|
N
|
Хi
|
Уi
|
xi^2
|
xiyi
|
yi^2
|
yp
|
ei
|
ei^2
|
|
1
|
9
|
24
|
81
|
216
|
576
|
24,25
|
0,25
|
0,0625
|
|
2
|
9
|
24
|
81
|
216
|
576
|
24,25
|
0,25
|
0,0625
|
|
3
|
9
|
24
|
81
|
216
|
576
|
24,25
|
0,25
|
0,0625
|
|
4
|
10
|
25
|
100
|
250
|
625
|
25
|
0
|
0
|
|
5
|
10
|
25
|
100
|
250
|
625
|
25
|
0
|
0
|
|
6
|
10
|
25
|
100
|
250
|
625
|
25
|
0
|
0
|
|
7
|
10
|
25
|
100
|
250
|
625
|
25
|
0
|
0
|
|
8
|
10
|
26
|
100
|
260
|
676
|
25
|
-1
|
1
|
|
9
|
11
|
26
|
121
|
286
|
676
|
25,75
|
-0,25
|
0,0625
|
|
10
|
12
|
26
|
144
|
312
|
676
|
26,5
|
0,5
|
0,25
|
|
Ср
|
10,00
|
25,00
|
100,80
|
250,60
|
625,60
|
25,00
|
0,00
|
0,15
|
|
Ʃ
|
100
|
250
|
1008
|
2506
|
6256
|
250
|
0
|
1,5
|
Получим систему уравнений:
Решая эту систему, найдем значения параметров :
к = 0,75 и b = 17,5.
Следовательно, уравнение у = 0,75х + 17,5
является модельным уравнением.
б) Оценим тесноту связи между переменными Х и У
по выборочному коэффициенту корреляции. Выборочный
коэффициент корреляции:
, где (1)
k - коэффициент уравнения регрессии, найденный в
предыдущем пункте задачи,
- средние
квадратичные отклонения x и y соответственно. Найдем
их.
σ=
;
существует две формулы для расчета дисперсии признака:
1)
,
(2)
)
, (3)
Найдем дисперсии по первой формуле, так как она
удобнее для расчета
(x)=
=0,8(y)=
=0,6
Теперь можем рассчитать средние квадратичные
отклонения, необходимые для расчета выборочного коэффициента корреляции:
σx=
=
σy=
=
Подставив полученные значения, рассчитаем
выборочный коэффициент корреляции:
Для нашей задачи r
=0,72.
Так как выборочный коэффициент r
близок к единице, то между переменными X (эффективность рынка ценных бумаг) и Y
(курс акций) существует тесная связь.
в) Построим график экспериментальных данных и
модельной прямой.
Используя модельное уравнение (у = 0,75х +
17,5), найдем расчетные значения у и построим график:
Одна линия на графике (yi) отражает фактические
значения у, а другая (yр)
построена с помощью уравнения регрессии и отражает тенденцию изменения
производительности труда в зависимости от механизации производства.
г) Оценим величину погрешности модельного
уравнения.
Рассмотрим характеристики, по значениям которых
можно определить качество модели и возможность осуществлять прогнозирование
результативного признака.
Обозначим разность между фактическим значением
результативного признака и его расчетным значением как ei:
, (4)
В качестве суммарной погрешности выберем
величину
, (5)
2
=0,125 Стандартная ошибка уравнения, выполняющая роль абсолютной ошибки,
находится по формуле:
, (6)
в нашем случае
Найдем относительную погрешность модельного
уравнения
, где
-
среднее значение результативного признака, получим q
=0,0141
По величине относительной погрешности можно
судить о наличии прогнозных качеств у модельного уравнения. Если величина
относительной погрешности меньше 10 % уровня, то оцененное регрессионное
уравнение обладает достаточно высокими прогнозными качествами.
д) Провести оценку значимости параметров
уравнения и составить для них доверительные интервалы с доверительной
вероятностью g =0,95.
Стандартная ошибка углового коэффициента k
вычисляется по формуле
, (7)
Sk
= 0,0042.
Для вычисления стандартной ошибки коэффициента b
используем формулу
(8)
Получим, что Sb=
0,3472
Коэффициенты считаются значимыми, если
и
и
Оба коэффициента являются значимыми, так как
каждый из них меньше чем 0,5.
Используем стандартные ошибки параметров
уравнения для оценки статистической значимости коэффициентов при помощи t-критерия
Стьюдента.
Найдем доверительные интервалы параметров
уравнения по формулам:
- =
k - tст*Sk
и
b-
= b -
tст*
Sb, (9)
k+ =
k+ tст*
Sk
и
b+
= b + tст*Sb,
(10)
Значения t-критерия
Cтьюдента содержатся
в справочниках по математической статистике. Для нашего примера по таблице
определяем tст
= 2,78.
Получим интервалы для коэффициента k:
-
= 0,75-2,78*0,0042
= 0,7343
k
+ =
0,75 +
2,78*0,0042 = 0,7656
интервал (k-,
k+)
достаточно мал и не содержит ноль, поэтому коэффициент k
является статистически значимым на 95 % доверительном уровне.
Получим интервалы для параметра b:
b-
= 17,5 - 2,78* 0,0198=17,44
b+
= 17,5 + 2,78* 0,0198=17,55
интервал (b-,
b+)
также достаточно мал и не содержит ноль, поэтому коэффициент b
тоже является статистически значимым на 95 % доверительном уровне.
