Статистический анализ безработицы в Российской Федерации
Национальный
исследовательский университет
Высшая школа
экономики
Отделение
статистики, анализа данных и демографии факультета экономики
Профиль
специальных дисциплин «Статистика и анализ данных»
Кафедра
статистических методов
БАКАЛАВРСКАЯ РАБОТА
«Статистический анализ безработицы в
Российской Федерации»
Выполнила
Студентка
группы № 41С
Пашкова А.И.
Научный
руководитель
доцент,
Родионова Л.А.
Москва 2013
Оглавление
Введение
Глава 1. Безработица как объект статистического наблюдения
.1 Актуальность изучаемой проблемы
.2 Основные понятия статистики труда и безработицы
.3 Виды безработицы согласно экономической теории
.4 Источники статистических данных о безработице
.5 Теоретические и эмпирические подходы к изучению проблем
безработицы
Глава 2. Общая характеристика проблемы безработицы в России
.1 Уровень безработицы в Российской Федерации
.2 Структура безработных по полу, возрасту и образованию в
России
Глава 3. Статистический анализ безработицы в Российской
Федерации
.1 Факторы, оказывающие влияние на уровень безработицы в
России
.1.1 Корреляционно-регрессионный анализ
.1.2 Компонентный анализ
.2 Анализ динамики уровня безработицы в России
Заключение
Список литературы
Приложение
Введение
В течение последних нескольких лет всё чаще можно слышать с экранов
телевизоров обсуждения, касающиеся критического уровня в развитых и
развивающихся странах такого ключевого показателя, как уровень безработицы.
Ведутся активные дискуссии, проходят массовые демонстрации, принимаются новые
законы, вводятся и реализуются различные программы, касающиеся этой области.
Однако в России в настоящее время наблюдаются совершенно иные тенденции:
уровень безработицы в стране в среднем снижается от года к году, а в декабре
2012 года достиг своего наименьшего значения.
Для того чтобы понять настоящую ситуацию в этой сфере, а также оценить
результаты государственных программ и провести эффективную политику, необходим
ежегодный мониторинг ситуации. Но простого сбора данных недостаточно. Нужен их
анализ, установление различных взаимосвязей и выявление факторов, влияющих на
те или иные показатели.
В связи с этим, в представленной работе были определены следующие цель и
задачи:
Целью исследования является статистический анализ безработицы в
Российской Федерации. В соответствии с целью поставлены конкретные задачи:
· проанализировать особенности безработицы как объекта
статистического наблюдения;
· дать общую характеристику ситуации в России на настоящее
время;
· рассмотреть структуру безработных по различным
социально-демографическим факторам;
· исследовать влияние различных социально-экономических и
демографических факторов на уровень безработицы;
· проанализировать динамику уровня безработицы в Российской
Федерации в посткризисный период (январь 2009 - март 2013);
· построить прогноз уровня безработицы в России на конец весны
2013 года;
· предоставить рекомендации относительно государственной
политики, направленной на стабилизацию уровня безработицы в Российской
Федерации.
Объектом исследования является уровень безработицы в Российской
Федерации.
Предметом исследования являются различные социально-экономические
показатели регионов и динамика уровня безработицы в России.
Методическую базу составили дисперсионный, корреляционно-регрессионный и
компонентный анализы, анализ временных рядов, а также табличные и графические
методы представления информации. Данные обрабатывались с помощью статистических
пакетов анализа SPSS, STATA
и встроенного пакета анализа в Excel.
Информационную
базу составили официальные данные статистического ежегодника «Регионы России.
Социально-экономические показатели
<#"709078.files/image001.gif">
Рис.
1. Уровень безработицы в России (%) с января 1994 по март 2013
По графику видно, что наибольший пик безработицы приходится на февраль
1999 года, где его значение достигло 14,6%. Скорее всего это связано с
имеющимся в то время кризисом в стране. Затем наблюдается спад до января 2003
года (показатель составил 6,14%), после чего вновь наблюдается резкий скачек
вверх. Точно сказать нельзя, с чем это было связано, однако можно предположить,
что на увеличение данного показателя повлияли проводящиеся в это время
многочисленные социальные реформы. В период с апреля 2003 по сентябрь 2008
наблюдается достаточно нестабильное поведение уровня безработицы, хотя можно
выдвинуть предположение о нисходящем тренде в течение обозначенного периода. В
третьем квартале 2008 года снова наблюдается увеличение показателя, причем
гораздо сильнее, чем в 2003 году. Данное явление вероятнее всего связано с уже
описанным выше мировым финансовым кризисом. Так, в апреле 2009 года уровень
безработицы достиг 10,2%, после чего начал постепенно снижаться до декабря 2012
года, когда достиг свое минимальное значение, равное 4 процентным пунктам.
Далее, в январе 2013 года показатель подскочил на несколько процентов вверх и
затем начал опять снижаться. Надо заметить, что всплеск безработицы довольно
часто наблюдается в первом квартале, что можно связать с сезонной особенностью.
2.2 Структура безработных по полу, возрасту и образованию в России
Федеральная Служба Государственной Статистики также публикует данные о
составе безработных по таким социально-демографическим признакам, как возраст,
пол и уровень образования. Рассмотрим далее структуру безработных по
перечисленным показателям и сравним значения по федеральным округам, входящим в
состав Российской Федерации.
Начнем с анализа состава безработных по полу в 2011 году. По данным
выборочных обследований по проблемам занятости численность безработных по
половому признаку была распределена следующим образом (в среднем за год):
Рис.
2. Состав безработных по полу в 2011 г. (по данным выборочных обследований
населения по проблемам занятости; в среднем за год; тысяч человек)
По представленной диаграмме видно, что, в общем, по стране количество
безработных женщин меньше, чем мужчин. При этом надо заметить, что по оценкам
на конец 2011 года на 1000 мужчин приходится 1162 женщины. С одной стороны,
такую «занятость» женщин можно объяснить их большим природным усердием и
способностью мобилизоваться в трудных жизненных ситуациях и готовы пойти на
любую работу, только чтобы, к примеру, прокормить детей (в случае с
матерью-одиночкой). С другой стороны, возможна ситуация, что женщины просто не
относят себя к числу безработных, являясь при этом домохозяйками. Преобладание
числа безработных женщин над мужчинами наблюдается только в Северо-Кавказском
федеральном округе, где причиной этому могут послужить местные традиции и
обычаи.
Далее рассмотрим состав безработных в зависимости от возраста. С этой
целью также построим диаграмму для каждого федерального округа, разделив
безработных на возрастные группы.
Рис.
3. Состав безработных по возрастным группам в 2011 г. (по данным выборочных
обследований населения по проблемам занятости; в среднем за год; в процентах к
итогу)
Согласно приведенным данным, во всех федеральных округах преобладают
безработные среди молодёжи в возрасте от 20 до 24 лет, превосходя в полтора
раза следующую группу (30-39) по численности безработных. Это вполне можно
объяснить тем, что молодые профессионалы впервые выходят на рынок труда и им
требуется время, чтобы найти подходящее место работы. Минимальное количество
безработных наблюдается в возрасте старше 60 лет. Причина такого спада, скорее
всего, кроется в том, что в этом возрасте люди выходят на пенсию и не относятся
уже к категории безработных лиц.
Следует отметить, что распределение по возрастным группам по всей России
примерно одинаковое. Так на уровне 20-25% от всех безработных округа находится
безработица среди граждан, в возрасте от 30 до 39 лет, а чуть ниже, на уровне
15-20% - безработица для возрастной группы 40-59 лет. Безработица среди
молодёжи до 20 лет держится на сравнительно низком уровне в 5-8% от всей
численности безработных, что связано с тем, что преобладающее число лиц данного
возраста заняты в учебных заведениях (школы, колледжи, университеты) и тем
самым не может быть отнесено к безработным.
