Оценка критического объема продаж

  • Вид работы:
    Курсовая работа (т)
  • Предмет:
    Менеджмент
  • Язык:
    Русский
    ,
    Формат файла:
    MS Word
    40,03 Кб
  • Опубликовано:
    2014-04-16
Вы можете узнать стоимость помощи в написании студенческой работы.
Помощь в написании работы, которую точно примут!

Оценка критического объема продаж
















Оценка критического объема продаж

1.    
Критический объем продаж, запас финансовой прочности предприятия, производственный леверидж

1.1 Экономическое содержание оценки критического объема продаж и запаса финансовой прочности

Для каждого предприятия (особенно нового) чрезвычайно важно знать с какого момента оно начнет получать прибыль. Критический объем продаж - это такой выпуск продукции, при котором доходы предприятия равны его расходам.

Критический объем продаж - это минимально необходимая предприятию выручка от продаж, позволяющая в неблагоприятных условиях спроса на его продукцию (работы, услуги) обеспечить безубыточность продаж. Определение критического объема продаж имеет практическое значение в случаях, когда уровень цен на продукцию не обеспечивает предприятию получения прибыли от продаж, или когда низкий спрос на продукцию не дает возможности реализовать такое ее количество, которого было бы достаточно для превышения выручки над затратами [15, с. 96].

Безубыточный (критический) объем производства рассчитывается из уравнения (1):

Р * Q = CF + CV * Q, (1)

где Р - цена единицы продукции; Q - количество единиц произведенной (реализованной продукции); CF - постоянные издержки в затратах на единицу продукции (удельные); CV - переменные издержки в затратах на единицу продукции (удельные) [26, с. 59].

Безубыточный объем производства может быть рассчитан несколькими способами.

.        Минимальный объем выпуска в натуральном выражении (2):

Qmin=CF / (P-CV) (2)

. Минимальный объем выпуска в стоимостном выражении (3):

QP=CF / (1-CV/P), (3)* P = CF + CV * Q, (4)

где Q * P= N - выручка от реализации; CV / P - удельные переменные издержки или доля переменных издержек в цене.

. Критический объем продаж может быть рассчитан с использованием величины маржинального дохода (МД) (5):

МД = N - CV (5)

Тогда (6)

= CF / МД (6)

. Для определения влияния структурных сдвигов на критический объем производства используется следующее выражение (7):

= CF /(∑ DI * mdi)% (7)

где Di - удельный вес каждого вида продукции в общем объеме.

mdi - удельный моржинальный доход.

Маржинальный доход можно рассчитать не только на весь объем выпуска в целом, но и на единицу продукции каждого вида (удельный маржинальный доход). Экономический смысл этого показателя - прирост прибыли от выпуска каждой дополнительной единицы продукции (8):

mdi = (N-CV) / Q = P - CV, (8)

где Q - объем реализации; P - цена единицы продукции; CV - переменные затраты на единицу продукции [18, с. 263].

Если данный показатель отрицателен, это свидетельствует о том, что выручка от реализации продукта не покрывает даже переменных затрат. Каждая последующая произведенная единица данного вида продукции будет увеличивать общий убыток организации. Если возможности значительного снижения переменных затрат сильно ограничены, то менеджеру следует рассмотреть вопрос о выведении данного товара из ассортимента предлагаемой организацией продукции.

Деление затрат на постоянные и переменные, исчисление маржинального дохода позволяют определить влияние объема производства и сбыта на величину прибыли от реализации продукции, работ, услуг и тот объем продаж, начиная с которого предприятие получает прибыль. Делается это на основе анализа модели безубыточности (системы «затраты-объем производства-прибыль») [7, с. 121].

Зависимость объема выпуска и реализации продукции от соотношения издержек и цены реализации используется в обосновании плановых заданий. Если известны постоянные и переменные издержки на единицу продукции, а также сумма запланированной прибыли, то необходимый объем продаж определяется по формуле: Зависимость объема выпуска и реализации продукции от соотношения издержек и цены реализации используется в обосновании плановых заданий. Если известны постоянные и переменные издержки на единицу продукции, а также сумма запланированной прибыли, то необходимый объем продаж определяется по формуле:

Qпл= (СF+Rпл)/ (P-CV), (9)

где Rпл - плановая сумма прибыли.

Анализ точки безубыточности служит одним из важных способов решения многих проблем управления, поскольку при комбинированном применении с другими методами анализа его точность вполне достаточна для обоснования управленческих решений в реальной жизни. Насколько далеко предприятие от точки безубыточности показывает запас финансовой прочности. Это разность между фактическим объемом выпуска и объемом выпуска в точке безубыточности. Часто рассчитывают процентное отношение запаса финансовой прочности к фактическому объему. Эта величина показывает, на сколько процентов может снизиться объем реализации, чтобы предприятию удалось избежать убытка.

То есть, запас финансовой прочности показывает, на сколько можно сократить реализацию (производство) продукции, не неся при этом убытков.

Превышение реального производства над порогом рентабельности есть запас финансовой прочности фирмы:

Запас финансовой прочности = Выручка - Порог рентабельности (10)

Порог рентабельности (точка безубыточности, критическая точка, критический объем производства (реализации)) - это такой объем продаж фирмы, при котором выручка от продаж полностью покрывает все расходы на производство и реализацию продукции. Для определения этой точки независимо от применяемой методики необходимо прежде всего разделить прогнозируемые затраты на постоянные и переменные [27, с. 351].