По нашему исследованию можно сделать следующий
вывод:
полученные результаты являются значимыми и данное модельное уравнение можно
использовать для анализа и прогноза данных величин.
ЗАДАНИЕ №
2
погрешность доверительный интервал
переменная
По полученным в предыдущем задании уравнениям
модельных прямых составить 95% доверительный интервал для среднего и
индивидуального значений зависимой переменной У, при заданном значении
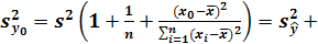
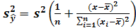
объясняющей переменной Х. При Х=20,1.
Решение:
Построим доверительные интервалы для средних и
индивидуальных значений зависимой переменной при Х=20,1.. Для этого найдем
значения стандартных погрешностей
.
Вычислим все необходимые суммы с помощью таблицы:
Таблица 2.
|
n
|
Хi
|
Уi
|
x-xср
|
(x-xср)^2
|
yp
|
|
1
|
9
|
24
|
-1
|
1
|
24,25
|
|
2
|
9
|
24
|
-1
|
1
|
24,25
|
|
3
|
9
|
24
|
-1
|
1
|
24,25
|
|
4
|
10
|
25
|
0
|
0
|
25
|
|
5
|
10
|
25
|
0
|
0
|
25
|
|
6
|
10
|
25
|
0
|
0
|
25
|
|
7
|
10
|
25
|
0
|
0
|
25
|
|
8
|
10
|
26
|
0
|
0
|
25
|
|
9
|
11
|
26
|
1
|
1
|
25,75
|
|
10
|
12
|
26
|
2
|
4
|
26,5
|
|
среднее
|
10
|
25
|
0
|
0,8
|
25
|
|
сумма
|
100
|
250
|
0
|
8
|
250
|
Сначала рассчитаем дисперсию групповой средней:
, где (11)
x=20,1 по условию,2 - суммарная
погрешность уравнения, оценка дисперсии модельного уравнения, была найдена в
предыдущей задаче. S2=0,125
это значение можно
найти и в таблице в конце второго столбца.
сумма квадратов
отклонения величины x от своего среднего, сумма стобца - 5 таблицы. Подставим
эти значения в формулу:
=
1,27;
.
=
1,31.
yp=y(20,1)=0,75*20,1+17,5=32,575
Построим доверительный интервал для прогноза
индивидуального значения (прогноза y при x=20,1):
32,575-2,78*1,31
32,575+2,78*1,31,
или
36,2
Итак, среднее значение надежностью 0,95
находится в пределах от 28,9 до 36,2 . Это означает, что при эффективности
рынка равной 20,1 цена акции (её возможные экспериментальные значения) может
варьироваться от
до 36,2 у.е.
Нетрудно заметить, что доверительный интервал индивидуальных значений шире
интервала функции регрессии.
ЗАДАНИЕ № 3
. По имеющимся статистическим данным
построить нелинейные модели:
а) радикальную
б) гиперболическую
в) степенную
г) показательную.
. Рассчитать относительную погрешность,
коэффициент детерминации для каждой модели.
. Проверить значимость модельных уравнений по
критерию Фишера.
. Найти средний коэффициент эластичности.
. По значениям найденных характеристик
определить, какая модель лучше всего подходит для описания данной зависимости.
Дана зависимость среднего размера назначенных
пенсий Y (тыс. руб.) от
прожиточного минимума X
(тыс. руб.) в среднем на одного пенсионера в месяц
|
X
|
1,78
|
2,02
|
1,97
|
2,01
|
1,89
|
3,02
|
2,15
|
1,66
|
1,99
|
1,8
|
|
Y
|
2,4
|
2,26
|
2,21
|
2,26
|
2,2
|
2,5
|
2,37
|
2,32
|
2,2
|
1. По имеющимся статистическим данным построим
нелинейные модели
а) радикальная модель:
Обычно используются полиномы второй степени,
модель выглядит следующим образом:
(12)
Построим её график, и найдем уравнение, добавив
тренд с подписями уравнения и коэффициента детерминации R2.
= 0,2908x2
- 1,209x + 3,5058
б) гиперболическую функцию регрессии вида:
(13)
получим, произведя замену переменной: с=1/x,
тогда уравнение примет вид: yi=β0+
β1*ci.+εi
Найдем
его коэффициенты при помощи МНК. Для этого решим систему:
Расчет всех необходимых сумм приведен в таблице:
Таблица 3.
