Совершенствование системы управления предприятия ООО 'РАСКО'

  • Вид работы:
    Курсовая работа (т)
  • Предмет:
    Менеджмент
  • Язык:
    Русский
    ,
    Формат файла:
    MS Word
    54,12 Кб
  • Опубликовано:
    2013-11-15
Вы можете узнать стоимость помощи в написании студенческой работы.
Помощь в написании работы, которую точно примут!

Совершенствование системы управления предприятия ООО 'РАСКО'

Содержание

Введение

1. Общая характеристика предприятия

2.      Описание действующей структуры управления

.        Исследование системы коммуникаций на предприятии

4.      SWOT-анализ деятельности организации

.        Структурирование проблемного поля организации

Заключение

Список использованной литературы

ВВЕДЕНИЕ

В современном мире предприятия и организации самостоятельно ведут подбор персонала и распоряжаются как трудовыми, так и человеческими ресурсами, что требует серьезного подхода к разработке кадровой политики. В современном менеджменте, главный резерв повышения эффективности производственно-хозяйственной деятельности - это улучшение использования трудовых ресурсов. Актуальными становятся вопросы, например, кадрового менеджмента, рассматриваемые широко в таком диапазоне, как: от экономико-материального моделирования управленческих ситуаций до философско-психологического анализа человеческих отношений в процессе управления.

Содержание понятия «система управления персоналом», стало более обогащено. Нужно отметить, что в мире научной литературы существует множество различных точек зрения на проблему управления.

“Система управления персоналом”, включает в содержание своего понятия: подготовку кадров, их подбор, расстановку, использование, переподготовку, воспитание, организацию творческого роста, создание кадрового резерва, планирование движения кадров, их переаттестацию.

Система управления персоналом в основном везде представлена в узком смысле - это работа администрации и общественных организаций предприятия с членами всего коллектива, с его функциональными и социальными группами, а также с каждым человеком, работающем на этом предприятии.

Система управления персоналом также может быть представлена инструментом управления, т.е. организующей деятельности, имеющей цель объединить усилия всех работников данного предприятия для решения поставленных задач. Авторы многих учебников распространили понятие “кадры” на всех работников предприятия, на весь коллектив с его группами, но только на уровне предприятия.

Актуальность выбранной мною темы курсовой работы заключается в том, что в настоящее время от проектирования системы управления организацией в целом нельзя отделить проектирование управления персоналом, так как последнее, включает не только функциональные подразделения, занимающиеся работой с персоналом, но и всех линейных руководителей начиная от директора до бригадира. По другому, систему управления персоналом можно назвать «костяком» управления организацией. И поэтому любой специалист, который связан с управлением организацией и управлением персонала владеет методологией управления персоналом и теорией управления человеческими ресурсами, так как конечный результат деятельности предприятия зависит непосредственно от планирования кадровой работы.

Цель курсовой работы: анализ эффективности системы управления персоналом на примере предприятия ООО «РАСКО» и разработка мероприятий по ее совершенствованию.

Тема данной работы: «Совершенствование системы управления предприятием».

Для достижения поставленной цели видится необходимым решить ряд задач:

·    Дать общую характеристику рассматриваемого предприятия ООО «РАСКО»;

·        Описать действующую организационную структуру управления;

·        Привести описание исследований системы коммуникаций;

·        Составить SWOT-анализ деятельности организации;

·        Структурировать проблемное поле организации.

Объектом исследования является - ООО «РАСКО» Гусь-Хрустального района Владимирской области. Предмет исследований - система управления предприятия.

1.   Общая характеристика предприятия


Стекольная компания «РАСКО» имеет многовековую историю <#"707135.files/image001.gif">

Рисунок 2.1 Диаграмма потребления продукции. Всего:103200тыс. шт. в год

Потребителями являются многочисленные заводы и фирмы по всей РФ и за рубежом (рис. 2.1), выпускающие пищевую продукцию, которым необходима стеклобутылка и банка: Таким как по изготовлению виноводочных изделий (водка, коньяк); детское питание, майонез, кетчуп и т.д. Кроме того, имеется большое количество заказчиков разового плана, которые приобретают продукцию без предварительных заказов, что позволяет предприятию равномерно сохранять высокий объем продаж, даже при временном отсутствии средств у постоянных потребителей.

2.   Описание действующей организационной структуры управления

"Структура управления организацией", или "организационная структура управления" (ОСУ) - одно из ключевых понятий менеджмента, тесно связанное с целями, функциями, процессом управления, работой менеджеров и распределением между ними полномочий. Организационная структура управления - это внутренняя упорядоченность, согласованность и взаимодействие отдельных частей единого целого.

