Проектирование подстанции 110/10 кВ мощностью 50 МВА для района Подмосковья
РЕЦЕНЗИЯ
На дипломный проект студента Пензенского
государственного университета
Тема дипломного проекта: Проектирование
подстанции 110/10кВ мощностью 50 МВА для района Подмосковья.
Представленный на рецензию дипломный проект,
посвященный вопросам проектирования подстанции 110/10кВ, выполнен в
соответствии с заданием.
В дипломном проекте выполнены, анализ
электрических нагрузок, расчет токов короткого замыкания, выбор силового
оборудования и другие необходимые инженерные расчеты.
При оформлении пояснительной записки, автор
проекта руководствовался требованиям ГОСТов и других нормативных документов.
Графическая часть выполнены в соответствии с требованиями ГОСТов и ЕСКД.
При выполнении дипломного проекта показал знания
основных дисциплин изучаемых в процессе обучения в ВУЗе.
В качестве замечаний следует отметить:
Короткое описание схемы подстанции;
При расчете токов короткого замыкания
используется упрощенная схема замещения.
Несмотря на отмеченные недостатки дипломный
проект заслуживает оценку «хорошо», а присвоения квалификации инженера по
специальности 140205 «Электроэнергетические системы и сети»
РЕФЕРАТ
Пояснительная записка: записка 109 страниц, 6
рисунков, 23 таблицы, 21 источник.
Графическая часть 8 листов формата А1.
Схема электрическая принципиальная
главных соединений, расчет токов КЗ, схема организации релейной защиты и
автоматики ПС, выключатель вэб-110-40/2500, конструкция крун. к-59, ору 110 кв.
разрез и план ячейки трансформатора т-1, расчет экономической эффективности
проекта, молниезащита и заземление ПС
Объектом разработки является
подстанция 110/10кВ.
Цель работы - анализ потребителей,
составление электрической принципиальной схемы, выбор высоковольтного
оборудования ОРУ 110кВ и ЗРУ 10кВ, проектирование электроснабжения собственных
нужд и организация электробезопасности на подстанции, составление схемы
релейной защиты.
В процессе работы на основании
исходных данных была выбрана электрическая принципиальная схема, был произведен
расчет токов короткого замыкания, для последующего выбора высоковольтного
оборудования.
В результате работы произведен выбор
силового электрооборудования для проведения строительства ОРУ и ЗРУ,
разработана система заземления и молниезащиты, также была проанализированы
экономическая эффективность проекта.
СОДЕРЖАНИЕ
Введение
1.
Анализ нагрузок и определение номинального напряжения линии электропередач
высокого напряжения
.
Выбор силовых трансформаторов
.
Выбор схемы электрических соединений ПС
.
Расчет токов короткого замыкания
.1
Основные сведения
.2
Расчет токов трехфазного КЗ
.
Выбор высоковольтного оборудования
.1
Выбор выключателей 110 кВ
.2
Выбор разъединителей 110 кВ
.3
Выбор ячеек и выключателей КРУ-10 кВ
.4
Выбор трансформаторов собственных нужд
.5
Выбор ограничителей перенапряжения
.6
Выбор заземлителей нейтралей силовых трансформаторов
.7
Выбор измерительных трансформаторов тока
.8
Выбор измерительных трансформаторов напряжения
.9
Выбор оборудования высокочастотной связи
.10
Выбор токопровода
.11
Выбор изоляторов
.12
Выбор аккумуляторной батареи
.13
Релейная защита и автоматика
.
Технико-экономическое обоснование
.1
Затраты на строительство, монтаж и эксплуатацию
.2
Тарифы на электроэнергию и издержки
.3
Оценка экономической эффективности
.
