Статистический анализ уровня безработицы в экономике РФ
РОССИЙСКАЯ
АКАДЕМИЯ НАРОДНОГО ХОЗЯЙСТВА И ГОСУДАРСТВЕННОЙ СЛУЖБЫ ПРИ ПРЕЗИДЕНТЕ РОССИЙСКОЙ
ФЕДЕРАЦИИ
СЕВЕРО-ЗАПАДНЫЙ
ИНСТИТУТ УПРАВЛЕНИЯ
Кафедра
финансового менеджмента
Курсовая
работа
по
дисциплине «Статистика»
на
тему: «Статистический анализ уровня безработицы в экономике РФ»
Работу выполнила:
студентка факультета Экономики и финансов
Семишина Дария, 3 курс, 3401
Научный руководитель:
О.Ю. Десятниченко
Санкт-Петербург
2013
Оглавление:
Введение
Глава 1. Теоретические основы
безработицы
§1. Понятие безработицы
§2. Виды безработицы
§3.Основные показатели,
характеризующие безработицу
§4. Типы поведения безработных на
рынке труда
§5. Социально-экономические
последствия безработицы
Глава 2. Методология
§1. Статистический анализ на основе
рядов динамики
§2. Средние величины
§3. Относительный показатель
структуры
Глава 3. Статистический анализ
уровня безработицы в РФ
§1.
Анализ безработицы на основе рядов динамики за 2010-2012 года
§2. Общая характеристика безработицы
в РФ на октябрь 2013 года
§3. Возрастной состав безработных
§4. Структурный анализ безработицы
Заключение
Список использованной литературы
Введение
Выбранная тема курсовой работы «Статистический
анализ уровня безработицы в экономике РФ» являлась и является актуальной во все
времена.
Проблема безработицы является самой большой
проблемой для многих стран. И Россия не исключение. Безработица оказывает
существенное влияние прежде всего на социально-экономическую, а также
политическую ситуацию в стране. Это и подтверждает актуальность данной темы.
Одним из основных показателей является уровень
безработицы. С помощью этого показателя можно определить общее состояние
экономики, оценить эффективность деятельности государства, рассмотреть уровень
жизни населения страны.
Безработица тесно связана с рынком труда.
Современная экономика, живущая в эпоху высоких технологий, предъявляет новые
требования к рабочей силе. Между работодателями и работополучателями
складываются уже другие отношения. Но проблемы занятости и безработицы остаются
прежними.
Одна из основных целей макроэкономической
политики государства - достичь высокого уровня занятости в стране и сокращения
безработицы. Экономическая система, создающая дополнительное количество рабочих
мест, ставит задачу увеличить количество общественного продукта и тем самым
удовлетворить материальные потребности населения. При неполном использовании
имеющихся ресурсов рабочей силы система работает, не достигая своих
производственных возможностей. Для жизни современного человека, наличие у него
рабочего места, является необходимым элементом для жизни. Для многих людей
единственным источником дохода является заработная плата. Поэтому потеря работы
является серьезной проблемой. Человек становится не уверенным в своем будущем,
может возникнуть чувство собственной неполноценности. Государство должно
стремиться к тому, чтобы каждый гражданин в стране мог содержать себя и свою
семью, а также быть полезным в обществе.
Цель данной работы - рассмотреть явление
безработицы и провести ее статистический анализ в России.
Для реализации поставленной цели необходимо
выполнить следующие задачи:
рассмотреть теоретическую основу безработицы;
определить методологию для расчетов;
провести статистический анализ;
выявить проблемы и перспективы;
обратиться к необходимым источникам.
Объектом исследования является безработица.
Предмет - статистический анализ уровня безработицы.
Глава 1. Теоретические основы безработицы
§1. Понятие безработицы
Безработица считается одним из самых сложных
явлений социально-трудовой сферы, тесно связанным с рынком труда и занятостью
населения. Как результат функционирования рынка труда безработица оказывает
большое влияние на все стороны жизни страны. Разными учеными в области
экономики, социологии, психологии и других наук до сих пор исследуются природа,
причины, последствия безработицы.
Безработица - социально-экономическое явление,
выступающее как отсутствие занятости у определенной, большей или меньшей части
экономически активного населения, способной и желающей трудиться.
По методологии МОТ безработными считаются лица
трудоспособного возраста и старше, которые не имеют работы (доходного занятия),
занимаются поиском работы и готовы приступить к ней. Из их общей численности
выделяются безработные, официально зарегистрированные в органах государственной
службы занятости и получившие этот статус в соответствии с законодательством о
занятости.
В России статус безработного определяется более
жестко: согласно Закону «О занятости населения в Российской Федерации»
безработными признаются трудоспособные граждане, которые не имели работы и
заработка, зарегистрированы в органах службы занятости в целях поиска
подходящей работы, ищут работу и готовы приступить к ней; кроме того, законом
определено, что безработными не могут быть признаны граждане, не достигшие 16
лет, и пенсионеры по возрасту.
В современной экономике безработица
рассматривается как естественная и неотъемлемая часть рыночного хозяйства. Она
способствует:
улучшению качественной структуры рабочей силы,
ее конкурентоспособности как товара;
формированию нового мотивационного механизма и
соответствующего отношения к труду;
повышению самоценности рабочего места и
укреплению связи человека с трудом;
наличию трудового резерва на случай
необходимости быстрого развертывания нового производства.
§ 2. Виды безработицы
Безработица вызывается разными причинами,
поэтому и степень отрицательного воздействия, как на конкретного гражданина,
так и на положение в стране зависит от конкретных ее видов и параметров
социальной ситуации. Для того, чтобы правильно оценить, учитывать и
воздействовать на безработицу, отечественные и зарубежные ученые по проблемам
занятости и безработицы выделяют несколько ее видов.
Естественная безработица - это безработица,
вызванная межотраслевыми и межрегиональными перемещениями рабочей силы в
зависимости от колебаний спроса и потребностей производства. Естественная
безработица характеризуется оптимальным для экономики резервом рабочей силы,
способной быстро совершать межотраслевые и межрегиональные перемещения в
зависимости от колебаний спроса и потребностей производства.
Рост естественной нормы безработицы характерен
для переходной экономики. Отмена системы принудительного закрепления молодых
специалистов на определенных рабочих местах, формирование рынка жилья,
возможность получить работу на новом месте жительства без специального
административного разрешения расширяют возможности выбора места работы и
увеличивают уровень фрикционной безработицы. Система пособий по безработице,
формирующаяся на переходном этапе, материально поддерживает лиц, ищущих работу,
и позволяет им не торопиться, тщательно выбирать место трудовой деятельности,
что также способствует росту фрикционной безработицы.
Фрикционная безработица. Основной формой
безработицы в капиталистическом мире обычно выступает фрикционная, охватывающая
лиц наемного труда, находящихся в процессе перехода на новое место работы, т.е.
