Планирование на предприятии
Министерство
образования РФ
ГОСУДАРСТВЕННОЕ
ОБРАЗОВАТЕЛЬНОЕ УЧРЕЖДЕНИЕ ВЫСШЕГО ПРОФЕССИОНАЛЬНОГО ОБРАЗОВАНИЯ
ТЮМЕНСКИЙ
ГОСУДАРСТВЕННЫЙ АРХИТЕКТУРНО-СТРОИТЕЛЬНЫЙ УНИВЕРСИТЕТ
Контрольная
работа
По
дисциплине "Планирование
на предприятии "
Выполнила:
студентка ИНЖЕКИ
Хаджияниди А.С.
Проверил: Меллер
Н.В.
Тюмень
2012
Содержание
Введение
. Назначение и источники
финансирования
. Баланс предприятия
. Прогнозирование выручки от
реализации продукции
. Планирование переменных
издержек
. Планирование постоянных
издержек
. Планирование финансовых
результатов деятельности предприятия
. Планирование движения денежных
средств
. Основные финансовые
коэффициенты
. Анализ безубыточности
предприятия
Заключение
Список литературы
Введение
Планирование составляет один из основных
элементов системы управления организации, предприятия. Как элемент системы
менеджмента, планирование представляет собой относительно самостоятельную
подсистему, включающую совокупность специфических инструментов, правил, структурных
органов, информации и процессов, направленных на подготовку и обеспечение
выполнения планов.
Главное достоинство планирования заключается в
том, что правильно составленный план дает перспективу развития фирмы, то есть
отвечает на самый важный вопрос: стоит ли вкладывать деньги в это дело,
принесет ли оно доходы, которые окупят все затраты сил и средств.
Сущность экономико-математических методов
планирования состоит в том, что они позволяют с меньшими затратами времени и
средств находить количественное выражение взаимосвязи между сложными
социально-экономическими, технологическими и иными процессами, опосредованными
в показателях. Так, можно определить оптимальную зависимость между: партией
поставки товаров и издержками на их транспортировку и хранение; объемом
деятельности и издержками с учетом необходимой прибыли; объемом
капиталовложений и прибылью. Применение этой группы методов способствует
устранению субъективизма в планировании и повышает научный уровень
обоснованности плана. Однако применение этих методов требует точного
математического описания экономической задачи и обязательной экспертной оценки
полученных данных.
В российском бизнесе существует ряд факторов,
ограничивающих использование планирования, к ним относятся:
· высокая степень неопределенности на
российском рынке, обусловленная глобальными изменениями во всех сферах жизни:
экономической, политической, социальной, духовной;
· низкий уровень накопления капитала,
не позволяющий осуществлять эффективные затраты на организацию планирования;
· отсутствие эффективных юридических и
этических норм, регулирующих поведение предпринимателей, отсутствие культуры
отечественного рынка.
Характер и содержание плановой деятельности в
организации определяют принципы планирования.
Актуальность для предприятия планирования
деятельности заключается в обосновании необходимых объемов работ и привлечения
ресурсов, требуемых для выполнения запланированного объема работ.
Цель планирования на предприятии: составление
финансового плана, привлекающей краткосрочный и долгосрочный кредиты для
расширения производственной деятельности.
Задачи планирования на предприятии: произвести
расчет и анализ по следующим пунктам:
· Баланс предприятия
· Прогнозирование выручки от
реализации продукции
· Планирование переменных издержек
· Планирование постоянных издержек
· Планирование финансовых результатов
деятельности предприятия
· Планирование движения денежных
средств
· Основные финансовые коэффициенты
· Анализ безубыточности предприятия
Основная задача планирования - разработать мероприятия,
которые необходимо выполнить сегодня для того, чтобы предприятие могло
эффективно работать в будущем.
1. Назначение
и источники финансирования
В качестве источников финансовых средств могут
выступать:
·
средства,
предоставляемые учредителями предприятия;
·
кредиты
банков;
·
инвестиционный
капитал, т.е. средства, полученные от продажи части предприятия одному,
нескольким или многим физическим или юридическим лицам.
В табл.1 приводятся источники финансирования.
Таблица 1
|
Наименование
|
Сумма
|
|
1.
Сумма долгосрочного кредита
|
17000000
|
|
2.Сумма
краткосрочного кредита
|
30500000
|
|
ВСЕГО
|
47500000
|
Потребность в основных средствах и оборудовании
представляется в форме табл.2.
Таблица 2 Потребность в строительных машинах и
оборудовании
|
Номер
по заданию
|
Наименование
|
Цена
за ед.руб
|
Наобходимое
количество
|
Сумма
рублей
|
|
0
|
Автомобиль
грузовой
|
2000000
|
1
|
2000000
|
|
16
|
Краскопульт
|
190000
|
2
|
380000
|
|
1
|
Экскаватор
однаковшовый
|
6000000
|
1
|
6000000
|
|
5
|
Штукатурная
станция
|
270000
|
2
|
540000
|
|
Итого
|
|
8460000
|
6
|
8920000
|
Определяя назначение привлекаемого капитала,
принимаем, что недвижимость приобретается в собственность. В табл.3 приводится
описание применения привлекаемого капитала.
Таблица 3 Применение привлекаемого капитала
|
Наименование
|
Сумма
|
|
Покупка
недвижемого имущества
|
17000000
|
|
Приобретение
оборудования
|
8920000
|
|
Реконструкция
и ремонт помещений
|
10790000
|
|
Увеличение
обортный средств
|
10790000
|
|
Всего
|
47500000
|
Принимаем, что сумму средств краткосрочного
кредита, направляемую на проведения реконструкции и ремонта помещений,
увеличения оборотных средств, после вычета расходов на приобретение
оборудования и строительных машин распределяем в соотношении 50% и 50%.
2. Баланс
предприятия
Состав и структура баланса предприятия на начало
планового периода представлены в табл.4.