Экологичность и безопасность проекта. Безопасность труда при эксплуатации ПС
110/10 кВ
.1
Основные сведения
.2
Расчет защитного заземления подстанции 110/10 кВ
.3
Молнтезащита
Заключение
Список
использованных источников
Приложения
ВВЕДЕНИЕ
Проектирование электроэнергетических систем
требует комплексного подхода к выбору и оптимизации схем электрических сетей и
технико-экономическому обоснованию решений, определяющих состав, структуру,
внешние и внутренние связи, динамику развития, параметры и надёжность работы
системы в целом и её отдельных элементов. Решение этих задач требует
использования большого объёма информации, размещённой в различных литературных
источниках, нормативных документах, ведомственных инструкциях, а так же
накопленного десятилетиями отечественного и зарубежного опыта.
За прошедшие 20 лет в стране произошли
существенные социально-экономические изменения, а переход к рыночной экономике
коренным образом отразился на электроэнергетике. Значительная часть
собственности в отрасли акционирована и приватизирована с сохранением
контрольного пакета акций у государства. Создан рынок электроэнергии.
В этих условиях в наиболее полной мере из
многочисленных публикаций по электроснабжению отвечает справочник по
проектированию электрических сетей под редакцией Д.Л. Файбисовича 2006г [21].
Ценным в этом издании является то, что в нём приведена необходимая информация
по развитию современных электрических сетей, принципиальным методам
проектирования, стоимостным показателям элементов электрических сетей, а так же
последние данные по отечественному оборудованию и материалам, применяемым в
электроэнергетических системах (ЭЭС). В [21] учтены изменения в организации
проектирования, новые нормативные документы, последние научные и инженерные
разработки, а так же переход на новые сметные нормы и цены по ряду важнейших
вопросов проектирования ЭЭС.
Цель данного диплома - применение на практике
навыков, полученных в процессе обучения. Для этой цели было получено задание на
проектирование новой подстанции на основе прогрессивных технических решений,
руководствуясь определенной нагрузкой потребителя.
При проектировании ПС руководствовался
действующими нормативными документами, указанными в приложении №2 в «Нормах
технологического проектирования подстанций переменного тока 35-750 кВ (далее -
НТП ПС)» как и самими «НТП ПС». Также использовались такие нормативные
источники как Концепция технической политики ОАО «МРСК Волги» (от приказа ОАО
РАО «ЕЭС России» с 12.11.04 г. №660) и Техническая политика ОАО «МРСК Волги»
(от приказа ОАО «ФСК ЕЭС» от 26.10.2006 г. №270 р/293 р). Все вышеперечисленные
документы созданы в соответствии и утверждены компанией ОАО «ФСК ЕЭС».
При проектировании подстанции (далее - ПС)
должно быть обеспечено:
а) надежное и качественное
электроснабжение потребителей;
б) внедрение передовых проектных
решений, обеспечивающих соответствие всего комплекса показателей подстанций
современному мировому техническому уровню;
в) высокий уровень технологических
процессов и качества строительных и монтажных работ;
г) экономическая эффективность,
обусловленная оптимальным объемом привлекаемых инвестиций и ресурсов,
используемой земли и снижением эксплуатационных затрат;
д) соблюдение требований
экологической безопасности и охраны окружающей среды;
е) ремонтопригодность применяемого
оборудования и конструкций;
ж) передовые методы эксплуатации,
безопасные и удобные условия труда эксплуатационного персонала.
Проект ПС выполняется на расчетный
период (пять лет после ввода в эксплуатацию) с учетом перспективы ее развития
на последующие не менее пяти лет.
Основные требования к ПС нового
поколения:
а) компактность, комплектность и
высокая степень заводской готовности;
б) надежность работы ПС посредством
применения электрооборудования современного технического уровня;
в) удобство проведения осмотра,
технического обслуживания и ремонта;
г) безопасность эксплуатации и
обслуживания;
д) создание ПС без обслуживающего
персонала с дистанционным управлением;
е) комплексная автоматизация,
обеспечивающая создание интегрированной системы управления технологическими
процессами с подсистемами релейной защиты и автоматики, коммерческого учета
электроэнергии, мониторинга состояния оборудования, диагностики и управления
оборудованием;
ж) обеспечение резервируемыми
цифровыми каналами связи для передачи сигналов управления и информации о
состоянии электрооборудования на диспетчерский пункт, в том числе,
диспетчерскими голосовыми каналами;
и) экологическая безопасность.