связанная с уходом человека с прежнего места работы по собственному желанию или
с поимками первого рабочего места. Этот вид безработицы отличается довольно низкой
продолжительностью.
В промышленно развитых странах естественный
уровень безработицы по оценкам составляет, как правило, 5-7% всей рабочей силы.
В России фрикционная безработица занимала в советское время и продолжает
занимать сейчас также центральное положение. Однако анализ факторов,
определяющих этот уровень, позволяет сделать вывод о том, что при плановом
хозяйстве он был значительно ниже, чем в рыночной экономике. Этому
способствовало принудительное распределение выпускников вузов, техникумов и училищ,
наличие законодательных актов, в соответствии с которыми к неработающим могли
применяться административные санкции.
Причины фрикционной безработицы могут быть
различными. Это может быть: уровень оплаты труда, соответствие специальности,
профессиональным интересам, фактор стабильности занятости и другие.
Институциональная и добровольная безработица.
Институциональная безработица - следствие снижения трудовой активности
населения, на которую отрицательно влияют некоторые механизмы, действующие на
рынке рабочей силы, в частности, чрезмерная социальная защита и высокие ставки
налогов.
По утверждению монетаристов, безработица может
быть добровольной только потому, что оплата труда искусственно держится слишком
низкой, и безработные отказываются от работы при имеющейся на данный момент
оплате труда.
Добровольная безработица образуется частью
населения, не желающей трудиться. Наряду с фрикционной и институциональной
некоторые авторы прчисляют к ней добровольной безработных, так называемых
тунеядцев.
Одним из важнейших моментов является деление
безработицы на скрытую и открытую. О скрытой безработице всегда говорят лишь
применительно к работникам, которые формально являются занятыми. Открытая
безработица, наоборот, всегда охватывает часть незанятого населения.
Скрытая безработица. Под ней понимают
использование кадров не в полную силу, ниже их возможностей, способностей и
знаний. Это происходит из-за недостаточных темпов научно-технического прогресса
и имеет результатом низкую производительность труда.
В состоянии скрытой безработицы на протяжении
всего или части рабочего дня (смены) может находиться один работник, весь
коллектив или его часть. Поэтому под величиной скрытой безработицы понимается
условная численность наемных работников, соответствующая потерям рабочего
времени в результате отсутствия фронта работ и/или снижения интенсивности на
протяжении относительно длительного календарного периода.
Понятие «скрытая безработица» включает две
неоднородные части. Одна охватывает учтенные внутрисменные и целодневные простои,
допущенные по вине работника, и отпуска работников по инициативе администраций
предприятия. Другая часть связана с трудом пониженным уровнем интенсивности или
выполнением работ, предполагающих более низкую квалификацию, нежели та, которая
имеется у работника, объект и способы оценки этой части скрытой безработицы не
вполне детерминированы.
Открытая безработица. Развертывание рыночной
конкуренции диктует курс на снижение издержек производства, ослабляет тенденцию
к созданию внутренних резервов рабочей силы на предприятиях и, следовательно,
ведет к сокращению избыточного персонала. В результате меняется форма
проявления безработицы, из скрытой формы она переходит в открытую.
Открытая безработица - это безработица, при
которой индивид попадает в сферу обращения. Подразделяется на регистрируемую и
нерегистрируемую. Регистрируемая включает лиц, зарегистрированных
уполномоченными органами. Если они удовлетворяют официальным требованиям, то
получают пособие. Нерегистрируемая безработица включает индивидов, которые по
той или иной причине не регистрируются как безработные, не получают пособия, не
имея при этом работы. В результате, - количество регистрируемых безработных
составляет фактический уровень.
Вынужденная безработица. Связана с освобождением
человеком рабочего места не добровольно, а в связи с ликвидацией последнего или
по требованию администрации. В результате человек, нуждающийся в работе,
оказывается пред необходимостью ее поиска.
Структурная безработица. Возникает на начальном
этапе развития технологического вытеснения рабочей силы и связана с
несоответствием профессионально-квалифицированной структуры высвобождаемых
требованиям производства.
Структурная безработица зачастую тесно связана с
технологической безработицей и сопровождается образование рабочих мест в других
или новых отраслях экономики.
Технологическая безработица. Может возникать при
замедлении или отсутствии экономического роста, вследствие усложнения
производства, ведущего к сокращению рабочих мест, на которых используется
неквалифицированный труд. Рабочие места здесь ликвидируются по причине
модернизации, рационализации производства и т.п.
Региональная безработица. Формируется под
воздействием исторических, демографических, экономических,
природно-климатических условий и прочих обстоятельств. В целом же говорить о
рынке труда в стране достаточно сложно по причине его недостаточной развитости.
Критическое состояние регионального рынка труда может быть объяснено действием
в первую очередь структурных причин, связанных с трансформацией экономической
системы страны, разной скоростью движения к рынку различных отраслей и секторов
экономики, неравномерностью перехода к рынку в отдельных регионах, городах,
сельской местности.
§3. Основные показатели, характеризующие
безработицу
Наиболее важными показателями, характеризующими
безработицу, являются уровень безработицы и продолжительность безработицы.
Уровень безработицы (УБ) - удельный вес
численности безработных (Б) в численности экономически активного населения
(ЭАН), выраженный в процентах:
УБ = (Б / ЭАН) * 100%
Уровень безработицы может быть рассчитан как по
методологии МОТ, так и в соответствии со специальными законодательными нормами
государства. По методологии МОТ это периодическое выборочное обследование,
опрос населения каким-либо государственным органом, исключая службы занятости.
В России этим занимается Федеральная службы государственной статистики.
Обследование населения по проблемам занятости в Российской Федерации проводится
во всех регионах с квартальной периодичностью на основе выборочного метода
наблюдения с последующим распространением итогов на всю численность населения в
возрасте от 15 до 72 лет. Эту методику применяют во многих странах. Она
позволяет с высокой степенью точности получать данные о реальном состоянии
рынка труда, субъектами которого также являются граждане, не состоящие на учете
в государственной службе занятости населения, которые ищут работу собственными
силами или прибегают к услугам коммерческих организаций.
Уровень безработицы определяется Федеральной
службой по труду и занятости РФ на основе численности официальных безработных,
зарегистрированных в ее органах в установленном порядке. Эта информация
необходима для оценки состояния официального рынка труда, определения динамики
обращений граждан в службы занятости и планирования статей бюджета,
направляемых на выплату пособий, проведение обучения безработных и другие
программы стимулирования занятости.
Продолжительность безработицы - эта величина,
которая характеризует в среднем длительность поиска работы лицами, имеющими
статус безработных на конец рассматриваемого периода, а также теми
безработными, которые были в этот период трудоустроены. Для России, как и для
многих развитых стран мира, чрезвычайно актуальна проблема длительной и
застойной безработицы.
