Анализ экономических данных в странах третьего мира
Задание для выполнения
практической работы по дисциплине эконометрика
корреляция
регрессия гетероскедастичность
Работа включает в себя
анализ реальных экономических данных при помощи изученных эконометрических
моделей.
Работа должны быть
выполнена в соответствии со следующими этапами:
1) Рассчитайте
корреляцию между, экономическими показателями (не менее 5) из статистических
данных по выборке не менее 30 наблюдений (из Интернета, печатных источников или
Вашего предприятия). Интерпретируйте полученные данные.
2) Постройте линейную и
не линейную (на свой выбор) множественную регрессию. Определите теоретическое
уравнение множественной регрессии. Оцените адекватность построенной модели.
Определите значимость переменных, найдите среднюю ошибку аппроксимации (вручную
в экселе), коэффициент детерминации, линейные коэффициенты корреляции между
всеми членами регрессии, найти критерий Фишера, Т-статистику и т. д.
3) Проверьте модели на
отсутствие автокорреляции.
4) Проверка на
гетероскедастичность моделей.
5) Сравните модели
между собой выберете лучшую
Работа выполняется на
листах формата А4, с титульным листом и обязательными выводами по работе. Решение:
Сбор данных из интернет – источников получены данные средней продолжительности
жизни, ВВП в паритетах покупательной способности, темпы прироста
населения по сравнению с предыдущим годом, %; темпы прироста рабочей силы по сравнению
с предыдущим годом, %; коэффициент младенческой смертности. Изучим
зависимость продолжительности жизни от нескольких факторов по данным за 2005
г., представленным в табл.1.
Таблица
1. Обзор социальных показателей стран третьего мира.
|
Страна
|
У
|
Х1
|
Х2
|
Х3
|
Х4
|
|
Мозамбик
|
47
|
3,0
|
2,6
|
2,4
|
113
|
|
Бурунди
|
49
|
2,3
|
2,6
|
2,7
|
98
|
|
Чад
|
48
|
2,6
|
2,5
|
2,5
|
117
|
|
Непал
|
55
|
4,3
|
2,5
|
2,4
|
91
|
|
Буркина-Фасо
|
49
|
2,9
|
2,8
|
2,1
|
99
|
|
Мадагаскар
|
52
|
2,4
|
3,1
|
3,1
|
89
|
|
Бангладеш
|
58
|
5,1
|
2,0
|
2,1
|
79
|
|
Гаити
|
57
|
3,4
|
2,0
|
1,7
|
72
|
|
Мали
|
50
|
2,0
|
2,9
|
2,7
|
123
|
|
Нигерия
|
53
|
4,5
|
2,9
|
2,8
|
80
|
|
Кения
|
58
|
5,1
|
2,7
|
2,7
|
58
|
|
Того
|
56
|
4,2
|
3,0
|
2,8
|
88
|
|
Индия
|
62
|
5,2
|
1,8
|
2,0
|
68
|
|
Бенин
|
50
|
6,5
|
2,9
|
2,5
|
95
|
|
Пакистан
|
68
|
7,4
|
3,1
|
4,0
|
46
|
|
Мавритания
|
59
|
7,4
|
2,8
|
2,7
|
73
|
|
Зимбабве
|
47
|
4,9
|
3,1
|
2,8
|
124
|
|
Гондурас
|
60
|
8,3
|
2,9
|
3,3
|
90
|
|
Китай
|
51
|
5,7
|
2,5
|
2,7
|
96
|
|
Камерун
|
57
|
7,5
|
2,4
|
2,2
|
55
|
|
Конго
|
67
|
7,0
|
3,0
|
3,8
|
45
|
|
Шри-Ланка
|
69
|
10,8
|
1,1
|
1,1
|
34
|
|
Египет
|
57
|
7,8
|
2,9
|
3,1
|
56
|
|
Индонезия
|
51
|
7,6
|
2,9
|
2,6
|
90
|
|
Филиппины
|
72
|
12,1
|
1,3
|
2,0
|
16
|
|
Марокко
|
63
|
14,2
|
2,0
|
2,7
|
56
|
|
Папуа - Новая
|
64
|
14,1
|
1,6
|
2,5
|
51
|
|
Гвинея
|
66
|
10,6
|
2,2
|
2,7
|
39
|
|
Гватемала
|
65
|
12,4
|
2,0
|
2,6
|
55
|
|
Эквадор
|
57
|
9,0
|
2,3
|
2,3
|
64
|
|
Доминиканская Республика
|
66
|
12,4
|
2,9
|
3,5
|
44
|
|
Ямайка
|
69
|
15,6
|
2,2
|
3,2
|
36
|
Принятые в таблице обозначения:
у — средняя
продолжительность жизни, лет;
х1 - ВВП в
паритетах покупательной способности, млрд. долл.;
х2 - темпы
прироста населения по сравнению с предыдущим годом, %;
х3 - темпы
прироста рабочей силы по сравнению с предыдущим годом;
х4 -
коэффициент младенческой смертности, %с.