Таким образом, максимизация прибыли путем изменения доли переменных и постоянных затрат, определения точки безубыточности и запаса финансовой прочности, открывает возможность организации планировать на перспективу размеры прироста прибыли в зависимости от хозяйственных успехов в производстве конкурентоспособной продукции и заблаговременно принимать соответствующие меры по изменению в ту или иную сторону величины переменных и постоянных затрат. Прогнозные расчеты прибыли важны не только для самих предприятий и организаций, производящих и реализующих продукцию (услуги), но и для акционеров, инвесторов, поставщиков, кредиторов, банков, связанных с деятельностью данной организации. Поэтому планирование оптимального размера прибыли является важнейшим фактором успешной деятельности предприятий и организаций в период становления рыночной экономики.

1.2 Методики для анализа критического объема продаж и запаса финансовой прочности предприятия

Маржинальный анализ (анализ безубыточности) широко применяется в странах с развитыми рыночными отношениями. Он позволяет изучить зависимость прибыли от небольшого круга наиболее важных факторов и на основе этого управлять процессом формирования ее величины.

Основные возможности маржинального анализа состоят в определении:

-   безубыточного объема продаж (порога рентабельности, окупаемости издержек) при заданных соотношениях цены, постоянных и переменных затрат;

-       зоны безопасности (безубыточности) предприятия;

-       необходимого объема продаж для получения заданной величины прибыли;

-       критического уровня постоянных затрат при заданном уровне маржинального дохода;

-       критической цены реализации при заданном объеме продаж и уровне переменных и постоянных затрат [1, c. 75].

С помощью маржинального анализа обосновываются и другие управленческие решения: выбор вариантов изменения производственной мощности, ассортимента продукции, цены на новое изделие, вариантов оборудования, технологии производства, приобретения комплектующих деталей, оценки эффективности принятия дополнительного заказа и др.

Основные этапы анализа.

. Сбор, подготовка и обработка исходной информации, необходимой для проведения анализа.

. Определение суммы постоянных и переменных издержек на производство и реализацию продукции.

. Расчет величины исследуемых показателей.

. Сравнительный анализ уровня исследуемых показателей.

. Факторный анализ изменения уровня исследуемых показателей.

. Прогнозирование их величины в изменяющейся среде [28, c. 94].

Основной категорией маржинального анализа является маржинальный доход.

Маржинальный доход (прибыль) - это разность между выручкой от реализации (без учета НДС и акцизов) и переменными затратами. Иногда маржинальный доход называют также суммой покрытия - это та часть выручки, которая остается на покрытие постоянных затрат и формирование прибыли.

Чем выше уровень маржинального дохода, тем быстрее возмещаются постоянные затраты и организация имеет возможность получать прибыль.

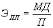
Маржинальный доход (М) рассчитывается по формуле:

= N - CV, (13)

где N - выручка от реализации;

CV - совокупные переменные затрат.

Маржинальный доход можно рассчитать не только на весь объем выпуска в целом, но и на единицу продукции каждого вида (удельный маржинальный доход). Экономический смысл этого показателя - прирост прибыли от выпуска каждой дополнительной единицы продукции:

mdi = (N-CV) / Q = P - CV, (14)

где mdi - удельный маржинальный доход; Q - объем реализации; P - цена единицы продукции; CV - переменные затраты на единицу продукции.

Деление затрат на постоянные и переменные, исчисление маржинального дохода позволяют определить влияние объема производства и сбыта на величину прибыли от реализации продукции, работ, услуг и тот объем продаж, начиная с которого предприятие получает прибыль. Делается это на основе анализа модели безубыточности (системы «затраты-объем производства - прибыль») [24, c. 46].

Точка безубыточности - это такой объем реализации, при котором полученные доходы обеспечивают возмещение всех затрат и расходов, но не дают возможности получать прибыль, иначе говоря, это нижний предельный объем выпуска продукции, при котором прибыль равна нулю. Определение цен в этом методе осуществляется на основе расчета постоянных и переменных затрат [25, c. 61].

Постоянные затраты включают издержки, которые фиксированы и не зависят от объема производства (даже при нулевом выпуске они сохраняются).

К постоянным затратам относятся:

1)    арендная плата,

2)      фиксированные коммунальные платежи,

)        патенты,

)        лицензии,

)        капитальный ремонт,

)        отдельные налоги и др. [12, c. 44].

Переменные затраты включают издержки, которые прямо пропорциональны объему производства (при нулевом производстве переменные издержки также равны нулю). К таковым относятся расход сырья и материалов, заработная плата основных рабочих и начисления на нее, текущий ремонт и др. Сумма постоянных и переменных издержек образует полные или общие затраты.

Порог рентабельности - это такая выручка о реализации, при которой предприятие уже не имеет ни убытков, но еще не получает прибыли.

Запас финансовой прочности - это сумма, на которую предприятие может себе позволить снизить выручку, не выходя из зоны прибылей [20, c. 109].

Таким образом, на практике производят более глубокую детализацию переменных затрат на группы переменных производственных, общепроизводственных, общехозяйственных и прочих расходов. Отсюда вытекает необходимость исчисления нескольких показателей маржинального дохода, из анализа которых выносится решение о том, воздействие на какие группы расходов может наиболее заметно отразиться на величине конечного финансового результата.

1.3 Сущность механизма производственного левериджа

Одним из эффективных методов управленческого учета является методика анализа соотношения «затраты - объем - прибыль» («Cost - Volume - Profit» или «CVP-анализ»), которая позволяет определить точку безубыточности (порог рентабельности), т.е. момент, начиная с которого доходы предприятия полностью покрывают его расходы. Проведение данного анализа невозможно без такого важного показателя как производственный леверижд (leverage в дословном переводе - рычаг). С его помощью можно прогнозировать изменение результата (прибыли или убытка) в зависимости от изменения выручки предприятия, а также определить точку безубыточной деятельности (порог рентабельности). Необходимым условием применения механизма производственного левериджа является использование маржинального метода, основанного на подразделении затрат предприятия на постоянные и переменные. Как известно, постоянные затраты не зависят от объема производства, а переменные - изменяются с ростом (снижением) объема выпуска и продаж. Чем ниже удельный вес постоянных затрат в общей сумме затрат предприятия, тем в большей степени изменяется величина прибыли по отношению к темпам изменения выручки предприятия [19, c. 59].

