Основы эконометрики
МИНИСТЕРСТВО
СЕЛЬСКОГО ХОЗЯЙСТВА
РОССИЙСКОЙ
ФЕДЕРАЦИИ
Ульяновская государственная
сельскохозяйственная академия
Кафедра
«Статистика и анализ хозяйственной деятельности»
Контрольная
работа
по
Эконометрики
Выполнил:
студент 2 курса
заочного отделения
«Экономического факультета»
по
специальности «Финансы и кредит»
с сокращенным
сроком обучения
Антонов
Леонид Владимирович
Шифр: 08066
Проверил:
Ульяновск, 2009
Задача 1
По
территориям Волго-Вятского, Центрально-Черноземного и Поволжского районов
известны данные о потребительских расходах в расчете на душу населения, о
средней заработной плате и выплатах социального характера (табл. 1).
Таблица 1
|
Район
|
Потребительские расходы в
расчете на душу населения, руб., y
|
Средняя заработная плата и
выплаты социального характера, руб., x
|
|
1
|
408
|
524
|
|
2
|
249
|
371
|
|
3
|
253
|
453
|
|
4
|
580
|
1006
|
|
5
|
651
|
997
|
|
6
|
322
|
486
|
|
7
|
899
|
1989
|
|
8
|
330
|
595
|
|
9
|
446
|
1550
|
|
10
|
642
|
937
|
Задание:
. Постройте поле корреляции и сформулируйте гипотезу о форме связи.
. Рассчитайте параметры уравнений линейной парной регрессии.
. Оцените тесноту связи с помощью показателей корреляции и детерминации.
. Дайте с помощью среднего (общего) коэффициента эластичности
сравнительную оценку силы связи факторов с результатом.
. Оцените с помощью средней ошибки аппроксимации качество уравнений.
. Оцените с помощью F-
критерия Фишера статистическую надежность результатов регрессионного
моделирования. По значениям характеристик, рассчитанных в пп.4,5 и данном
пункте, выберите лучшее уравнение регрессии и дайте его обоснование.
. Рассчитайте прогнозное значение результата, если прогнозное значение
фактора увеличится на 7 % от его среднего уровня. Определите доверительный
интервал прогноза для уровня значимости, а = 0,05.
. Оцените полученные результаты, выводы оформите в аналитической записке.
Решение:
. Постройте поле корреляции и сформулируйте гипотезу о форме связи.
. Рассчитайте параметры уравнений линейной парной регрессии.
|
|
y
|
x
|
yx
|
x2
|
y2
|
ŷx
|
y-ŷx
|
Ai
|
|
1
|
408
|
524
|
213792
|
274576
|
166464
|
356,96
|
51,04
|
12,5
|
|
2
|
249
|
371
|
92379
|
137641
|
62001
|
306,47
|
-57,47
|
23,1
|
|
3
|
253
|
453
|
114609
|
205209
|
64009
|
333,53
|
-80,53
|
31,8
|
|
4
|
580
|
1006
|
583480
|
1012036
|
336400
|
516,02
|
63,98
|
11,0
|
|
5
|
651
|
997
|
649047
|
994009
|
423801
|
513,05
|
137,95
|
21,2
|
|
6
|
322
|
486
|
156492
|
236196
|
103684
|
344,42
|
-22,42
|
7,0
|
|
7
|
899
|
1989
|
1788111
|
3956121
|
808201
|
840,41
|
58,59
|
6,5
|
|
8
|
330
|
595
|
196350
|
354025
|
108900
|
380,39
|
-50,39
|
15,3
|
|
9
|
446
|
1550
|
691300
|
2402500
|
198916
|
695,54
|
-249,54
|
56,0
|
|
10
|
642
|
937
|
601554
|
877969
|
412164
|
493,25
|
148,75
|
23,2
|
|
итого
|
4780
|
8908
|
5087114
|
10450282
|
2684540
|
4780,04
|
-0,04
|
207,5
|
|
среднее значение
|
478
|
890,8
|
508711,4
|
1045028,20
|
268454
|
x
|
x
|
20,7
|
|
σ
|
199,92
|
501,50
|
x
|
x
|
x
|
x
|
x
|
x
|
|
σ2
|
39970,00
|
251503,56
|
x
|
x
|
x
|
x
|
x
|
x
|
;
.