Таблица 4 Состав и структура баланса
|
АКТИВ
|
руб.
|
ПАССИВ
|
руб.
|
|
руб.
|
|
1.Капитал
оборотный
|
166780
|
1
|
Капитал
краткосрочных обязательств
|
331384
|
Капитал
заемный (1+2)
|
937784
|
|
25268
|
|
|
|
|
|
|
131372
|
2
|
Капитал
долгосрочных обязательств
|
606400
|
|
|
|
338572
|
3
|
Капита
собственный
|
4008408
|
Капитал
постоянный (2+3)
|
4614808
|
|
2.Капитал
долгосрочных вложений
|
1384600
|
|
|
|
|
|
|
3.Капитал
основной
|
2392248
|
|
|
|
|
|
|
4.Капитал
нематериальных вложений
|
507352
|
|
|
|
|
|
|
|
4946192
|
|
|
4946192
|
3. Прогнозирование
выручки от реализации продукции
Планируемые показатели доходной части бюджета
предприятия являются фундаментом для большей части стратегических и тактических
финансовых планов.
Строительная организация, несколько лет
работающая в условиях рынка и завоевавшая довольно устойчивое положение,
выполняет, как правило, определенные специализированные виды работ, объем
которых имеет незначительные колебания, связанные, в основном, с сезонностью их
выполнения. В данном курсовом проекте прогнозируем на год объемы работ в
стоимостном выражении для строительной организации, специализирующейся на
выполнении работ по сооружению подземной и надземной частей жилых зданий.
Форма составления годового плана выручки от
реализации (Qреал) продукции по
видам специализированных работ с разбивкой по месяцам приведена в табл.5.
Таблица 5. Коэффициенты
изменения объема работ и численности производственного персонала по месяцам
планового года
|
Янв
|
Фев
|
Мар.
|
Апр
|
Май
|
Июн
|
Июл
|
Авг
|
Сен
|
Окт
|
Ноя
|
Дек
|
|
1
|
1
|
1
|
1,05
|
1,1
|
1,1
|
1
|
1
|
1
|
0,95
|
0,9
|
0,95
|
Таблица 5.01 Среднегодовая
численность и среднемесячная выработка а по видам работ за предшествующий год.
Выручка от реализации определяет по следующей
формуле:
,
- выручка от
реализации продукции,
- выработка на
одного работника в год,
- среднесписочная
численность работников, чел.
Расчет выручки за январь:
руб.
руб.
руб.
руб.
руб.
Для определения выручки по месяцам применяются
коэффициенты изменения объема работ и численности производственного персонала
по месяцам планового года, которые приведены в таблице.5.0
Таким образом, выручка за февраль и последующие
месяцы плана определяется следующим образом:
,
- выручка от
реализации продукции в феврале,
- выручка от
реализации продукции в январе,
- коэффициент
изменения объема работ в марте.
Таблица 5 Составление
годового плана выручки от реализации продукции по видам специализированных
работ
|
Период
|
Наименование
работ
|
|
Нулевой
цикл
|
Сантехнические
|
Отделочные
|
Столярные
|
Кровельные
|
ВСЕГО
|
|
Январь
|
14
783 280
|
11
103 600
|
6
551 700
|
8
340 200
|
8
328 100
|
49
106 880
|
|
Февраль
|
14
783 280
|
11
103 600
|
6
551 700
|
8
340 200
|
8
328 100
|
49
106 880
|
|
Март
|
14
783 280
|
11
103 600
|
6
551 700
|
8
340 200
|
8
328 100
|
49
106 880
|
|
1
квартал
|
44
349 840
|
33
310 800
|
19
655 100
|
25
020 600
|
24
984 300
|
147
320 640
|
|
Апрель
|
15
522 444
|
11
658 780
|
6
879 285
|
8
757 210
|
8
744 505
|
51
562 224
|
|
Май
|
17
074 688
|
12
824 658
|
7
567 214
|
9
632 931
|
9
618 956
|
56
718 446
|
|
Июнь
|
18
782 157
|
14
107 124
|
8
323 935
|
10
596 224
|
10
580 851
|
62
390 291
|
|
2
квартал
|
51
379 290
|
38
590 562
|
22
770 433
|
28
986 365
|
28
944 312
|
170
670 961
|
|
Июль
|
18
782 157
|
14
107 124
|
8
323 935
|
10
596 224
|
10
580 851
|
62
390 291
|
|
Август
|
18
782 157
|
14
107 124
|
8
323 935
|
10
596 224
|
10
580 851
|
62
390 291
|
|
Сентябрь
|
18
782 157
|
14
107 124
|
8
323 935
|
10
596 224
|
10
580 851
|
62
390 291
|
|
3
квартал
|
56
346 472
|
42
321 371
|
24
971 805
|
31
788 672
|
31
742 553
|
187
170 873
|
|
Октябрь
|
17
843 049
|
13
401 768
|
7
907 738
|
10
066 413
|
10
051 808
|
59
270 776
|
|
Ноябрь
|
16
058 744
|
12
061 591
|
7
116 964
|
9
059 772
|
9
046 628
|
53
343 699
|
|
Декабрь
|
14
452 870
|
10
855 432
|
6
405 268
|
8
153 794
|
8
141 965
|
48
009 329
|
|
4
квартал
|
48
354 664
|
36
318 790
|
21
429 970
|
27
279 979
|
27
240 401
|
160
623 804
|
|
ГОД
|
200
430 265
|
150
541 523
|
88
827 308
|
113
075 616
|
112
911 566
|
665
786 279
|
4. Планирование
переменных издержек
Разделение затрат на переменные и постоянные
имеет важное значение при переходе к рыночным отношениям. Такой метод учета
затрат широко применяется в странах с развитыми рыночными отношениями.
По характеру зависимости от объема производства
затраты подразделяются на условно-переменные (переменные) и условно-постоянные
(постоянные):
переменные (пропорциональные) затраты - расходы,
общая величина которых меняется в соответствии с изменением объема
производства. Пример переменных затрат: затраты на сырье и материалы, основную
заработную плату производственных рабочих, топлива и энергию на технологические
нужды, расходы на содержание оборудования (частично);
постоянные затраты - расходы, общая величина
которых не зависит или почти не зависит от изменения объема производства. К
постоянным затратам можно отнести: общепроизводственные и общехозяйственные
расходы, расходы по содержанию и эксплуатации оборудования и т.п.
