя ошибка аппроксимации

1,54%


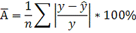
Средняя ошибка аппроксимации - среднее отклонение расчетных значений от фактических:


В нашем случае средняя ошибка аппроксимации составляет 1,54 %. Это значит, что качество тренда, исходя из относительных отклонений по каждому наблюдения, признается хорошим, так в норме средняя ошибка аппроксимации колеблется в пределах до 10%.

3. Проверка модели на отсутствие автокорреляции

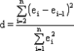
Автокорреляция в остатках свидетельствует о неудачном подборе модели, о ее несовершенстве. Наличие автокорреляции может быть выявлено при помощи d-критерия Дарбина-Уотсона. Значение критерия вычисляется по формуле:


Таблица 7. Расчет критерия d - Дарбина-Уотсона

Yтеор

e=Yтеор-Yпракт

e(t)-e(t-1)

{e(t)-e(t-1)}^2

e^2

1

7616,608284

4679,41

4679,41

21896861,89

21896861,89

2

8992,915076

7744,42

3065,01

9394266,64

59975964,87

3

11288,76759

9886,17

2141,75

4587103,85

97736309,70

4

13146,3031

11299,06

1412,89

1996262,60

127668738,07

5

16544,19681

14431,68

3132,62

9813308,35

208273364,90

6

21305,60371

18430,15

3998,47

15987794,90

339670550,07

7

26653,83973

22405,48

3975,33

15803224,87

502005547,36

8

32899,29085

27512,58

5107,10

26082460,95

756942023,66

9

41330,66224

34996,35

7483,77

56006752,70

1224744185,41

10

38940,62487

30722,22

-4274,12

18268105,61

943855100,73

11

44527,58441

38053,09

7330,86

53741536,78

1448037415,48

12

54777,209

46524,87

8471,79

71771156,44

2164563780,92




СУММА

161568036,73

3338913545,92





Критерий d

0,048389404


В таблице значений критерия Дарбина-Уотсона для уровня значимости 5% при m=4и n=7 критические значения d1=0,048, d2=1,739,

В нашем расчете значение d-критерия попадает в интервал от 0 до d1, автокорреляция положительна.

. Проверка на гетероскедастичность моделей

Для проверки на гетероскедастичность воспользуемся тестом Бреуша-Пагана и данными таблиц 6, 7.

Затем строим регрессию, в которой за зависимую переменную берется столбец квадратов остатков еi2, а за зависимые переменные - переменные Х1, Х2, Х3, Х4 (табл. 8).

Таблица 8. Данные для проверки на гетероскедастичность моделей

 

Y

X1

X2

X4

1

21896861,89

2937,2

1248,5

14334,8

3,1

2

9394266,64

3848,4

1402,6

17464,2

4,3

3

4587103,85

5065,1

1847,2

21495,2

5,5

4

1996262,60

6231,4

2112,5

26333,3

6,8

5

9813308,35

7845,0

2875,5

32173,3

8,9

6

15987794,90

9474,3

4248,4

34873,7

11,4

7

15803224,87

11985,9

5386,7

41493,6

15,6

8

26082460,95

15526,1

6334,3

47489,5

19,9

9

56006752,70

19559,8

8218,4

60391,5

24,0

10

18268105,61

20412,5

6474,5

74441,1

31,1

11

53741536,78

22531,6

8252,3

82303,0

28,3

12

71771156,44

26757,2

10919,2

93185,6

32,0


Таблица 9. Регрессионная статистика

Множественный R

0,930497653

 

R-квадрат

0,865825882

 

Нормированный R-квадрат

0,789154957

 

Стандартная ошибка

10373968,8

 

Наблюдения

12

 