При решении проблем безработицы считается
целесообразным достижение естественной нормы (естественного уровня) безработицы
- оптимального для экономики резерва рабочей силы, способного достаточно быстро
совершать межотраслевые и межрегиональные перемещения в зависимости от
колебаний спроса и обусловленных ими потребностей производства.
Абсолютное отсутствие безработицы считается
невозможным в рыночной экономике. Фрикционная и структурная безработицы, по
сути, неизбежны. Они и образуют естественный уровень безработицы, который в
экономически развитых странах с 1980-х гг. оценивается в 7%.
§4. Типы поведения безработных на рынке труда
Профессиональный тип. В процессе поиска работы
существенное значение имеет возможность проявить свои способности, деловые
качества, повысить квалификацию, а также сама работа, предполагающая
разнообразие, содержательность, возможность творчества. Потеря работы
рассматривается как неприятность, при этом не испытываются особые огорчения.
Достаточно высоко оценивается конкурентоспособность, человек верит в себя и
свои силы и поэтому самостоятельно и активно ищет работу, в том числе требующую
более высокой квалификации. Он готов приступить к работе, как только появиться
что-нибудь подходящее и даже с переездом в другой город; предпочтение отдается
работе в финансовых и управленческих структурах, а также сферах науки,
образования и организации досуга.
Инструментальный тип. Это безработные, которым
безразлична форма трудоустройства, лишь бы она обеспечивала приемлемый
материальный статус. Безработные этого типа ориентированы прежде всего на
высокую зарплату, денежные компенсации, премии, порядок и хорошую организацию
труда, удобный график работы, близкое расположение работы от места проживания.
Если предполагаемая работа не соответствует их ожиданиям, они от нее
отказываются. Если условием трудоустройства является перемена места жительства,
или смена сферы деятельности и переобучение на другою профессию, безработные
данного типа отказываются от работы, так как надеются еще найти занятие по своей
специальности. Большинство из них не соглашаются заняться собственным делом.
Хозяйственный тип - носитель активного рыночного
типа экономического поведения. С одной стороны, это руководители всех рангов
всех типов предприятий и организаций, с другой - продавцы, кассиры, буфетчики.
Из объединяет общность в трудовых ценностях - это люди, стремящиеся «быть
хозяином на своем рабочем месте», работать самостоятельно с ориентацией на
расширение связей и знакомств. Они чаще, чем остальные, стремятся к организации
собственного дела, самостоятельно ищут возможности для получения новой
профессии и переобучения. Для лучшего трудоустройства готовы переехать в другой
регион и даже за пределы России. Отдают предпочтение сфере услуг, организации
отдыха, досуга, общественного питания.
Тип социального иждивенца. Безработные этого
типа не способны к самостоятельному решению проблем занятости, основные надежды
с трудоустройством у них связаны с государством. Для них характерна установка
«жить на пособие государства», «уйти на пенсию». Они надеются на
государственную поддержку, и в случае безработицы большинство из них обратится
в службу занятости. Их привлекает возможность иметь гарантированную работу,
стабильность, даже если зарплата не так высока, проявляя тем самым приспособленческий,
потребительский, иждивенческий тип экономического поведения. Главная жизненная
ценность - стабильность положения и уверенность в завтрашнем дне. Они считают,
что безработицы быть не должно, согласны на любую работу, даже ниже по уровню
квалификации и оплаты труда. В случае потери работы значительная часть из них
будет сидеть дома, воспитывать детей, а также ждать, когда служба занятости
подыщет им работу; часть из них согласна сменить профиль своей деятельности, но
сами для этого они ничего делать не собираются.
§ 5. Социально-экономические последствия
безработицы
Безработица влечет за собой существенные
социальные и экономические последствия.
Рассмотрим экономические последствия:
недовыпустк продукции, недоиспользование
производственных возможностей общества. Зависимость между уровнем безработицы и
отставанием объема ВНП нашла выражение в законе Оукена, который гласит:
превышение на 1% фактического уровня безработицы над естественным ведет к
отставанию фактического объема ВНП на 2,5% от потенциального;
значительное снижение уровня жизни людей,
оказавшихся безработными, т.к. работа является для них основным источником
средств существования;
снижение уровня заработной платы занятых в
результате возникающей конкуренции на рынке труда;
увеличение налоговой нагрузки на занятых из-за
необходимости социальной поддержки безработных, выплат пособий и компенсаций;
Но также имеют место быть и положительные
моменты:
создание резерва рабочей силы для структурной
перестройки всей национальной экономики;
конкуренция между работниками, как стимул
развития способности к труду;
превышение интенсивности и производительности
труда.
Помимо чисто экономических издержек безработица
имеет и значительные социальные и психологические последствия, иногда менее
явные, но более серьезные, чем экономические.
Социальные последствия безработицы:
усиление политической нестабильности и
социальной напряженности в обществе;
обострение криминогенной ситуации, рост
преступности, поскольку значительное число правонарушений и преступлений
совершается неработающими лицами;
повышение числа самоубийств, психических и
сердечнососудистых заболеваний, смертности от алкоголизма, в целом случаев
девиантного поведения;
деформация личности безработного и его
социальных, связей, выражающаяся в появлении депрессии у вынужденно незанятых
граждан, потере ими квалификации и практических навыков; обострении семейных
отношений и распадах семей, сокращении внешних социальных связей безработного.
Последствия безработицы носят долговременный характер. Бывший безработный и
после трудоустройства характеризуется пониженной трудовой активностью,
конформностью поведения, что требует значительных усилий по реабилитации
безработных.
Также и социальные последствия могут быть
положительными:
повышение социальной ценности рабочего места;
увеличение личного свободного времени;
возрастание свободы выбора места работы;
увеличение социальной значимости и ценности
труда.
Экономические и социально-психологические
последствия безработицы свидетельствуют о том, что это достаточно опасное для
общества и личности явление, требующее проведения активной политики занятости,
нацеленной не только на ликвидацию последствий безработицы, но и на
профилактику и предупреждение ее неконтролируемого роста сверх минимально
допустимого уровня.
Вместе с тем, именно безработное население
составляет резерв, необходимый для нормального функционирования экономики
страны. Поэтому регулирование безработицы, как часть государственной политики
занятости, имеет целью, с одной стороны, создание мобильного потенциала рабочей
силы, а с другой - предупреждение и устранение ее негативных последствий,
создающих напряженность, как на рынке труда, так и в обществе в целом.
Существует два основных направления сокращения
безработицы:
) пассивное - государство заботится о пособиях и
их размерах;
) активное - помощь в трудоустройстве,
содействие профессиональной подготовке и переподготовки, содействие
самозанятости и предпринимательству, организация общественных работ.
Пути решения безработицы:
) прямой - возрождение отечественного
производства, организация новых рабочих мест;
) косвенный - административное и законодательное
регулирование занятости:
А) обеспечение правовой защищенности наемных
работников;
Б) использование альтернативных форм занятости;
В) развитие системы страхования от безработицы.