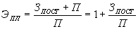
Производственный леверидж определяется с помощью следующей формулы:

 (19)

либо,  (20)

где ЭПЛ - эффект производственного левериджа;

МД - маржинальный доход;

Зпост - постоянные затраты;

П - прибыль.

Найденное с помощью формулы 1 значение эффекта производственного левериджа в дальнейшем используется для прогнозирования изменения прибыли в зависимости от изменения выручки предприятия. Для этого используют следующую формулу:

 (21)

где DП - изменение прибыли, в%;В - изменение выручки, в% [13, c. 37].

Таким образом, производственный леверидж является показателем, помогающим менеджерам выбрать оптимальную стратегию предприятия в управлении затратами и прибылью. Величина производственного левериджа может изменяться под влиянием: цены и объема продаж; переменных и постоянных затрат и комбинации любых перечисленных факторов.

2.   
Анализ экономических показателей деятельности предприятия ООО «Прайс-Универсал»

2.1 Краткая характеристика предприятия ООО «Прайс-Универсал»

Общество с ограниченной ответственностью «Прайс-Универсал» расположено по адресу г. Набережные Челны, пос. ГЭС, Б-р Корчагина, д. 11, офис 55.

Основными видами деятельности ООО «Прайс-Универсал» являются:

1)  производство и продажа готовой продукции из ПВХ (окна, двери, лоджии);

2)      доставка и монтаж продукции из ПВХ;

)        внутренняя и внешняя отделка оконных и дверных проемов после установки;

)        оказание услуг по замеру оконных и дверных проемов.

Высокий уровень качества продукции предприятия обеспечивается:

-   применением ПВХ - профиля фирмы Rehau. Четырехкамерная и пятикамерная профильные системы обеспечивают высокое приведенное сопротивление теплопередачи.

-       четко отлаженным современным производством, укомплектованным высокоточным оборудованием лучших европейских производителей. Строгим соблюдением технологических норм и контролем качества.

Компания ООО «Прайс-Универсал» - это:

-   возможность выбора из тщательно отобранных высококачественных профильных систем;

-   экологически чистая технология изготовления пластиковых окон без свинца;

-       регулярный технологический контроль за изготовлением окон из ПВХ и расширение ассортиментного перечня комплектующих для пластиковых окон;

-       система контроля качества на каждом этапе производства;

-       гарантийное сервисное обслуживание пластиковых окон в течение года;

-       активные и компетентные сотрудники по установке пластиковых окон, остеклению балконов и остеклению лоджий.

Конструктивные возможности представленных профильных систем практически не ограничены, что позволяет претворять в жизнь любые дизайнерские и цветовые решения. Это важно для жителей нестандартных серий домов и коттеджных поселков.

Миссия Компании состоит в том, чтобы создавать и поставлять качественные продукцию и услуги на рынке светопрозрачных конструкций, которые помогут создать уют в мире людей, а также будут обеспечивать создание благоприятной атмосферы в быту каждого человека.

. Обеспечение гарантий того, что поставляемая продукция не отнимает сил, ресурсов и времени в процессе всего срока её эксплуатации; является качественной и надежной, удобной и простой в использовании.

. Обеспечение гарантий того, что предлагаемый Компанией сервис будет оцениваться потребителями как высочайший и профессиональный, а также будет являться основой для постоянного повышения эффективности работы.

. Достижение максимально эффективного уровня сотрудничества с внешними (клиенты, партнеры) и внутренними заказчиками; объединение их ресурсов и талантов, обеспечивающее развитие Компании, создание и сохранение рабочих мест; а также, устойчивый рост потребительского спроса на рынке светопрозрачных конструкций, позволяющий Компании в долгосрочной перспективе сохранять лидирующие позиции.

На предприятии существует линейная система управления. Это означает непосредственное подчинение руководителю коллектива всех работников участков. В этом случае система звеньев управления, в общем, совпадает с системой звеньев процесса производства.

Линейная система обеспечивает четкое формулирование задач (выдачу заданий), полную ответственность работников за результаты работы. Но вместе с тем ограничивает возможности использования компетентных специалистов в ходе осуществления управления отдельными участками.

Структура предприятия представлена на рисунке 2.1.1.

Рис. 2.1.1. Организационная структура управления ООО «Прайс-Универсал»

Анализируя основные экономические показатели ООО «Прайс-Универсал» за 2009-2011 гг., можно сделать вывод, что на предприятии наблюдалась тенденция уменьшения выручки от реализации продукции, которая началась в 2010 году, что составило 1339,00 тыс. руб. в абсолютном и 83,34% в относительном выражении.

На протяжении трехлетнего периода тенденция изменения себестоимости реализованной продукции происходила аналогично изменениям выручки от реализации.

Таблица 2.1.1. Основные технико-экономические показатели ООО «Прайс-Универсал» за 2009-2011 гг. в тыс. руб.

Наименование показателя

2009 г.

2010 г.

2011 г.



Значение

Абсолют. изменение

Темп роста, %

Значение

Абсолют. Изменение

Темп роста, %

1

2

3

4

5

6

7

8

Выручка от реализации, тыс. руб.

8038,00

-1339,00

83,34

5966,00

-733,00

89,06

Себестоимость реализованной продукции, тыс. руб.