 Таблица 10. Дисперсионный анализ


df

SS

MS

F

Значимость F

Регрессия

4

4,86127E+15

1,21532E+15

11,29275

0,003566

Остаток

7

7,53335E+14

1,07619E+14



Итого

11

5,6146E+15





Таблица 11. Коэффициенты регрессии


Коэффициенты

Стандартная ошибка

t-статистика

P-Значение

Нижние 95%

Верхние 95%

Y-пересечение

-7716696,169

7531171,974

-1,024634

0,339634688

-25525088,1

10091695,7

X 1

8591,412764

9901,407348

0,867696123

0,414314396

-14821,695

32004,521

X 2

1338,454016

10043,71882

0,133262792

0,897735707

-22411,167

25088,075

X 3

-160,0918196

1171,530429

-0,1366519

0,895153163

-2930,321083

2610,1374

X 4

-4722028,49

2779183,309

-1,6990705

0,133108615

-11293752,74

1849695,8


Найдена статистика:

Х2наб = nR2=12*0,865825882=10,38991

Так как Х2набл=10,38991 > Х2крит =9,49, то гипотеза о гетероскедастичности подтверждается и модель считается гетероскедастичной. Критическое значение распределения Кси-квадрат найдено с помощью действий: fx→Статистические→ХИ2ОБР(m), где m - число переменных, входящих в уравнение регрессии.

Выводы

Наибольшее влияние на образование общего валового внутреннего продукта оказывает размер оплаты труда наемных работников.

Функция регрессии описывает связь между исходными значениями факторов X и Y на 99,97%.

Значение F=3487,27 выше табличного, данное уравнение регрессии будет статистически значимым. Уравнение регрессии является пригодным для практического использования, т.к. F расч > Fтаб не менее чем в 4 раза.

Уравнение регрессии: у=1882,37+1,21Х1+1,97Х2-0,035Х3+70,97Х4

Видно, что отрицательное влияние на показатель Общий валовой внутренний продукт оказывает переменная Х3 - наличие основных фондов в РФ.

Коэффициенты t- статистики при регрессорах Х2, Х3 и Х4 меньше t таб., и согласно t-критерию не являются статистически значимыми. Регрессор Х1, больше t таб. И является статистически значимым.

Для коэффициентов b0, b1,b2 значения вероятности меньше 0,05 и для них коэффициент регрессии значим. Для коэффициентов b3, b4 значения вероятности стремятся к единице и следовательно, коэффициенты незначимы.

Средняя ошибка аппроксимации составляет 1,54 %. Это значит, что качество тренда, исходя из относительных отклонений по каждому наблюдения, признается хорошим, так в норме средняя ошибка аппроксимации колеблется в пределах до 10%.

Значение d-критерия попадает в интервал от 0 до d1, автокорреляция положительна.

Х2наб =1,169121. Так как Х2набл=1,578< Х2крит =9,48, то гипотеза о гетероскедастичности подтверждена и модель считается гетероскедастичной.

Литература

.        Берндт Э. Р. Практика эконометрики: классика и современность: Учебник для студентов вузов. - М.: ЮНИТИ-ДАНА, 2005. - 863 с.

.        Луговская Л.В. Эконометрика в вопросах и ответах: учебное пособие. - М.: ТК Велби, Изд-во Проспект, 2006. - 208 с.

.        Практикум по эконометрике: Учеб. пособие / Под ред. И.И. Елисеевой. - М.: Финансы и статистика, 2006. - 344 с.

.        Прикладная статистика. Основы эконометрики: Учебник для вузов: В 2-х т. - Т. 1. Айвазян С.А., Мхитарян В.С. Теория вероятностей и прикладная статистика. - М.: ЮНИТИ-ДАНА, 2001. - 656 с.

.        Эконометрика: Учебник / Тихомиров Н.П., Дорохина Е.Ю. - М.: Издательство "Экзамен", 2003. - 512 с

.        Эконометрика: учебное пособие / А.В. Гладилин, А.Н. Герасимов, Е.И. Громов. - М.: КНОРУС, 2008. - 232 с.

Похожие работы на - Основы эконометрики

 

Не нашли материал для своей работы?
Поможем написать уникальную работу
Без плагиата!
Без нейросетей!