В заключение проанализируем состав безработных по уровню образования.
Обычно считается, что у более образованного индивида вероятность получения
рабочего места выше, ввиду наличия у него преимущества по сравнению с
остальными. Однако приведем статистику за 2011 год.
Рис.
4. Состав безработных по уровню образования в 2011 г. (по данным выборочных
обследований населения по проблемам занятости; в среднем за год; в процентах к
итогу)
По приведенной диаграмме можно сделать вывод о том, что наибольшую долю
безработных составляют лица, которые имеют только среднее (полное) образование.
Наиболее ярко это наблюдается в Северо-Кавказском федеральном округе, где
безработные, имеющих только аттестат о среднем образовании, составляют более
половины всех безработных.
Наименьшую долю общей безработицы составляют лица, не имеющие основного
общего образования (не окончившие 9 классов школы). Вероятнее всего это связано
с тем, что доля таких граждан в целом по России невелика. Более того, люди, не
окончившие среднюю школу зачастую не испытывают желания работать и не принимают
никаких действий по её поиску. Таким образом, они не входят в состав рабочей
силы. Практически тем же самым можно объяснить более низкую долю безработных
среди граждан, имеющих только основное общее образование, по сравнению с
профессионалами.
Далее, если рассмотреть безработных, которые имеют какое-либо
профессиональные навыки, то в среднем, при увеличении степени образования (от
начального до высшего профессионального), доля соответствующих лиц, не имеющих
работу, уменьшается. Так, безработные с начальным профессиональным образованием
составляют 20-25% от итога; со средним профессиональным образованием - 18-23%;
с высшим профессиональным образованием - 13-20%.
Рассмотрев динамику и структуру безработицы по основным
социально-демографическим показателям, мы смогли сделать определенные выводы и
выдвинуть некоторые предположения. Однако без более детального анализа динамики
на наличие тренда или сезонности, а также без рассмотрения влияния на уровень
безработицы других социально-экономических факторов данное исследование
является неполным. Таким образом, в следующей главе будет представлен
статистический анализ уровня безработицы, а также мы подберём наиболее оптимальную
модель, которая смогла бы наиболее точно описать динамику показателя, и на
основе которой мы сможем сделать прогноз на несколько шагов вперед с некоторой
определенной точностью.
Глава 3. Статистический анализ безработицы в Российской Федерации
3.1 Факторы, оказывающие влияние на уровень безработицы в России
Перед тем как переходить непосредственно к анализу данных, необходимо
предварительно выбрать факторы, которые на первый взгляд могут оказывать
влияние на уровень безработицы. Для исследования были взяты данные Росстата за
2011 год с целью анализа текущих тенденций на рынке труда.
Первоначально были отобраны следующие социально-экономические факторы,
принимая во внимания результаты исследований, проведенных ранее:
х1. среднее время поиска работы безработными (месяцев);
х2. удельный вес убыточных организаций (в процентах от общего числа
организаций);
х3. удельный вес городского населения в общей численности населения
(оценка на конец года, в процентах);
х4. коэффициенты пенсионной нагрузки (оценка на конец года);
х5. общие коэффициенты рождаемости (число родившихся на 1000 человек
населения);
х6. ожидаемая продолжительность жизни при рождении (число лет);
х7. общие коэффициенты брачности на 1000 человек населения;
х8. коэффициенты миграционного прироста на 10000 человек населения;
х9. индекс физического объема инвестиций в основной капитал (в
постоянных ценах, в процентах к предыдущему году);
х10. ввод в действие жилых домов на 1000 человек населения (квадратных
метров общей площади);
х11. удельный вес домохозяйств, имевших персональный компьютер с
доступом к сети Интернет;
х12. индекс потребительских цен (декабрь к декабрю предыдущего года, в
процентах)
х13. мощность амбулаторно-поликлинических учреждений на 10000 человек
населения (на конец года, тысяч посещений в смену);
х14. среднемесячная номинальная начисленная заработная плата работников
организаций (рублей).
Можно предположить, что каждый из перечисленных показателей в той или
иной мере влияет на значение уровня безработицы в Российской Федерации. Так,
удельный вес убыточных организаций может влиять с той точки зрения, что обычно
в связи с неблагоприятным экономическим положением на фирме часть работников
вынуждены ее покинуть и начать искать себе новое место работы. Демографические
факторы также могут повлиять на уровень безработицы, так как при увеличении
численности людей или мигрантов увеличивается конкуренция на рынке труда. Такой
показатель, как удельный вес домохозяйств, имевших персональный компьютер с
доступом к сети Интернет должен коррелировать с зависимой переменной, так как в
современном мире общение между работодателем и потенциальным работником
осуществляется именно в Интернете. Более того, глобальная сеть помогает
контактировать тем участникам на рынке труда, которые могут находиться друг от
друга в тысячах километров.
3.1.1 Корреляционно-регрессионный анализ
Регрессионный анализ - есть метод исследования зависимости
результативного признака у (случайной величины) от нескольких случайных величин
х1,х2,…,хk, называемых факторами или регрессорами. Исследование
причинно-следственной связи между показателями является одной из основных задач
общей теории статистики.
Одной из предпосылок регрессионного анализа является нормальность
распределения изучаемых факторов и, главным образом, результирующей переменной.
Также, изучаемые единицы должны быть качественно однородными. С целью
приведения всех признаков к одинаковым единицам обычно используют принцип
нормировки, то есть каждую центрированную величину признака делят на среднее
квадратическое отклонение:
, где
- значение l-го
признака у j-го объекта,
- среднее арифметическое значение l-го признака, а
- среднее квадратическое отклонение.
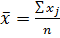
После того как все признаки были нормированы, мы проверяем зависимую
переменную «уровень безработицы» на нормальность её распределения по правилу
3-х сигм. Данное правило является частным случаем при рассмотрении закона о
нормальном распределении и формулируется следующим образом: вероятность
отклонения случайной величины от своего математического ожидание на величину,
большую, чем утроенное среднее квадратичное отклонение (сигма), стремится к
нулю. Таким образом, после применения данного правила к результирующей
переменной с целью приведения распределения к нормальному виду были удалены из
рассмотрения республика Калмыкия, республика Ингушетия, республика Тыва и
Чеченская республика, так как уровень безработицы там в несколько раз
превосходит соответствующий уровень в оставшихся регионах. В результате,
количество наблюдений у нас равно 80.
Далее производится проверка всех факторов на нормальный закон
распределения (приложение 1), используя одновыборочный критерий Колмогорова-Смирнова.
Мы проверяем гипотезу
о том, что каждая переменная является нормально
распределённой на уровне значимости α=0,05, при конкурирующей гипотезе
(
не принадлежит нормальному закону
распределения).