ООО «РАСКО» - крупное предприятие, с численностью, по данным 2012 года, 145 человек, занимающееся производством стеклянной тары для пивоваренной, ликероводочной и пищевой промышленности. Каждый руководитель имеет в своем подчинении более одного сотрудника.

Как видно из данных таблицы 2.2 на предприятии наблюдается сокращение численности персонала, хотя потребность в кадрах не сокращается, в основном это связанно с уходом сотрудников по собственному желанию. Поэтому на предприятии особо остро стоит проблема разработки эффективной кадровой политики.

Как видно численность персонала ООО «РАСКО» по сравнению с 2010 годом сократилась на 24 человека, это является достаточно большой потерей для предприятия, так как его основные конкуренты непрерывно расширяют свой штат, в том числе за счет ушедших с предприятия сотрудников обладающих большим опытом работы в данном направлении.

Типами существующих организационных структур ООО «РАСКО» и самого стекольного производства являются матричная проектная и линейная структура управления соответственно. Для определения целесообразности данной оргструктуры на предприятии ООО «РАСКО» необходимо рассчитать следующие объективные показатели, характеризующие качество организационной структуры управления:

Таблица 2

Структура персонала по категориям

Работники

Количество работников 2010 г., чел.

%

Количество работников 2011 г., чел.

%

Количество работников 2012 г., чел.

%

Всего работников, в том числе

169

100

156

100

145

100

рабочие

64

37,9

60

38,5

63

43,5

руководители

21

12,4

19

12,2

19

13,1

ИТР

79

46,7

73

46,8

59

служащие

5

3,0

4

2,5

4

2,7

1.   величина расходов на содержание административно-управленческого аппарата:

Валовая величина:7860000 руб./год

Средняя величина:1310000 руб/год

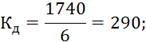
.     Количество документов Кд , приходящихся на одного работника управления:

где ВД- количество входящих и исходящих документов по предприятию за 2011 год, Чз-численность работников аппарата управления в данном звене


.     Кип = Дипи

Кип= 369/369=1(данные за 2012 год)

.     Куп = Фii

Куп(1)=1/5 (президент)

Куп(2)=1/4 (директор по качеству)

Куп(3)=1/1 (технический директор)

Куп(4)=1/9 (вице-президент)

Куп(5)=1/1 (коммерческий директор)

Куп(6)=1/3 (финансовый директор)

5.   Кц цаii

Кц=6/144=1/24=0,04

Удельный вес менеджеров составляет 18,6%.

По организационной структуре предприятия видно, что в компании есть 3 уровня менеджмента:

.     Руководители низшего звена

2.      Руководители среднего звена

.        Руководители высшего звена

Типами существующих организационных структур ООО «РАСКО» и самого стекольного производства являются матричная проектная и линейная структуры управления соответственно. В свою очередь у каждого руководителя структурного подразделения имеются подчиненные ему работники, т.е. проявляется четкая система взаимосвязей, быстрота реакции, согласованность действий.

В ходе расчетов было выявлено:

.     Все приказы выполняются в полной мере

2.      Все коэффициенты соответствуют нормативным

.        У финансового директора, генерального директора, технического директора были введены заместители, т.к. были превышены нормы управляемости на предприятии.

3.   Исследование системы коммуникаций на предприятии

В данном разделе проводится описание движения организационно-управленческой, технологической и экономической информации в системе управления на предприятии по схеме:

-     источник (т.е. тип документации);

-        отправитель (должность или структурное подразделение);

         получатель (должность или структурное подразделение).

Договоры, заявки на поставку

Заявки, отчеты договоры на поставку

Платежи доставка товара

Заявки отчеты об отчеты

Договоры на поставку


Ниже приведено описание отделов, участвующих в системе коммуникаций ООО «РАСКО»:

1.      Бухгалтерия. В соответствии с законодательством, бухгалтерия является отдельным структурным подразделением предприятия, её начальник (главный бухгалтер) подчиняется непосредственно руководителю предприятия. Рациональность организации учёта во многом зависит от правильности определения структуры бухгалтерского <#"707135.files/image005.jpg">,

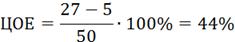
где n - сумма выборов, приходящихся на 5 качеств, получивших в группе максимальное предпочтение;

m - сумма выборов, приходящихся на 5 качеств, получивших наименьшее предпочтение;

N - общее количество выборов.

управление коммуникация персонал

Исходя из полученных результатов, можно сделать вывод, что мнения по ценностным факторам группы совпадает.