|
n
|
X
|
Y
|
С
|
С^2
|
Y^2
|
CY
|
Yрасч
|
|
1
|
1,66
|
2,32
|
0,6024
|
0,3629
|
5,3824
|
1,3976
|
2,212316
|
|
2
|
1,78
|
2,4
|
0,5618
|
0,3156
|
5,7600
|
1,3483
|
2,243383
|
|
3
|
1,8
|
2,2
|
0,5556
|
0,3086
|
4,8400
|
1,2222
|
2,248158
|
|
4
|
1,89
|
2,2
|
0,5291
|
0,2799
|
4,8400
|
1,1640
|
2,268395
|
|
5
|
1,97
|
2,21
|
0,5076
|
0,2577
|
4,8841
|
1,1218
|
2,284831
|
|
6
|
1,99
|
2,15
|
0,5025
|
0,2525
|
4,6225
|
1,0804
|
2,288734
|
|
7
|
2,01
|
2,26
|
0,4975
|
0,2475
|
5,1076
|
1,1244
|
2,292559
|
|
8
|
2,02
|
2,26
|
0,4950
|
0,2451
|
5,1076
|
1,1188
|
2,294443
|
|
9
|
2,15
|
2,37
|
0,4651
|
0,2163
|
5,6169
|
1,1023
|
2,317341
|
|
10
|
3,02
|
2,5
|
0,3311
|
0,1096
|
6,2500
|
0,8278
|
2,41984
|
|
сумма
|
20,29
|
22,87
|
5,0478
|
2,5959
|
52,4111
|
11,5077
|
22,87
|
|
среднее
|
2,029
|
2,287
|
0,50
|
0,2596
|
5,2411
|
1,1508
|
2,2870
|
Подставим найденные суммы в систему, получим её
в виде:
Решив систему получим коэффициенты, уравнение
примет вид:
yi= 2,67-0,76*ci
Произведем обратную замену переменной, C=1/X,
получим уравнение:
в) Степенная модель выглядит следующим образом:
(14)
Построим её график, и найдем уравнение, добавив
степенной тренд с подписями уравнения и коэффициента детерминации R2.
Получим следующее уравнение: y = 2,04539x0,1594
г) Показательная функция регрессии
выглядит следующим образом:
(15)
Линеаризация данной функции происходит методом
замен переменнs[, путем логарифмирования:
lnYi=lnβ0+β1
lnXi
+ lnεi.
Произведем следующие замены переменных:
=Yi;
ln β0=A;=Xi;
lnεi=E.
В результате произведённых замен получим
окончательный вид показательной функции, приведённой к линейной форме:
Yi=A+β1Xi+E.
Найдем коэффициенты A и β1
при
помощи МНК. Для этого решим систему:
Расчет необходимых сумм произведен в таблице:
Таблица 4.
|
n
|
X
|
Y
|
LN(X)
|
LN(Y)
|
LN(X)2
|
LN(Y)2
|
LN(X)*LN(Y)
|
|
1
|
1,66
|
2,32
|
0,506818
|
0,841567
|
0,2568641
|
0,708235
|
0,42652106
|
|
2
|
1,78
|
2,4
|
0,576613
|
0,875469
|
0,332483
|
0,766446
|
0,50480697
|
|
3
|
1,8
|
2,2
|
0,587787
|
0,788457
|
0,3454932
|
0,621665
|
0,46344472
|
|
4
|
1,89
|
2,2
|
0,636577
|
0,788457
|
0,4052301
|
0,621665
|
0,50191369
|
|
5
|
1,97
|
2,21
|
0,678034
|
0,792993
|
0,4597295
|
0,628837
|
0,53767552
|
|
6
|
1,99
|
2,15
|
0,688135
|
0,765468
|
0,4735293
|
0,585941
|
0,52674494
|
|
7
|
2,01
|
2,26
|
0,698135
|
0,815365
|
0,4873921
|
0,66482
|
0,56923449
|
|
8
|
2,02
|
2,26
|
0,703098
|
0,815365
|
0,4943461
|
0,66482
|
0,57328097
|
|
9
|
2,15
|
2,37
|
0,765468
|
0,86289
|
0,585941
|
0,744579
|
0,66051451
|
|
10
|
3,02
|
2,5
|
1,105257
|
0,916291
|
1,2215927
|
0,839589
|
1,01273659
|
|
сумма
|
20,29
|
22,87
|
6,94592
|
8,262321
|
5,0626009
|
6,846596
|
5,77687347
|
|
среднее
|
2,029
|
2,287
|
0,695
|
0,826
|
0,506
|
0,685
|
0,578
|
Подставив найденные суммы в систему, получим:
Получим коэффициенты, решив его, и составим
уравнение:
Yi= 0,72+0,16 Xi+E.,
следовательно, сделав обратную замену
переменных, имеем:
lnYi=0,72+0,16 lnXi
+ lnεi.
. Рассчитаем относительную погрешность и
коэффициент детерминации для каждой модели.
Относительная погрешность рассчитывается по
формуле:
, где (16)
(стандартная ошибка уравнения), а
,
n-2=8
Для расчета относительной погрешности нужно
рассчитать сумму квадрата ошибок по каждому уравнению:
)^2.
Расчет приведен в таблице:
Таблица 5.