Устанавливаемый комплекс
оборудования и устройств на ПС:
силовое высоковольтное оборудование;
устройства релейной защиты и
автоматики (РЗиА);
устройства противоаварийной
автоматики (ПА);
устройства автоматизированной
системы управления технологическими процессами (АСУ ТП);
устройства автоматизированной
информационно-измерительной системы коммерческого учета электроэнергии (АИИС
КУЭ);
устройства системы диспетчерского и
технологического управления (АСДТУ);
устройства системы диагностики и
программно-технические комплексы обеспечение систем автоматической системы
технического учета (АСТУ).
Весь выше перечисленный комплекс
оборудования и устройств должен быть аттестован в установленном ОАО «ФСК ЕЭС»
порядке.
Срок службы оборудования,
применяемого при новом строительстве и реконструкции подстанций, должен быть не
менее 25 лет (силовых трансформаторов не менее 30 лет, аккумуляторов не менее
20 лет.
1. Анализ нагрузок и определение
номинального напряжения линии электропередач высокого напряжения
Для определения параметров новой ПС
необходимо провести анализ нагрузок определенных в задании на проектирование.
Предполагается, что потребители будут получать необходимую электроэнергию по
линиям 10 кВ. Необходимые данные по потребителям представлены в таблице 1.1.
Таблица 1.1
Характеристика потребителей
|
№
Потребителя
|
S, МВА
|
cosφ
|
Категория
|
|
1
|
5
|
0,78
|
3
|
|
2
|
4
|
0,8
|
2
|
|
3
|
3
|
0,95
|
1
|
|
4
|
4
|
0,9
|
2
|
|
5
|
5
|
0,65
|
3
|
|
6
|
3
|
0,83
|
1
|
|
7
|
5
|
0,92
|
2
|
|
8
|
3
|
0,69
|
3
|
|
9
|
5
|
0,7
|
3
|
|
10
|
4
|
0,85
|
3
|
|
11
|
5
|
0,87
|
2
|
|
12
|
4
|
0,86
|
1
|
Произведем расчет суммарной нагрузки
проектируемой подстанции
Полная мощность определяется выражением:
где S - полная мощность, задана в исходных
данных (таблица 1.1);- активная мощность, МВт;- реактивная мощность, МВар.
Определим активную мощность нагрузок по формуле:
где
-
коэффициент мощности, задан в исходных данных (таблица 1.1). В итоге имеем:
Определим реактивную мощность нагрузок по
формуле:
где
-
коэффициент реактивной мощности, определяется:
;
;
= 0,6;
0,3;
= 0,44;
0,76;
= 0,56;
0,39;
= 0,72;
0,71;
= 0,53;
0,5;
= 0,51;
Результаты расчетов сведем в таблицу
1.2.
Таблица 1.2
Значения мощностей
|
№
потребителя
|
S
|
|
|
P, МВт
|
Q, МВар
|
|
1
|
2
|
3
|
4
|
5
|
6
|
|
1
|
5
|
0,78
|
0,63
|
3,9
|
3,15
|
|
2
|
4
|
0,8
|
0,6
|
2,4
|
2,4
|
|
1
|
2
|
3
|
4
|
5
|
6
|
|
3
|
3
|
0,95
|
0,3
|
2,85
|
0,9
|
|
4
|
4
|
0,9
|
0,44
|
3,6
|
1,76
|
|
5
|
5
|
0,65
|
0,76
|
3,25
|
3,8
|
|
6
|
3
|
0,83
|
0,56
|
2,49
|
1,68
|
|
7
|
5
|
0,92
|
0,39
|
4,6
|
1,95
|
|
8
|
3
|
0,69
|
0,72
|
2,07
|
2,16
|
|
9
|
5
|
0,7
|
0,71
|
3,5
|
3,55
|
|
10
|
4
|
0,85
|
0,53
|
3,4
|
2,12
|
|
11
|
5
|
0,87
|
0,5
|
4,35
|
2,5
|
|
12
|
4
|
0,86
|
0,51
|
3,44
|
2,04
|
Теперь рассчитаем суммарную мощность
потребителей по формулам:
МВА;
По формуле Стилла (1.1) определим необходимое
напряжение для передачи обозначенной мощности S
на расстояние 70 км, данное в задание на проектирование.