1875,00

1497,00

-378

79,84

1008,00

-489,00

67,33

Прибыль от реализации, тыс. руб.

6163,00

5202,00

-961,00

84,41

4958,00

-244,00

95,31

Чистая прибыль, тыс. руб.

3638,00

-624,00

-4262,00

17,15

2509,00

3133,00

402,08

Среднегодовая стоимость основных средств, тыс. руб.

65,00

9582,00

9517,00

14741,54

10588,00

1071,00

110,50

Фондоотдача, руб./ руб.

123,66

0,69

-122,97

0,56

0,56

0,13

81,16

Фондоемкость, руб./ руб.

0,008

1,43

1,422

17875,00

1,77

0,34

123,78

Фондовооруженность, тыс. руб./чел.

8,125

1197,75

1189,63

14741,54

1323,50

125,75

110,50

Среднегодовая стоимость оборотных средств, тыс. руб.

12450,00

5619,00

-6831,00

45,13

6673,00

1054,00

118,76

Коэффициент оборачиваемости оборотных средств, в оборотах

1,19

0,55

185,94

0,89

-0,30

74,79

Фонд оплаты труда, тыс. руб.

80,00

91,00

11,00

113,75

95,00

4,00

104,40

Средняя заработная плата, тыс. руб.

10,00

11,88

1,88

118,80

11,88

0,00

100,00

Средняя численность работников, чел.

8

8

0

100,00

8

0

100,00

Рентабельность продаж, %

0,77

0,78

0,01

101,30

0,83

0,05

106,41

Экономическая рентабельность (активов), %

0,24

-0,04

-0,28

16,67

0,15

0,19

375,00


В 2010 г. себестоимость предприятия уменьшилась на 378,00 тыс. руб. по сравнению с 2009 г., а в 2010 г. наблюдается ее уменьшение на 489 тыс. руб. к 2010 г. При этом темпы роста себестоимости в 2010 г. относительно 2009 г. (79,84%) не превышают темпы роста выручки от реализации продукции (83,34%), а в 2011 г. относительно 2010 г. темп роста выручки составляет 89,06%, а темп роста себестоимости - 67,33%. При этом происходит значительное уменьшение прибыли от реализации продукции в 2010 г. на 961 тыс. руб. или на 84,41% по сравнению с 2009 г., а в 2011 г. сравнительно с 2010 г. наблюдается уменьшение суммы прибыли от реализации на 244,00 тыс. руб., что является отрицательной тенденцией.

В 2010 г. чистая прибыль предприятия уменьшается на 4262 тыс. руб. или на 17,15% по отношению к 2009 г.

В 2011 г. по сравнению с 2010 г. ее величина увеличилась еще на 3133 тыс. руб. из-за роста прибыли от реализации продукции за счет снижения прочих расходов общества почти в 20 раз.

Стоимость основных средств на предприятии в 2010 г. увеличилась на 14741,54% относительно 2009 г. или на 9517 тыс. руб. В 2011 г. их стоимость увеличилась еще на 1071 тыс. руб. относительно 2010 г., что составило 110,50% темпов роста.

Рост стоимости обусловлен приобретением предприятием новых объектов основных средств. Соответственно, показатель фондовооруженности предприятия неуклонно возрастает, причем показатели изменяются аналогично.

Показатель фондоотдачи уменьшился в 2010 г. по сравнению с 2009 г. на 99,44%, но в 2011 г. по сравнению с 2010 г. он снижается, темпы снижения в пять ниже. В итоге относительный рост составил 81,16%.

Уровень фондоемкости повысился с 0,008 руб./руб. до 1,43 руб./руб., темп роста составил 17875%. В 2011 году значение показателя стабилизировалось и составило 1,77 руб./руб. Отсюда следует, что на предприятии наблюдается достаточно эффективное использование основных средств, следовательно, наметилась благоприятная тенденция повышения эффективности.

Наблюдается рост оборотных средств предприятия. В 2010 г. в обществе уменьшилась стоимость оборотных средств на 6831 тыс. руб. или на 45,13% по сравнению с 2009 г. В 2011 г. их стоимость возросла на 1054 тыс. руб. или на 18,76% относительно 2010 г. Увеличение оборотных средств происходит в основном за счет увеличения краткосрочных финансовых вложений и материальных ценностей.

Коэффициент оборачиваемости оборотных средств в 2010 г. относительно 2009 г. вырос на 0,55, что составило 185,94%, но в 2011 г. относительно 2010 г. снизился на 0,30, т.е. 74,79%. Это свидетельствует о наметившейся тенденции замедления оборачиваемости оборотных средств и некотором снижении эффективности их использования на предприятии.

Наблюдается рост фонда оплаты труда в обществе за счет стабильной численности работников, которая не изменялась на протяжении трех лет. В 2010 г. он возрос на 11 тыс. руб. При этом среднемесячная заработная плата на одного работника постоянно увеличивается: в 2010 г. ее рост составил 1,88 тыс. руб. относительно 2009 г., в 2011 г. она осталась неизменной относительно 2010 г.

Таким образом, трудовые ресурсы в изучаемый период использовались в ООО «Прайс-Универсал» достаточно эффективно. Уровень рентабельности производства и экономической рентабельности предприятия в отчетном периоде возрастал за счет увеличения чистой прибыли. Анализ показал, что деятельность ООО «Прайс-Универсал» успешна на протяжении отчетного периода, так как на предприятии произошло снижение себестоимости и прочих расходов, рост показателя фондовооруженности за счет ввода в эксплуатацию новых основных средств, рост рентабельности продаж и экономической рентабельности предприятия.

2.2 Анализ точки безубыточности, запаса финансовой прочности и производственного левериджа

При управлении постоянными затратами следует иметь в виду, что высокий их уровень в значительной мере определяется отраслевыми особенностями деятельности, определяющими различный уровень фондоемкости производимой продукции, дифференциацию уровня механизации и автоматизации труда.