Глава 2. Методология
Для того чтобы произвести статистический анализ
безработицы, необходимо воспользоваться некоторыми показателями.
§ 1. Статистический анализ на основе рядов
динамики
Динамика - процесс изменения явления во времени.
Для отображения динамики строят ряды динамики.
Ряд динамики - числовое значение определенного
статистического показателя, расположенные в последовательные моменты или
периоды времени.
Числовые значения статистического показателя в
ряду динамики называют уровнями ряда и обозначают Y.
Существует несколько показателей рядов динамики,
которыми необходимо будет воспользоваться. Каждый из этих показателей будет
рассчитываться двумя методами: цепным и базисным
1) Δ - абсолютный прирост
- разность двух уровней. Показывает, насколько быстро изменяется конечный
уровень ряда относительно первоначального или предыдущего.
Цепной метод: Δ = yi
- yi-1
Базисный метод: Δ = yi
- y0, где
yi - уровень
ряда за отчетный период;
yi-1 - уровень
ряда за предыдущий период;
y0 - начальный
уровень ряда.
) Кр - коэффициент роста - отношение двух
уровней. Показывает, во сколько раз изменяется конечный уровень ряда
относительно начального или предыдущего.
Цепной метод: Кр = yi
/ yi - y1
Базисный метод: Кр = yi
/ y0
) Тр - темп роста. Показывает относительную
скорость изменения уровня временного ряда в единицу времени.
Цепной метод: Тр = Кр (цепной) * 100%
Базисный метод: Тр = Кр (базисный) * 100%
) Тпр - темп прироста - отношение прироста
исследуемого показателя к соответствующему уровню временного ряда.
Цепной метод: Тпр = Тр (цепной) - 100
Базисный метод: Тпр = Тр (базисный) - 100
) I%I - абсолютное значение 1% прироста -
отношение абсолютного прироста к темпу прироста. Показывает значимость каждого
процента прироста за этот же период времени.
Цепной метод: I%I = Δ (цепной)
/ Тпр (цепной)
Базисный метод: I%I = Δ
(базисный)
/ Тпр (базисный)
Также существуют формулы для средних показателей
рядов динамики.
1) Δср. = ∑Δ
/ n-1 - средний
абсолютный прирост. Показывает, на сколько в абсолютном выражении в среднем
изменился уровень ряда за рассматриваемый период.
2) Кр. ср. = 
- средний коэффициент роста.
Показывает, во сколько раз в среднем изменился уровень ряда за рассматриваемый
период.
) Тр. ср. = Кр. ср. * 100% - средний
темп роста.
) Тпр. ср. = Тр. ср. - 100 - средний
темп прироста. Показывает, на сколько процентов в среднем изменился уровень
ряда за рассматриваемый период.
) А1% ср. = Δср. / Тпр.
ср. - Среднее значение 1% прироста.
Также существуют методы выявления
тенденции (тренда) в рядах динамики.
Тренд - плавное и устойчивое
изменение уровня явления во времени, свободное от случайных колебаний.
Рассмотрим метод скользящей средней.
Суть данного метода в том, что сначала находится средний уровень из
определенного числа уровней, начиная с 1го уровня, затем находится средний
уровень из такого же числа уровней, начиная со 2го, затем с 3го и т.д.
На основании данных, полученных
методом скользящей средней, строится график выявления тренда.
§2. Средние величины
Показатели в форме средних величин выражают
типичные черты и дают обобщенную характеристику однотипных явлений по одному из
варьирующих признаков.
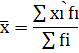
Определить среднюю удобно пользуясь ее исходным соотношением
или логической формулой:
средняя = суммарное значение осредненного
признака / число единиц совокупности
Для определения структурных средних величин,
необходимо учитывать такие показатели, как мода и медиана.
) Мода Мо - значение признака, наиболее часто
встречающееся в совокупности.
В интервальном ряду распределения мода
рассчитывается:
Mo = xMo + iMo* 
, где
xMo - нижняя
граница интервала, содержащего моду;
iMo - величина
интервала, содержащего моду;

- частота интервала, содержащего
моду;

- частота интервала,
предшествующего модальному интервалу;

- частота интервала, следующего за
модальным.
Модальным является интервал с
наибольшей частотой.
) Медиана Ме - значение признака,
приходящееся на середину ранжированной совокупности.
Me = xMe + iMe * 
, где
xMe - нижняя
граница интервала, содержащего медиану;
iMe - величина
интервала, содержащего медиану;

- накопленная частота интервала,
предшествующего медианному;

- частота интервала, содержащего
медиану.
Медианным является интервал, для
которого накопленная частота впервые превышает 50%.
Следует также рассчитать показатели
вариации.
Вариация - колеблемость,
изменчивость, многообразие, различие в значениях x признака у
отдельных единиц совокупности.
Показатели:
) R = Xmax - Xmin - размах
вариации
) d = 
= 
- среднее линейное отклонение.
Представляет собой среднюю величину из абсолютных значений, отклонений,
индивидуальных значений признака от их средних значений.
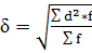
) 
- дисперсия. Представляет собой
средний квадрат отклонений индивидуальных значений признака от их средних
значений.
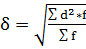
) 
- среднее квадратическое
отклонение. Представляет собой корень квадратный из среднего квадрата
отклонений индивидуальных значений признака от их средних значений, т.е. корень
квадратный из дисперсии.
Среднее линейное отклонение и
среднее квадратическое отклонение показывают как в среднем колеблются значения
признака относительно их среднего значения.

- коэффициент вариации -
относительный показатель вариации, дает сравнительную характеристику
колеблимости одного и того же признака в разных совокупностях или колеблимости
разных признаков в одной и той же совокупности.
§3. Относительный показатель
структуры
Также необходимо определить формулу
расчета относительного показателя структуры. Он показывает какую долю занимает
признак в целой совокупности.
Относительный показатель структуры (ОПС) =
показатель, характеризующий часть совокупности / показатель, характеризующий
всю совокупность
Глава 3. Статистический анализ уровня
безработицы в РФ
§ 1. Анализ безработицы на основе рядов динамики
за 2010-2012 года
|
Год
|
Количество
безработных (тыс. чел)
|
|
2009
|
6284
|
|
2010
|
5544
|
|
2011
|
4922
|
|
2012
|
4131
|
На основе данных таблицы найдем абсолютный
прирост Δ
-
обобщенная характеристика временного ряда. Показывает, насколько быстро
изменяется конечный уровень ряда относительно первоначального.
Базисный метод: Δ = yi
- y0
г. Δ = 5544 - 6284 =
-740 тыс.
чел.
г. Δ = 4922 - 6284 =
-1362 тыс.
чел.