(1.1)
Принимаем ближайшее высшее номинальное значение
напряжения равное 110 кВ.
Номинальная мощность трансформаторов для
двухтрансформаторной подстанции определяется по формулам:
Где n
- число трансформаторов на подстанции (n=2);
,7 - нормируемый коэффициент загрузки.
Устанавливаем двухобмоточные трансформаторы
мощностью
со значением
высокого напряжения (ВН) 110кВ и низкого (НН) 10кВ.
Определяем коэффициент загрузки трансформатора в
нормальном режиме по формулам:
где n
- число силовых трансформаторов.
Как так коэффициент допустимой перегрузки
трансформатора равен 0,7, следует, что в нормальном режиме трансформаторы
перегрузок не испытывают.
Определим коэффициент загрузки трансформатора в
послеаварийном режиме, т. е. когда один трансформатор отключен, по формулам:
Коэффициент загрузки трансформатора в
послеаварийном режиме не превышает установленной нормы 1,4. Следовательно,
трансформаторы мощностью 40 МВА каждый удовлетворяют требуемым условиям.
2. Выбор силовых трансформаторов
Силовые трансформаторы на понизительных
трансформаторных подстанциях выбираются исходя из следующих основных критериев:
Выбор конструктивного исполнения
трансформаторов.
По конструктивному исполнению трансформаторы делят
на масляные, заполненные синтетическими жидкостями и сухие. Первые из них
обладают хорошим отводом тепла от обмоток и сердечника, хорошей диэлектрической
пропиткой изоляции, надежной защитой активных частей от воздействия окружающей
среды, дешевизной. Их недостаток - возможность возникновения пожара, взрыва или
выброса продуктов разложения масла при случайном повреждении изоляции,
приводящая к дуговому короткому замыканию (КЗ) внутри бака трансформатора,
особенно при отказе или неправильном срабатывании защиты. Поэтому такие
трансформаторы используют для наружной установки или для установки в
специальных трансформаторных помещениях подстанций.
Выбор по способу регулирования вторичного
напряжения трансформаторов делятся на:
) регулируемые при помощи переключения отводов
первичной обмотки при отключении трансформатора; такие трансформаторы снабжены
устройством ПБВ (переключения без возбуждения);
) регулируемые под нагрузкой, т.е. при помощи
переключения отводов первичной обмотки без отключения трансформатора; такие
трансформаторы снабжены устройством РПН (регулирования под нагрузкой);
В первом случае возможны нечастые сезонные
изменения коэффициента трансформации в пределах от -5 до +5 процентов; обычно
применяются пять ступеней переключения (-5; -2,5; 0; +2,5; +5 процентов).
Во втором случае число ступеней больше
(например, 13 ступеней в пределах от -9 до +9 процентов или 17 ступеней в
пределах от -12 до +12 процентов, или 19 ступеней в пределах от -16 до +16
процентов). Трансформатор с РПН снабжен внешним контактным устройством для
автоматического переключения ступеней.
Выбор группы и схемы соединения обмоток
трансформаторов.
Группу соединения обмоток трансформаторов
выбирают так, чтобы трансформаторы в максимально возможной степени отвечали
следующим условиям:
препятствовали возникновению высших гармоник в
электрических сетях;
выравнивали нагрузку между фазами первичной
обмотки при несимметричной нагрузке вторичной обмотки;
ограничивали сопротивление нулевой
последовательности цепи КЗ в случае питания четырехпроводных сетей.
Для выполнения первого и второго условий одну
обмотку трансформаторов соединяют в звезду (Y), а другую - в треугольник (Δ).