В данном курсовом проекте доля затрат на
материалы в составе выручки (объема) по видам работ равна:
·
нулевой
цикл - 55%;
·
санитарно-технические
- 35%;
·
отделочные
- 40%;
·
столярные
- 45%;
·
кровельные
- 30%.
Расчет суммы плановых затрат на приобретение
материальных ресурсов сводится в табл.6.
Статьи затрат "Расходы на содержание и
эксплуатацию машин и механизмов" по своему экономическому содержанию
представляет собой совокупность затрат на материальные ресурсы: запасные части,
покупные комплектующие изделия, топливо, транспортные услуги, энергетические
ресурсы со стороны (тепло-, электроэнергия, сжатый воздух, вода), а также
заработную плату рабочих, занятых обслуживанием и эксплуатацией машин и
механизмов. Таким образом, планирование материальных затрат и заработной платы
осуществляется с учетом затрат на содержание и эксплуатацию машин и механизмов,
т.е. отдельно эту статью рассчитывать не нужно.
,
Зi
мат - затрат на материалы в составе выручки по видам работ;
В
- выручка от реализации; di
зм - доля затрат материалы в составе выручки (объема) по видам работ
Расчет затрат на материалы по нулевому циклу за
январь месяц:
Змат =14 783 280 * 55/100 =8 130 804 руб.
Таблица 6 Расчет
суммы плановых затрат на приобретение материальных ресурсов
|
Период
|
Наименование
работ
|
|
Нулевой
цикл
|
Сантехнические
|
Отделочные
|
Столярные
|
Кровельные
|
Всего
|
|
Исх.данные
|
35%
|
40%
|
45%
|
30%
|
|
|
Январь
|
8
130 804
|
3
886 260
|
2
620 680
|
3
753 090
|
2
498 430
|
20
889 264
|
|
Февраль
|
8
130 804
|
3
886 260
|
2
620 680
|
3
753 090
|
2
498 430
|
20
889 264
|
|
Март
|
8
130 804
|
3
886 260
|
2
620 680
|
3
753 090
|
2
498 430
|
20
889 264
|
|
1
квартал
|
24
392 412
|
11
658 780
|
7
862 040
|
11
259 270
|
7
495 290
|
62
667 792
|
|
Апрель
|
8
537 344
|
4
080 573
|
2
751 714
|
3
940 745
|
2
623 352
|
21
933 727
|
|
Май
|
9
391 079
|
4
488 630
|
3
026 885
|
4
334 819
|
2
885 687
|
24
127 100
|
|
Июнь
|
10
330 186
|
4
937 493
|
3
329 574
|
4
768 301
|
3
174 255
|
26
539 810
|
|
2
квартал
|
28
258 609
|
13
506 697
|
9
108 173
|
13
043 864
|
8
683 293
|
72
600 637
|
|
Июль
|
10
330 186
|
4
937 493
|
3
329 574
|
4
768 301
|
3
174 255
|
26
539 810
|
|
Август
|
10
330 186
|
4
937 493
|
3
329 574
|
4
768 301
|
3
174 255
|
26
539 810
|
|
Сентябрь
|
10
330 186
|
4
937 493
|
3
329 574
|
4
768 301
|
3
174 255
|
26
539 810
|
|
3
квартал
|
30
990 559
|
14
812 480
|
9
988 722
|
14
304 903
|
9
522 766
|
79
619 430
|
|
Октябрь
|
9
813 677
|
4
690 619
|
3
163 095
|
4
529 886
|
3
015 543
|
25
212 819
|
|
Ноябрь
|
8
832 309
|
4
221 557
|
2
846 786
|
4
076 897
|
2
713 988
|
22
691 537
|
|
Декабрь
|
7
949 078
|
3
799 401
|
2
562 107
|
3
669 208
|
2
442 589
|
20
422 384
|
|
4
квартал
|
26
595 065
|
12
711 577
|
8
571 988
|
12
275 991
|
8
172 120
|
68
326 741
|
|
Год
|
110
236 646
|
52
689 533
|
35
530 923
|
50
884 027
|
33
873 470
|
283
214 599
|
Планируемые затраты на приобретение материальных
ресурсов составит 283214599руб.
Плановый фонд оплаты труда работников, занятых
на производстве строительно-монтажных работ, определяется произведением
среднесписочной численности этих работников по месяцам на их среднюю заработную
плату. Начисления на заработную плату определяются по действующим нормативам в
процентах к заработной плате.
Общий норматив отчислений составит 30 % к фонду
оплаты труда
Средняя заработная плата по месяцам не
изменяется и определяется как средневзвешенная величина по численности рабочих:
Зср =
(31*41950+24*50080+30*41800+34*43200+22*41150/(31+24+30+34+22) = =43 479 руб.
Расчет численности работников по месяцам
Коэффициенты изменения объема работ и
численности производственного персонала по месяцам планового года
|
Янв
|
Фев
|
Мар.
|
Апр
|
Май
|
Июн
|
Июл
|
Авг
|
Сен
|
Окт
|
Ноя
|
Дек
|
|
1
|
1
|
1
|
1,05
|
1,1
|
1,1
|
1
|
1
|
1
|
0,95
|
0,9
|
0,95
|
Расчет затрат на оплату труда производственного
персонала сводится в табл.7.