В заключении данного раздела, я хочу описать функционирование отдела кадров. Отдел кадров - обособленное функциональное подразделение компании, подчиняющееся президенту компании и выполняющее основные задачи:

·    организация работы по выработке кадровой политики;

·        подбор, отбор, расстановка, изучение и использование рабочих кадров, руководителей и специалистов;

·        участие в формировании стабильного коллектива;

·        создание кадрового резерва и работы с ним;

·        организация учета кадров.

Из всего выше перечисленного, можно сделать вывод, что в системе управления, движение информации происходит своевременно, а проблемы, возникающие в ходе работы компании могут быть устранены в ходе обратной связи с рабочими и работниками, находящимися в подчинении.

4. SWOT-АНАЛИЗ деятельности предприятия

В данном разделе будут проведены исследования в 2 направлениях:

·    изучение внутренней среды организации (ПРиМ-анализ). ПриМ-анализ - это внутренний анализ среды организации, проводится по двум направлениям: анализ эффективности преработки основных видов ресурсов в организации и уровень менеджмента в организации.

·        изучение внешней среды организации (PEST-анализ). PEST-анализ - выявление важных аспектов внешней среды: политических, экономических, технологических и социальных, которые влияют на бизнес компании.

Также будет приведен SWOT-анализ деятельности предприятия, т.е. будут показаны сильные и слабые стороны предприятия, возможности и угрозы применительно к текущему состоянию предприятия. В ходе данного анализа будут сформированы 4 списка:

.     Сильные стороны предприятия:

1.1 Стабильное высокое качество продукции, позволяет наиболее полно отвечать требованием заказчиков;

1.2    Рабочие с высокой квалификацией нужны для успешного функционирования предприятия;

1.3    Работа, соответствующая стандарту ISO 9001:2008 <#"707135.files/image007.gif">

Второй блок



В данном разделе приведен графический пример проблемного поля организации и причины его возникновения. Основной причиной этих проблем стало внедрение новых технологий, привлекших за собой сокращение численности сотрудников компании.

Заключение

ООО «РАСКО» - это предприятие прибыльно, рентабельно и работает очень эффективно.

Главной задачей ООО «РАСКО» стало достижение и поддержание качества продукции и услуг, оказываемых потребителю на уровне, соответствующем мировому стандарту, расширение рынков сбыта и повышение конкурентоспособности выпускаемой продукции, получение возможности выгодно продавать товары, производимые предприятием за настоящую цену на любой рынке, обеспечив тем самым каждому работнику подлинное благополучие на долгие годы.

Потребителями являются многочисленные заводы и фирмы по всей РФ и за рубежом, выпускающие пищевую продукцию, которым необходима стеклобутылка и банка: Таким как по изготовлению виноводочных изделий (водка, коньяк); детское питание, майонез, кетчуп и т.д. Кроме того, имеется большое количество заказчиков разового плана, которые приобретают продукцию без предварительных заказов, что позволяет предприятию равномерно сохранять высокий объем продаж, даже при временном отсутствии средств у постоянных потребителей.

Известно, что основными факторами производства на предприятии являются: средства труда, предметы труда, кадры. Основная роль принадлежит кадровому потенциалу предприятия. На данном предприятии для всех работающих предусматривается пятидневная рабочая неделя с восьмичасовым рабочим днем.

Анализ структуры персонала по категориям показал, что на предприятии наблюдается сокращение численности персонала, хотя потребность в кадрах не сокращается, в основном это связанно с уходом сотрудников по собственному желанию. По этому на предприятии особо остро стоит проблема разработки эффективной кадровой политики.

Так как в соответствии со спецификой деятельности ООО «РАСКО» подбор и подготовка высококвалифицированных специалистов готовых работать в данной отрасли является достаточно сложным и дорогостоящим. Из таблицы 2 видно, что идет снижение именно инженерно - технических работников, которые как раз выполняют высококвалифицированную работу, выполняют чертежи и разрабатывают задания для рабочих. Уход даже одного из специалистов наносит предприятию ущерб.

В результате прогноза спроса и предложения на трудовые ресурсы любая организация может выяснить число людей, в которых она нуждается, уровень их квалификации и расстановку кадров.

В системе управления, движение информации происходит своевременно, а проблемы, возникающие в ходе работы компании могут быть устранены в ходе обратной связи с рабочими и работниками, находящимися в подчинении.