На понизительных подстанциях в звезду, как
правило, соединена обмотка высшего напряжения (35-220 кВ), так как это может
потребоваться системой заземления нейтрали в сетях этого напряжения; обмотку
низшего напряжения соединяют в треугольник. Соединение первичной обмотки в
звезду облегчает, кроме того, регулирование напряжений путем переключения
отводов. По этим причинам на ГПП промышленных предприятий используют
преимущественно трансформаторы с группой соединения обмоток звезда-треугольник (Y/Δ)
или звезда с выведенной нейтральной точкой - треугольник (Y0/Δ).
Для проектирования выбираем силовые
трансформаторы типа ТДН-40000/110/10, с регулировкой напряжения под нагрузкой,
схема соединения обмоток Y0/Δ,
охлаждение дутьевое. Основные параметры трансформатора приведены в таблице 2.1.
Таблица
2.1
Параметры трансформатора
|
Тип
трансформатора
|
ТДН-40000/110
|
|
МВА
|
40
|
|
кВ
|
115
|
|
кВ
|
11
|
|
кВт
|
22
|
|
кВт
|
170
|
|
%
|
10,5
|
|
, %
|
0,28
|
|
Количество
трансформаторов
|
2
|
Теперь определим номинальные токи на стороне ВН
и НН (формулы (2.1) - (2.2) в аварийном режиме при отключении одного из
трансформаторов, тогда установленная нагрузка полностью переходит на другой
силовой трансформатор.
где
- суммарная мощность потребителей, ВА;
- номинальное
низкое напряжение, В;
- номинальное
высокое напряжение, В.
3. Выбор схемы электрических
соединений ПС
Главная схема электрических соединений
подстанции - это совокупность основного электрооборудования (трансформаторы,
линии), сборных шин, коммутационной и другой первичной аппаратуры со всеми
выполненными между ними в натуре соединениями.
Выбор главной схемы является определяющим при
проектировании электрической части подстанции, так как он определяет полный
состав элементов и связей между ними. Выбранная главная схема является исходной
при составлении принципиальных схем электрических соединений, схем собственных
нужд, схем вторичных соединений, монтажных схем и т. д.
Основные требования к главным схемам
электроустановок при выборе схем электроустановок должны учитываться следующие
факторы:
) положение электростанции или подстанции в
энергосистеме, схемы и напряжения прилегающих сетей. Шины высшего напряжения
подстанции могут быть узловыми точками энергосистемы, осуществляя объединение
на параллельную работу нескольких электростанций. В этом случае через шины
происходит переток мощности из одной части энергосистемы в другую - транзит
мощности. При выборе схем таких электроустановок в первую очередь учитывается
необходимость сохранения транзита мощности. Подстанции могут быть тупиковыми,
проходными, отпаечными; схемы таких подстанций будут различными даже при одном
и том же числе трансформаторов одинаковой мощности. Схемы распредустройств 6-10
кВ зависят от схем электроснабжения потребителей: питание по одиночным или
параллельным линиям, наличие резервных вводов у потребителей и т.п.;
) перспектива расширения и промежуточные этапы
развития электростанции, подстанции и прилегающего участка сети. Схема и
компоновка распределительного устройства должны выбираться с учетом возможного
увеличения количества присоединений при развитии энергосистемы. Поскольку
строительство крупных электростанций ведется очередями, то при выборе схемы электроустановки
учитывается количество агрегатов и линий вводимых в первую, вторую, третью
очереди и при окончательном развитии ее. Поэтапное развитие схемы
распределительного устройства подстанции не должно сопровождаться коренными
переделками. Это возможно лишь в том случае, когда при выборе схемы учитываются
перспективы ее развития.
Из сложного комплекса предъявляемых условий,
влияющих на выбор главной схемы электроустановки, можно выделить основные
требования к схемам:
) надежность электроснабжения потребителей, т.е.
обеспечение бесперебойного электроснабжения потребителей электроэнергией
нормированного качества;
) приспособленность к проведению ремонтных работ
- определяется возможностью проведения ремонтов без нарушения или ограничения
электроснабжения потребителей;
) оперативная гибкость электрической схемы,
определяется ее приспособленностью для создания необходимых эксплуатационных
режимов и проведения оперативных переключений;
) экономическая целесообразность.