|
N
|
X
|
Y
|
Yp
(а)
|
Yp
(б)
|
Yр(в)
|
Yр(г)
|
ei^2(а)
|
ei^2(б)
|
ei^2(в)
|
ei^2(г)
|
|
1
|
1,66
|
2,32
|
2,3002
|
2,2123
|
2,2743
|
2,2173
|
0,0004
|
0,0116
|
0,0021
|
0,0105
|
|
2
|
1,78
|
2,4
|
2,2752
|
2,2434
|
2,2750
|
2,2421
|
0,0156
|
0,0245
|
0,0156
|
0,0249
|
|
3
|
1,8
|
2,2
|
2,2718
|
2,2482
|
2,2751
|
2,2461
|
0,0052
|
0,0023
|
0,0056
|
0,0021
|
|
4
|
1,89
|
2,2
|
2,2596
|
2,2684
|
2,2757
|
2,2637
|
0,0035
|
0,0047
|
0,0057
|
0,0041
|
|
5
|
1,97
|
2,21
|
2,2526
|
2,2848
|
2,2761
|
2,2787
|
0,0018
|
0,0056
|
0,0044
|
0,0047
|
|
6
|
1,99
|
2,15
|
2,2515
|
2,2887
|
2,2762
|
2,2823
|
0,0103
|
0,0192
|
0,0159
|
0,0175
|
|
7
|
2,01
|
2,26
|
2,2506
|
2,2926
|
2,2763
|
2,2860
|
0,0001
|
0,0011
|
0,0003
|
0,0007
|
2,02
|
2,26
|
2,2502
|
2,2944
|
2,2764
|
2,2878
|
0,0001
|
0,0012
|
0,0003
|
0,0008
|
|
9
|
2,15
|
2,37
|
2,2507
|
2,3173
|
2,2770
|
2,3106
|
0,0142
|
0,0028
|
0,0086
|
0,0035
|
|
10
|
3,02
|
2,5
|
2,5068
|
2,4198
|
2,2806
|
2,4392
|
0,0000
|
0,0064
|
0,0482
|
0,0037
|
|
сумма
|
20,29
|
22,87
|
22,87
|
22,87
|
22,76
|
22,85
|
0,05
|
0,08
|
0,11
|
0,07
|
|
средняя
|
2,03
|
2,29
|
2,29
|
2,29
|
2,28
|
2,29
|
0,01
|
0,01
|
0,01
|
0,01
|
Находим отсюда относительную погрешность:
Таблица 6.
|
|
а)
|
б)
|
в)
|
г)
|
|
S2
|
0,0064
|
0,0099
|
0,0133
|
0,0091
|
|
σ
|
0,0801
|
0,0996
|
0,1155
|
0,0952
|
|
θ
|
0,0350
|
0,0436
|
0,0505
|
0,0416
|
Коэффициент детерминации находится по формуле:
(17)
Расчет необходимых сумм приведен в таблице:
Таблица 7.
Получим следующие значения коэффициента
детерминации для каждой из моделей:
|
|
а)
|
б)
|
в)
|
г)
|
|
R^2
|
0,5227
|
0,2606
|
0,0066
|
0,3247
|
. Проверим значимость модельных уравнений по
критерию Фишера.
Для проверки значимости найдем F-статистику
каждой модели -
находим по формуле:
(18)
|
|
а)
|
б)
|
в)
|
г)
|
|
F
|
8,7603
|
2,8203
|
0,0530
|
3,8460
|
Критическое значение при уровне значимости 99%
составляет 5,32. По полиномиальному распределению фактическое значение больше
критического, следовательно все полученные уравнения значимы.
. Найдем средний коэффициент эластичности.
yx=Y’(x)*(x/Y(x))
a) E=2-
б) E=27,
6094X/(8,5797-27,6094/x)
в)E=1,0039
г)Е=1,37*e0,146x
5. По значениям найденных характеристик
определить, какая модель лучше всего подходит для описания данной зависимости.
Представим все рассчитанные характеристики для
всех моделей в виде одной таблицы, удобной для анализа:
Таблица 8.
|
|
а)
|
б)
|
в)
|
г)
|
|
S2
|
0,0064
|
0,0099
|
0,0133
|
0,0091
|
|
σ
|
0,0801
|
0,0996
|
0,1155
|
0,0952
|
|
θ
|
0,0350
|
0,0436
|
0,0505
|
0,0416
|
|
R^2
|
0,5227
|
0,2606
|
0,0066
|
0,3247
|
|
F
|
8,7603
|
2,8203
|
0,0530
|
3,8460
|
Лучше всего подходит полиномиальная
(радикальная) модель, так как она по всем параметрам лучше остальных: у неё
коэффициент детерминации ближе всех к единице, значит доля объясненной
регрессии выше всего, самая низкая относительная погрешность, значит её прогнозные
качества самые лучшие и F-статистика самая большая, дальше всего от
критического значения, означающего не значимость уравнения.
ЗАДАНИЕ 4
.Проверить наличие трендовой составляющей у
временного ряда приближенными и статистическими методами (визуальный, метод
знаков, метод проверки разностей средних уровней, метод Фостера - Стюарта,
метод Ноймана).
. Рассчитать значения коэффициентов
автокорреляции уровней временного ряда r(τ) при
τ
= 1, 2, 3, 4. Сделать вывод о структуре ряда.
. Произвести сглаживание временного ряда
методом простой скользящей средней, с интервалом сглаживания m=3.
. Построить графики основного и
сглаженного временного ряда.
. В зависимости от структуры ряда
составить линейную
( y=kx +b ) или нелинейную (y
= a
) модели временного
ряда.
. Проверить автокорреляцию остатков
временного ряда методом Дарбина-Уотсона. Сделать вывод о достаточности модели.
Приводятся данные об уровне среднегодовых цен на
рис из Таиланда на мировых рынках (амер. доллары за метрическую тонну):
|
T
|
1
|
2
|
3
|
4
|
5
|
6
|
7
|
8
|
9
|
10
|
11
|
12
|
|
|
14,3
|
13,0
|
15,0
|
29,6
|
25,4
|
25,2
|
21,7
|
22,9
|
30,2
|
32,0
|
30,3
|
33,8
|
Решение:
. Проверить наличие трендовой составляющей у
временного ряда приближенными и статистическими методами (визуальный, метод
знаков, метод проверки разностей средних уровней, метод Фостера - Стюарта,
метод Ноймана).