1.
Корреляционный
анализ
Корреляционный
анализ проводился с использованием компьютерной программы EXCEL
с помощью пакета анализа данных
Таблица
2. Корреляционная зависимость продолжительности жизни от различных факторов.
|
|
У
|
Х1
|
Х2
|
Х3
|
Х4
|
|
У
|
1
|
|
|
|
|
|
Х1
|
0,7782
|
1
|
|
|
|
|
Х2
|
-0,524
|
-0,49
|
1
|
|
|
|
Х3
|
0,1123
|
0,096
|
0,6963
|
1
|
|
|
Х4
|
-0,928
|
-0,763
|
0,523
|
-0,032
|
1
|
На
основании полученных данных можно сделать вывод, что наибольшее влияние на
продолжительность жизни оказывает фактор Х1- ВВП
в паритетах покупательной способности, у остальных факторов
наблюдается слабый корреляционный отклик.
3.
Для выбора наилучшей регрессионной функции необходимо ее проанализировать по
набору критериев: коэффициенты попарной корреляции, коэффициенты множественной
корреляции, критерий Фишера, статистики Стьюдента.
Строим регрессионную
функцию по всем регрессорам, использую при этом пакет анализа данных MS
Excel «Регрессия»
Таблица 3.
Регрессионная статистика
|
Множественный R
|
0,9546
|
|
R-квадрат
|
0,9112
|
|
Нормированный R-квадрат
|
0,8981
|
|
Стандартная ошибка
|
2,3541
|
|
Наблюдения
|
32
|
Пояснения к таблице 2. Регрисеонная статистика
содержит строки, характеризующие построенное уравнение регрессии:
Для парной регрессии Множественный R равен
коэффициенту корреляции (rxу). Множественный
коэффициент корреляции R
определяется
как коэффициент корреляции между наблюдаемыми значениями Yi
и
расчетными, прогнозируемыми значениями. По его значению 0,9546 можно сказать,
что между X
и
Y существует сильная линейная
зависимость.
Строка R–квадрат равна
коэффициенту корреляции в квадрате, он близок к 1, это означает что данная
модель хорошо описывает данные
Нормированный R–квадрат
рассчитывается с учетом степеней свободы числителя (n-2) и знаменателя (n-1) по
формуле:
Стандартная ошибка (S)
регрессии вычисляется по формуле 1.4.
Последняя строка содержит количество выборочных
данных (n). Значимость уравнения в целом оценивается с помощью F-критерия
Фишера
Если найденное значение
F больше табличного для уровня
значимости α и степеней свободы (n-m-1)
и
m, то с
вероятность 1 - α
делаем заключение о статистической значимости уравнения в целом.