В задании дипломного проекта принято, что
питание осуществляется от крупной энергетической системы, мощность которой
достаточна для покрытия потребностей проектируемого района в активной мощности.
Т.к. в Т.З. заданы потребители 1 и 2 категории, то для более надежной схемы
подстанции на нее должно приходить питание с двух питающих центров.
Питающими центрами, проектируемой подстанции,
являются ПС 750/500/110/10 кВ «Белый Раст», входящее в Московское
энергетическое кольцо, и ПС 110/35/10/6 «Луговая». Выбор этих подстанций
обусловлен их географическим расположением и так же повышением надежности ПС
«Луговая», прохождением на нее транзита мощности 110 кВ через новую подстанцию
«Московские Водники». Следует, что ПС Московские Водники будет иметь напряжение
110/10 кВ. т.к. через шины высокого напряжения будет происходить переток
мощности из одной части энергосистемы в другую.
Учитывая необходимость изменения транзита
мощности, и в перспективе постройки новых питающих или отходящих воздушных
линий, на ПС будут установлены две секции открытого исполнения 110 кВ с
секционным выключателем между ними. Проектируемая подстанция предназначаться
для питания крупного района, с потребителями 1-ой и 2-ой категории надежности
электроснабжения, значит, на подстанции должно быть установлено два силовых
трансформатора с регулировкой напряжения под нагрузкой и две секции 10 кВ с
секционным выключателем между ними (КРУН с вакуумными выключателями). Для
удобства оперативных переключений, вывода в ремонт и надежности оборудования
подстанции, будут установлены элегазовые выключатели 110 кВ силовых
трансформаторов и воздушных линий. Так же для удобного вывода в ремонт
оборудования ставятся шинные разъеденители с заземляющими ножами в обе стороны
каждого присоединения.
Исходя из данных требований для подобного типа
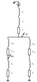
ПС 35-750 кВ, с двумя питающими линиями СТО 56947007-29.240.30.010-2008
рекомендует применять схему «110-9» (Одна рабочая секционированная выключателем
система шин). Схема приведена на рисунке 3.1.
Рисунок 3.1 - Схема ОРУ «110-9»
4. Расчет токов короткого замыкания
.1 Основные сведения
Причинами КЗ обычно являются нарушения изоляции,
вызванные ее механическими повреждениями, старением, набросами посторонних
предметов на провода линий электропередачи, проездом под линиями негабаритных
механизмов (кранов с поднятой стрелой и т.п.), прямыми ударами молнии,
перенапряжениями, неудовлетворительным уходом за оборудованием.
При КЗ токи в поврежденных фазах увеличиваются в
несколько раз по сравнению с их нормальным значением, а напряжения снижаются,
особенно вблизи места повреждения.
Протекание больших токов КЗ вызывает повышенный
нагрев проводников, а это ведет к увеличению потерь электроэнергии, ускоряет
старение и разрушение изоляции, может привести к потере механической прочности
токоведущих частей и электрических аппаратов.
К мерам, уменьшающим опасность развития аварий,
относятся: выбор рациональной схемы сети, правильный выбор аппаратов по
условиям КЗ, применение токоограничивающих устройств и т.п.
Для осуществления указанных мероприятий
необходимо определить токи КЗ и учитывать характер их изменения во времени.
При расчете токов КЗ принимаю допущения:
Расчётное напряжение каждой ступени схемы
электроснабжения принимается на 5% выше номинального значения.
КЗ наступает в момент времени, при котором
ударный ток КЗ будет иметь наибольшее значение.
Сопротивление места КЗ считается равным нулю
(металлическое КЗ).
Не учитываю сдвиг по фазе ЭДС различных
источников питания, входящих в расчётную схему. Источник питания принимают
единым в качестве системы (ЕЭС) с бесконечно большой полной мощностью SСИС
= ∞.
Не учитываю ёмкости, а, следовательно, емкостные
токи в воздушных и кабельных сетях.
Не учитываю токи намагничивания трансформаторов.
Напряжение системы (ЕЭС) остается неизменным.