Таблица
1
Одновыборочный критерий Колмогорова-Смирнова
|
y
|
x1
|
x2
|
x3
|
x4
|
x5
|
x6
|
x7
|
x8
|
x9
|
x10
|
x11
|
x12
|
x13
|
x14
|
|
N
|
80
|
80
|
80
|
80
|
80
|
80
|
80
|
80
|
80
|
80
|
80
|
80
|
80
|
80
|
80
|
|
Сред.
|
0,00
|
0,00
|
0,00
|
0,00
|
0,02
|
0,00
|
0,02
|
0,02
|
0,03
|
0,03
|
0,02
|
0,02
|
0,00
|
0,00
|
0,00
|
|
Стд. Откл.
|
1,01
|
1,01
|
1,01
|
1,01
|
0,99
|
1,01
|
0,99
|
0,99
|
0,99
|
0,99
|
0,99
|
0,99
|
1,01
|
1,01
|
1,01
|
|
Статистика Z Колмогорова-Смирнова
|
0,74
|
1,34
|
0,98
|
0,80
|
1,00
|
0,85
|
1,00
|
0,73
|
0,65
|
0,91
|
0,98
|
0,48
|
0,92
|
1,15
|
1,96
|
|
Асимпт. знч. (двухсторонняя)
|
0,64
|
0,06
|
0,30
|
0,55
|
0,27
|
0,46
|
0,27
|
0,66
|
0,80
|
0,38
|
0,29
|
0,98
|
0,36
|
0,14
|
0,00
|
На основании получившихся значений, можно сделать вывод о том, что
гипотеза о принадлежности каждой переменной нормальному закону распределения не
отвергается на уровне значимости α=0,05, за исключением
. Т.е. переменные
- нормально распределённые величины.
Таким образом, предпосылка регрессионного анализа о нормальности распределения
показателей выполняется, и мы можем переходить к следующему этапу исследования
(
мы также включим пока в анализ ввиду
предположения о влиянии размера среднемесячной заработной платы в регионе на
уровень безработицы).
Перед тем как воспользоваться методом регрессионного анализа необходимо
выяснить, какие факторы из вышеперечисленных было бы целесообразнее всего
использовать для включения в модель. Зачастую, включение большего количества
показателей в модель не улучшают её статистические свойства, а наоборот
ухудшают, ввиду, к примеру, наличия мультиколлинеарности между переменными.
Наиболее обоснованным методом для выбора факторов является.
Корреляционный анализ является одним из методов статистического анализа
взаимозависимости нескольких признаков. На данный момент, он определяется как
метод, применяемый в случае, когда наблюдение считается случайным и выбранным
из генеральной совокупности, распределённой по многомерному нормальному закону
распределения. Основной задачей данного анализа является оценка корреляционной
матрицы генеральной совокупности по выборке и определении частных и
множественных коэффициентов корреляции и детерминации на её основе оценок.
Другими словами, корреляционный анализ позволяет обработать статистические
данные, с целью измерения тесноты связи между двумя или более переменными.
Для определения необходимости включения в уравнение множественной
регрессии тех или иных факторов, а также для оценки полученного уравнения на
соответствие выявленным связям (используя коэффициент детерминации) мы построим
матрицу парных коэффициентов корреляции
:
, где
, а
.
Согласно корреляционной матрице (приложение 2), на уровне 0,01 оказались
значимыми корреляции между уровнем безработицы и средним временем поиска работы
безработными (связь является положительной), удельным весом городского
населения в общей численности населения (отрицательная зависимость),
коэффициентом пенсионной нагрузки (отрицательная взаимосвязь), общими
коэффициентами рождаемости (коэффициент имеет положительный знак),
коэффициентами миграционного прироста (отрицательная взаимосвязь), удельным
весом домохозяйств, имевших персональный компьютер с доступом к сети Интернет
(коэффициент корреляции отрицателен), а также среднемесячная номинальная
начисленная заработная плата работников организаций (корреляция является также
отрицательной). В то же время, на уровне 0,05 значима связь между уровнем
безработицы и такими показателями как индекс потребительских цен и мощность
амбулаторно-поликлинических учреждений.
Надо заметить, что коррелированных между собой показателей достаточно
много, однако при этом мультиколлинеарность между факторами не наблюдается.
Таким образом, в регрессионную модель могут войти все переменные, кроме
показателей удельного веса убыточных организаций (х2), ожидаемой
продолжительности жизни при рождении (х6), общих коэффициентов брачности (х7),
индекса физического объема инвестиций в основной капитал (х9), ввода в действие
жилых домов (х10).
После проведения корреляционного анализа у нас остались 9 переменных,
которые имеют значимую корреляцию на том или ином уровне значимости. Однако
включение всех этих факторов в модель может оказаться бессмысленным и
увеличение такой характеристики качества построенной модели как коэффициент
детерминации может быть результатом добавления в модель большого количества
регрессоров. Таким образом, проверим оставшиеся переменные на существенность их
включения с помощью дисперсионного анализа.
Дисперсионный анализ предназначен для проверки зависимостей нормально
распределённой случайной величины, являющейся результативным признаком, от
нескольких величин - факторных признаков, или факторов, среди которых могут
быть как случайные, так и неслучайные величины, измеряемые в любой из шкал:
интервальной, порядковой или номинальной.
В работе приведён анализ однофакторного комплекса. По очереди изучается
влияние 9 факторов на уровень безработицы в Российской Федерации. Исследование
существенности влияния каждого фактора на уровень безработицы в РФ заключается
в проверке основной гипотезы дисперсионного анализа: уровни факторного признака
не влияют на изменение результативной переменной. В данной работе все расчеты
производятся на уровне значимости 0,05. Сведем результаты всех расчетов в одну
таблицу (приложение 3) и проверим значимость влияния каждого признака в
отдельности с помощью F-статистики.
Таким образом, для переменных х1, х5, х8,
х11 и х13 наблюдаемое значение F-статистики превосходит
ее критическое значение, т.е. гипотеза о несущественности влияния фактора на
изменение результативного признака отвергается с вероятностью ошибки, равной
0,05. Следовательно, можно считать, что следующие переменные существенно влияют
на уровень безработицы РФ:
· среднее время поиска работы безработными (месяцев);
· общие коэффициенты рождаемости (число родившихся на 1000
человек населения);
· коэффициенты миграционного прироста на 10000 человек
населения;
· удельный вес домохозяйств, имевших персональный компьютер с
доступом к сети Интернет;
· мощность амбулаторно-поликлинических учреждений на 10000
человек населения (на конец года, тысяч посещений в смену).
В результате проведенных корреляционного и дисперсионного анализов мы
определили, какие переменные далее будут включены в регрессионный анализ, для
проверки их статистической значимости. Далее необходимо предоставить
дескриптивные статистики для каждой переменной, описать математическую модель
зависимости показателей, построить уравнение регрессии, описывающее изменение
коррелируемых величин и определяющее среднее значение результативного признака
при каком-либо значении факторного.
Переобозначим все оставшиеся переменные, которые будут использованы в
последующем анализе. Так, зависимым признаком будет являться уровень
безработицы в РФ (Y), а независимыми - следующие, упомянутые выше показатели:
х1. среднее время поиска работы безработными (месяцев);
х2. общие коэффициенты рождаемости (число родившихся на 1000 человек
населения);
х3. коэффициенты миграционного прироста на 10000 человек населения;
х4. удельный вес домохозяйств, имевших персональный компьютер с
доступом к сети Интернет;
х5. мощность амбулаторно-поликлинических учреждений на 10000 человек
населения (на конец года, тысяч посещений в смену).