Таблица 4
Дисперсионный анализ
|
|
df
|
SS
|
MS
|
F
|
Значимость F
|
|
Регрессия
|
4
|
1535,9
|
383,97
|
69,285
|
8,42972E-14
|
|
Остаток
|
27
|
149,63
|
5,5418
|
|
|
|
Итого
|
31
|
1685,5
|
|
|
|
Пояснения к таблице дисперсионного анализа: число регрессоров m = 4 число n-m-1 = 27, где n – число наблюдений
Для уровня значимости α
= 0,05
и при степенях свободы 4, 27 табличное значение критерия Фишера Fтаб
= 2,71.
Значение F
=69,285 существенно
превышает табличное, что говорит о статистической значимости уравнения в целом.
Таблица 5 Коэффициенты
регрессии
|
Коэффициенты
|
Стандартная ошибка
|
t-статистика
|
P-Значение
|
Нижние 95%
|
Верхние 95%
|
|
Y-пересечение
|
72,846
|
3,4746
|
20,965
|
3E-18
|
65,717
|
79,976
|
|
Х1
|
0,0031
|
0,1929
|
0,0163
|
0,9871
|
-0,3925
|
0,3989
|
|
Х2
|
-6,173
|
1,9298
|
-3,199
|
0,0035
|
-10,132
|
-2,213
|
|
Х3
|
5,1218
|
1,5086
|
3,395
|
0,0021
|
2,02631
|
8,2173
|
|
Х4
|
-0,18
|
0,0258
|
-6,98
|
2E-07
|
-0,2326
|
-0,127
|
В столбце «Коэффициенты»
получены коэффициенты уравнения регрессии.
Коэффициент b0=
72,846 в Таблице анализа – это Y-пересечение. Таким образом, получили
уравнение регрессии:
У=72,846+0,0031Х1-6,173Х2+5,122Х3-0,18Х4
Коэффициент b1=0,0013
показывает, что при увеличении ВВП на 1 млр. дол. Средняя продолжительность
жизни увеличивается в среднем на 0,0031 лет, увеличение темпов прироста населения на 1%,.
приводит в среднем уменьшению продолжительности жизни на 6,173 лет, увеличение темпов прироста рабочей силы на 1% приводит к
увеличению продолжительности жизни на 5,122 лет, а увеличение коэффициента
младенческой смертности, на 1% ведет к уменьшению средней
продолжительности жизни на 0,18 лет.
Стандартные ошибки mi,
t-статистики ti
могут
быть вычислены по формулам
Где σY
- среднее квадратическое отклонение для отклика Y,
σXi - среднее квадратическое отклонение
для регрессора Xi (X1,
X2, …)R2- коэффициент детерминации для уравнения
множественной регрессии,
- коэффициент
детерминации для зависимости отклика Y
от всех регрессоров кроме Xi,
- коэффициент детерминации для
зависимости Xi от всех регрессоров
кроме Xi.
Табличные t–критерии
Стьюдента зависят от принятого уровня значимости и от числа степеней свободы (n-m-1).
Если вычисленные значения t–критерия
превышают табличные, то говорят, что соответствующий коэффициент регрессии
является статистически значимым и на него можно опираться в анализе и прогнозе.
Более того, используя
табличное значение t-критерия
и стандартную ошибку mi
коэффициента регрессии bi
можно
с вероятностью 1 - α сделать вывод о том, что истинное значение
коэффициента регрессии попадет в интервал (bi
–
tтаб*mi
, bi
+
tтаб*mi).
Они составляют:
m(X1)
=0.192, m(X2) =1,9289, m(X3) =1,5086, m(X4) =0.0258,
m(y) =3.4746
t(X1)
=0.0163, t(X2) =-3.199, t(X3) =3.395, t(X4) =-6.98,
t(y) =20.965
Табличное значение t–критерия
Стьюдента при уровне значимости α = 0,05 и числе степеней свободы 27 tтаб
=2,051.