Полная симметрия трехфазной системы.
Не учитываю увеличение суммарного тока КЗ со
стороны электродвигателей более низких уровней напряжения, чем уровень
напряжения точки КЗ.
Для расчета токов КЗ необходимо составить схему
замещения рассматриваемой сети, то есть расчетную схему, в которой вводятся все
элементы сети электроснабжения, и все электрические и магнитные связи
представлены сопротивлениями. Генерирующие источники (в данном случае -
система) вводятся в схему замещения соответствующими ЭДС, а пассивные элементы,
по которым проходит ток КЗ, индуктивными и, при необходимости (при большой
протяженности ЛЭП), активными сопротивлениями.
4.2 Расчет токов трехфазного КЗ
Для расчетов токов короткого замыкания
необходимо знать марку провода.
Провода буду применять сталеалюминевые марки АС
в соответствии с [2]. При проектировании ВЛ до 500 кВ выбор сечения проводов
проводиться по нормированным обобщенным показателям. В качестве таких
показателей используются нормированные значения экономической плотности
Для нахождения табличного значения из [7] для
неизолированных алюминиевых проводов, воспользуемся временем использования
максимума нагрузки
Значение
,
поэтому
Тогда
сечение проводов марки АС рассчитывается согласно формуле:
где,
-
рабочий ток в максимальном режиме эксплуатации при
.
Таким образом, беру ближайшее стандартное
сечение провода, АС-240 с
.
Проверим данный провод по допустимому току:
;
.
Выбранный провод удовлетворяет условию проверки
на нагрев.
Схема замещения подстанции
Для расчета токов короткого замыкания необходимо
составить схему замещения. Схема замещения для расчета токов КЗ составляется по
расчетной схеме сети. Для этого все без исключения элементы схемы заменяются
соответствующими электрическими сопротивлениями. В расчет принимаем одну
питающую ВЛ длиной 70 км (по заданию).
Рисунок 4.1- Расчетная схема
подстанции
Исходные данные для расчета:
Т1 и Т2 трансформаторы ТДН- 40000/110/10:
Sном = 40 МВА,
Uкз вн=
10,5 %.
По справочным данным определяем параметры
выбранного провода ВЛ 110 кВ Белый Раст-Московские Водники с проводом
АС-240/39:
удельное активное сопротивление
,
удельное реактивное сопротивление
,
длина воздушной линии L
= 70 км.
Схема замещения распределительной сети для
расчета токов КЗ представлена на рисунке 4.2.
Рисунок 4.2- Схема замещения для расчетов токов
КЗ
Задаемся базисной мощностью Sб=1000
МВА. Мощность системы приравняем к бесконечности Sc=¥.
Приведенное к базисной мощности сопротивление определим по формуле:
Сопротивление воздушных линий:
Приводим к базисной мощности активное и
реактивное сопротивление линий:
где
,
-
сопротивление трансформатора, приведенное к базисным условиям;
- базисная
мощность, кВА;
- номинальное
напряжение, кВ.
Сопротивление силовых трансформаторов:
где Sном
- номинальная мощность трансформатора;
ΔРк
- потери трансформатора при коротком замыкании;
Uк
- напряжение короткого замыкания, в % от номинального;
Uв ном
= 115 кВ.
Приведём полученные сопротивления к базисным
условиям:
где
,
-
сопротивление трансформатора, приведенное к базисным условиям;
- базисная
мощность, кВА;
- номинальное
напряжение, кВ.
Упростим эквивалентную схему замещения (рисунок
4.2) для определения токов КЗ в точке К1 следующим образом (рисунок 4.3):
Рисунок 4.3 - Однолинейная эквивалентная схема
замещения для расчета токов КЗ в точке К1
Рассчитаем полное эквивалентное сопротивление
схемы для определения токов КЗ в точке К1:

где
- активное эквивалентное
сопротивление;
- реактивное эквивалентное
сопротивление.

Определим ток КЗ в точке К1 (шины
110 кВ):
где
- заданная базисная мощность, кВА;
- полное эквивалентное
сопротивление;
- номинальное напряжение для точки
К1, кВ.