Кроме того, следует отметить, что постоянные затраты в меньшей степени поддаются быстрому изменению, поэтому предприятия, имеющие высокое значение производственного левериджа, теряют гибкость в управлении своими затратами.

Исходные данные по предприятию ООО «Прайс-Универсал» для расчета критического объема реализации и запаса финансовой прочности, сформированных на основании таблиц приведенных выше представлены в таблице 2.2.1.

Таблица 2.2.1. Исходные данные для расчета КОР, ПР, ЗФП и МБ

Показатель

Ед. изм.

Значение показателя

1.

Цена стеклопакета

тыс. руб./ шт.

7,2

Объем реализации

шт.

250

3.

Выручка от реализации

тыс. руб.

1800

4.

Полная себестоимость за расчетный период (1 квартал)

тыс. руб.

1500

4.1.

Переменные затраты

тыс. руб.

1085

4.2.

Постоянные затраты

тыс. руб.

415

5.

Переменные расходы приходящиеся на 1 изделие

тыс. руб.

4,34


Данные расчета КОР, ПР, ЗФП и МБ по изделиям сведены в таблицу 2.2.2.

Таблица 2.2.2. Значение показателей КОР, ПР, ЗФП и МБ для стеклопакетов

Показатель

Ед. изм.

Значение показателя

1.

Критический объем реализации (КОР)

шт.

145

2.

Порог рентабельности (ПР)

тыс. руб.

1044

3.

Запас финансовой прочности (ЗПФ)

тыс. руб.

715

4.

Маржа безопасности (МБ)

шт.

105


Приведем расчет точек безубыточности для стеклопакетов.

КОР = 415 тыс. руб./ (7,2 - 4,34) тыс. руб./шт. = 145 шт.

ПР = 145 шт. * 7,2 тыс. руб./шт. = 1044 тыс. руб.

ЗФП = 1800 тыс. руб. - 1085 тыс. руб. = 715 тыс. руб.

МБ = 250 шт. - 145 шт. = 105 шт.

Таким образом, при объеме реализации стеклопакетов 145 шт. и выручке соответственно 1044 тыс. руб., предприятие ООО «Прайс-Универсал» возмещает все расходы полученными доходами, при этом прибыль предприятия равна нулю, а запас финансовой прочности для стеклопакета при этом составит 715 тыс. руб.

Предприятие ООО «Прайс-Универсал» производит и реализует один товар - стеклопакеты из ПВХ. Ниже приведены данные, характеризующие его деятельность (см. табл. 2.2.3):

Таблица 2.2.3. Исходные данные для расчета производственного левериджа

1. Сумма продаж (выручка)

1800

2. Переменные затраты

1085

3. Маржинальный доход (п. 1 - п. 2)

715

4. Постоянные затраты

415

5. Прибыль (п. 3 - п. 4)

300

6. Объем реализованного товара, шт.

250

7. Цена за единицу товара, руб.

7200

8. Эффект производственного левериджа (п. 3 : п. 5)

2,384


Используя механизм производственного левериджа, спрогнозируем изменение прибыли предприятия ООО «Прайс-Универсал» в зависимости от изменения выручки, а также определим точку безубыточной деятельности. Для данного предприятия эффект производственного левериджа составляет 2,384 единиц (715/300). Это означает, что при снижении выручки предприятия на 1%, прибыль сократится на 2,384%, а при снижении выручки на 41,95% предприятие достигнет порога рентабельности, т.е. прибыль станет нулевой. Предположим, что выручка сократится на 10% и составит 1620 тыс. руб. (1800-1800 * 10: 100). В этих условиях прибыль предприятия сократится на 23,84% и составит 228,48 тыс. руб. (300 - 300*23,84: 100).

Рассмотрим влияние каждого фактора на эффект производственного левериджа на основе вышеприведенного примера.

Снижение переменных затрат на 10% (с 1085 тыс. руб. до 976,5 тыс. руб.) приведет к увеличению маржинального дохода до 823,5 тыс. руб. (1800 - 976,5) и прибыли до 408,5 тыс. руб. (823,5 - 415). В результате этого точка безубыточности (порог рентабельности) увеличится до 906,11 тыс. руб. [415: (823,5: 1800)], что в натуральном выражении составит 1136 шт. (906,11: 2,5 тыс. руб.). Как следствие, запас прочности предприятия составит 2159,1 тыс. руб. (1800 - 906,11) или 864 шт. (2159,1 тыс. руб.: 2,5 тыс. руб.). В этих условиях эффект производственного левериджа на предприятии снизится до 2,016 единиц (823,5: 408,5).

При снижении постоянных затрат на 10% (с 415 тыс. руб. до 373,5 тыс. руб.) прибыль предприятия уменьшится до 235 тыс. руб. (1800-1085 - 480) или на 21,66%. В этих условиях точка безубыточности в денежном выражении составит 1206,03 тыс. руб. [480: (715: 1800)], а в натуральном выражении - 167 шт. (1206,03: 7,2). При этом запас прочности предприятия будет соответствовать 593,97 тыс. руб. (1800-1206,03) или 82 шт. (593,97: 7,2). Как следствие, в результате снижения постоянных затрат на 10% эффект производственного левериджа составит 4 единиц (715: 180) и по сравнению с первоначальным уровнем увеличится на 1,62 единицы (2,38 - 4).