Коэффициенты
t- статистики
при регрессорах Х1 , Х2 и Х4 меньше t
таб., и
согласно t–критерию не являются
статистически значимыми.
По величине Р-значения
возможно определять значимость коэффициентов, не находя критическое значение t-статистики.
Если значение t-статистики велико, то соответствующее значение
вероятности значимости мало – меньше 0,05, и можно считать, что коэффициент
регрессии значим. И наоборот, если значение t-статистики мало,
соответственно вероятность значимости больше 0,05 – коэффициент считается
незначимым.
Для коэффициентов b0,
b2, b3, b4 значения
вероятности близко к нулю, следовательно, b1 можно
считать значимым, b1- близко к единице,
коэффициент не значим.
Далее представлены
доверительные интервалы (нижняя и верхняя границы) для рассчитанных
коэффициентов.
|
Страна
|
У
|
у ожидаемое
|
остатки E
|
остатки/у
|
|
Мозамбик
|
47
|
48,735
|
-1,73
|
0,0369
|
|
Бурунди
|
49
|
52,969
|
-3,97
|
0,081
|
|
Чад
|
48
|
49,143
|
-1,14
|
0,0238
|
|
Непал
|
55
|
53,316
|
1,68
|
0,0306
|
|
Буркина-Фасо
|
49
|
48,485
|
0,52
|
0,0105
|
|
Мадагаскар
|
52
|
53,552
|
-1,55
|
0,0299
|
|
Бангладеш
|
58
|
57,027
|
0,97
|
0,0168
|
|
Гаити
|
57
|
56,234
|
0,77
|
0,0134
|
|
Мали
|
50
|
46,617
|
3,38
|
0,0677
|
|
Нигерия
|
53
|
54,877
|
-1,88
|
0,0354
|
|
Кения
|
58
|
59,56
|
-1,56
|
0,0269
|
|
Того
|
56
|
52,819
|
3,18
|
0,0568
|
|
Индия
|
62
|
59,73
|
2,27
|
0,0366
|
|
Бенин
|
50
|
50,647
|
-0,65
|
0,0129
|
|
Пакистан
|
68
|
65,915
|
2,08
|
0,0307
|
|
Мавритания
|
59
|
56,25
|
2,75
|
0,0466
|
|
Зимбабве
|
47
|
45,724
|
1,28
|
0,0272
|
|
Гондурас
|
60
|
55,648
|
4,35
|
0,0725
|
|
Китай
|
51
|
53,956
|
-2,96
|
0,058
|
|
Камерун
|
57
|
59,399
|
-2,40
|
0,0421
|
|
Конго
|
67
|
65,687
|
1,31
|
0,0196
|
|
Шри-Ланка
|
69
|
65,577
|
3,42
|
0,0496
|
|
Египет
|
57
|
60,742
|
-3,74
|
0,0657
|
|
Индонезия
|
51
|
52,062
|
-1,06
|
0,0208
|
|
Филиппины
|
72
|
72,195
|
-0,20
|
0,0027
|
|
Марокко
|
63
|
64,082
|
-1,08
|
0,0172
|
|
Папуа - Новая
|
64
|
66,61
|
-2,61
|
0,0408
|
|
Гвинея
|
66
|
66,082
|
-0,08
|
0,0012
|
|
Гватемала
|
65
|
63,929
|
1,07
|
0,0165
|
|
Эквадор
|
57
|
58,912
|
-1,91
|
0,0335
|
|
Доминиканская Республика
|
66
|
64,964
|
1,04
|
0,0157
|
|
Ямайка
|
69
|
69,197
|
-0,20
|
0,0029
|
|
сумма
|
1,0424
|
|
средняя ошибка аппроксимации
|
3,2574
|
Средняя ошибка
аппроксимации показывает среднее отклонение расчетных значений от фактических и
рассчитывается по формуле:
Средняя ошибка
аппроксимации составляет 3,2574 %. Это значит, что качество тренда, исходя из
относительных отклонений по каждому наблюдения, признается хорошим, так в норме
средняя ошибка аппроксимации колеблется в пределах до 10%
3) Проверка модели на
отсутствие автокорреляции
Автокорреляция
(последовательная корреляция) определяется как корреляция между наблюдаемыми
показателями
При проверке
независимости значений ei определяется отсутствие в остаточном ряду автокорреляции,
под которой понимается корреляция между элементами одного и того же числового
ряда. В нашем случае автокорреляция - это корреляция ряда e1, e2, e3 ... с
рядом eL+1, eL+2, eL+3 Число L характеризует запаздывание (лаг). Корреляция
между соседними членами ряда (т.е. когда L = 1) называется автокорреляцией
первого порядка. Далее для остаточного ряда будем рассматривать зависимость
между соседними элементами ei.