А) Визуальный метод:
Мы видим повышательный тренд: значения
колеблются циклически, при этом вершина каждого нового цикла выше вершины
предыдущего, а спад до более высокого значения чем предыдущий происходит.
Б) Метод знаков
Составим таблицу для определения знаков:
|
первая
половина ряда
|
вторая
половина ряда
|
разности
|
|
с
|
Y
|
t
|
Y
|
di
|
|
1
|
14,3
|
7
|
20,3
|
6
|
|
2
|
13
|
8
|
25,7
|
12,7
|
|
3
|
15
|
9
|
24,9
|
9,5
|
|
4
|
29,6
|
10
|
33,3
|
9,7
|
|
5
|
25,4
|
11
|
34,1
|
9,7
|
|
6
|
25,2
|
12
|
34,2
|
9
|
Ряд разделен на 2 равные по количеству уровней
ряда части. di -разности
соответствующих значений первой половины и второй. Мы видим, что все разности
di имеют знак "+", следовательно, можно говорить о восходящей
тенденции тренда.
В) Метод проверки разностей средних уровней
Суть этого метода заключается в проверке
равенства (однородности) дисперсии обеих частей ряда с помощью F-критерия
Фишера, который основан на сравнении расчетного значения этого критерия с
табличным (критическим) значением критерия Фишера.
Для определения наличия тренда в исходном
временном ряду методом проверки разных сумм, нужно рассчитать значение
F-критерия Фишера:
,
- дисперсия первой
части ряда,
- второй части
(временной ряд разбивается на две равные по количеству членов - уровней ряда
-части)
Разбиваем ряд на две равные части и считаем
суммы первых 6 уровней ряда и соответственно последующих и рассчитываем средние
по формулам:
;
;
(19)
следовательно,
;
Рассчитаем теперь так же дисперсию: для первых 6
членов ряда и для последних 6, по формулам:
; (20)
(21)
Теперь можно рассчитать значение F-критерия
Фишера: так как
то F=
=2,2
Рассчитаем теперь критическое значение критери
Фишера Fa
с заданным уровнем значимости (уровнем ошибки) a. В качестве
a
чаще всего берут значения 0,1 (10%-ная ошибка), 0,05 (5%-ная ошибка), 0,01
(1%-ная ошибка). Величина γ = 1 - a
называется доверительной вероятностью. Так как в условии задаче не указано, на
каком уровне значимости проверять гипотезу о наличии тренда, проверим её на
уровне 0,05 (5%-ная ошибка). Fa,=
5,05
Так как расчётное значение F
меньше табличного Fa,
то гипотеза о равенстве дисперсии принимается, и можно перейти к этапу проверки
гипотезы от отсутствиии тренда у временного ряда с использованием t-критерия
Стьюдента. Для этого
определяется расчётное значение критерия Стьюдента по формуле:
, (22)
где s -
среднеквадратическое отклонение разности средних:
(23)
σ=5,914437, следовательно,
t=2,27. Найдем теперь табличное значение t-критерия Стьюдента: t(0,95;10)=6,14.
Так как расчетное значение меньше табличного, то это значит, что гипотеза
отвергается, следовательно, у временного ряда тренд есть.
Г) Метод Фостера-Стюарта.
На первом этапе производим сравнение каждого
уровня исходного временного ряда, начиная со второго уровня, со всеми
предыдущими, при этом определяются числовые последовательности:

t =2,3,…,n.
Получим такую таблицу:
Таблица 9.
|
t
|
y
|
kt
|
lt
|
S
|
d
|
|
1
|
14,3
|
1
|
1
|
2
|
0
|
|
2
|
13
|
0
|
1
|
1
|
-1
|
|
3
|
15
|
1
|
0
|
1
|
1
|
|
4
|
29,6
|
1
|
0
|
1
|
1
|
|
5
|
25,4
|
0
|
0
|
0
|
0
|
|
6
|
25,2
|
0
|
0
|
0
|
0
|
|
7
|
21,7
|
0
|
0
|
0
|
0
|
|
8
|
22,9
|
0
|
0
|
0
|
0
|
|
9
|
30,2
|
1
|
0
|
1
|
1
|
|
10
|
32
|
1
|
0
|
1
|
1
|
|
11
|
30,3
|
0
|
0
|
0
|
0
|
|
12
|
33,8
|
1
|
0
|
1
|
1
|
|
сумма
|
293,4
|
|
|
6
|
4
|
На втором этапе вычисляются величины s и d:
(24)=6, d=5
Третий этап заключается в проверке гипотез:
можно ли считать случайными:
отклонение величины s от величины m
- математического ожидания величины s для ряда, в котором уровни расположены
случайным образом,
отклонение величины d от нуля.
Эта проверка проводится с использованием
расчётных значений t-критерия Стьюдента (для средней и для дисперсии):
, (25)
;
, (26)
,
где m - математическое
ожидание величины s, определенной для ряда, в котором уровни расположены
случайным образом;
s1 - среднеквадратическое отклонение для величины
s;
Получим следующие числа, подставив наши данные в
формулы:
|
ts=
|
4,3158
|
|
σ1=
|
1,2428
|
|
td=
|
4,0000
|
|
σ1=
|
2,0308
|
tтабл=2,23
при уровне значимости 5%.