Таблица 7 Расчет
затрат на оплату труда производственного персонала
|
Месяц
|
Численность, чел
|
Среднемесячная
зарплата
|
Фонд
оплаты труда без начисления на зарплату
|
Начисления
на зарплату 30%
|
Фонд
оплаты труда с начислениями на зарплату
|
|
Январь
|
141
|
43
479
|
6
130 470
|
1
839 141
|
7
969 611
|
|
Февраль
|
141
|
43
479
|
6
130 470
|
1
839 141
|
7
969 611
|
|
Март
|
141
|
43
479
|
6
130 470
|
1
839 141
|
7
969 611
|
|
1
квартал
|
141
|
43
479
|
18
391 410
|
5
517 423
|
23
908 833
|
|
Апрель
|
148
|
43
479
|
6
436 994
|
1
931 098
|
8
368 092
|
|
Май
|
163
|
43
479
|
7
080 693
|
2
124 208
|
9
204 901
|
|
Июнь
|
179
|
43
479
|
7
788 762
|
2
336 629
|
10
125 391
|
|
2
квартал
|
163
|
43
479
|
21
306 448
|
6
391 935
|
27
698 383
|
|
Июль
|
179
|
43
479
|
7
788 762
|
2
336 629
|
10
125 391
|
|
Август
|
179
|
43
479
|
7
788 762
|
2
336 629
|
10
125 391
|
|
Сентябрь
|
179
|
43
479
|
7
788 762
|
2
336 629
|
10
125 391
|
|
3
квартал
|
179
|
43
479
|
23
366 286
|
7
009 886
|
30
376 172
|
|
Октябрь
|
170
|
43
479
|
7
399 324
|
2
219 797
|
9
619 121
|
|
Ноябрь
|
153
|
43
479
|
6
659 392
|
1
997 817
|
8
657 209
|
|
Декабрь
|
138
|
43
479
|
5
993 452
|
1
798 036
|
7
791 488
|
|
4
квартал
|
154
|
43
479
|
20
052 168
|
6
015 650
|
26
067 819
|
|
ГОД
|
159
|
43
479
|
83
116 313
|
24
934 894
|
108
051 207
|
Значения по графе "Численность всего"
меняются от месяца к месяцу с учетом коэффициентов:
Чфевр = Ч янв * К февр,
где К- коэффициент изменения объема работ и
численности производственного персонала по месяцам планового года
Рассчитываем численность работников по месяцам:
Чянв =
Чi
;
Чянв =31+24+30+34+22=141 чел.
Чфевр = Чянв * К февр = 141*1 = 141 чел
Чмарт = Чфевр * Кмарт = 141*1 = 141 чел.
5. Планирование
постоянных издержек
Постоянными называются затраты, сумма которых не
меняется при изменении выручки от реализации продукции. В эту группу обычно
включаются расходы на обеспечение нормальной деятельности от уровня реализации
продукции. Их удельный размер в себестоимости при увеличении объема работ будет
сокращаться, и при уменьшении - увеличиваться.
В строительстве к постоянным расходам относят
следующие виды затрат:
·
Фонд
оплаты труда управленческого персонала;
·
Амортизационные
отчисления на полное восстановление собственных основных фондов;
·
Расходы
на служебные командировки;
·
Временные
здания и сооружения;
·
Конторские
и представительские расходы;
·
Расходы
на коммунальные услуга;
·
Расходы,
связанные с кредитованием;
·
Прочие
постоянные расходы.
Фонд оплаты труда управленческого персонала
определяется, исходя из следующих ограничений:
·
по
численности - на каждые 7 рабочих один служащий;
·
по
заработной плате - расчет производиться, исходя из средней заработной платы по
отдельным категориям работников.
Для определения количества служащих (Чслуж)
необходимо исходить из среднегодовой численности рабочих (Чраб - значение за
год по графе "Численность всего" табл.7):
=159/7 = 22 чел
Распределяем полученное число служащих по
конкретным должностям и определяем их суммарную месячную зарплату, которая не
будет меняться по месяцам. Расчеты производим в табл.7.
Начисления
на заработную плату равны 30% от итогового значения гр.5.
319 500*0,30= 95 850 руб.
Фонд оплаты труда управленческого персонала за
месяц составляет:
ФОТ без начис + страховые взносы (СВ)
= ФОТ с СВ
ФОТ с СВ = 319 500+95 850 = 415 350 руб.
Таблица 7.1
|
№
п.п.
|
Наименование
должности
|
Среднемесячная
зарплата 1 работника
|
Количество
работников
|
Суммарная
зарплата гр.3 * гр.4
|
|
1
|
Управляющий
(президент) фирмы
|
30
750
|
1
|
30
750
|
|
2
|
Вице-президент
по производству
|
20
700
|
1
|
20
700
|
|
3
|
Секретарь-машинистка
|
9
450
|
2
|
18
900
|
|
4
|
Инженер-строитель
по технической документации
|
10
950
|
3
|
32
850
|
|
5
|
Инженер-технолог
|
12
000
|
3
|
36
000
|
|
6
|
Экономист-счетчик
|
13
300
|
2
|
26
600
|
|
7
|
Бухгалтер
|
20
550
|
3
|
61
650
|
|
8
|
Диспетчер
по закупкам и транспорту
|
10
200
|
2
|
20
400
|
|
9
|
Инженер
по оперативно-производственному планированию
|
10
300
|
2
|
20
600
|
|
10
|
Менеджер
объекта
|
17
000
|
2
|
|
11
|
Уборщица
|
6
100
|
1
|
6
100
|
|
ИТОГО:
|
161
300
|
22
|
308
550
|
Амортизационные отчисления на полное
восстановление собственных основных фондов рассчитываются исходя из
равномерного начисления износа в течение пятилетнего срока эксплуатации
основного оборудования (Аоб) и двадцатилетней эксплуатации зданий и сооружений
(Азд). При этом для вновь приобретенных основных фондов амортизация будет
рассчитываться:
где Сзд(об) - соответственно стоимость
приобретенных зданий или оборудования.
Рассчитываем амортизационные отчисления для
вновь приобретенных основных фондов:
= 70 833,33 руб.
= 148 666,67 руб.
Стоимость основных фондов, имевшихся на начало
года, распределена следующим образом: 20% - стоимость зданий, 80% - стоимость
оборудования. Рассчитываем эти стоимости:
Сзд = 2 392 248 * 20 : 100 = 478 449,6 руб.
Соб = 2 392 248 * 80 : 100 = 1 913 798,4 руб.