Рассчитаем основные дескриптивные статистики для отобранных переменных и
представим результаты в виде следующей таблицы:
Таблица 2
Описательные статистики
|
y
|
x1
|
x2
|
x3
|
x4
|
x5
|
|
N
|
80
|
80
|
80
|
80
|
80
|
80
|
|
Среднее
|
7,18
|
8,04
|
12,69
|
0,64
|
48,11
|
265,07
|
|
Медиана
|
6,95
|
7,85
|
12,40
|
-1,50
|
48,15
|
257,75
|
|
Стд. отклонение
|
2,22
|
1,07
|
2,28
|
61,24
|
11,68
|
51,47
|
|
Минимум
|
1,40
|
6,10
|
8,60
|
-121,00
|
13,60
|
113,90
|
|
Максимум
|
14,20
|
12,10
|
22,70
|
160,00
|
75,60
|
495,60
|
В среднем, уровень безработицы в России по 80 регионам составляет по
данным 2011 года 7,18%. При этом, в 40 регионах уровень безработицы держится
ниже уровня 6,95%, что является относительно низким показателям в сравнении с
имеющимися в предшествующих годах. Самая низкая безработица наблюдается в г.
Москве, что, возможно, связано с тем, что в столицу люди приезжают именно с
целью поиска работы и готовы принять наименее выгодные предложения ввиду
необходимости денежных средств.
В России, среднее время поиска работы в 2011 году в среднем было чуть
более 8 месяцев, при этом стандартное отклонение составляет всего 1 месяц.
Таким образом, этот фактор является наиболее однородным, чего нельзя сказать о
коэффициенте миграции. В данном случае отток населения из региона
приблизительно равен притоку - среднее значение коэффициента составило всего
0,64. При этом, средний коэффициент рождаемости составил 12,69 родившихся на
1000 человек, что говорит об увеличении численности населения внутри самих
регионов. Однако, чтобы оценить естественный прирост необходимо рассмотреть
значения коэффициентов смертности.
Среднее и медианное значения удельного веса домохозяйств, имеющих
компьютер с выходом в Интернет составили в 2011 году 48%, что говорит о том,
что половина населения имеет возможность искать и иметь удаленную работу, что
вероятнее всего положительным образом сказывается на общем уровне безработицы.
Лучше всего информационно оснащен г. Санкт-Петербург, а после него идет г.
Москва, что является достаточно логичным, так как данные регионы считаются
наиболее экономически развитыми. Всего 13,6% населения имеют выход в Интернет в
республике Дагестан, что связано, скорее всего, с их текущим
экономико-политическим положением в регионе.
Описав все факторы можно переходить к непосредственному построению
математической модели. Следует еще раз заметить, что для анализа мы используем
нормированные величины каждой переменной, чтобы уменьшить вариацию каждого
признака и сделать их более однородными (привести к одной размерности).
Существует несколько видов уравнений регрессии. В рамках данной работы мы
будем анализировать множественную модель линейной регрессии ввиду её простоты и
ясности интерпретации. Данная модель выглядит следующим образом:
, где t - это номер наблюдения в выборке, а j - номер фактора.
- является коэффициентом регрессии,
который определяет, на сколько изменится результирующий признак у при изменении
факторного признака
на единицу. Для определения параметров
и
чаще всего используют метод наименьших
квадратов, который основан на том, что теоретические значения результативного
признака должны быть такими, при которых бы обеспечивалась минимальная сумма
квадратов их отклонений от эмпирических значений, что можно представить в виде
формулы:
.
Таким образом, используя алгоритм шагового отбора, мы построили следующую
линейную модель регрессии:
Проверка на значимость данного уравнения регрессии, используя F-статистику, а также проверка за
значимость отдельных его коэффициентов с помощью t-статистики показала, что в обоих случаях гипотеза о
незначимости отвергается на уровне
. Кроме того, множественный
коэффициент детерминации показывает, что данное уравнение регрессии описывает
55,8% вариации результирующего признака вошедшими в модель показателями, а
остальная часть вариации обусловлена действием неутонченных факторов.
Из полученного уравнения следует, что увеличение на одну нормированную
единицу общего коэффициента рождаемости (при фиксированных значениях х3
и х4) приводит к увеличению уровня безработицы в среднем на 0,456 (в
нормированных единицах). Аналогично, при увеличении на одну нормированную
единицу коэффициента миграционного прироста и удельного веса домохозяйств,
имеющих компьютер с выходом в Интернет, уровень безработицы снижается в среднем
(в нормированных единицах) соответственно на 0,338 (при фиксированных значениях
х2 и х4 ) и 0,315 (при фиксированных значениях х2
и х3). Стоит отметить, что также была построена модель с
принудительным включением всех переменных, однако согласно статистическим
тестам, она оказалась незначимой.
Для того, чтобы быть уверенным в том, что модель адекватно отражает
статистическую связь между показателями, остатки (приложение 5) оцененной
регрессии необходимо проверить на нормальность, гомоскедастичность и отсутствие
автокорреляции.
Проверка на нормальность распределения остатков с помощью одновыборочного
критерия Колмогорова-Смирнова показала, что с 95% уверенностью мы можем
сказать, что остатки являются нормально распределенными (приложение 6).
Тестирование остатков на гомоскедастичность, что дает нам право полагать
об эффективности полученных МНК-оценок и несмещенности и состоятельности оценки
ковариационной матрицы этих параметров, основано на предположении о том, что
при условии выполнения гипотезы
дисперсия ошибок не зависит от значений регрессоров. В данном
случае, наблюдаемое значение в рамках теста Бреуша-Пагана-Годфри (приложение 7)
не превысило критическое, т.е. гипотеза об отсутствии гетероскедастичности
ошибок принимается на уровне значимости 0,05.
В заключение, с помощью теста Дарбина-Уотсона, построенная модель была
проверена на наличие автокорреляции остатков первого порядка, наличие чего
может привести также к неэффективности МНК-оценок и к завышению тестовых
статистик, по которым проверяется качество модели. Рассчитанная статистика
данного теста показала, что нулевая гипотеза Н0 о незначимости
коэффициента авторегрессии принимается на уровне значимости
.
В результате корреляционно-регрессионного анализа данных за 2011 год мы
получили статистически значимую и адекватную модель. Согласно данной модели
уровень безработицы положительно зависит от общего коэффициента рождаемости и
отрицательно от коэффициента миграции и удельного веса домохозяйств, имеющих
персональный компьютер с выходом в Интернет.
Положительную зависимость уровня безработицы от числа родившихся на 1000
человек населения (что имеет наибольшее влияние на результирующую переменную
при прочих равных) можно объяснить с нескольких точек зрения. Во-первых, растет
число человек в регионе, а новые рабочие места не открываются. Более того, в
течение последнего десятилетия стали закрываться большие промышленные
организации, которые зачастую предоставляли вакантные места для целых городов
или поселений. Однако это скорее оказывает влияние в долгосрочной перспективе.
С другой стороны, увеличивается число рождений, а следовательно, женщин,
оставивших в связи с родами и последующим уходом за грудным ребёнком свое
прежнее место работы. По прошествии некоторого времени, эти женщины начинают
обращаться в биржи труда с целью поиска работы, тем самым увеличивая уровень
безработицы в регионе.
Отрицательная зависимость между уровнем безработицы и коэффициентом
миграционного прироста в регионе, то есть при положительном приросте миграции
уровень безработицы сокращается, связана с тем, что миграция зачастую связана
именно с работой. Другими словами, те люди, которые меняют свое место
жительство, часто мигрируют туда, где либо они уже нашли место работы, либо
туда, где они намерены устроиться на неё. Таким образом, в регионе уровень
безработицы снижается за счет увеличения рабочей силы в общем и числа занятых в
частности.
Наличие значимой обратной зависимости между уровнем безработицы и долей
домохозяйств, имеющих персональный компьютер с выходом в Интернет, подтверждает
выдвинутое в начале анализа предположение о том, что данный фактор
оказывает влияние на результирующий показатель. Во-первых, это связано с тем,
что, как уже было описано выше, Интернет позволяет «стереть» километры между
потенциальным работником и работодателем, например, имея возможность работать
над проектами удаленно. Во-вторых, глобальная сеть помогает найти работу, минуя
биржу труда, контактируя с работодателем напрямую, тем самым позволяя найти
работу, на устраиваемых безработного условиях.