г. Δ = 4131 - 6284 =
-2153 тыс.
чел.
Цепной метод: Δ = yi
- yi-1
г. Δ = 5544 -
6284 = -740 тыс. чел.
г. Δ = 4922 - 5544 =
-622 тыс.
чел.
г. Δ = 4131 - 4922 =
-791 тыс.
чел.
Базисный метод: Кр = yi
/ y0
г. Кр = 5544 / 6284 = 0,88
г. Кр = 4922 / 6284 = 0,78
г. Кр = 4131 / 6284 = 0,66
Цепной метод: Кр = yi
/ yi - y1
г. Кр = 5544 / 6284 = 0,88
г. Кр = 4922 / 5544 = 0,89
г. Кр = 4131 / 4922 = 0,84
Базисный метод : Тр = Кр (базисный) * 100%
г. Тр = 0,88 * 100% = 88 %
г. Тр = 0,78 * 100% = 78 %
г. Тр = 0,66 * 100% = 66 %
Цепной метод: Тр = Кр (цепной) * 100%
г. Тр = 0,88 * 100% = 88 %
г. Тр = 0,89 * 100% = 89 %
г. Тр = 0,84 * 100% = 84 %
Затем находим темп прироста.
Базисный метод: Тпр = Тр (базисный) - 100
г. Тпр = 88 - 100 = -12 %
г. Тпр = 78 - 100 = -22 %
г. Тпр = 66 - 100 = -34 %
Цепной метод: Тпр = Тр (цепной) - 100
г. Тпр = 88 - 100 = -12 %
г. Тпр = 89 - 100 = -11 %
г. Тпр = 84 - 100 = -16 %
Абсолютное значение 1% прироста
Базисный метод: I%I = Δ
(базисный)
/ Тпр (базисный)
2010 г.
I%I = -740 / -12 = 61,667 тыс.
чел.
г. I%I = -1362 / -22
= 61,909 тыс. чел.
г. I%I = -2153 / -34
= 63,324 тыс. чел.
Цепной метод:
I%I = Δ
(цепной)
/ Тпр
(цепной)
г. I%I = -740 / -12
= 61,667 тыс. чел.
г. I%I = -622 / -11 =56,
545 тыс.
чел.
2012 г. I%I
= -791 / -16 = 49,438 тыс. чел.
На основе рассчитанных данных составим таблицу.
Основные показатели рядов динамики
|
Показатели
|
2010
|
2011
|
2012
|
|
Численность
безработных
|
5544
|
4922
|
4131
|
|
Абсолютный
прирост
|
Базисный
|
-740
|
-1362
|
-2153
|
|
Цепной
|
-740
|
-622
|
-791
|
|
Коэф.
роста
|
Базисный
|
0,88
|
0,78
|
0,66
|
|
Цепной
|
0,88
|
0,89
|
0,84
|
|
Темп
роста
|
Базисный
|
88
|
78
|
66
|
|
Цепной
|
88
|
89
|
84
|
|
Темп
прироста
|
Базисный
|
-12
|
-22
|
-34
|
|
Цепной
|
-12
|
-11
|
-16
|
|
Абсолютное
значение 1% прироста
|
Базисный
|
61,667
|
61,909
|
63,324
|
|
Цепной
|
61,667
|
56, 545
|
49,438
|
Для наглядности отразим количество безработных
на гистограмме.
Из таблицы и гистограммы видно, что количество
безработных с 2010 по 2012 года сократилось на 1413 человек. Темпы роста при
цепном и базисных методах немного отличны друг от друга. При базисном методе за
2010 год темп роста составил 88%, за 2012 66%. При цепном методе за 2010 88%, а
за 2012 84%. Однако, в целом по обоим методам видно, что темп роста
уменьшается.
Рассчитаем средние показатели динамики.
Средний абсолютный прирост: Δср.
= ∑Δ / n-1
Базисный Δср.
= ((-740) + (-1362) + (-2153)) / 3 = -1418,3 тыс. чел.
Цепной Δср.
= ((-740) + (-622) + (-791)) / 3 = -717,7 тыс. чел.
Средний коэффициент роста: Кр. ср. =

Базисный Кр. ср. =
= 
= 0,77
Цепной Кр. ср. =
= 
= 0,87
Средний темп роста: Тр. ср. = Кр.
ср. * 100%
Базисный Тр. ср. = 0,77 * 100 = 77%
Цепной Тр. ср. = 0,87 * 100 = 87%
Средний темп прироста: Тпр. ср. =
Тр. ср. - 100
Базисный Тпр. ср. = 77 - 100 = -23%
Цепной Тпр. ср.= 87 - 100 = -13%
Среднее значение 1% прироста: А1%
ср. = Δср. / Тпр.
ср.
Базисный А1% ср. = -1418,3 / -23 =
61,7%
Цепной А1% ср. = -717,7 / -13 =
55,2%
Занесем данные в таблицу.
Средние показатели рядов динамики
|
Показатель
|
Базисный
|
Цепной
|
|
Средний
абсолютный прирост
|
-1418,3
|
-717,7
|
|
Средний
коэффициент роста
|
0,77
|
0,87
|
|
Средний
темп роста
|
77
|
87
|
|
Средний
темп прироста
|
-23
|
-13
|
|
Среднее
значение 1% прироста
|
61,7
|
55,2
|
Выявление тенденции изменения уровня безработицы
|
Года
|
Количество
безработных (тыс. чел.)
|
Трехчленные
скользящие суммы
|
Трехчленные
скользящие средние
|
|
2009
|
6284
|
-
|
|
2010
|
5544
|
-
|
5583
|
|
2011
|
4922
|
16750
|
4866
|
|
2012
|
4131
|
14597
|
-
|
Тенденция изменения уровня безработицы
С помощью метода скользящей средней и выявления
тенденции изменения уровня безработицы, выяснилось, что за анализируемый период
с 2009 по 2012 год, уровень безработицы снизился.
§2. Общая характеристика безработицы в РФ на
октябрь 2013 года
Численность экономически активного населения в
октябре 2013г. составила 75,7 млн.человек, или около 53% от общей численности
населения страны, в их числе 71,5 млн. человек, или 94,5% экономически
активного населения были заняты в экономике и 4,1 млн.человек (5,5%) не имели
занятия, но активно его искали (в соответствии с методологией Международной
Организации Труда они классифицируются как безработные). В государственных
учреждениях службы занятости населения зарегистрировано в качестве безработных
0,8 млн.человек.
По данным выборочного обследования населения по
проблемам занятости, проведенного по состоянию на вторую неделю октября 2013г.,
уровень занятости населения экономической деятельностью (доля занятого
населения в общей численности населения в возрасте 15-72 лет) составил 64,9%.