Для уже имевшихся на начало года основных фондов
считаем, что здания к началу периода эксплуатировались в течение 5 лет, в
оборудование -1 год. Рассчитываем амортизационные отчисления:
=2 658,05 руб.
=39 870,80 руб.
Находим сумму ежемесячных амортизационных
отчислений:
АО =70 833,33 +148 666,67 +2 658,05 +39 870,80 =
262 028, 85руб.
Расходы, связанные с кредитованием, определяются
с учетом того, что погашение всех видов кредитов осуществляется постоянно
равными долями, вносимыми ежемесячно, начиная со следующего после представления
кредита месяца. Период погашения краткосрочного кредита равен 12 месяцам,
долгосрочного кредита - 3 года. Проценты по краткосрочному кредиту составляют
10% годовых, а по долгосрочному - 12% годовых. Проценты по долгосрочному и
краткосрочному кредитам начисляются только на сумму кредита, полученного в
текущем году.
Определение сумм для погашения кредитов
осуществляется по формуле взноса на амортизацию платежа, который включает в
себя процент и суммы в оплату основной части долга, позволяющие погасить кредит
в течение установленного срока:
Р - размер периодического платежа для погашения
(амортизации) долга;
К - сумма первоначального долга;
Т - период погашения долга, лет;
i - ставка годового
процента, доли единиц, для определения размера ежемесячного платежа необходимо
разделить номинальную ставку годового процента на частоту начисления процента,
т.е. на 12, и умножить число лет на число периодов погашения долга, т.е. тоже
на 12.
Находим размер периодического платежа для
погашения краткосрочного кредита:
30 500 000 *
((1+0,1/12)^1*12*0,1/12)/(( 1+0,1/12)^1*12-1)=2 681 434,56 руб.
финансирование выручка
издержка денежный
Находим размер периодического платежа для
погашения долгосрочного кредита:
17 000 000 *
((1+0,1/12)^3*12*0,1/12)/(( 1+0,1/12)^3*12-1)=564643,27 руб.
Расходы на служебные командировки, затраты на
временные здания и сооружения, представительские и конторские расходы, расходы
на коммунальные услуги, а также прочие постоянные затраты рассчитываются в
процентах от заработной платы рабочих за месяц без начислений на нее (табл.
7.2.).
Таблица 7.2 Проценты
для расчета отдельных видов затрат
|
№
п/п
|
Наименование
затрат
|
Проценты
|
|
1
|
Расходы
на служебные командировки
|
1,04
|
|
2
|
Затраты
на временные здания и сооружения
|
3,18
|
|
3
|
Представительские
и конторские расходы
|
0,16
|
|
4
|
Расходы
на коммунальные услуги
|
0,33
|
|
5
|
Прочие
постоянные расходы
|
1,6
|
В результате произведенных расчетов и
суммирования отдельных элементов определяются постоянные затраты, а результаты
сводятся в таблицу.8.
Расчет постоянных затрат
Расходы на служ. командировки =
=ФОТ янв. *1,04/100 = 6 130 470*0,0104= 63756,89
руб.
Затраты на временные здания и сооружения =
=ФОТ янв. *3,18/100 = 6 130 470*0,0318=
194948,95 руб.
Представительские и конторские расходы =
=ФОТ янв. *0,16/100 = 6 130 470*0,0016= 9808,75
руб.
Расходы на коммунальные услуги =
=ФОТ янв. *0,33/100 = 6 130 470*0,0033= 20230,55
руб.
Прочие постоянные расходы =
=ФОТ янв. *1,6/100 = 6 130 470*0,016= 98087,52
руб.
Таблица 8 Расчет постоянных затрат
6. Планирование
финансовых результатов деятельности предприятия
Одна из основных задач составления плана
финансовых результатов (плана прибылей и убытков) деятельности предприятия
заключается в том, чтобы показать в динамике качественные и количественные
изменения финансового положения предприятия в течение предстоящего периода. В
этом состоит его основное отличие от баланса, который дает статичную картину
экономического положения предприятия в конкретный момент времени.
Финансовый план, с помощью которого оцениваются
доходы и расходы в ближайшей перспективе, является основой для составления
сметы будущих расходов предприятия и определения потребности в привлечении
дополнительных финансовых средств.
Планирование финансовых результатов
осуществляется на основании данных, полученных в предыдущих 3, 4 ,5 разделах
курсового проекта, сведенных в таблицу 9.
Рассчитываем налог на имущество по формуле:
Ним=(Косн+Сзд.н.+Соб.н.-АО год)*0,022/4
Где: Косн
- капитал основной, АО год-
амортизационные отчисления за год, Сзд.н.
- стоимость приобретенных зданий; Соб.н.
стоимость приобретенного оборудования; 0,022
- годовая ставка налога на имущество 2,2% , доли единиц, 4 - число кварталов.
Ним.кв=(2 392 248+30 500 000 +8 920 000-3 144
346) * 0,022/4=138 423, 46руб.
Ним.месяц= 137 631/ 3 = 46 141, 15руб.
Ним.год.= 45 877* 12 = 553 693,84руб.
Таблица 9 Планирование финансовых результатов
Производим расчет суммы покрытия (табл. 9 стр.3)
как разницу между полученной выручкой от результатов производственной
деятельности и переменными затратами на примере за январь месяц.
Сумма покрытия Янв.= Выручка от
реализ.(Таб.9.стр.1.гр.3)
=49106880-28858875=20248005 руб.
Ø Производим расчет прибыли до
налогообложения как разницу между суммой покрытия и постоянными расходами
-4452351,67=15 795 653,33 руб.(таб.9 стр.5.гр.3)
Ø Прибыль, подлежащая налогообложению
находим как разницу между прибылью до налогообложения и налогом на имущество.
795 653,33 - 45 141,15= 15 749 512,18руб.