3.1.2 Компонентный анализ
Стремление описать экономическое явление всегда приводит к рассмотрению
большого количества исходных переменных, что в итоге вытекает к ненаглядной
модели, оценки которой являются неэффективными. В данном случае сначала были выдвинуты
к рассмотрению четырнадцать переменных, которые на первый взгляд оказывают
влияние на уровень безработицы. Однако, в ходе корреляционно-регрессионного
анализа мы получили модель, в которую вошли три переменные из предположенных в
начале анализа. Но, несмотря на то, что данная модель описывает около 56%
вариации результирующего признака, исключение не вошедших в модель переменных
могло повлечь за собой потерю информации.
Для того чтобы построить наглядную модель, исключая незначимые факторы и
максимально сохранив информацию и структуру исходных данных применяются такие
способы снижения размерности как компонентный анализ. Отличительной
особенностью такого анализа является то, что, во-первых, главные компоненты
имеют нулевую корреляцию между собой, а во-вторых появляется возможность
выявить неявные, непосредственно не измеряемые, но объективно существующие
закономерности, которые обусловлены действием как внутренних, так и внешних
причин.
Модель компонентного анализа имеет вид:
, где
- «вес», факторная нагрузка, v-ой
главной компоненты на j-ой переменной;
- значение v-ой главной компоненты
для i-го наблюдения (объекта), где v=1,2,…,k. Для анализа будут выбраны все 14
факторов, вероятно влияющих неким образом на уровень безработицы. Однако,
количество главных компонент, включенных в окончательную модель, будут
определены их вкладом в суммарную дисперсию.
В ходе компонентного анализа получили следующие результаты полной
объяснённой дисперсии:
Таблица 3
Результаты полной объясненной дисперсии
|
Компонента
|
Начальные собственные значения
|
|
Итого
|
% Дисперсии
|
Кумулятивный %
|
|
1
|
3,456
|
24,685
|
24,685
|
|
2
|
2,826
|
20,183
|
44,868
|
|
3
|
1,648
|
11,771
|
56,638
|
|
4
|
1,163
|
8,304
|
64,942
|
|
5
|
1,039
|
7,421
|
72,363
|
|
6
|
0,865
|
6,176
|
78,539
|
|
7
|
0,768
|
5,489
|
84,028
|
|
8
|
0,608
|
4,340
|
88,369
|
|
9
|
0,447
|
3,191
|
91,560
|
|
10
|
0,363
|
2,593
|
94,153
|
|
11
|
0,300
|
2,146
|
96,299
|
|
12
|
0,258
|
1,841
|
98,140
|
|
13
|
0,149
|
1,062
|
99,201
|
|
14
|
0,112
|
0,799
|
100,000
|
Считается, что можно ограничиться несколькими первыми главными
компонентами, если их суммарная объясненная дисперсия превышает 70%. Как видно
из таблицы 3, кумулятивный процент объясненной дисперсии первых пяти компонент
составляет 72,4%, что является достаточным для использования их в дальнейшем
анализе.
Одним из недостатков компонентного анализа является достаточно сложная
смысловая интерпретация главных компонент. Однако рассмотрим с какими
переменными тесно связана каждая из них (приложение 8) и попробуем их
проинтерпретировать.
Первая главная компонента (z1), согласно соответствующей матрице,
тесно связана со следующими переменными: среднее время поиска работы
безработными, удельный вес городского населения в общей численности населения,
ожидаемая продолжительность жизни при рождении, общие коэффициенты брачности на
1000 человек населения, удельный вес домохозяйств, имевших персональный
компьютер с доступом к сети Интернет, мощность амбулаторно-поликлинических
учреждений на 10000 человек населения и среднемесячная номинальная начисленная
заработная плата работников организаций. Таким образом, данная компонента
отражает социально-экономическую сторону жизни безработных.
Вторая главная компонента (z2) имеет тесную связь с коэффициентами
пенсионной нагрузки, рождаемости и миграционного прироста. Другими словами, она
описывает демографические процессы в регионах.
Третья (z3) и четвертая (z4) компоненты тесно связаны с вводом в действие жилых домов на
1000 человек населения и с индексом потребительских цен соответственно. Таким
образом, их можно проинтерпретировать как обеспеченность жильем и инфляция.
Последняя, пятая главная компонента (z5) имеет тесную связь с удельным весом убыточных организаций,
а также с индексом физического объема инвестиций в основной капитал. Ввиду
отношения обеих переменных к организациям данная компонента может быть
проинтерпретирована как экономическое положение организаций.
Если проверить данное уравнение на значимость с помощью F-cтатистики Фишера и его коэффициенты - с помощью t-критерия Стьюдента, то во всех
случаях отвергается гипотеза о незначимости коэффициентов и уравнения в целом
на 95%-ом уровне значимости. Незначимой является только константа, значение
которой стремится к нулю.
Остатки данной модели (приложение 10), согласно одновыборочному критерию
Колмогорова-Смирнова, являются нормально распределенными. Кроме того, тест
Бреуша-Пагана-Годфри на отсутствие гетероскедастичности остатков показал, что
остатки гомоскедастичны. В заключение, остатки были проверены на независимость,
используя статистику Дарбина-Уотсона, которая указала на отсутствие
автокорреляции первого порядка. Таким образом, построенную линейную регрессию
на первые две главные компоненты можно считать адекватной.
Как было уже упомянуто выше, возникают затруднения при интерпретации
модели, построенной на главные компоненты. Можно отметить, что при увеличении
значения компоненты, характеризующей социально-экономическое положение
безработных на 1, нормированное значение уровня безработицы уменьшится на 0,257
единиц. Большее влияние оказывает главная компонента, наиболее тесно связанная
с демографическими процессами в регионе: при увеличении соответствующей главной
компоненты на 1, нормированный уровень безработицы сокращается на 0,706 единиц.
Если сравнивать регрессию, построенную на главные компоненты и на три
определенных фактора, то вторая оказывается более удачной, с точки зрения
простоты и ясности интерпретации. Кроме того, если сравнивать скорректированные
коэффициенты детерминации, которые учитывают разное количество регрессоров в
уравнениях, то в первом случае (регрессия на компоненты) он составляет 0,547 а
во втором 0,540. Другими словами, построение модели, используя главные
компоненты в качестве факторов, не улучшило полученных ранее результатов. Более
того, этот анализ еще раз подтвердил результаты предыдущей модели, так как
вторая компонента содержит факторы x2 и x3 (коэффициенты рождаемости и
миграционного прироста), а x4
(удельный вес домохозяйств, имеющих персональный компьютер с доступом в
Интернет) входит в состав первой главной компоненты.
3.2 Анализ динамики уровня безработицы в России
Представим для начала еще раз имеющийся ряд динамики уровня безработицы в
Российской Федерации за период с января 1994 по март 2013 года:
Рис. 5. Уровень безработицы в России (январь 1994 - март 2013)
Если взглянуть на рисунок 5, то визуально весь период можно разделить на
три сектора, в каждом из которых выделяется своя тенденция. В связи с этим, а
также ввиду громоздкости анализа большого массива данных, далее будет
рассмотрена только его часть, а именно период с января 2009 года по март 2013
года. Во-первых, к данному моменту времени кризис уже немного «утих», а
во-вторых, исследование именно этого периода времени позволит нам построить
более точный краткосрочный прогноз будущих значений уровня безработицы в
России.