Уровень ценностно-ориентационного единства равен 48%, что свидетельствует о среднем уровне и совпадении мнений по ценностным факторам группы. В 4 разделе показано, что в системе управления, движение информации происходит своевременно, а проблемы, возникающие в ходе работы компании могут быть устранены в ходе обратной связи с рабочими и работниками, находящимися в подчинении.

Так как компании берут на работу людей самого разного профессионального уровня и нуждаются в самых различных специальностях, сеть набора служащих должна быть достаточно широкой и разнообразной. Для набора младших служащих хорошим источником являются местная школа, среднее профессиональное училище и так же многие компании поддерживают полезные контакты.

Также был проведен SWOT-анализ деятельности предприятия, т.е. были показаны сильные и слабые стороны предприятия, возможности и угрозы применительно к текущему состоянию предприятия. По результатам SWOT-анализа понятно, что предприятие ООО «РАСКО» имеет достаточное количество сильных сторон и возможностей для развития. Матрица решений на основе SWOT-анализа позволит руководителю предприятия ликвидировать угрозы внешней среды и укрепить слабые стороны предприятия, а также направить сильные позиции и возможности предприятия на завоевание конкурентных преимуществ.

На основании данных выводов и рекомендаций в текущем разделе можно предложить перечень практических шагов по совершенствованию системы менеджмента на предприятии ООО «РАСКО». Этот перечень предполагает систематическое изменение существующей системы управления на новую, более эффективную, с учетом изменений в микро- и макросредах организаций:.     В связи с важностью применения информационных технологий необходимо внедрить автоматизированную информационную технологию (АИТ) управления предприятием.

Информационная технология является частью системы информационного обеспечения системы управления и выполняет технологические функции по накоплению, хранению, передачи и обработки информации. Она складывается, формируется и функционирует в регламенте, определенном методами и структурой управленческой деятельности, принятой в конкретной организации, реализует цели и задачи, стоящие перед ней. Автоматизированная информационная технология (АИТ) управления предприятием представляет собой систему процедур преобразования информации по кадрам с целью ее формирования, организации, обработки, распространения и использования соответствующими структурными подразделениями или руководителями. Как правило, любая АИТ направлена на формирование, сбор, передачу, хранение и обработку информации с учетом потребностей конкретного пользователя независимо от ее объемов, обеспечивая при этом автоматизацию рутинных и формализуемых операций, выполняемых управленческим персоналом, и подготовку аналитической информации для принятия решений.

Применение АИТ в кадровой работе обеспечивает:

·    экономию рабочего времени сотрудников кадровой службы за счет использования более эффективной технологии обработки информации;

·        выполнение функций, которые не выполнялись ранее сотрудниками кадровой службы, за счет экономии рабочего времени на практическую реализацию автоматизированных функций;

·        повышение качества управленческих решений за счет более высокой информационной поддержки руководства;

·        повышение степени обоснованности принимаемых управленческих решений;

·        повышение статуса сотрудников, выполняющих должностные обязанности с использованием прогрессивных технологий;

·        рост заинтересованности сотрудников службы управления персоналом в повышении собственной квалификации для ликвидации отставаний имеющихся знаний и навыков от требований, используемых в организации АИТ.

B.  Провести реструктуризацию существующей кадровой службы на ООО «РАСКО».

В последнее время вновь возрос интерес к организационным структурам. Организационная структура - это механизм, призванный обеспечить максимальную эффективность деятельности компании или - иначе - позволяющий оптимальным образом достигать цели компании. Компания - сложный механизм и не приходится надеяться, что единожды разработанная структура будет идеальной всегда. Более того, нет ни одной идеальной, лишенной недостатков структуры. Подходить к ее разработке и совершенствованию надо взвешенно, продуманно и решительно. Для этого нужно сделать следующее распределение функций:

.     Отдел кадров:

·    оформление трудовых отношений, кадровое делопроизводство и документооборот;

·        текущее и перспективное планирование потребностей завода в персонале;

·        работа с службами занятости населения и кадровыми агентствами;

·        работа с учебными заведениями по организации практики и дальнейшему трудоустройству выпускников;

·        работа с контролирующими организациями по труду и т.д.

2.   Отдел по поиску, отбору и расстановке кадров:

·    разработка компетенций к должностям всех сотрудников;

·        разработка нормативной документации по всем процессам управления персоналом;

·        контроль исполнения нормативной документации в подразделениях и консультации руководителей.

3.   Отдел по повышению квалификации:

·    оценка и аттестация персонала;

·        обучение и повышение квалификации персонала.