(табл.9 стр.7.гр.3)
Налог на прибыль = 20%
Ø Прибыль до налогообложения *Н пр =
15 749 512,18руб *0,2 =
= 3 149 902,44 руб. (табл. 9 стр.8.гр.3)
Ø Прибыль, остающаяся в распоряжении
организации, находим как разницу между прибылью до налогообложения и налогом на
прибыль
749 512,18руб - 3 149 902,44 = 12 599 609,74
руб. (табл. 9 стр.9.гр.3)
Прибыль, остающаяся в распоряжении организации,
составила 12 599 609,74 руб. в месяц, что характеризует деятельность
организации как эффективную.
7. Планирование
движения денежных средств
Планирование движения денежных средств
составляет основу успешной деятельности, так как одной из основных задач
предприятия является поддержание текущей платежеспособности. Если в проекте
отчета о прибылях и убытках намечались конкретные финансовые цели, то планируя движение
денежных средств, определяется, когда и сколько денег поступит на предприятие
или будет уплачено по счета поставщиков продукции и кредиторов, чтобы
обеспечить нормальную деятельность предприятия.
При разработке плана денежных потоков необходимо
установить конкретные источники поступления денег: выручка от реализации
товаров и услуг; авансы, полученные от заказчиков; средства, полученные от
финансовых вложений и продажи ценных бумаг; средства, полученные от продажи
части основных средств и оборудования; кредиты и займы; новые инвестиции и т.д.
Затем определяются предстоящие расходы, включая
переменные на производство и реализацию продукции и постоянные, а также выплату
задолженностей и процентов по ним, выплату дивидендов акционерам компании,
расходы на приобретение оборудования, необходимые платежи в бюджет и т.д. Таким
образом, можно определить итоговый баланс движения денежных средств на конец
периода (месяца, квартала, года) как сумму остатка (баланса) на начало периода
и прихода денежных средств, уменьшенного на величину понесенных расходов.
В план денежных потоков включается только
реальные поступления и расходы, планируемые на каждый конкретный период
времени. Это фактически выплачиваемые деньги, а не обязательства, принятые на
себя предприятием сейчас, но подлежащие оплате в будущем, они отражаются в
проекте отчета о финансовых результатах деятельности и в балансе.
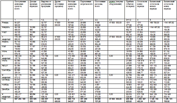
В качестве исходных данных для составления плана
движения денежных потоков служат результаты расчетов, полученные в разделах 1,
2, 3, 4, 5, 6. План движения денежных потоков разрабатывается и сводится в
табл.10.
При расчете строки 1.1 "Доходы прошлых
периодов" учитываем средний временной сдвиг между реальной сдачей готовой
продукции (подписания акта приемки - сдачи подрядных работ) с выставлением
счета и поступлением денег на расчетный счет предприятия. Для расчетов
принимается средний срок задержки платежа - 10 дней, то есть оплата одной трети
счетов за данную строительную продукцию поступит в следующем месяце.
Строка 4 "Остаток денежных средств на конец
периода" определяется как сумма средств, полученных по строке 3 в текущем
месяце, и остатка денежных средств на конец отчетного периода предыдущего
месяца.
Таблица 11 Изменения по статьям баланса на конец
прогнозируемого периода, руб.
|
Статья
"Денежные средства"
|
163
840 192,74
|
|
Прибыль
(табл. 10 п.3 - табл. 9 п.6 - табл.9 п.8)
|
163
840 192,74
|
|
Статья
"Дебиторская за должность"
|
16
003 109,65
|
|
1/3
выручки декабря (т.9 декабрь)
|
16
003 109,65
|
|
Статья
"МПЗ"
|
21
580 000,00
|
|
Реконструкция
(т.3 п.1,2,3)
|
10
790 000,00
|
|
Увелечение
оборотных средств (т.3 п.4)
|
10
790 000,00
|
|
Статья
"Основные средства"
|
22
775 653,76
|
|
Соб
(т.1)
|
8
920 000,00
|
|
Сзд
(т.2)
|
17
000 000,00
|
|
Амортизационные
отчисления(Таб.8.стр.3.гр19)
|
3
144 346,24
|
|
Статья
"Краткосрочные обязательства"
|
30
500 000,00
|
|
Кредит
краткосрочный
|
30
500 000,00
|
|
Статья
"Долгосрочные обязательства"
|
17
000 000,00
|
|
Кредит
долгосрочный
|
17
000 000,00
|
|
Статья
"Собственный капитал"
|
176
698 956,15
|
|
Прибыль
чистая (Таб.9 п.9)
|
176
698 956,15
|
Таблица 12 Состав
и структура баланса на конец года
8.
Основные
финансовые коэффициенты
Оценка результатов хозяйственной деятельности
предприятия включает, прежде всего, анализ структуры активов и пассивов.
Анализ финансовых показателей позволяет выявить
критические точки в деятельности фирмы, определить причины проблем и
запланировать действия, направленные на их решения.
Среди множества финансовых показателей есть
такие, которые имеют особо важное значение для определения позиции фирмы и
могут использоваться для анализа любых стратегических проблем.
Можно выделить три типа наиболее значимых
финансовых показателей. Это показатели:
1. коэффициенты
деловой активности;
2. коэффициенты
рентабельности;
3. коэффициенты
платежеспособности или структуры капитала.
Коэффициенты деловой
активности.
Коэффициенты деловой активности
позволяют проанализировать, насколько эффективно предприятие использует свои
средства. Как правило, к этой группе относятся различные показатели
оборачиваемости.
Наиболее часто используются
следующие показатели оборачиваемости:
Коэффициент оборачиваемости
активов - отношение выручки от реализации продукции ко всему итогу актива
баланса .
665786278,84/229145148=2,91
руб.
Таким образом, 2,91 рубля реализованной
продукции принесла каждая денежная единица активов.
По коэффициенту оборачиваемости
дебиторской задолженности. Коэффициент рассчитывается посредством деления
выручки от реализации продукции на среднегодовую стоимость чистой дебиторской
задолженности.
665786278,84/16134482=41,26
;
Таким образом, дебиторская
задолженность превращалась в денежные средства 41,26 раз. В среднем потребуется
9 дней для оплаты дебиторской задолженности.