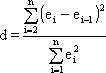
Наличие автокорреляции
может быть выявлено при помощи d-критерия Дарбина-Уотсона. Значение критерия
вычисляется по формуле:
Таблица 7. Расчет
критерия d - Дарбина-Уотсона
|
Страна
|
остатки E
|
(Ei –Ei-1)2
|
Ei2
|
|
Мозамбик
|
-1,73
|
3,01
|
3,01
|
|
Бурунди
|
-3,97
|
4,9903
|
15,75
|
|
Чад
|
-1,14
|
7,9868
|
1,31
|
|
Непал
|
1,68
|
7,9914
|
2,84
|
|
Буркина-Фасо
|
0,52
|
1,3661
|
0,27
|
|
Мадагаскар
|
-1,55
|
4,2746
|
2,41
|
|
Бангладеш
|
0,97
|
6,3751
|
0,95
|
|
Гаити
|
0,77
|
0,0428
|
0,59
|
|
Мали
|
3,38
|
6,8497
|
11,44
|
|
Нигерия
|
-1,88
|
27,662
|
3,52
|
|
Кения
|
-1,56
|
0,1
|
2,43
|
|
Того
|
3,18
|
22,484
|
10,12
|
|
Индия
|
2,27
|
0,8299
|
5,15
|
|
Бенин
|
-0,65
|
8,5083
|
0,42
|
|
Пакистан
|
2,08
|
7,46
|
4,35
|
|
Мавритания
|
2,75
|
0,4422
|
7,56
|
|
Зимбабве
|
1,28
|
2,1712
|
1,63
|
|
Гондурас
|
4,35
|
9,4605
|
18,94
|
|
Китай
|
-2,96
|
53,41
|
8,74
|
|
Камерун
|
-2,40
|
0,3109
|
5,75
|
|
Конго
|
1,31
|
13,775
|
1,72
|
|
Шри-Ланка
|
3,42
|
4,4504
|
11,71
|
|
Египет
|
-3,74
|
51,337
|
14,01
|
|
Индонезия
|
-1,06
|
7,1856
|
1,13
|
|
Филиппины
|
-0,20
|
0,7508
|
0,04
|
|
Марокко
|
-1,08
|
0,7854
|
1,17
|
|
Папуа - Новая
|
-2,61
|
2,3372
|
6,81
|
|
Гвинея
|
-0,08
|
6,3933
|
0,01
|
|
Гватемала
|
1,07
|
1,3285
|
1,15
|
|
Эквадор
|
-1,91
|
8,8971
|
3,66
|
|
Доминиканская Республика
|
1,04
|
8,6895
|
1,07
|
|
Ямайка
|
-0,20
|
1,5193
|
0,04
|
|
сумма
|
|
283,18
|
149,69
|
|
критерий d
|
|
|
1,8918
|
В
таблице значений критерия Дарбина-Уотсона для уровня значимости 5% при m=4и n=32
критические значения d1=1.14,
d2=1,74,
В
нашем расчете значение d-критерия попадает в интервал от d2 до 2,
автокорреляция отсутствует.