Получено уравнение регрессии:
.
С увеличением средняя заработная плата и выплаты социального характера на
1 руб., то потребительские расходы в расчете на душу населения возрастает в
среднем на 0,33 руб.
. Оцените тесноту связи с помощью показателей корреляции и детерминации.
Тесноту связи оценивают с помощью показателей корреляции и детерминации:
.
Коэффициент детерминации
Это означает, что 69% вариации потребительские расходы в расчете на душу
населения объясняется вариацией факторов средняя заработная плата и выплаты
социального характера.
. Дайте с помощью среднего (общего) коэффициента эластичности
сравнительную оценку силы связи факторов с результатом.
Коэффициент эластичности показывает, на сколько процентов измениться в
среднем результат, если фактор изменится на 1%. Формула для расчета
коэффициента эластичности имеет вид:
.
Таким
образом, изменение средней заработной платы и выплат социального характера на 1
% приведет к увеличению потребительских расходов в расчете на душу населения на
0,615 %.
.
Оцените с помощью средней ошибки аппроксимации качество уравнений.
Качество
уравнений оцените с помощью средней ошибки аппроксимации:
=
20,7%
Качество построенной модели оценивается как плохое, так как
превышает 8 - 10 %.
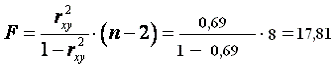
. Оцените с помощью F-
критерия Фишера статистическую надежность результатов регрессионного моделирования.
По значениям характеристик, рассчитанных в пп.4,5 и данном пункте, выберите
лучшее уравнение регрессии и дайте его обоснование.
Оценим
качество уравнения регрессии в целом с помощью
-критерия
Фишера. Сосчитаем фактическое значение
-
критерия:
.
Табличное
значение (k1=1, k2=8
) Fтабл.=5,32.
Так как
, то признается статистическая значимость уравнения в
целом.
Для
оценки статистической значимости коэффициентов регрессии и корреляции
рассчитаем
- критерий Стьюдента и доверительные интервалы каждого
из показателей. Рассчитаем случайные ошибки параметров линейной регрессии и
коэффициента корреляции
:
,
,
.
Фактические
значения
- статистик:
.
Табличное
значение
- критерия Стьюдента при
и tтабл.=2,306. Так как
, ta
< tтабл. и
.
Рассчитаем
доверительные интервалы для параметров регрессии
и
:
и
. Получим, что
и
.
7. Рассчитайте прогнозное значение результата, если прогнозное значение
фактора увеличится на 7 % от его среднего уровня. Определите доверительный
интервал прогноза для уровня значимости, а = 0,05.
Найдем
прогнозное значение результативного фактора
при
значении признака-фактора, составляющем 107% от среднего уровня
, т.е. найдем потребительские расходы в расчете на
душу населения, если средняя заработная плата и выплаты социального характера
составят 953,15 тыс. руб.
(тыс.
руб.)
Значит,
если средняя заработная плата и выплаты социального характера составят 953,15
тыс. руб., то потребительские расходы в расчете на душу населения будут 498,58
тыс. руб.
Найдем
доверительный интервал прогноза. Ошибка прогноза
,
а
доверительный интервал (
):
.
Т.е.
прогноз является статистически не точным.
8. Оцените полученные результаты, выводы оформите в аналитической
записке.
Из полученных результатов я вижу, что с увеличением средняя заработная
плата и выплаты социального характера на 1 руб., то потребительские расходы в
расчете на душу населения возрастает в среднем на 0,33 руб. При оценки тесноты
связи с помощью показателя детерминации я выявил, что 69% вариации
потребительские расходы в расчете на душу населения объясняется вариацией
факторов средняя заработная плата и выплаты социального характера. С помощью
коэффициент эластичности я определил, что изменение средней заработной платы и
выплат социального характера на 1 % приведет к увеличению потребительских
расходов в расчете на душу населения на 0,615 %. С увеличится на 7 % заработной
платы и выплаты социального характера, потребительские расходы в расчете на
душу населения будут равны 498,58 тыс. руб., но этот прогноз является статистически
не точным.