Таким образом, производственный леверидж является показателем, помогающим менеджерам выбрать оптимальную стратегию предприятия в управлении затратами и прибылью. Величина производственного левериджа может изменяться под влиянием: цены и объема продаж; переменных и постоянных затрат и комбинации любых перечисленных факторов. Анализ приведенных расчетов позволяет сделать вывод о том, что в основе изменения эффекта производственного левериджа лежит изменение удельного веса постоянных затрат в общей сумме затрат предприятия.

3.     
Рекомендации по совершенствованию процесса принятия решений по управлению финансами

При выборе оптимальной стратегии управления финансами, менеджеру необходимо иметь в виду, что чувствительность прибыли к изменению объема продаж может быть неоднозначной на предприятиях, имеющих различное соотношение постоянных и переменных затрат. Чем ниже удельный вес постоянных затрат в общей сумме затрат предприятия, тем в большей степени изменяется величина прибыли по отношению к темпам изменения выручки предприятия.

Для предприятий, стремящихся к повышению эффективности хозяйственной деятельности, необходимо разработать действенную стратегию и соответствующие ей инструменты обоснования управленческих решений по оптимальному сочетанию прибыли, себестоимости и объема производства выпускаемой продукции (выполнения работ или оказания услуг). Главной целью коммерческого предприятия, работающего в рыночных условиях, является получение максимально возможной величины прибыли. Однако добиться этого можно на основе разумного сочетания объема продаж и цены реализации выпускаемой продукции (работы, услуги).

Экономической наукой разработаны в рамках маркетингового анализа достаточно надежные требования к обоснованию управленческих решений, направленных на достижение максимально возможной величины прибыли. Главным условием применения этих подходов является предварительное деление затрат на постоянные и переменные. Чтобы обосновать управленческое решение по реализации конкретных мероприятий, необходимо:

-   учесть ограничения, обусловленные производственной мощностью предприятия, обеспеченностью оборотными средствами, трудовыми ресурсами, а также учесть потребности рынка в каждом товаре, с учетом этих ограничений производить корректировку планов, заключать договоры с поставщиками материальных, технических и энергетических ресурсов, а также формировать портфель заказов на выпускаемую продукцию;

-       оценить, как изменится ситуация на рынке при увеличении выпуска одних товаров и снижении производства других; составить прогноз на то, как будут реагировать конкретные заказчики (потребители) на изменения в ассортименте и объеме выпускаемой продукции;

-       провести экономический анализ по изменению прибыли и себестоимости продукции и объему продаж в случае возможного снижения цен при одновременном увеличении выпуска продукции;

-       обосновать целесообразность максимально возможного увеличения выпуска изделий, имеющих высокую рентабельность и обеспечивающих большой вклад в формирование прибыли предприятия;

-       разработать наиболее обоснованный метод распределения косвенных расходов и постоянных затрат предприятия между отдельными видами продукции при, многономенклатурном производстве;

-       провести детальную классификацию затрат на переменные и постоянные с последующим распределением постоянных затрат по видам продукции и по центрам ответственности за затраты.

Классификация затрат на постоянные и переменные и их распределение по видам продукции дают возможность проводить анализ безубыточности как отдельных продуктов, так и всего ассортимента, выпускаемой предприятием продукции. На основе экономического анализа в конечном итоге разрабатываются управленческие решения, направленные на увеличение прибыли предприятия. Наряду с этими требованиями следует более полно использовать экономический анализ в целях определения вклада отдельных видов продукции в получение прибыли, маржинального дохода и покрытие постоянных затрат. Для сравнения и оценки вклада отдельных продуктов в возмещение постоянных затрат следует рассчитывать коэффициент вклада в покрытие постоянных затрат и коэффициент вклада в получение прибыли.

Необходимо проводить анализ возможности получения максимума прибыли с точки зрения спроса на продукцию, а оценку получаемой прибыли с точки зрения безубыточности. Решение задачи максимизации прибыли состоит в обосновании равновесия между спросом и предложением, а также в нахождении цен реализации, в максимальной степени соответствующих спросу покупателей и интересам предприятия в получении максимально возможной прибыли.

Круг вопросов обоснования управленческих решений, которые можно решать с помощью системы «директ-костинг» и маржинального анализа, включает также проблемы обоснования ряда управленческих решений, среди которых можно выделить:

-   обоснование принятия заказа по ценам ниже рыночных;

-       обоснование принятия решения о снижении цен при увеличении объемов сбыта продукции;

-       решение задачи «производить или покупать детали, полуфабрикаты»;

-       выбор варианта капитальных вложений;

-       определение минимальной величины заказа.

Проведение расчетов по методике маржинального анализа требует соблюдения ряда условий:

-   необходимость деления издержек на две части - переменные и постоянные;

-       переменные издержки изменяются пропорционально объему производства (реализации) продукции;

-       постоянные издержки не изменяются в пределах релевантного (значимого) объема производства (реализации) продукции, т.е. в диапазоне деловой активности предприятия, который установлен исходя из производственной мощности предприятия и спроса на продукцию.

Модель безубыточности опирается на ряд исходных предположений:

-     поведение затрат и выручки можно описать линейной функцией одной переменной - объема выпуска;

-       переменные затраты и цены остаются неизменными в течение всего планового периода;

-       структура продукции не изменяется в течение планируемого периода;

-       поведение постоянных и переменных затрат может быть точно измерено;

-       на конец анализируемого периода у предприятия не остается запасов готовой продукции (или они несущественны), т.е. объем продаж соответствует объему производства.

Следует отметить, что в конкретных ситуациях проявление механизма производственного левериджа имеет ряд особенностей, которые необходимо учитывать в процессе его использования. Эти особенности состоят в следующем:

. Положительное воздействие производственного левериджа начинает проявляться лишь после того, как предприятие преодолело точку безубыточной своей деятельности.