Коэффициент оборачиваемости
кредиторской задолженности рассчитывается как частное от деления себестоимости
реализованной продукции на среднегодовую стоимость кредиторской задолженности,
и показывает, сколько компании требуется оборотов для оплаты выставленных ей
счетов.
Коэффициенты оборачиваемости
дебиторской и кредиторской задолженности можно также рассчитать в днях. Для
этого необходимо количество дней в году (360 или 365) разделить на
рассмотренные нами показатели.
(391265806,29+49948737,28)/48437784=9,11
Таким образом, дебиторская задолженность
превращалась в денежные средства 9,11 раз. Для оплаты кредиторской
задолженности в среднем потребуется 40 дней.
Коэффициент оборачиваемости
материально-производственных запасов отражает скорость реализации этих запасов.
Он рассчитывается как частное от деления себестоимости реализованной продукции
на среднегодовую стоимость материально-производственных запасов. Для расчета
коэффициента в днях необходимо 360 или 365 дней разделить на частное от деления
себестоимости реализованной продукции на среднегодовую стоимость
материально-производственных запасов.
дня
Для продажи
материально-производственных запасов потребуется 18 дней
Коэффициент оборачиваемости
основных средств (или фондоотдача) рассчитывается как частное от деления объема
реализованной продукции на среднегодовую стоимость основных средств.
Фондоотдача составила 26,45 , говорит о том, что
на 1 руб. основных средств приходится 26,45 руб. реализованной продукции.
Коэффициент оборачиваемости
собственного капитала рассчитывается как частное от деления объема
реализованной продукции на среднегодовую стоимость собственного капитала. Этот
показатель характеризует различные аспекты деятельности: с коммерческой точки
зрения он отражает либо излишки продаж, либо их недостаточность; с финансовой
-скорость оборота вложенного капитала; с экономической - активность денежных
средств, которыми рискует вкладчик. Если он слишком высок (что означает
значительное превышение уровня реализации над вложенным капиталом), это влечет за
собой увеличение кредитных ресурсов и возможность достижения того предела, за
которым кредиторы начинают больше участвовать в деле, чем собственники
компании. В этом случае отношение обязательств к собственному капиталу
увеличивается, увеличивается также риск кредиторов, и компания может иметь
серьезные затруднения, обусловленные уменьшением доходов или общей тенденцией
снижения цен. Низкий показатель означает бездействие части собственных средств.
В этом случае показатель оборачиваемости собственного капитала указывает на
необходимость вложения собственных средств в другой, более подходящий в
сложившихся условиях источник доходов.
Коэффициент оборачиваемости собственного
капитала показывает, что каждая денежная единица собственного капитала принесла
3,68 денежной единицы реализованной продукции, что отражает достаточно высокую
скорость оборота вложенного капитала.
Коэффициенты рентабельности
Коэффициенты рентабельности
показывают, насколько прибыльна деятельность компании. Эти коэффициенты
рассчитываются как отношение полученной прибыли к затраченным средствам, либо
как отношение полученной прибыли к объему реализованной продукции.
Наиболее часто используемыми
показателями в контексте финансового менеджмента являются коэффициенты
рентабельности всех активов предприятия, рентабельности реализации,
рентабельности собственного капитала.
Коэффициент рентабельности всех
активов предприятия (рентабельность активов) рассчитывается делением чистой
прибыли на среднегодовую стоимость активов предприятия. Он показывает, сколько
денежных единиц потребовалось фирме для получения одной денежной единицы
прибыли, независимо от источника привлечения этих средств. Этот показатель
является одним из наиболее важных индикаторов конкурентоспособности
предприятия.
Коэффициент означает, что 0,91 денежных единиц
потребовалось фирме для получения одной денежной единицы прибыли, независимо от
источника привлечения этих средств.
Коэффициент рентабельности
реализации (рентабельность реализации) рассчитывается посредством деления
прибыли на объем реализованной продукции.
Наиболее значимым в этой части
анализа финансовой информации признается рентабельность реализованной
продукции, определяемая как отношение чистой прибыли после уплаты налога к
объему реализованной продукции. В итоге узнают, сколько денежных единиц чистой
прибыли принесла каждая денежная единица реализованной продукции.
.
Реализация продукции принесла 31 рублей чистой
прибыли.
Коэффициент рентабельности
собственного капитала (рентабельность собственного капитала) позволяет
определить эффективность использования капитала, инвестированного
собственниками, и сравнить этот показатель с возможным получением дохода от
вложения этих средств в другие ценные бумаги. В западных странах он оказывает
существенное влияние на уровень котировки акций компании. С точки зрения
наиболее общих выводов о рентабельности собственного капитала, большое значение
имеет отношение чистой прибыли (т.е. после уплаты налогов) к среднегодовой
сумме собственного капитала. В показателе чистой прибыли находят отражения
действия предпринимателей и налоговых органов по урегулированию результата
деятельности компании: в благоприятные для компании годы отчисления возрастают,
в период же снижения деловой активности они уменьшаются. Поэтому здесь обычно
наблюдается более ровное движение показателя. Рентабельность собственного
капитала показывает, сколько денежных единиц чистой прибыли заработала каждая
денежная единица, вложенная собственниками компании.
На нашем предприятии 1 тыс. руб., вложенная
собственниками заработала 1,15 рубля чистой прибыли.
Показатели структуры капитала
(или
коэффициенты платежеспособности)
Показатели структуры
капитала характеризуют степень защищенности интересов кредиторов и инвесторов,
имеющих долгосрочные вложения в компанию. Они отражают способность предприятия
погашать долгосрочную задолженность. Коэффициенты этой группы называются также
коэффициентами платежеспособности. Речь идет о коэффициенте собственности,
коэффициенте финансовой зависимости и коэффициенте защищенности кредиторов.
Коэффициент собственности
характеризует долю собственного капитала в структуре капитала компании, а,
следовательно, соотношение интересов собственников предприятия и кредиторов.
Коэффициентом собственности, характеризующим достаточно стабильное финансовое
положение при прочих равных условиях в глазах инвесторов и кредиторов, является
отношение собственного капитала к итогу средств на уровне 81 процента.