C.  Создать учебный центр по подготовке к профессиональной деятельности и обучения вновь принятых работников.

Кадры являются самым значительным ресурсом любого общества, любой страны и любой организации. Недаром в западных экономически развитых странах, говоря об управлении кадрами, подразумеваются именно «людские ресурсы». Хорошим вариантом развития персонала в организации служит создание учебного центра по подготовке к профессиональной деятельности и обучения вновь принятых работников. Создание подобного центра позволит грамотно и оперативно распределить новых специалистов к уже опытным сотрудникам, отработавшим длительный период времени, которые смогут научить и проконтролировать работу принятого сотрудника в течение первого времени его работы на предприятии. Кроме этого сотрудникам учебного центра вменяется в обязанности такая важная функция, как оценка и аттестация персонала, от которой напрямую будет зависеть заработная плата работников и руководство ООО «РАСКО» сможет получить оперативную информацию об уровне работы каждого из сотрудников..               Рассмотреть возможность дополнительного стимулирования работников предприятия ООО «РАСКО».

Стимулирование как тактика решения проблемы является ориентацией на фактическую структуру ценностных ориентации и интересов работника, на более полную реализацию имеющегося трудового потенциала. Мотивация и стимулирование как методы управления трудом противоположны по направленности: первая направлена на изменение существующего положения; второе - на его закрепление, но при этом они взаимно дополняют друг друга: мы не сможем выбраться из кризиса без качественного изменения трудовой мотивации. Процессы мотивации и стимулирования могут не только совпадать, взаимоусиливаться, но и противостоять друг другу. Стимулирование должно соответствовать потребностям, интересам и способностям работника, т.е. механизм стимулирования должен быть адекватен механизму мотивации работника. Важно также отчетливо представлять, что мотивация - это внутренний процесс сознательного выбора человеком того или иного типа поведения, определяемого комплексным воздействием внешних (стимулы) и внутренних (мотивы) факторов. В качестве компонентов функционирования мотивации трудовой деятельности исследователи называют включенность или невключенность в трудовую деятельность; мотивационное ядро; удовлетворенность трудом; трудовое поведение. Стимулирование как способ управления трудовым поведением работника состоит в целенаправленном воздействии на поведение персонала посредством влияния на условия его жизнедеятельности, используя мотивы, движущие его деятельностью.


Список использованной литературы

1. Чайников, В.В. Экономика предприятия (организации) [Текст]: учеб. Пособие / В.В. Чайников, Д.Г. Лапин. - М.: РосНОУ. - 2010. - 480 с. - ISBN 978-5-89789-051-4

2.      Сальникова, Л.В. Справочник работодателя: практ. рекомендации по применению трудового кодекса: ситуации и примеры [Текст] / Л.В. Сальникова, М.А. Шитова. - 4-е изд., перераб. и доп. - М.: Омега-Л. - 2010. - 148 с. - ISBN 978-5-370-01312-6

3.      Одегов, Ю.Г. Мотивация трудовой деятельности [Текст]: учеб.-практ. Пособие / Ю.Г. Одегов, А.А. Федченко, Е.С. Дашкова. - М.: Альфа-Пресс. - 2009. - 335 с. - ISBN 978-5-94280-424-4

4.      Конституция Российской Федерации (принята всенародным голосованием 12.12.1993) (с учетом поправок, внесенных Законами РФ о поправках к Конституции РФ от 30.12.2008 № 6-ФКЗ, от 30.12.2008 № 7-ФКЗ) [Текст] // РГ, №7, 21.01.2009

5.      Бычин, В.Б. Организация и нормирование труда [Текст]: учеб. пособие /В. Б. Бычин, Е.В. Шубенкова, С.В. Малинин. - М.: ИНФРА-М. - 2009. - 247 с. - \ISBN 978-5-16-003599-4

6.      Захаркина, О.И. Кадровая служба предприятия: делопроизводство, документооборот и нормативная база [Текст]: практ. пособие /О. И. Захаркина, Д.Е. Гусятникова . - 3-е изд., испр. - М.: Омега-Л. - 2008. - 261 с. - ISBN 978-5-370-00641-8

7.      Федорова, Н.Н. Организационная структура управления предприятием: учеб. пособие / Н.Н. Федорова. - М: Велби, 2003. - 256 с. - ISBN 5-27901-965-8

.        Лапыгин, Ю.Н. Менеджмент (конспект лекций). - Владимир: ВФМУПК, ВГПУ, 2001. - 120 с. ISBN 5 - 87846 - 268 - 0

Похожие работы на - Совершенствование системы управления предприятия ООО 'РАСКО'

 

Не нашли материал для своей работы?
Поможем написать уникальную работу
Без плагиата!
Без нейросетей!