Для того, чтобы положительный эффект производственного левериджа начал проявляться, предприятие в начале должно получить достаточной размер маржинального дохода, чтобы покрыть свои постоянные затраты. Это связано с тем, что предприятие обязано возмещать свои постоянные затраты независимо от конкретного объема продаж, поэтому чем выше сумма постоянных затрат, тем позже при прочих равных условиях оно достигнет точки безубыточности своей деятельности. В связи с этим, пока предприятие не обеспечило безубыточность своей деятельности, высокий уровень постоянных затрат будет являться дополнительным «грузом» на пути к достижению точки безубыточности.

2.  Между производственным левериджем и прибылью предприятия существует обратная зависимость. Чем выше прибыль предприятия, тем ниже эффект производственного левериджа и наоборот. Это позволяет сделать вывод о том, что производственный леверидж является инструментом, уравнивающим соотношение уровня доходности и уровня риска в процессе осуществления производственной деятельности.

3.      По мере дальнейшего увеличения объема продаж и удаления от точки безубыточности эффект производственного левериджа начинает снижаться. Каждый последующий процент прироста объема продаж будет приводить к все большему темпу прироста суммы прибыли.

.        Механизм производственного левериджа имеет и обратную направленность - при любом снижении объема продаж в еще большей степени будет уменьшаться размер прибыли предприятия.

.        Эффект производственного левериджа проявляется только в коротком периоде. Это определяется тем, что постоянные затраты предприятия остаются неизменными лишь на протяжении короткого отрезка времени. Как только в процессе увеличения объема продаж происходит очередной скачок суммы постоянных затрат, предприятию необходимо преодолевать новую точку безубыточности или приспосабливать к ней свою производственную деятельность. Иными словами, после такого скачка эффект производственного левериджа проявляется в новых условиях хозяйствования по-новому.

Понимание механизма проявления производственного левериджа позволяет целенаправленно управлять соотношением постоянных и переменных затрат в целях повышения эффективности производственно-хозяйственной деятельности при различных тенденциях конъюнктуры товарного рынка и стадии жизненного цикла предприятия.

При неблагоприятной конъюнктуре товарного рынка, определяющей возможное снижение объема продаж, а также на ранних стадиях жизненного цикла предприятия, когда им еще не преодолена точка безубыточности, необходимо принимать меры к снижению постоянных затрат предприятия. И наоборот, при благоприятной конъюнктуре товарного рынка и наличии определенного запаса прочности, требования к осуществлению режима экономии постоянных затрат могут быть существенно ослаблены. В такие периоды предприятие может значительно расширять объем реальных инвестиций, проводя реконструкцию и модернизацию основных производственных фондов.

При управлении постоянными затратами следует иметь в виду, что высокий их уровень в значительной мере определяется отраслевыми особенностями деятельности, определяющими различный уровень фондоемкости производимой продукции, дифференциацию уровня механизации и автоматизации труда. Кроме того, следует отметить, что постоянные затраты в меньшей степени поддаются быстрому изменению, поэтому предприятия, имеющие высокое значение производственного левериджа, теряют гибкость в управлении своими затратами.

При управлении переменными затратами основным ориентиром должно быть обеспечение постоянной их экономии, так как между суммой этих затрат и объемом производства и продаж существует прямая зависимость. Обеспечение этой экономии до преодоления предприятием точки безубыточности ведет к росту маржинального дохода, что позволяет быстрей преодолеть эту точку. После преодоления точки безубыточности сумма экономии переменных затрат будет обеспечивать прямой прирост прибыли предприятия. К числу основных резервов экономии переменных затрат можно отнести: снижение численности работников основного и вспомогательных производств за счет обеспечения роста производительности их труда; сокращение размеров запасов сырья, материалов и готовой продукции в периоды неблагоприятной конъюнктуры товарного рынка; обеспечение выгодных для предприятия условий поставки сырья и материалов и другие.

Таким образом, использование механизма производственного левериджа, целенаправленное управление постоянными и переменными затратами, оперативное изменение их соотношения при меняющихся условиях хозяйствования позволит увеличить потенциал формирования прибыли предприятия.

Заключение

В первой главе курсовой работы была изучена сущность критического объема продаж, запаса финансовой прочности предприятия, производственного левериджа.

Критический объем продаж - это минимально необходимая предприятию выручка от продаж, позволяющая в неблагоприятных условиях спроса на его продукцию (работы, услуги) обеспечить безубыточность продаж.

Точка безубыточности - это такой объем реализации, при котором полученные доходы обеспечивают возмещение всех затрат и расходов, но не дают возможности получать прибыль, иначе говоря, это нижний предельный объем выпуска продукции, при котором прибыль равна нулю. Определение цен в этом методе осуществляется на основе расчета постоянных и переменных затрат.

Запас финансовой прочности - это сумма, на которую предприятие может себе позволить снизить выручку, не выходя из зоны прибылей.

При обнаружении прироста запасов предприятия в отчетном периоде можно делать вывод о его влиянии на величину финансового результата и уровень финансовой устойчивости. Поэтому для того, чтобы достоверно измерить величину запаса финансовой прочности, необходимо произвести коррекцию показателя выручки от реализации на сумму прироста товарно-материальных запасов предприятия за отчетный период. Запас финансовой прочности, рассчитанный и откорректированный, является важным комплексным показателем финансовой устойчивости предприятия, который необходимо использовать при прогнозировании и обеспечении комплексной финансовой устойчивости предприятия.

Производственный леверидж - показатель, помогающий менеджерам выбрать оптимальную стратегию предприятия в управлении затратами и прибылью. Понимание механизма проявления производственного левериджа позволяет целенаправленно управлять соотношением постоянных и переменных затрат в целях повышения эффективности производственно-хозяйственной деятельности при различных тенденциях конъюнктуры товарного рынка и стадии жизненного цикла предприятия.