Рис. 6. Ряд динамики уровня безработицы в РФ
(январь 2009 - март 2013)
По представленному графику возможно предположить о том, что данный ряд
динамики может быть описан с помощью мультипликативной модели. Кроме этого анализ
графика позволяет сделать предположения о наличие тренда, сезонности и
случайной компоненты.
Для начала проверим гипотезу о том, что в данном временном ряду
присутствует тренд. Для этой цели существует несколько подходов, в частности, в
рамках работы мы использовали метод Фостера-Стюарта. В основе данного подхода
лежит нулевая гипотеза об отсутствии тренда в динамике значений уровня
безработицы, а именно гипотеза
. Рассчитав t-статистики
для данного теста, мы получили, что выдвинутая гипотеза
отвергается с вероятностью ошибки
, т.е. мы подтвердили предположение,
которое было выдвинуто выше.
Далее переходим к анализу наличия сезонной компоненты в исследуемом ряду
динамики. Перед началом анализа влияния сезонности необходимо провести
сглаживание ряда. Для этого можно использовать простую скользящую среднюю с
длиной интервала, равной 12-ти наблюдениям. Формула для расчетов будет
выглядеть следующим образом:
. При расчёте теряются несколько первых и последних значений,
которые восстанавливаются с помощью среднего абсолютного прироста,
рассчитанного на последнем активном участке сглаживания.
В ходе данного исследования индексы сезонности были рассчитаны по методу
отношений помесячных средних к средней месячной соответствующего года.
Предварительно мы избавились от тенденций в ряду путём деления исходного
значения уровня ряда на соответствующую тому же уровню рассчитанную скользящую
среднюю. Для большей наглядности мы изобразили полученные данные (приложение
11) на графике, где красная линия соответствует значению в 100%, а синяя -
соответствующие индексы сезонности:
Рис. 7. Индексы сезонности уровня безработицы в России
Представленная диаграмма иллюстрирует смещение синего многоугольника в
сторону зимнего и весеннего сезона. Таким образом, выдвинутое предположение о
наличии сезонности в модели подтверждается, причём оно достаточно заметное.
Такую сезонность можно объяснить следующим образом: люди в течение лета
зарабатывают и копят деньги на сезонных предприятиях (сбор урожая, услуги по
обслуживанию туристов), а зимой, когда нет работы, они тратят то, что накопили
за лето и осень.
Далее в ходе работы были построены и оценены несколько моделей динамики,
с помощью которых можно описать изменение во времени уровня безработицы в
России в период с января 2009 года по март 2013. Предоставим полученные
результаты в виде сводной таблицы:
Таблица 4
Сравнение оценок различных моделей динамики показателя
|
Название модели
|
Оценка модели
|
Недостатки
|
|
Тренд-сезонная мультипликативная модель
|
|
- неадекватна (наличие автокорреляции остатков) -не
отразила «провал» 2012 года
|
|
Гармоническая анализ
|
|
-неадекватна (автокорреляция остатков) -незначимость
коэффициентов при гармониках
|
|
Адаптивная модель Брауна
|
,
|
- наибольшая ст.ошибка
|
|
Адаптивная модель Хольта
|
|
-один из параметров экспоненциального сглаживания стремится
к 1
|
|
ARIMA(1,1,1)
|
|
-незначимость одного из коэффициентов при общей значимости
уравнения в целом
|
|
SARIMA (0,1,1,12)
|
|
-незначимость коэффициента, отвечающего за сезонность
|
В результате сравнения моделей по таким признакам как адекватность,
значимость и величина стандартной ошибки мы получили, что наиболее качественной
моделью для прогноза уровня безработицы в России является модель Хольта,
несмотря на свои недостатки. Некачественные результаты, полученные в ходе
оценки остальных моделей можно объяснить наличием волатильности дисперсии
исходного ряда или недостаточным количеством данных. Возможно, для описания
уровня безработицы в РФ в течение последних 4 лет необходимо применить другие
эконометрические модели, лежащие за рамками данного исследования.
Адаптивные методы моделирования временного ряда имеют свое преимущество -
они могут учитывать результат прогноза, сделанного на предыдущем шаге. Другими
словами, такие модели адаптируются к уже полученным результатам и позволяют
более точно описывать поведение показателя. В основе всех адаптивных моделей
лежит принцип экспоненциального сглаживания. Еще больше повышает их
привлекательность способность учитывать различную информационную ценность
уровней, а также степень «устаревания» данных.
Модель Хольта является относительно сложной с точки зрения расчета
модельных значений. Однако по сравнению с адаптивной моделью Брауна она
позволяет в большей степени учесть соотношение текущих уровней ряда с
предыдущими - модель характеризуется не одним, а двумя параметрами сглаживания.
Так, сама модель имеет следующий вид:
При этом, начальные значения переменных
и
определяются как параметры регрессии
по первому году наблюдений. Далее мы ищем такое значения
, при которых стандартная ошибка
модели была бы минимальной. Таким образом, используя статистический пакет
анализа SPSS, мы рассчитали соответствующие
оценки для модели, которые были приведены в таблице 4. Стоит заметить, что
согласно t-статистике является значимым на уровне 0,05, в то время как
на том же уровне оказался незначим.
Это связано с тем, что в нашем случае тренд остается неизменным с течением
времени.
После того, как была произведена оценка параметров, мы проверили
остаточную компоненту полученной модели по следующим критериям: нормальность
распределения остатков (одновыборочный критерий Колмогорова-Смирнова), их
независимость (статистика Льюинга-Бокса) и случайность (метод Фостера Стюарта).
Согласно всем трем проведенным тестам на остатки, полученную модель можно считать
адекватной, что позволяет статистически признать прогноз, построенный на основе
данной модели наиболее качественным.
Сравним полученные значения с исходными уровнями ряда динамики показателя
и построим прогноз на апрель-май 2013 года:
Рис. 8. Сопоставление исходных значений с полученными по модели Хольта
По графику видно, что модельные значения почти идеально совпадают с
исходными данными, однако уровни модели определяются как уровни ряда в
предыдущий момент времени. Согласно построенному прогнозу, в апреле-мае 2013
года уровень безработицы составляет 5.62% и 5,54% соответственно. Однако
точечный прогноз редко совпадает с истинным значением показателя в будущем, а
значит необходимо также построить доверительный интервал, в пределах которого с
95%-ой вероятностью будет находиться уровень безработицы в конце весны 2013
года. В данном случае в апреле значение показателя прогнозируется в пределах от
4,48 до 6,76 процентных пункта, а в мае - от 3,93 до 7,15. В принципе,
полученный прогноз согласуется с выводами, сделанными при анализе сезонной
компоненты: начиная с конца весны уровень безработицы снижается ввиду
увеличения объема сезонных работ.
Заключение
Безработица является макроэкономической проблемой, которая в течение
последних нескольких лет нависает над многими развитыми странами, вызывая
сильные волнения в обществе. Мониторинг проблем безработицы, в особенности
ввиду последствий мирового финансового кризиса, представляет собой необходимую
меру, предпринимаемую государством с целью выработки наиболее эффективной
политики по решению данного вопроса на основе полученных результатов.
Если смотреть на мир в целом, то ученые прогнозируют продолжительный рост
уровня безработицы как минимум до 2017 года. На фоне таких заключений экспертов
Россия показывает совершенно противоположные результаты - в декабре 2012 года
уровень безработицы в России достиг своего наименьшего уровня в 4 процентных
пункта. Именно такие показатели подтолкнули к исследованию безработицы именно в
Российской Федерации.