В октябре 2013г., по итогам выборочного
обследования населения по проблемам занятости, 4,1 млн.человек, или 5,5%
экономически активного населения, классифицировались как безработные (в
соответствии с методологией Международной Организации Труда). В государственных
учреждениях службы занятости населения в качестве безработных было
зарегистрировано 0,8 млн.человек, в том числе 0,7 млн.человек получали пособие
по безработице. Уровень безработицы в октябре 2013г. составил 5,5% (без
исключения сезонного фактора).
Средний возраст безработных в октябре 2013г.
составил 36 лет. Молодежь до 25 лет составляет среди безработных 23,7%, лица в
возрасте 50 лет и старше - 20%.
Средняя продолжительность поиска работы
безработными в октябре 2013г. у женщин составила 7,4 месяца, у мужчин - 6,8
месяца.
Безработица в значительной степени является
застойной. Из 1,5 млн. безработных сельских жителей 35,0% находились в ситуации
застойной безработицы (искали работу 12 месяцев и более), из 2,6 млн.
безработных городских жителей - 24,3%.
По данным проведенного обследования, в октябре
2013г. 28,8% безработных использовали в качестве способа поиска работы
обращение в государственные учреждения службы занятости населения, 62,0%
безработных - обращение к друзьям, родственникам и знакомым.
Численность не занятых трудовой деятельностью
граждан, состоящих на учете в государственных учреждениях службы занятости
населения. К концу октября 2013г. в государственных учреждениях службы
занятости населения состояли на учете 1,0 млн. не занятых трудовой
деятельностью граждан, из них 0,8 млн.человек имели статус безработного, в том
числе 0,7 млн.человек получали пособие по безработице.
В октябре 2013г. получили статус безработного
157,0 тыс.человек. Размеры трудоустройства безработных были на 15,3
тыс.человек, или на 14,3% меньше, чем в октябре 2012г., и составили 92
тыс.человек.
безработица
население динамика
Динамика численности экономически активного
населения (2012, 2013 гг.)
|
Месяц
|
Экономически
активное население
|
Занятые
|
Безработные
|
Уровень
безрабо тицы %
|
|
Млн.
чел.
|
в
% к соответствующему периоду предыдущего года
|
Млн.
чел.
|
в
% к соответствующему периоду предыдущего года
|
Млн.
чел.
|
в
% к соответствующему периоду предыдущего года
|
|
|
|
2012
г.
|
|
Июль
|
76,4
|
99,7
|
72,5
|
101,0
|
4,0
|
81,0
|
5,2
|
|
|
Август
|
76,6
|
99,8
|
72,8
|
100,9
|
3,8
|
82,5
|
5,0
|
|
Сентябрь
|
76,2
|
99,5
|
72,4
|
100,4
|
3,8
|
84,2
|
5,0
|
|
3
квартал в среднем за мес.
|
76,4
|
99,7
|
72,5
|
100,8
|
3,9
|
82,5
|
5,1
|
|
Октябрь
|
75,6
|
99,8
|
71,7
|
100,9
|
3,9
|
82,7
|
5,1
|
|
Ноябрь
|
75,6
|
99,7
|
71,6
|
100,7
|
3,9
|
84,4
|
5,2
|
|
Декабрь
|
75,4
|
99,7
|
71,5
|
100,7
|
3,8
|
84,4
|
5,1
|
|
4
квартал (в среднем за месяц)
|
75,5
|
99,7
|
71,6
|
100,8
|
3,9
|
83,9
|
5,1
|
|
Год
(в среднем за месяц)
|
75,7
|
99,9
|
71,5
|
101,0
|
4,1
|
83,9
|
5,5
|
|
2013
г.
|
|
Июль
|
75,8
|
99,2
|
71,8
|
99,1
|
4,0
|
101,2
|
5,3
|
|
Август
|
76,4
|
99,7
|
72,4
|
99,5
|
4,0
|
103.9
|
5,2
|
|
Сентябрь
|
75,8
|
99,4
|
71,8
|
99,1
|
4,0
|
103,8
|
5,3
|
|
3
квартал в среднем за мес.
|
76,0
|
99,4
|
72,0
|
99,2
|
4,0
|
103,0
|
5,2
|
|
Октябрь
|
75,7
|
100,1
|
71,5
|
99,8
|
4,1
|
106,5
|
5,5
|
|
|
|
|
|
|
|
|
|
|
|
|
Уровень безработицы находим по формуле: УБ = (Б
/ ЭАН) * 100%
:
Июль УБ = (4,0 / 76,4) * 100% = 5,2 %
Август УБ = (3,8 / 76,6) * 100% = 5,0 %
Сентябрь УБ = (3,8 / 76,2) * 100% = 5,0 %
квартал УБ = (3,9 / 76,4) * 100% = 5,1%
Октябрь УБ = (3,9 / 75,6) * 100% = 5,1 %
Аналогично рассчитывается уровень безработицы за
2013 год.
Сравнение уровня безработицы (%) за 4 месяца
2012, 2013 гг.
На графиках показаны линии уровня безработицы за
4 месяца 2012 года (синяя кривая) и за 4 месяца 2013 года (красная кривая).
Заметно, что в целом за эти месяцы уровень безработицы незначительно изменился.
Так, например, в 2012 году в октябре он составлял 5,1 %, а в октябре 2013 года
5,5.
§3. Возрастной состав безработных
Средний возраст безработных в октябре 2013г.
составил 36 лет. Молодежь до 25 лет среди безработных составляет 23,7%, в том
числе в возрасте 15-19 лет - 3,5%, 20-24 лет - 20,2%. Высокий уровень
безработицы отмечался в возрастной группе 15-19 лет (19,7%) и 20-24 лет
(11,8%). По сравнению с октябрем 2012г. уровень безработицы в возрасте 15-19
лет уменьшился на 5,5 процентного пункта, в возрасте 20-24 лет - на 2,1
процентного пункта.
В среднем среди молодежи в возрасте 15-24 лет
уровень безработицы в октябре 2013г. составил 12,5%, в том числе среди
городского населения - 11,8%, среди сельского населения - 14,4%. Коэффициент
превышения уровня безработицы среди молодежи в среднем по возрастной группе
15-24 лет по сравнению с уровнем безработицы населения в возрасте 30-49 лет
составляет 2,8 раза, в том числе среди городского населения - 3,3 раза,
сельского населения - 2 раза.
Возрастной состав безработных (городское
население) в октябре 2013 г.
|
Возрастной
интервал
|
%
безработных
|
Накопленное
значение
|
|
15-22
|
25,6
|
25,6
|
|
22-29
|
10,8
|
36,4
|
|
29-36
|
4,9
|
41,3
|
|
36-43
|
3,8
|
45,1
|
|
43-50
|
3,3
|
48,4
|
|
50-57
|
3,5
|
51,9
|
|
57-64
|
3,8
|
55,7
|
h = (xmax - xmin) / n= (64-15) / 7 =
7
На основе данных таблицы построим гистограмму, и
полигон распределения безработных по возрасту.