Величина производственного левериджа может изменяться под влиянием: цены и объема продаж; переменных и постоянных затрат и комбинации любых перечисленных факторов.

Необходимым условием применения механизма производственного левериджа является использование маржинального метода, основанного на подразделении затрат предприятия на постоянные и переменные.

Классификация затрат на постоянные и переменные и их распределение по видам продукции дают возможность проводить анализ безубыточности как отдельных продуктов, так и всего ассортимента, выпускаемой предприятием продукции. На основе экономического анализа в конечном итоге разрабатываются управленческие решения, направленные на увеличение прибыли предприятия. Наряду с этими требованиями следует более полно использовать экономический анализ в целях определения вклада отдельных видов продукции в получение прибыли, маржинального дохода и покрытие постоянных затрат. Для сравнения и оценки вклада отдельных продуктов в возмещение постоянных затрат следует рассчитывать коэффициент вклада в покрытие постоянных затрат и коэффициент вклада в получение прибыли.

Чем больше разность между фактическим объемом производства и критическим, тем выше «финансовая прочность» предприятия, а, следовательно, и его финансовая устойчивость. Предприятие с малой долей постоянных расходов может производить относительно меньше продукции, чем предприятие с большей долей постоянных расходов, чтобы обеспечить безубыточность и безопасность своего производства. При объеме реализации стеклопакетов 145 шт. и выручке соответственно 1044 тыс. руб., предприятие ООО «Прайс-Универсал» возмещает все расходы полученными доходами, при этом прибыль предприятия равна нулю, а запас финансовой прочности для стеклопакета при этом составит 715 тыс. руб.

рентабельность леверидж безубыточность продажа

Список литературы

1.      Анализ финансово-хозяйственной деятельности: Учебник. 5-е изд., доп. и перераб. / Л.Н. Чечевицына. - М.: Феникс, 2010. - 378 с.

2.      Анализ финансово-хозяйственной деятельности: Учебник. 8-е изд., перераб. и доп. / Чуева Л.Н., Чуев И.Н. - М.: Издательский дом «Дашков и К», 2012. - 348 с.

.        Афанасьева Л.П. Экономика предприятия (фирмы). Практикум. - М.: Инфра-М, 2012. - 319 с.

.        Балабанов И.Т. Финансовый менеджмент: теория и практика: Учебник / И.Т. Балабанов, Т.Б. Крылова. М.: Перспектива, 2010. - 656 с.

5.      Басовский Л.Е. Теория экономического анализа: Учебное пособие. М.: Инфра-М, 2010. - 222 с.

6.      Бердникова Т.Б. Анализ и диагностика финансово-хозяйственной деятельности предприятия: Учебное пособие. - М.: Инфра-М, 2011. - 224 с.

7.      Бланк И.А. Управление финансовыми ресурсами. - М.: Эльга, 2011. - 768 с.

.        Бунина Е.М. Оценка финансового состояния предприятия. // Финансы. - №4, 2010. - С. 15-19.

9.      Бухгалтерский финансовый учет. Практикум: Учеб. пособие для вузов / Под ред. Ю.А. Бабаев. - 2-e изд., перераб. и доп. - М.: Вузовский учебник, 2012. - 496 с.

.        Вахрушина М.А. Анализ финансовой отчетности. - М.: Инфра-М, 2011. - 431 с.

.        Гинзбург А.И. Экономический анализ. - С.-Пб.: Питер, 2011. - 448 с.

.        Ефимова О.В. Финансовый анализ. Современный инструментарий для принятия экономических решений. - М.: Омега-Л, 2012. - 349 с.

.        Жилкина А.Н. Управление финансами. Финансовый анализ предприятия: Учебник. изд. - М.: Инфра-М, 2012. - 332 с.

.        Игонина Л.Л. Инвестиции. - М.: Магистр, 2011. - 749 с.

.        Ковалев В.В. Финансовый менеджмент в вопросах и ответах. Учебное пособие. - М.: Проспект, 2011. - 304 с.

.        Ковалев В.В. Анализ хозяйственной деятельности предприятия / В.В. Ковалев, О.Н. Волкова. - М.: Проспект, 2010. - 424 с.

.        Комплексный экономический анализ хозяйственной деятельности: Учебник для вузов / Д.В. Лысенко. - М.: Инфра-М, 2012. - 320 с.

19.    Литовченко В.П. Финансовый анализ. - М.: Издательский дом «Дашков и К», 2012. - 216 с.

20.    Макарова С.Г. Корпоративные финансы. Учебное пособие / С.Г. Макарова, И.В. Никитушкина, С.С. Студникова. - М.: ЭКСМО, 2010. - 575 с.

21.    Найденова Р.И. Финансовый менеджмент. - М.:КноРус, 2011. - 208 с.

.        Основы финансовых расчетов. Учебное пособие / А.А. Климов. - М.: Дело, 2011. - 168 с.

.        Поляк Г.Б. Финансы. - М.: Юнити-Дана, 2011. - 735 с.

24.    Савицкая Г.В. Анализ хозяйственной деятельности предприятия: Учебник. М.: Инфра - М, 2011. - 536 с.

25.    Тютюкина Е.Б. Финансы организаций (предприятий). Учебник. - М.: Издательский дом «Дашков и К», 2012. - 544 с.

26.    Управление финансами. Финансы предприятий: Учебник / А.А. Володин, Н.Ф. Самсонов, Л.А. Бурмистрова. - М.: Инфра-М, 2012. - 510 с.

Похожие работы на - Оценка критического объема продаж

 

Не нашли материал для своей работы?
Поможем написать уникальную работу
Без плагиата!
Без нейросетей!