Если расчётное значение t меньше табличного
значения статистики Стьюдента ta с заданным уровнем значимости a,
гипотеза принимается, т.е. тренда нет, в противном случае тренд есть. Заметим,
что в данном случае расчетные значения t-критерия превышают табличное, значит
гипотеза не принимается, и тренд есть.
Д) Метод Ноймана.
При этом в качестве нуль-гипотезы проверяем,
зависимы ли последовательные уровни ряда друг от друга, т.е. есть ли дрейф во
времени. С этой целью рассчитаем величину:
, (27)
и сравнив со значениями D(P,n) таблицы критических
значений Ноймана.
Получаем следующую расчетную таблицу:
Таблица 10.
|
T
|
y
|
(Yi-Yi-1)^2
|
|
1
|
14,3
|
|
|
2
|
13
|
1,69
|
|
3
|
15
|
4
|
|
4
|
29,6
|
213,16
|
|
5
|
25,4
|
17,64
|
|
6
|
25,2
|
0,04
|
|
7
|
21,7
|
12,25
|
|
8
|
22,9
|
1,44
|
|
9
|
30,2
|
53,29
|
|
10
|
32
|
3,24
|
|
11
|
30,3
|
2,89
|
|
12
|
33,8
|
12,25
|
|
Сумма
|
293,4
|
321,89
|
=0,929
Нуль-гипотеза отклоняется, если D лежит ниже
табличного значения для заданного уровня значимости. Отклонение нуль-гипотезы
подтверждает наличие тренда во временном ряду.табл=1,13. Следовательно, так как
расчетное значение меньше критического, гипотеза подтверждается, подтверждается
наличие тренда во временном ряду.
. Рассчитать значения коэффициентов
автокорреляции уровней временного ряда r(τ) при
τ
= 1, 2, 3, 4. Сделать вывод о структуре ряда.
1) τ = 1
Рассчитаем параметры уравнения авторегрессии, в
котором yt - принимается за x, y t-1 - это его значения с лагом в 1.
Расчетная таблица:
Таблица 11.
|
t
|
y
|
yt-1
|
x*y
|
x^2
|
y^2
|
|
1
|
14,3
|
7,26
|
103,818
|
204,49
|
52,7076
|
|
2
|
13
|
10,7
|
139,1
|
169
|
114,49
|
|
3
|
15
|
23,4
|
351
|
225
|
547,56
|
|
4
|
29,6
|
21,5
|
636,4
|
876,16
|
462,25
|
|
5
|
25,4
|
14,8
|
375,92
|
645,16
|
219,04
|
|
6
|
25,2
|
20,3
|
511,56
|
635,04
|
412,09
|
|
7
|
21,7
|
25,7
|
557,69
|
470,89
|
660,49
|
|
8
|
22,9
|
24,9
|
570,21
|
524,41
|
620,01
|
|
9
|
30,2
|
33,3
|
1005,66
|
912,04
|
1108,89
|
|
10
|
32
|
34,1
|
1091,2
|
1024
|
1162,81
|
|
11
|
30,3
|
34,2
|
1036,26
|
918,09
|
1169,64
|
|
сумма
|
259,6
|
250,16
|
6378,818
|
6604,28
|
6529,978
|
|
среднее
|
23,6
|
22,74182
|
579,8925
|
600,3891
|
593,6343
|
|
S^2(x)
|
43,42909
|
|
|
S^2(y)
|
76,44403
|
|
|
S^(x)
|
6,590075
|
|
|
S^(y)
|
8,743228
|
|
|
|
|
|
r=
|
0,74951
|
|
|
|
|
Выборочные средние:
|
S^2(x)
|
43,42909
|
|
S^2(y)
|
76,44403
|
Выборочные дисперсии:
Среднеквадратическое отклонение
|
S^(x)
|
6,590075
|
|
S^(y)
|
8,743228
|
Коэффициент автокорреляции.
Линейный коэффициент автокорреляции rt,t-1:
Линейный коэффициент корреляции принимает
значения от -1 до +1.
Связи между признаками могут быть слабыми и
сильными (тесными). Их критерии оцениваются по шкале Чеддока:
.1 < rt,t-1 < 0.3: слабая;
.3 < rt,t-1 < 0.5: умеренная;
.5 < rt,t-1 < 0.7: заметная;
.7 < rt,t-1 < 0.9: высокая;
.9 < rt,t-1 < 1: весьма
высокая;
В нашем примере связь между рядами - высокая и
прямая.
2) τ = 2
Рассчитаем параметры уравнения авторегрессии, в
котором yt - принимается за x, y t-2 - это его значения с лагом в 2.
Расчетная таблица:
Таблица 12.
|
T
|
y
|
yt-2
|
x*y
|
x^2
|
y^2
|
|
1
|
14,3
|
10,7
|
153,01
|
204,49
|
114,49
|
|
2
|
13
|
23,4
|
304,2
|
169
|
547,56
|
|
3
|
15
|
21,5
|
322,5
|
225
|
462,25
|
|
4
|
29,6
|
14,8
|
438,08
|
876,16
|
219,04
|
|
5
|
25,4
|
20,3
|
515,62
|
645,16
|
412,09
|
|
6
|
25,2
|
25,7
|
647,64
|
635,04
|
660,49
|
|
7
|
21,7
|
24,9
|
540,33
|
470,89
|
620,01
|
|
8
|
22,9
|
33,3
|
762,57
|
524,41
|
1108,89
|
|
9
|
30,2
|
34,1
|
1029,82
|
912,04
|
1162,81
|
|
10
|
32
|
34,2
|
1094,4
|
1024
|
1169,64
|
|
Сумма
|
229,3
|
242,9
|
5808,17
|
5686,19
|
6477,27
|
|
среднее
|
22,93
|
24,29
|
580,817
|
568,619
|
647,727
|
Расчет коэффициента автокорреляции.