4)
Проверка на гетероскедастичность моделей с использованием теста Бреуша-Пагана
Для
этого проверки на гетероскедастичность воспользуемся таблицами 6 и 7
Затем строим регрессию, в
которой за зависимую переменную берется столбец квадратов остатков еi2, а за
зависимые переменные – переменные Х1, Х2, Х3, Х4,
Результат
представлен в таблицах 8,9,10
Таблица 8. Регрессионная статистика
|
Множественный R
|
0,222046
|
|
R-квадрат
|
0,049305
|
|
Нормированный R-квадрат
|
-0,09154
|
|
Стандартная ошибка
|
5,309145
|
|
Наблюдения
|
32
|
|
Таблица 9. Дисперсионный
анализ
|
|
|
df
|
SS
|
MS
|
F
|
Значимость F
|
|
Регрессия
|
4
|
39,4692
|
9,867301
|
0,35006
|
0,841652584
|
|
Остаток
|
27
|
761,0497
|
28,18702
|
31
|
800,5189
|
|
|
|
Таблица 10.
Коэффициенты регресси
|
Коэффиц
иенты
|
Стандартная ошибка
|
t-статистика
|
P-Значение
|
Нижние 95%
|
Верхние 95%
|
|
Y-пересечение
|
3,561922
|
7,836107
|
0,454552
|
0,65306
|
-12,516
|
19,6402
|
|
Х1
|
-0,21277
|
0,434968
|
-0,48916
|
0,62868
|
-1,1052
|
0,67971
|
|
Х2
|
-2,64445
|
4,352113
|
-0,60762
|
0,54851
|
-11,574
|
6,28535
|
|
Х3
|
2,473815
|
3,402388
|
0,727082
|
0,47343
|
-4,5073
|
9,45493
|
|
Х4
|
0,036775
|
0,058082
|
0,633148
|
0,53196
|
-0,0824
|
0,15595
|
Найдена статистика:
Х2наб
= nR2=32*0.049305=1,578
Так как
Х2набл=1,578< Х2крит =9,48,
То гипотеза о гетероскедастичности
отвергается и модель считается гомоскедастичной.
Критическое значение
распределения Хи-квадрат найдено с помощью действий: fx→Статистические→ХИ2ОБР(m),
где m – число переменных, входящих в уравнение регрессии (в данном
случае 6).
5) Сравните модели
между собой выберете лучшую.
Как уже отмечалось ранее
по величине Р-значения возможно определять значимость коэффициентов, не
находя критическое значение t-статистики. Если значение t-статистики
велико, то соответствующее значение вероятности значимости мало – меньше 0,05,
и можно считать, что коэффициент регрессии значим. И наоборот, если значение t-статистики
мало, соответственно вероятность значимости больше 0,05 – коэффициент считается
незначимым.
Для коэффициентов b0,
b2, b3, b4 полученных
при регрессионном анализе в п.4 значения вероятности близко к 1, следовательно,
данные коэффициенты не значимы.
Таким образом, модель
выраженная уравнением
У=72,846+0,0031Х1-6,173Х2+5,122Х3-0,18Х4
Выводы
Проанализировав данные
зависимости средней продолжительности жизни в странах третьего мира ВВП, темпы прироста населения, темпы прироста рабочей силы и коэффициент
младенческой смертности можно сделать ряд выводов:
1.
В результате проведенного корреляционного анализа наибольшее
влияние на
среднюю продолжительность жизни оказывает ВВП, у остальных
факторов наблюдается слабый корреляционный отклик.
2.
В
ходе регрессионного анализа было получено уравнение зависимости:
У=72,846+0,0031Х1-6,173Х2+5,122Х3-0,18Х4
При этом коэффициент b1=0,0013
показывает, что при увеличении ВВП на 1 млрд. дол. средняя продолжительность
жизни увеличивается в среднем на 0,0031 лет, увеличение темпов прироста населения на 1%,.