Достаточно многие российские и зарубежные ученые занимались изучением
проблемы безработицы с совершенно разных сторон. На данный момент помимо
исследования основных характеристик, относящихся к уровню безработицы, проводится
анализ влияния различных факторов, которые на первый взгляд совершенно не имеют
с безработицей ничего общего, а также рассматривается её влияние на другие
стороны жизни человека. Самые последние работы относятся как к построению
различных вероятностных моделей, описывающих переход человека между разными
состояниями занятости, так и к разработке статистических моделей, которые могли
бы описать факторы, влияющие на продолжительность безработицы.
Для первой части анализа безработицы в Российской Федерации в рамках
представленной работы были взяты данные по регионам России за 2011 год, что
помогло отразить текущие тенденции на рынке труда. Изучив структуру безработицы
по полу, мы пришли к выводу, что число женщин, желающих и готовых приступить к
работе ниже, чем число мужчин. При этом количество женщин в нашей стране
превышает количество мужчин, что наталкивает на заключение о том, что либо
женщины более «успешны» в поиске работы, либо они занимаются домашним
хозяйством, тем самым не относятся к числу рабочей силы. Далее, анализ состава
безработных по возрасту показал, что в основном наибольшую их долю составляют
молодые люди в возрасте 20-29 лет, которые, получив диплом, впервые выходят на
рынок труда и им нужно время, чтобы адаптироваться и найти наиболее подходящую
себе работу. Что же касается структуры безработных по образованию, то
наибольшую долю среди всех безработных составляют лица, имеющие только среднее
(полное) образование. Это объясняется тем, что в настоящее время работодатели
предпочитают брать даже на самые низшие должности людей с начальным
профессиональным образованием, на что указывает более низкая доля таких
безработных.
Далее в рамках работы было проведено исследование влияния различных
социально-экономических факторов на уровень безработицы в России. В ходе
корреляционного и дисперсионного анализа первоначально из 14-ти выдвинутых
факторов, оказывающих возможное влияние, были отобраны пять. Однако в наилучшую
регрессионную модель вошли общие коэффициенты рождаемости, коэффициенты
миграционного прироста на 10000 человек населения и удельный вес домохозяйств,
имевших персональный компьютер с доступом к сети Интернет.
Положительную зависимость уровня безработицы от числа родившихся на 1000
человек населения (что имеет наибольшее влияние на результирующую переменную
при прочих равных) можно объяснить с точки зрения увеличения числа женщин,
оставивших в связи с родами и последующим уходом за грудным ребёнком свое
прежнее место работы, которые по прошествии некоторого времени обращаются в
биржу труда с целью поиска работы, тем самым увеличивая уровень безработицы в
регионе. Факт того, что при положительном приросте миграции уровень безработицы
сокращается, можно объяснить тем, что миграция зачастую связана именно с
работой, т.е. люди мигрируют туда, где либо они уже нашли место работы, либо
туда, где они намерены устроиться на неё. В заключение, наличие значимой
обратной зависимости между уровнем безработицы и долей домохозяйств, имеющих
персональный компьютер с выходом в Интернет, связано с тем, что Интернет
позволяет «стереть» километры между потенциальным работником и работодателем, а
также миновать биржу труда, предоставляя возможность контактировать с
работодателем напрямую.
Наряду с корреляционно-регрессионным анализом был проведен компонентный анализ,
в основу которого были взяты все предложенные в начале анализа переменные. В
результате исследования было выделено 5 главных компонент,
проинтерпретированные следующим образом: экономическая сторона жизни
безработных, демографические процессы в регионе, обеспеченность жильем, уровень
инфляции и экономическое положение организаций в регионе. Однако построение
регрессии на данные компоненты не привело к новым результатам, отличным от тех,
которые были получены в ходе анализа, упомянутого выше.
В заключение, был проведен анализ динамики уровня безработицы в
Российской Федерации, в результате которого мы выбрали адекватную модель,
наиболее точно описывающую поведение уровня безработицы. Данной моделью
является модель Хольта, относящаяся к классу адаптивных моделей, которые
предсказывают значение показателя с неким лагом. Согласно прогнозу,
построенному на основе адаптивной модели, в апреле и мае 2013 года уровень
безработицы, скорее всего, незначительно снизится. Кроме того, для
посткризисного периода (январь 2009 - март 2013) был выявлен нисходящий тренд и
наличие сезонной компоненты, которая указывает на то, что пик безработицы
приходится на середину зимы - середину весны, а в остальное время года
происходит снижение показателя. Таким образом, если отталкиваться от работы
Токарского Б.Л. и Змановского И.С (2010), имеющаяся тенденция в уровне
безработицы может свидетельствовать о завершении экономического кризиса и
прихода экономической системы к равновесию.
По результатам проведенного анализа можно дать несколько рекомендаций
относительно выстраивания будущей политики, направленной на снижение уровня
безработицы в стране. Как показывают исследования, правильные меры, исходящие
от государства оказывают значимое влияние на стабилизацию данного показателя.
Во-первых, стоит обратить внимание на содействие в поисках работы только
что выпускающимся специалистам как из высших учебных заведений, так и из
учреждений начального и среднего профессионального образования. С этой целью
необходимо упростить взаимосвязь между потенциальным работником и
работодателем, а также создавать рабочие места на производствах соответственно.
Во-вторых, имеет значение создавать курсы повышения профессиональной
квалификации и адаптации на рынке труда не только для молодых специалистов, а
также для женщин, обращающихся на биржу труда с целью поиска работы после
выхода из декрета. В-третьих, необходимо упростить рабочую миграцию, например,
с точки зрения предоставления каких-либо социальных льгот по приобретению жилья
на новом месте. И кроме всего прочего следует продолжать политику государства,
направленную на увеличение доли домохозяйств, имеющих компьютер с выходом в
Интернет.
Список
литературы
1. Арзамасцева Л.П.,
Колесникова О.А., Федченко А.А. Посткризисные тенденции и факторы развития
рынка труда Воронежской области. Вестник Воронежского государственного
университета. Серия: Экономика и управление
<#"709078.files/image066.jpg">






Приложение 2. Матрица парных корреляций (*-значимая
связь на уровне 0,01; **-на уровне 0,05)
Приложение 3. Дисперсионный анализ влияния различных
факторов на уровень безработицы в России
|
|
Сумма квадратов
|
ст.св.
|
Средний квадрат
|
Fнабл
|
Fкрит
|
Знч.