Отметим моду - значение признака, наиболее часто
встречающееся в совокупности. Из таблицы видно, что самый большой процент
безработных 25,6%, он находится в интервале от 15 до 22х лет. Значит, мода
будет находиться в этом интервале.
Построим кумуляту распределения безработных по
возрасту.
Для того, чтобы отметить значение медианы,
найдем номер медианного признака: (n+1)
/ 2 = (55,7+1) / 2 = 28,35
Проведем линию параллельную оси x
до пересечения ее с кумулятой. Из точки пересечения опустим перпендикуляр до
оси абсцисс. Абсцисса пересечения является медианой.
Найдем показатели центра распределения:

= 

= 29,3
= xMo + iMo*

= 15 + 7* (25,6 - 0) / ((25,6 - 0) +
(25,6 - 10,8)) = 19,41
= xMe + iMe
* 
= 22 + 7*
= 23,75
На основе данных таблицы
распределения безработных по возрасту, была составлена гистограмма и отмечен
полигон. После произведенных расчетов, стало известно, что значение моды равно 19,41.
Это значение находится в интервале от 15 до 22х лет и встречается наиболее
часто в данной совокупности.
Далее было дано графическое
изображение ряда в виде кумуляты. Рассчитанное значение медианы равно 23,75.
Это значение признака, приходящееся на середину упорядоченной совокупности. Оно
находится в интервале от 22 до 29 лет.
Рассчитаем показатели вариации. Для
этого построим вспомогательную таблицу:
|
|
|
F
|
|
|
|
|
|
|
15-22
|
18,5
|
25,6
|
-
10,8
|
10,8
|
276,48
|
76441,19
|
1956894,46
|
|
22-29
|
25,5
|
10,8
|
-
3,8
|
3,8
|
41,04
|
1684,28
|
18190,22
|
|
29-36
|
32,5
|
4,9
|
3,2
|
3,2
|
15,68
|
245,86
|
1204,71
|
|
36-43
|
39,5
|
3,8
|
10,2
|
10,2
|
38,76
|
1502,34
|
5708,89
|
|
43-50
|
46,5
|
3,3
|
17,2
|
17,2
|
56,76
|
3221,70
|
10631,61
|
|
50-57
|
53,5
|
3,5
|
24,2
|
24,2
|
84,7
|
7174,09
|
25109,32
|
|
57-64
|
60,5
|
3,8
|
31,2
|
31,2
|
118,56
|
14056,47
|
53414,59
|
|
∑
|
|
55,7
|
|
|
631,98
|
|
2071153,8
|
Линейное отклонение:
d = 
= 
d = 631,98 /
55,7 = 11,35
Среднее квадратическое:

δ = 
= 192,83
Коэффициент вариации:


(192,83 / 29,3)*100% = 658,12
Вариация - колеблемость, изменчивость,
многообразие, различие в значениях x признака у отдельных единиц совокупности.
Найденные показатели вариации означают:
d = 11,35 - это
средняя величина из абсолютных значений, отклонений, индивидуальных значений
признаков от их среднего значения.
δ = 192,83 -
значение, отражающее как в среднем колеблются значения признака относительно их
среднего значения.

658,12 - относительный показатель
вариации, который дает сравнительную характеристику колеблимости одного и того
же признака в совокупности.
§ 4. Структурный анализ безработицы
Произведем структурный анализ безработных по
субъектам Российской Федерации за август-октябрь 2013 год.
Относительный показатель структуры (ОПС) =
показатель, характеризующий часть совокупности / показатель, характеризующий
всю совокупность
Количество безработных в Российской Федерации за
три месяца (август-октябрь) в 2013 году составляло 4031,4 тыс. чел.
Рассмотрим какую долю составляют безработные по
субъектам РФ:
- Центральный федеральный округ:
ОПС = 690,1 / 4031,4 * 100% = 17,12%
Северо-Западный федеральный округ:
ОПС = 332 / 4031,4 * 100% = 8,24%
Южный федеральный округ:
ОПС = 444,1 / 4031,4 * 100% = 11,02%
Северо-Кавказский федеральный округ:
ОПС = 574,3 / 4031,4 * 100% = 14,25%
Приволжский федеральный округ:
ОПС = 732 / 4031,4 * 100% = 18,16%
Уральский федеральный округ:
ОПС = 354,3 / 4031,4 * 100% = 8,79%
Сибирский федеральный округ:
ОПС = 689,3 / 4031,4
* 100% = 17,1%
Дальневосточный федеральный округ:
ОПС = 215,3 / 4031,4 * 100% = 5,34%
Для наглядности отразим данные на гистограмме
На гистограмме видно, что наименьшую долю
безработных составляет Дальневосточный федеральный округ 5,34%. Наибольшие доли
безработных в таких федеральных округах, как Приволжский 18,16%, Центральный и
Сибирский по 17,1%.
Также произведем структурный анализ по способам
поиска работы. Данные за октябрь 2013 года.
Обращение к друзьям, родственникам, знакомым:
ОПС = 2568,66 / 4143 * 100% = 62%
Обращение в государственную службу занятости:
ОПС = 1193,18 / 4143 * 100% = 28,8%
Обращение непосредственно к работодателю:
ОПС = 1189,04 / 4143 * 100% = 28,7%
Обращение в СМИ, интернет:
ОПС = 1566,05 /
4143 * 100% = 37,8%
Большинство людей (62%) ищут работу через своих
друзей и родственников. Далее 37,8% людей предпочитают обращаться в СМИ и
интернет. Наименьшая доля (28,7%) - это обращение непосредственно к
работодателю.
Заключение
Проблема безработицы является одной из ключевых
проблем развития и функционирования человеческого общества. Она затрагивает
различные ее сферы: социальную, экономическую, политическую, а также моральную.
Поэтому эта проблема является чрезвычайно важной и актуальной в разные периоды
развития общества. Экономисты, социологи, психологи исследуют безработицу, ее
причины и последствия для страны.
Безработица выступает как сложное
социально-экономическое явление. Ее история очень длительна. Она фактически
появилась, когда собственники рабочей силы были отделены от собственности на
вещественные условия труда.
Изучение безработицы в России весьма затруднительно.
Официально она была признана только в начале 1990-х годов. Информация о
численности безработных появилась еще позже. В 1991 г. Государственной службой
занятости была организована регистрация безработных, со всеми вытекающими
последствиями (пособиями по безработице, оказанием услуг в трудоустройстве и
т.д.). Регулярные статистические обследования стали проводиться только с конца
1992 г.
Безработицу предопределяют различные факторы:
научно-технический прогресс обуславливает
сокращение, прежде всего, работников ручного труда;
структурные изменения в экономике вызывают
уменьшение числа занятых в отдельных отраслях производства;
повышение производительности труда также ведет к
уменьшению числа занятых;
сокращению живого труда способствует действие
закона экономии времени.