Рассчитываться также
коэффициент заемного капитала, который отражает долю заемного капитала в
источниках финансирования. Этот коэффициент является обратным коэффициенту
собственности.

,
Доля заёмного капитала в источниках
финансирования составляет 21% - допустимое значение.
Коэффициент финансовой
зависимости характеризует зависимость фирмы от внешних займов. Чем он выше, тем
больше займов у компании, и тем рискованнее ситуация, которая может привести к
банкротству предприятия. Высокий уровень коэффициента отражает также
потенциальную опасность возникновения у предприятия дефицита денежных средств.
Коэффициент 0,24 отражает среднюю зависимость от
внешних займов.
9.
Анализ
безубыточности предприятия
Анализ безубыточности позволяет определить тот
минимально необходимый объем реализации продукции, при котором предприятие
покрывает все свои расходы и работает безубыточно, не получая прибыли, но и не
принося убытков. Этот минимальный объем работ соответствует такому объему
реализации, при котором величина прибыли предприятия равна нулю. При таком
бесприбыльном обороте сумма покрытия (постоянные затраты и прибыль Спокр) в
стоимостном выражении соответствует постоянным затратам.
Таким образом, минимально необходимый для
безубыточной работы объем реализации строительной продукции (Обу) будет равен:
Обу = П пост(Таб.10.п.2.2.) + П
перем(Таб.10.п.2.1.) ,
Где П пост - постоянные расходы (руб.),
П пер - переменные расходы (руб.)
Qбу=391265806,29+49948737,28=441214543,57
При расчете безубыточности используют
относительную величину суммы покрытия, то есть определяют процент постоянных
затрат и прибыли в выручке (В) за конкретный отчетный период - коэффициент
покрытия (КП).
=((Таб.9.п.3)/(Таб.9.п.1))*100
Определяем, каким должен быть объем реализации (Q),
чтобы иметь за год прибыль (П), больше полученной на 15%.
=((Таб.10.п.2.2.+1,15*Таб.10.п.3.)/КП)*100
=7028926,92руб.
Заключение
Для строительных организаций планирование
является одной из главнейших составляющих их эффективности функционирования.
Строительное производство невозможно без планирования. Планы, разрабатываемые в
строительной организации, являются основой ее деятельности, руководством к
действию. Планирование строительной деятельности должно обязательно включать
разработку планов производства, материально-технического обеспечения и других
планов, обеспечивающих нормальных ход строительного процесса и, соответственно,
эффективность деятельности организации. Успешное самоопределяемое
функционирование в условиях рынка требует наличия у предприятия
организационно-функционального потенциала. В данной работе проведены расчеты и
составлены основные планы предприятия.
Формирование в строительной организации основных
фондов проводится согласно потребности в строительной технике и механизмах.
Приобретение новых видов машин и оборудования в сумме 25 920 000 руб. отразится
на финансовых показателях предприятия, а именно на себестоимости в виде
амортизационных отчислений в сумме 3 144 346 руб. в год.
В качестве источников финансирования используется
привлечение заемных средств на краткосрочной и долгосрочной основе в сумме 47
500 000 руб. Привлеченные средства используются для приобретения недвижимости,
приобретение оборудования, проведения реконструкции и пополнение оборотных
средств. Произведен расчет ежемесячных платежей по погашению кредитов на данные
цели в сумме 7 382 119 и 32 508 599 руб. за долгосрочный и краткосрочный
кредиты соответственно.
На основе данных предприятия составлен годовой
план поступления выручки от различных видов деятельности на сумму 665 786
278,84 руб. с разбивкой по месяцам. Произведен годовой расчет материальных
затрат по нормативу на сумму 283 214 599 руб.
Годовой фонд оплаты труда рабочих рассчитан по
среднемесячной заработной плате и среднесписочной численности рабочих с учетом
коэффициента изменения объема работ и численности на сумму 108 051 207 руб.
Также произведен нормативный расчет численности и годового фонда оплаты труда с
отчислениями управленческого аппарата на сумму 4 813 380 руб. Рассчитаны
постоянные издержки по нормативу в процентном отношении к фонду оплаты труда
основных рабочих на сумму 4 572 711 руб.
Составленный план финансовых результатов
показывает, что предприятие эффективно (прибыльно) работает в течение
определенного периода. Размер прибыли, остающейся в распоряжении предприятия,
составил 176 698 956,15 руб.
Отчет о движении денежных средств) показывает
эффективность управления предприятием своими денежными средствами (находящимися
как на счетах в банке, так и в кассе) для обеспечения ликвидности. Балансовый
остаток на конец года составил 164 006 973 руб.
Составленный план финансовых результатов и
денежных потоков показал эффективность работы предприятия при заданных
условиях. Анализ финансовых коэффициентов показал устойчивое положение предприятия.
Анализ безубыточности показал, что минимально
необходимый для безубыточной работы объем реализации строительной продукции
(Обу) будет равен 7028926,92руб.
Проведенный плановый анализ показателей показал
эффективность работы предприятия при заданных условиях.
Список литературы
1.
Алексеева
М.М. Планирование деятельности фирмы. - М., Финансы и статистика, 2001.
2.
Горемыкин
В.А., Богомолов А.Ю. Планирование предпринимательской деятельности предприятия.
Методическое пособие. - М.: Инфра- М, 1997.
3.
Ильин
А.И. Планирование на предприятии. - Минск, 2001.
4.
Маркова
В.Д., Кравченко Н.А. Бизнес-планирование. - Новосибирск, ЭКОР, 1994.
5.
Смирнова
И.В. Планирование в строительных организациях. Методические указания к
курсовому проекту для студентов всех форм обучения института регион. экономики
и управления. - СПб., СПбГИЭА, 1997.
6.
Чикишева
Н.М., Бирюкова Н.В. Планирование на предприятии строительства. Учебное пособие.
- Изд-во СПбГУЭФ, 2003.
Чикишева Н.М., Габудина А.А..
Формирование системы внутрифирменного планирования в строительной организации.
- СПб.: Изд-во СПбГУЭФ, 2004.