приводит в среднем уменьшению продолжительности жизни на 6,173 лет, увеличение темпов прироста рабочей силы на 1% приводит к увеличению
продолжительности жизни на 5,122 лет, а увеличение коэффициента младенческой
смертности, на 1% ведет к уменьшению средней
продолжительности жизни на 0,18 лет.
3.
По
значению коэффициента множественной корреляции регрессии равным 0,9546 можно сказать, что между факторными и
результативными признаками существует сильная линейная зависимость.
4.
Значение
F =69,285 существенно
превышает табличное, что говорит о статистической значимости уравнения в целом.
5.
Табличное
значение t–критерия Стьюдента при
уровне значимости α = 0,05 и числе степеней свободы 27 tтаб
=2,051.
Коэффициенты
t- статистики
при регрессорах Х1 , Х2 и Х4 меньше t
таб., и
согласно t–критерию не являются
статистически значимыми.
6. Средняя ошибка
аппроксимации составляет 3,2574 %. Это значит, что качество тренда, исходя из
относительных отклонений по каждому наблюдения, признается хорошим, так в норме
средняя ошибка аппроксимации колеблется в пределах до 10%
7.
В таблице значений критерия Дарбина-Уотсона для уровня значимости 5% при m=4и n=32
критические значения d1=1.14,
d2=1,74, В нашем расчете значение
d-критерия = 1,89 попадает в интервал от d2 до 2, значит автокорреляция
отсутствует.
8. Проверка на
гетероскедастичность моделей проводилась с использованием теста Бреуша-Пагана.
Тест показал гетероскедастичность отсутствует и модель считается
гомоскедастичной.
Список используемой
литературы
1.
Эконометрика:
Учебник / Под ред. И.И. Елисеевой. – М.: Финансы и статистика, 2006. – 576
с.
2.
Практикум по
эконометрике: Учеб. пособие / Под ред. И.И. Елисеевой. – М.: Финансы и
статистика, 2006. – 344 с.
3.
Эконометрика: Учебно-методическое
пособие / Шалабанов А.К., Роганов Д.А. – Казань: Издательский центр Академии
управления «ТИСБИ», 2008. – 198 с.
4.
Практикум по эконометрике с
применение MS Excel / Шалабанов А.К., Роганов Д.А. – Казань: Издательский центр
Академии управления «ТИСБИ», 2008 – 53 с.
5.
Прикладная
статистика. Основы эконометрики: Учебник для вузов: В 2-х т. – Т. 1. Айвазян
С.А., Мхитарян В.С. Теория вероятностей и прикладная статистика. – М.:
ЮНИТИ-ДАНА, 2001. – 656 с.
6.
Прикладная
статистика. Основы эконометрики: Учебник для вузов: В 2-х т. – Т. 2. Айвазян
С.А. Основы эконометрики. – М.: ЮНИТИ-ДАНА, 2001. – 432 с.
7.
Эконометрика:
Учебник / Тихомиров Н.П., Дорохина Е.Ю. – М.: Издательство «Экзамен», 2003. –
512 с
8.
Берндт Э. Р.
Практика эконометрики: классика и современность: Учебник для студентов вузов. –
М.: ЮНИТИ-ДАНА, 2005. – 863 с.
9.
Эконометрика:
учебное пособие / А.В. Гладилин, А.Н. Герасимов, Е.И. Громов. – М.: КНОРУС,
2008. – 232 с.
10.
Введение в
эконометрику: учебное пособие / Л.П. Яновский, А.Г. Буховец. – М.: КНОРУС,
2009. – 256 с.
11.
Луговская Л.В.
Эконометрика в вопросах и ответах: учебное пособие. – М.: ТК Велби, Изд-во
Проспект, 2006. – 208 с.
Размещено
на