Федеральная служба безработицы по труду и
занятости РФ определяет уровень безработицы на основе численности официальных
безработных, зарегистрированных в ее органах в установленном порядке.
Полученная информация очень важна. На ее основе можно оценить состояние
официального рынка труда, определить динамику обращений граждан в службы
занятости и планировать статьи бюджета, направляемые на выплату пособий,
проводить обучение безработных и т.д.
Сравнивая уровни безработицы за 4 месяца 2012 и
2013 годов, было выявлено, что за анализируемый период, этот показатель
незначительно возрос. За последний анализируемый месяц (октябрь) он вырос в
2013 году на 0,4%.
Достижение естественного уровня безработицы,
считается наиболее целесообразным при решении этой проблемы. При нем
достигается оптимальный для экономики резерв рабочей силы, способный достаточно
быстро совершать межотраслевые и межрегиональные перемещения в зависимости от
колебаний спроса и обусловленных ими потребностей производства.
При рассмотрении последствий безработицы, можно
сделать вывод, что существуют как отрицательные, так и положительные моменты.
Положительными социальными последствиями безработицы могут быть: повышение
социальной ценности рабочего места; увеличение личного свободного времени;
возрастание свободы выбора места работы; увеличение социальной значимости и
ценности труда. Однако негативные моменты представляются намного серьезней. В
целом социальными негативными моментами безработицы являются увеличение
смертности от сердечных заболеваний, рост числа самоубийств и убийств,
численности пациентов в психиатрических лечебницах, ухудшение отношений в
семье, рост преступности и т. д., ведь люди остро переживают невостребованность
своих знаний, производственного опыта, переход от одной социальной группы в
другую.
Экономические и социально-психологические
последствия безработицы свидетельствуют о том, что это достаточно опасное для
общества и личности явление, требующее проведения активной политики занятости,
нацеленной не только на ликвидацию последствий безработицы, но и на
профилактику и предупреждение ее неконтролируемого роста сверх минимально
допустимого уровня.
Вместе с тем, именно безработное население
составляет резерв, необходимый для нормального функционирования экономики страны.
Для проведения статистического анализа
безработицы, необходимо было воспользоваться некоторыми показателями.
При анализе на основе рядов динамики за 2010 -
2012 года, можно сделать следующие выводы:
в целом количество безработных с 2010 по 2012
года сократилось на 1413 человек;
темп роста при базисном методе за 2010 год
составил 88%, за 2012 66%, при цепном методе за 2010 88%, а за 2012 84%. В
целом по обоим методам темп роста уменьшается.
Воспользовавшись методом скользящей средней,
суть которого в том, что сначала находится средний уровень из определенного
числа уровней, начиная с 1го уровня, затем находится средний уровень из такого
же числа уровней, начиная со 2го, затем с 3го и т.д., было выявлено, что за
анализируемый период с 2009 по 2012 год, уровень безработицы снизился.
Далее были рассмотрены данные за октябрь
нынешнего 2013 года. На данный момент количество безработных составляет 4,1
млн.человек (5,5%).
Затем был проведен анализ на основе средних
структурных величин. Был рассмотрен интервал от 15 до 64 лет, и составлена
таблица распределения безработных по возрасту. На основе данных таблицы, была
составлена гистограмма и отмечен полигон. После произведенных расчетов, стало
известно, что значение моды равно 19,41. Это значение находится в интервале от
15 до 22х лет и встречается наиболее часто в данной совокупности.
Далее было дано графическое изображение ряда в
виде кумуляты. Рассчитанное значение медианы равно 23,75. Это значение
признака, приходящееся на середину упорядоченной совокупности. Оно находится в
интервале от 22 до 29 лет.
После этого были рассчитаны показатели вариации,
которые означают следующее:
d = 11,35 - это
средняя величина из абсолютных значений, отклонений, индивидуальных значений
признаков от их среднего значения.
δ = 192,83 -
значение, отражающее как в среднем колеблются значения признака относительно их
среднего значения.
Также был произведен структурный
анализ безработицы по двум критериям:
1) по субъектам Российской Федерации за
август-октябрь 2013 год;
2) по способам поиска работы.
В ходе первого критерия было выявлено, что
наименьшую долю безработных составляет Дальневосточный федеральный округ 5,34%.
А наибольшие доли безработных в таких федеральных округах, как Приволжский
18,16%, Центральный и Сибирский по 17,1%.
Проанализировав второй критерий, стало известно,
что большинство людей (62%) ищут работу через своих друзей и родственников.
37,8% людей предпочитают обращаться в СМИ и интернет. И наименьшая доля (28,7%)
- это обращение непосредственно к работодателю.
Таким образом, в работе был произведен статистический
анализ безработицы в экономике Российской Федерации, по которому можно сделать
вывод о том, что в нашей стране большое количество безработных, однако есть
положительные результаты в сторону сокращения этого негативного явления.
Список использованной литературы:
1) Абакумов Н. Н. Безработица и
самозанятость. - М., 2009.-201с.
) Бреев, Б.Д. Безработица в
современной России / Б.Д. Бреев. - М.: «Наука», 2010. - 269 с.
) Инновационная экономика:
занятость, трудовая мотивация, эффективность труда / Л.с. Чижова, Е.С. Садовая,
В.В. Кузьмин и др.; под ред. Л.С. Чижовой; Ин-т макроэкономических
исследований. - Москва: Экономика, 2011. - 430 с.
) Кибанов А.Я., Митрофанова Е.А.,
Эсаулова И.А. Управление трудовыми ресурсами: Учебник / Под ред. А.Я. Кибанова.
- М.: ИНФРА-М, 2010. - 284 с.
) Коченев, Ю.Ю.Национальная
экономика: учеб. для вузов по экономическим специальностям / Ю.Ю. Коченев, В.В.
Патров - М.: «Экономистъ», 2010. - 457 с.
) Оганян К. М. / Стрельцов Н.М.
Занятость населения и ее регулирование: учеб. пособие для студентов высших
учебных заведений. - СПб. : Изд-во «Бизнес-пресса», 2010. - 371 с.
) Орехова С.А. Статистика / под ред.
С.А. Орехова- М.: Эксмо, 2010, 448с.
) Плакся, В.И.Безработица: теория и
современная практика / В.И. Плакся. - М.: «РАГС»,2010. - 384 с.
) Соколова Г. Н. Структура занятости
и безработица: Проблемы и тенденции // Экономика и жизнь.-2008.-№1.- 56 с.
) Шерстнева Г.С. Социальная
статистика / Г.С. Шерстнева. - М. : Эксмо, 2009. - 160 с.
Электронные ресурсы:
) Федеральная служба государственной
статистики
URL: <http://www.gks.ru/>
(Дата обращения: 07.12.2013)