Задача 8
По группе 10 заводов, производящих однородную продукцию, получено
уравнение регрессии себестоимости единицы продукции у (тыс. руб.) от уровня
технической оснащенности х (тыс. руб.):
у
= 20 +
. Доля остаточной дисперсии в общей составила 0,19
Задание:
Определите:
а)
коэффициент эластичности, предполагая, что стоимость активных производственных
фондов составляет 200 тыс. руб.
б)
индекс корреляции;
в)
F- критерий Фишера. Сделайте выводы.
Решение:
а)
коэффициент эластичности, предполагая, что стоимость активных производственных
фондов составляет 200 тыс. руб.
х
= 200 тыс. руб.
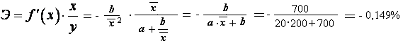
.
корреляция детерминация эластичность
Таким
образом, изменение технической оснащенности на 1% приведет к снижению
себестоимости единицы продукции на 0,149 %.
б) индекс корреляции:
Уравнение регрессии:
= 23,5/10 = 2,35
Это означает, что 99,6 % вариации себестоимости единицы продукции
объясняется вариацией уровня технической оснащенности на долю прочих факторов
приходится лишь 0,40%.
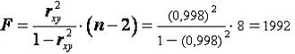
в) F- критерий Фишера. Сделайте выводы.
Fтабл.
= 4,46
Fтабл.
< Fфакт; Этот результат можно объяснить
сравнительно невысокой теснотой выявленной зависимости и небольшим числом
наблюдений.
Задача 13
По заводам, выпускающим продукцию А, изучается зависимость потребления
электроэнергии У (тыс. кВт. Ч) от производства продукции - Х1 (тыс.ед.) и
уровня механизации труда - Х2 (%). Данные приведены в табл.4.2.
Задание
1. Постройте уравнение множественной регрессии в стандартизованном и натуральном
масштабах.
. Определите показатели частной и множественной корреляции.
.Найдите частные коэффициенты эластичности и сравните их с Бэтта
коэффициентами.
. Рассчитайте общие и частные F - критерии Фишера.
|
Признак
|
Среднее значение
|
Среднее квадратическое
отклонение
|
Парный коэффициент
корреляции
|
|
Y
|
1050
|
28
|
ryx1
|
0.78
|
|
X1
|
425
|
44
|
ryx2
|
0.44
|
|
X2
|
42.0
|
19
|
rx1x2
|
0.39
|
Решение:
1. Постройте уравнение множественной регрессии в стандартизованном и
натуральном масштабах.
Линейное
уравнение множественной регрессии у от х1 и х2 имеет вид:
. Для расчета его параметров применим метод
стандартизации переменных, построим искомое уравнение в стандартизованном
масштабе:
Расчет
- коэффициентов выполним по формулам:
Т.е. уравнение будет выглядеть следующим образом:
.
Для построения уравнения в естественной форме рассчитаем b1 и b2, используя формулы для перехода от
к b.
Значение a определим из
соотношения:
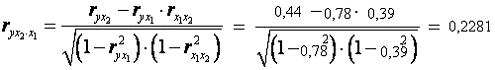
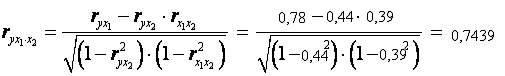
. Определите показатели частной и множественной корреляции.
Линейные коэффициенты частной корреляции здесь рассчитываются по
рекуррентной формуле:
Если сравнить значения коэффициентов парной и частной корреляции, то
приходим к выводу, что из-за слабой межфакторной связи (rx1x2=0,39) коэффициенты парной и частной корреляции отличаются
значительно.
Растет линейного коэффициента множественной корреляции выполним с
использованием коэффициентов
и
:
Зависимость у от
х1 и х2 характеризуется как тесная, в которой 63 % вариации потребления
электроэнергии определяется вариацией учетных в модели факторов: производства
продукции и уровня механизации труда. Прочие факторы, не включенные в модель,
составляют соответственно 37 % от общей вариации y.
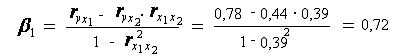
.Найдите частные коэффициенты эластичности и сравните их с Бэтта
коэффициентами.