Параметры уравнения авторегрессии:
|
xср
|
24,29
|
|
y
ср
|
22,93
|
|
S^2(x)
|
42,8341
|
|
S^2(y)
|
57,7229
|
|
S^(x)
|
6,544777
|
|
S^(y)
|
7,597559
|
Коэффициент автокорреляции:
Линейный коэффициент корреляции:
r= 0,47959
Связь между рядами - умеренная
3) τ = 3 Рассчитаем
параметры уравнения авторегрессии, в котором yt - принимается за x, y t-3 - это
его значения с лагом в 3.
Расчетная таблица:
Таблица 13.
|
T
|
y
|
yt-2
|
x*y
|
x^2
|
y^2
|
|
1
|
14,3
|
23,4
|
334,62
|
204,49
|
547,56
|
|
2
|
13
|
21,5
|
279,5
|
169
|
462,25
|
|
3
|
15
|
14,8
|
222
|
225
|
219,04
|
|
4
|
29,6
|
20,3
|
600,88
|
876,16
|
412,09
|
|
5
|
25,4
|
25,7
|
652,78
|
645,16
|
660,49
|
|
6
|
25,2
|
24,9
|
627,48
|
635,04
|
620,01
|
|
7
|
21,7
|
33,3
|
722,61
|
470,89
|
1108,89
|
|
8
|
22,9
|
34,1
|
780,89
|
524,41
|
1162,81
|
|
9
|
30,2
|
34,2
|
1032,84
|
912,04
|
1169,64
|
|
Сумма
|
197,3
|
5253,6
|
4662,19
|
6362,78
|
|
среднее
|
21,92222
|
25,8
|
583,7333
|
518,0211
|
706,9756
|
Расчет коэффициента автокорреляции.
Параметры уравнения авторегрессии:
|
xср
|
21,92222
|
|
y
ср
|
25,8
|
|
S^2(x)
|
37,43728
|
|
S^2(y)
|
41,33556
|
|
S^(x)
|
6,118601
|
|
S^(y)
|
6,429273
|
Коэффициент автокорреляции
Линейный коэффициент корреляции:
Связь между рядами - умеренная
4) τ = 4
Рассчитаем параметры уравнения авторегрессии, в
котором yt - принимается за x, y t-4 - это его значения с лагом в 4.
Расчетная таблица:
Таблица 14.
|
T
|
y
|
yt-2
|
x*y
|
x^2
|
y^2
|
|
1
|
14,3
|
21,5
|
307,45
|
204,49
|
462,25
|
|
2
|
13
|
14,8
|
192,4
|
169
|
219,04
|
|
3
|
15
|
20,3
|
304,5
|
225
|
412,09
|
|
4
|
29,6
|
25,7
|
760,72
|
876,16
|
660,49
|
|
5
|
25,4
|
24,9
|
632,46
|
645,16
|
620,01
|
|
6
|
25,2
|
33,3
|
839,16
|
635,04
|
1108,89
|
|
7
|
21,7
|
34,1
|
739,97
|
470,89
|
1162,81
|
|
8
|
22,9
|
34,2
|
783,18
|
524,41
|
1169,64
|
|
Сумма
|
167,1
|
208,8
|
4559,84
|
3750,15
|
5815,22
|
|
среднее
|
20,8875
|
26,1
|
569,98
|
468,7688
|
726,9025
|
Расчет коэффициента автокорреляции.
Параметры уравнения авторегрессии:
|
xср
|
20,8875
|
|
y
ср
|
26,1
|
|
S^2(x)
|
32,48109
|
|
S^2(y)
|
45,6925
|
|
S^(x)
|
5,699219
|
|
S^(y)
|
6,759623
|
Коэффициент автокорреляции
Линейный коэффициент корреляции:
Связь между рядами - умеренная
Вывод: Автокорреляция максимальная на лаге -1,
затем убывает.
. Произведем сглаживание временного ряда
методом простой скользящей средней, с интервалом сглаживания m=3.
Сглаживание происходит за счет расчета среднего
значения из трех уровней ряда, каждая следующая в столбце сумма содержит ещё
одно новое значение (следующее по времени) и исключает то, которое было первым
в предыдущей сумме.
Проведя сглаживание получим следующий ряд y':
|
T
|
y
|
y'
|
|
1
|
14,3
|
|
|
2
|
13
|
14,1000
|
|
3
|
15
|
19,2000
|
|
4
|
29,6
|
23,3333
|
|
5
|
25,4
|
26,7333
|
|
6
|
25,2
|
24,1000
|
|
7
|
21,7
|
23,2667
|
|
8
|
22,9
|
24,9333
|
|
9
|
30,2
|
28,3667
|
|
10
|
32
|
30,8333
|
|
11
|
30,3
|
32,0333
|
|
12
|
33,8
|
|
|
Сумма
|
293,4
|
|
. Построим графики основного и
сглаженного временного ряда.
5. В зависимости от структуры ряда составим
линейную
( y=kx +b ) или нелинейную (y = a
)
модели временного ряда.