|
|
x1
|
Между группами
|
44,795
|
32
|
1,400
|
1,871
|
1,689
|
0,025
|
|
Внутри групп
|
35,157
|
47
|
0,748
|
|
|
|
|
Итого
|
79,952
|
79
|
|
|
|
|
|
x3
|
Между группами
|
68,013
|
65
|
1,046
|
1,227
|
2,216
|
0,350
|
|
Внутри групп
|
11,938
|
14
|
0,853
|
|
|
|
|
Итого
|
79,952
|
79
|
|
|
|
|
|
x4
|
Между группами
|
51,729
|
48
|
1,078
|
1,184
|
1,753
|
0,313
|
|
Внутри групп
|
28,223
|
31
|
0,910
|
|
|
|
|
Итого
|
79,952
|
79
|
|
|
|
|
|
x5
|
Между группами
|
64,973
|
50
|
1,299
|
2,516
|
1,775
|
0,005
|
|
Внутри групп
|
14,978
|
29
|
0,516
|
|
|
|
|
Итого
|
79,952
|
79
|
|
|
|
|
|
x8
|
Между группами
|
64,156
|
52
|
1,234
|
2,109
|
1,801
|
0,019
|
|
Внутри групп
|
15,795
|
27
|
0,585
|
|
|
|
|
Итого
|
79,952
|
79
|
|
|
|
|
|
x11
|
Между группами
|
69,029
|
54
|
1,278
|
2,926
|
1,833
|
0,002
|
|
Внутри групп
|
10,923
|
25
|
0,437
|
|
|
|
|
Итого
|
79,952
|
79
|
|
|
|
|
|
x12
|
Между группами
|
43,942
|
35
|
1,255
|
1,534
|
1,689
|
0,089
|
|
Внутри групп
|
36,010
|
44
|
0,818
|
|
|
|
|
Итого
|
79,952
|
79
|
|
|
|
|
|
x13
|
Между группами
|
74,597
|
67
|
1,113
|
2,495
|
2,375
|
0,041
|
|
Внутри групп
|
5,355
|
12
|
0,446
|
|
|
|
|
Итого
|
79,952
|
79
|
|
|
|
|
|
x14
|
Между группами
|
70,535
|
64
|
1,102
|
1,756
|
2,154
|
0,113
|
|
Внутри групп
|
9,417
|
15
|
0,628
|
|
|
|
|
Итого
|
79,952
|
79
|
|
|
|
|
Приложение 4. Сводка и дисперсионный анализ для
моделей, полученных с помощью метода шагового отбора
Сводка для модели
|
Модель
|
R
|
R-квадрат
|
Скорректированный R-квадрат
|
Стд. ошибка оценки
|
|
1
|
,552a
|
,305
|
,296
|
,844
|
|
2
|
,685b
|
,470
|
,456
|
,742
|
|
3
|
,747c
|
,558
|
,540
|
,682
|
|
a. Предикторы: (конст) x2
|
|
b. Предикторы: (конст) x2, x3
|
|
c. Предикторы: (конст) x2, x3, x4
|
Дисперсионный анализa
|
Модель
|
Сумма квадратов
|
ст.св.
|
Средний квадрат
|
F
|
Знч.
|
|
1
|
Регрессия
|
24,398
|
1
|
24,398
|
34,256
|
,000b
|
|
Остаток
|
55,554
|
78
|
,712
|
|
|
|
Всего
|
79,952
|
79
|
|
|
|
|
2
|
Регрессия
|
37,561
|
2
|
18,780
|
34,113
|
,000c
|
|
Остаток
|
42,391
|
77
|
,551
|
|
|
|
Всего
|
79,952
|
79
|
|
|
|
|
3
|
Регрессия
|
44,583
|
3
|
14,861
|
31,933
|
,000d
|
|
Остаток
|
35,369
|
76
|
,465
|
|
|
|
Всего
|
79,952
|
79
|
|
|
|
|
a. Зависимая переменная: y
|
|
b. Предикторы: (конст) x2
|
|
c. Предикторы: (конст) x2, x3
|
|
d. Предикторы: (конст) x2, x3, x4
|
Приложение 5. График остатков модели регрессии (1)
Приложение 6. Одновыборочный критерий
Колмогорова-Смирнова для остатков модели
|
Остатки
|
|
N
|
80
|
|
Нормальные параметры
|
Среднее
|
0,000
|
|
Стд. отклонение
|
0,669
|
|
Статистика Z Колмогорова-Смирнова
|
0,597
|
|
Асимпт. знч. (двухсторонняя)
|
0,868
|
Приложение
7. Тест Бреуша-Пагана-Годфри
|
|
3,3206
|
|
|
3,8415
|
Приложение
8. Матрица главных компонент
Матрица компонентa
|
Компонента
|
|
1
|
2
|
3
|
4
|
5
|
|
x1
|
-,516
|
-,520
|
,103
|
-,106
|
,006
|
|
x2
|
,377
|
-,184
|
-,140
|
-,542
|
-,629
|
|
x3
|
,640
|
,499
|
-,236
|
,174
|
-,135
|
|
x4
|
-,360
|
,631
|
-,516
|
,141
|
-,019
|
|
x5
|
-,640
|
,635
|
,121
|
-,101
|
|
x6
|
-,476
|
,424
|
,297
|
-,025
|
,075
|
|
x7
|
,596
|
-,033
|
,354
|
,463
|
,062
|
|
x8
|
,116
|
,735
|
,333
|
-,157
|
,084
|
|
x9
|
,239
|
-,397
|
-,145
|
-,381
|
,652
|
|
x10
|
-,254
|
,484
|
,547
|
,094
|
,065
|
|
x11
|
,813
|
,325
|
,038
|
-,018
|
,000
|
|
x12
|
,130
|
-,475
|
-,265
|
,584
|
-,177
|
|
x13
|
,664
|
-,117
|
-,312
|
,055
|
,369
|
|
x14
|
,799
|
,076
|
,284
|
-,234
|
-,041
|
|
Метод выделения: Анализ методом главных компонент.
|
|
a. Извлеченных компонент: 5
|
Приложение
9. Сводка и дисперсионный анализ для регрессий на главные компоненты,
построенных методом шагового отбора
Сводка для моделиc
|
Модель
|
R
|
R-квадрат
|
Скорректированный R-квадрат
|
Стд. ошибка оценки
|
|
1
|
,702a
|
,493
|
,486
|
,72111
|
|
2
|
,747b
|
,558
|
,547
|
,67731
|
|
a. Предикторы: (конст)
REGR factor score 2 for analysis 1
|
|
b. Предикторы: (конст)
REGR factor score 2 for analysis 1, REGR factor score 1 for analysis 1
|
|
c. Зависимая переменная: y
|
Дисперсионный анализa
|
Модель
|
Сумма квадратов
|
ст.св.
|
Средний квадрат
|
F
|
Знч.
|
|
1
|
Регрессия
|
39,392
|
1
|
39,392
|
75,754
|
,000b
|
|
Остаток
|
40,560
|
78
|
,520
|
|
|
|
Всего
|
79,952
|
79
|
|
|
|
|
2
|
Регрессия
|
44,628
|
2
|
22,314
|
48,640
|
,000c
|
|
Остаток
|
35,324
|
77
|
,459
|
|
|
|
Всего
|
79,952
|
79
|
|
|
|
|
a. Зависимая переменная: y
|
|
b. Предикторы: (конст)
REGR factor score 2 for analysis 1
|
|
c. Предикторы: (конст)
REGR factor score 2 for analysis 1, REGR factor score 1 for analysis 1
|
Приложение 10. График остатков модели регрессии на
главные компоненты
Приложение 11. Индексы сезонности уровня безработицы
в России
|
Месяц
|
Индекс сезонности, %
|
|
|
|
январь
|
106,55%
|
|
февраль
|
105,31%
|
|
март
|
108,38%
|
|
апрель
|
110,43%
|
|
май
|
101,96%
|
|
июнь
|
92,72%
|
|
июль
|
96,45%
|
|
август
|
92,73%
|
|
сентябрь
|
90,97%
|
|
октябрь
|
95,67%
|
|
ноябрь
|
97,87%
|
|
декабрь
|
100,97%
|
Приложение 12. Сопоставление исходных данных и
тренд-сезонной модели
Приложение 13. Сопоставление исходных данных с
гармонической моделью
Приложение 14. Сопоставление исходных значений с
полученными по модели Брауна
Приложение 15. График сопоставления исходных и
предсказанных значений по модели ARIMA
Приложение 16. График сопоставления исходных и
предсказанных значений по модели SARIMA