Для характеристики относительной силы влияния х1 и х2 на y рассчитаем средние коэффициенты
эластичности:
С
увеличением производства продукции на 1 % от его среднего потребления
электроэнергии возрастает на 0,29 % от своего среднего уровня; при повышении
среднего уровня механизации труда на 1 % среднее потребления электроэнергии
увеличивается на 0,006% от своего среднего уровня. Очевидно, что сила влияния
производства продукции на среднее потребление электроэнергии оказалась больше,
чем сила влияния среднего уровня механизации труда.
.
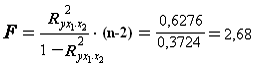
Рассчитайте общие и частные F - критерии Фишера.
Общий F-критерий проверяет гипотезу H0 о статистической значимости
уравнения регрессии и показателя тесноты связи (R2 = 0):
Fтабл.
= 9,55
Сравнивая Fтабл. и Fфакт., приходим к выводу о
необходимости не отклонять гипотезу H0 и признается статистическая незначимость, ненадежность уравнения
регрессии.
Частные F-критерий - Fх1. и Fх2
оценивают статистическую значимость присутствия факторов х1 и х2 в уравнении
множественной регрессии, оценивают целесообразность включения в уравнение
одного фактора после другого фактора, т.е. Fх1 оценивает целесообразность включения в уравнение фактора
х1 после того, как в него был включен фактор х2. Соответственно Fх2 указывает на целесообразность
включения в модель фактора х2 после фактора х1.
Низкое значение Fх2
(меньше 1) свидетельствует о статистической незначимости прироста r2yx1 за счет включения в модель фактора х2 после фактора х1.
следовательно, подтверждается нулевая гипотеза H0 о нецелесообразности включения в модель фактора х2.
Задача 21
Модель денежного и товарного рынков:
Rt = a1 + b12Yt + b14Mt + e1,
(функция денежного рынка);
Yt = a2 + b21Rt + b23It + b25Gt + e2 ( функция товарного рынка);
It = a3 + b31Rt + e3 (функция инвестиций),
где R - процентные ставки;
Y -
реальный ВВП;
M -
денежная масса;
I -
внутренние инвестиции;
G -
реальные государственные расходы.
Решение:
Rt = a1 + b12Yt + b14Mt + e1,
Yt = a2 + b21Rt + b23It + b25Gt + e2
It = a3 + b31Rt + e3
Сt = Yt + It + Gt
Модель представляет собой систему одновременных уравнений. Проверим
каждое ее уравнение на идентификацию.
Модель
включает четыре эндогенные переменные (Rt, Yt, It, Сt)
и две предопределенные переменные (
и
).
Проверим
необходимое условие идентификации для каждого из уравнений модели.
Первое
уравнение: Rt = a1 + b12Yt + b14Mt + e1. Это уравнение содержит две эндогенные переменные
и
и одну
предопределенную переменную
. Таким
образом,
, т.е. выполняется условие
. Уравнение сверхидентифицируемо.
Второе
уравнение: Yt = a2 + b21Rt + b23It + b25Gt + e2. Оно включает три эндогенные переменные Yt, It и Rt и одну предопределенную
переменную Gt. Выполняется условие
. Уравнение идентифицируемо.
Третье
уравнение: It = a3 + b31Rt + e3. Оно включает две эндогенные переменные It и Rt. Выполняется условие
.
Уравнение идентифицируемо.
Четвертое
уравнение: Сt = Yt + It + Gt.
Оно представляет собой тождество, параметры которого известны. Необходимости в
идентификации нет.
|
 Rt 
|
|
|
|
|
|
|
I уравнение
|
0
|
0
|
-1
|
b12
|
b14
|
0
|
|
II уравнение
|
0
|
b23
|
-10b25
|
|
|
|
|
III уравнение
|
0
|
-1
|
b31
|
0
|
0
|
0
|
|
Тождество
|
-1
|
1
|
0
|
1
|
0
|
1
|
В соответствии с достаточным условием идентификации ранг матрицы
коэффициентов при переменных, не входящих в исследуемое уравнение, должен быть
равен числу эндогенных переменных модели без одного.