Как показал весь предыдущий анализ, зависимость
уровней ряда Y(t) близка к линейной, поэтому построим линейную модель:
Параметры уравнения у = кх + b найдем методом
наименьших квадратов.
Составим систему нормальных уравнений:
Вычислим все необходимые суммы с помощью
таблицы:
Таблица 14.
|
T
|
y
|
t*y
|
t^2
|
|
1
|
14,3
|
14,3
|
1
|
|
2
|
13
|
26
|
4
|
|
3
|
15
|
45
|
9
|
|
4
|
29,6
|
118,4
|
16
|
|
5
|
25,4
|
127
|
25
|
|
6
|
25,2
|
151,2
|
36
|
|
7
|
21,7
|
151,9
|
49
|
|
8
|
22,9
|
183,2
|
64
|
|
9
|
30,2
|
271,8
|
81
|
|
10
|
32
|
320
|
100
|
|
11
|
30,3
|
333,3
|
121
|
|
12
|
33,8
|
405,6
|
144
|
|
сумма
|
293,4
|
2147,7
|
650
|
|
среднее
|
24,45
|
178,975
|
54,16666667
|
Получим систему уравнений:
Решая эту систему, найдем значения параметров :
к = 1,68 и b = 13,61.
Следовательно, уравнение у = 1,68 t
+ 13,61 является модельным уравнением.
. Проверим автокорреляцию остатков
временного ряда методом Дарбина-Уотсона. Сделаем вывод о достаточности модели.
у = 1,68 t
+ 13,61, построим расчетную таблицу для нахождения критерия:
Таблица 15.
|
t
|
yр
|
Ei
|
ei^2
|
Δei
|
Δei^2
|
t
|
|
1
|
15,19615385
|
-0,89615385
|
0,803092
|
|
|
1
|
|
2
|
16,87867133
|
-3,87867133
|
15,04409
|
-2,98252
|
8,895411
|
2
|
|
3
|
18,56118881
|
-3,56118881
|
12,68207
|
0,317483
|
0,100795
|
3
|
|
4
|
20,24370629
|
9,35629371
|
87,54023
|
12,91748
|
166,8614
|
4
|
|
5
|
21,92622378
|
3,47377622
|
12,06712
|
-5,88252
|
34,60401
|
5
|
|
6
|
23,60874126
|
1,59125874
|
2,532104
|
-1,88252
|
3,543872
|
6
|
|
7
|
25,29125874
|
-3,59125874
|
12,89714
|
-5,18252
|
26,85849
|
7
|
|
8
|
26,97377622
|
-4,07377622
|
16,59565
|
-0,48252
|
0,232823
|
8
|
|
9
|
28,65629371
|
1,54370629
|
2,383029
|
5,617483
|
31,55611
|
9
|
|
10
|
30,33881119
|
1,66118881
|
2,759548
|
0,117483
|
0,013802
|
10
|
|
11
|
32,02132867
|
-1,72132867
|
2,962972
|
-3,38252
|
11,44142
|
11
|
|
12
|
33,70384615
|
0,09615385
|
0,009246
|
1,817483
|
3,303243
|
12
|
|
сумма
|
293,4
|
0,00000000
|
168,2763
|
0,992308
|
287,4113
|
сумма
|
|
среднее
|
24,45
|
0,00000
|
14,02302
|
0,09021
|
26,1283
|
среднее
|
Произведем расчет сумм, необходимых для
определения статистики Дарбина-Уотсона, с помощью таблицы. Фактическое значение
критерия Дарбина-Уотсона для этой модели составляет:
D =
26,12
/ 14,02 = 1,86;
Сформулируем гипотезы:- в остатках нет
автокорреляции;- в остатках есть положительная автокорреляция;*1 - в остатках
есть отрицательная автокорреляция;
По таблицам значений критерия Дарбина-Уотсона
определим для числа наблюдений n = 12 и числа независимых переменных модели k =
1 критические значения dн = 0,97 и dв =
1,33.
Получим следующие промежутки внутри интервала
[0;4]:
Фактическое значение D = 1,86 попадает в зону
действия гипотезы H0, следовательно, гипотеза об отсутствии автокорреляции в
остатках принимается.
Список использованной литературы
1. Канторович, Г. Г.
Эконометрика. / Методические материалы по экономическим дисциплинам для
преподавателей средних школ и вузов. Экономическая статистика. Эконометрика.
Программы, тесты, задачи, решения./ Под ред. Гребнева Л. С. - М. :
ГУ - ВШЭ,2000, − 210с.
2. Кремер, Н. Ш., Эконометрика
: учеб. пособие / Н. Ш. Кремер, Б. А. Путко. - М.: ЮНИТИ,
2009. - 311с.
3. Магнус, Я. Р., Эконометрика:
Начальный курс./ Я. Р. Магнус, Л. К. Катышев, А. А. Пересецкий − М. :Дело,
2000, − 280 с.
. Новиков, А.И.,
Эконометрика. / учебное пособие А. И. Новиков. − М. : ИНФРА-М, 2007, −
144 с.
. Практикум по эконометрике.
/ под ред. Елисеевой И. И. - М. : Финансы и
статистика, 2006, −120 с.
. Тихомиров, Н. П.
Эконометрика : учебник / Н. П. Тихомиров, Е. Ю. Дорохин − М.:Экзамен,
2010.−512 с.