Первое уравнение. Матрица коэффициентов при переменных, не входящих в
уравнение, имеет вид
|
Rt
|
|
|
|
|
II уравнение
|
b23
|
-1b25
|
|
|
|
III уравнение
|
-1
|
b31
|
0
|
0
|
|
Тождество
|
1
|
0
|
1
|
1
|
Ранг
данной матрицы равен трем, так как определитель квадратной подматрицы
не равен нулю:
.
Достаточное
условие идентификации для данного уравнения выполняется.
Второе
уравнение. Матрица коэффициентов при переменных, не входящих в уравнение, имеет
вид
|
 Rt 
|
|
|
|
|
|
|
I уравнение
|
0
|
0
|
-1
|
b12
|
b14
|
0
|
|
III уравнение
|
0
|
-1
|
b31
|
0
|
0
|
0
|
|
Тождество
|
-1
|
1
|
0
|
1
|
0
|
1
|
Ранг
данной матрицы равен трем, так как определитель квадратной подматрицы
не равен нулю:
.
Достаточное
условие идентификации для данного уравнения выполняется.
Третье
уравнение. Матрица коэффициентов при переменных, не входящих в уравнение, имеет
вид
|
 Rt 
|
|
|
|
|
|
|
I уравнение
|
0
|
0
|
-1
|
b12
|
b14
|
0
|
|
II уравнение
|
0
|
b23
|
-10b25
|
|
|
|
|
Тождество
|
-1
|
1
|
0
|
1
|
0
|
1
|
Ранг
данной матрицы равен трем, так как определитель квадратной подматрицы
не равен нулю:
.
Достаточное
условие идентификации для данного уравнения выполняется.
Таким
образом, все уравнения модели сверхидентифицируемы. Приведенная форма модели в
общем виде будет выглядеть следующим образом:
Rt = a1 + b11Yt + b13Mt + b15Gt + b16Gt + u1 = a2 + b21Rt +
b23It + b25Gt + b26Gt + u 2= a3 + b31Rt + b33It + b35Gt + b36Gt + u 3
Сt = a4 + b41Rt + b43It + b45Gt + b46Gt + u 4
Задача 26
Имеются данные об урожайности культур в хозяйствах области:
|
Варианты
|
Показатели
|
Год
|
|
|
1
|
2
|
3
|
4
|
5
|
6
|
7
|
8
|
|
4
|
Урожайность картофеля, ц/га
|
63
|
64
|
69
|
81
|
84
|
96
|
106
|
109
|
Задание:
. Обоснуйте выбор типа уравнения тренда.
. Рассчитайте параметры уравнения тренда.
.Дайте прогноз урожайности культур на следующий год.
Решение:
. Обоснуйте выбор типа уравнения тренда.
Построение аналитической функции для моделирования тенденции (тренда)
временного ряда называют аналитическим выравнивание временного ряда. Для этого
применяют следующие функции:
линейная
гипербола
экспонента
степенная
функция
парабола
второго и более высоких порядков
Параметры
трендов определяются обычными МНК, в качестве независимой переменной выступает
время t=1,2,…,n, а в качестве зависимой переменной - фактические
уровни временного ряда yt. Критерием отбора наилучшей формы тренда является
наибольшее значение скорректированного коэффициента детерминации
.
Сравним
значения R2 по разным уровням трендов:
Полиномиальный
6-й степени - R2 = 0,994
Экспоненциальный
- R2 = 0,975
Линейный
- R2 = 0,970
Степенной
- R2 = 0,864
Логарифмический
- R2 = 0,829
Исходный
данные лучше всего описывает полином 6-й степени. Следовательно, для расчета
прогнозных значений следует использовать полиномиальное уравнение.
.
Рассчитайте параметры уравнения тренда.
y = - 0,012*531441
+ 0,292*59049 - 2,573*6561 +10,34*729 - 17,17*81 + 9,936*9 + 62,25 =
=
- 6377,292 + 17242,308 - 16881,453 + 7537,86 - 1390,77 + 89,424 + 62,25 =
282,327
.Дайте
прогноз урожайности культур на следующий год.
Урожайность
картофеля, ц/га в 9-ом году приблизительно будет 282 ц/га.