Определяем ударный ток КЗ в точке
К1:
,
где, Ку - ударный
коэффициент для времени t = 0.01 c, зависит от
соотношения результирующих активного и индуктивного сопротивлений,
рекомендуется принимать Kу = 1,75 для 110 и 220 кВ и Kу =
1,67 для 10 кВ.
Упростим эквивалентную схему
замещения (рисунок 4.2) для расчета токов КЗ в точке К2 следующим образом
(рисунок 4.4).
Рисунок 4.4 - Однолинейная
эквивалентная схема замещения для расчета токов КЗ в точке К2
Рассчитаем полное эквивалентное
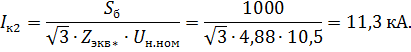
сопротивление схемы (рисунок 4.4) для определения токов КЗ в точке К2:
Определим ток КЗ в точке К2 (шины 10
кВ):
Определяем ударный ток КЗ в точке
К2:
Таблица
4.1
Сводная таблица токов короткого замыкания
|
, кВ
|
|
|
|
К-1
|
115
|
2,25
|
5,56
|
|
К-2
|
10,5
|
11,3
|
26,7
|
Расчетные токи короткого замыкания на шинах ВН и
НН подстанции получились небольшие, следовательно, дополнительных устройств для
снижения этих токов не требуется. Выпускаемые в настоящее время выключатели
способны отключить такой ток без дополнительных мер по снижению токов К.З.
5. Выбор высоковольтного
оборудования
.1 Выбор выключателей 110 кВ
Выключатель - это аппарат, предназначенный для отключения
и включения цепей высокого напряжения в нормальных и аварийных режимах.
Выключатель является основным коммутационным
аппаратом в электрических установках, он служит для отключения и включения цепи
в любых режимах. Наиболее тяжёлой и ответственной операцией является отключение
токов короткого замыкания.
К выключателям высокого напряжения предъявляются
следующие требования:
надёжное отключение токов любой величины от
десятков ампер до номинального тока отключения;
быстрота действия, т.е. наименьшее время
отключения;
пригодность для автоматического повторного
включения, т.е. быстрое включение выключателя сразу же после отключения;
возможность пофазного (пополюсного) управления
для выключателей 110 кВ;
удобство ревизии и осмотра контактов и
механической части;
взрыво и пожаробезопасность;
удобство транспортировки и обслуживания.
Выбор выключателей производится:
) по напряжению:
) по длительному току:
.
По отключающей способности:
) в первую очередь производится проверка на
симметричный ток отключения:
,
где
-
ток КЗ;
- номинальный ток
отключения, кА.
) на электродинамическую устойчивость
выключатель проверяется по ударному току короткого замыкания:
где
-
ударный ток короткого замыкания в цепи выключателя;
- амплитудное
значение предельного сквозного тока короткого замыкания (по справочнику).
) на термическую устойчивость выключатель проверяется
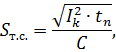
по тепловому импульсу:
,
где
-
тепловой импульс по расчёту;
- предельный ток
термической устойчивости по каталогу;
- длительность
протекания тока термической устойчивости, с.
.
Проверка выключателей по параметрам
восстанавливающегося напряжения обычно не проводится.
К установке в цепях присоединениях ОРУ-110 кВ
принимаем элегазовые выключатели типа ВЭБ-110-40/2500 УХЛ1 с керамической
изоляцией вводов. Параметры выключателя приведены в таблице 5.1.
Таблица
5.1
Параметры выключателя ВЭБ-110кВ
|
Наименование
|
Размерность
|
Значение
|
|
1
|
2
|
3
|
|
Номинальное
напряжение Uном
|
кВ
|
110
|
|
Наибольшее
рабочее напряжение Umax
|
кВ
|
126
|
|
Номинальный
ток Iном
|
А
|
2500
|
|
Номинальный
ток отключения Iно
|
кА
|
40
|
|
Наибольший
пик предельного сквозного тока
|
кА
|
102
|
|
Действующее
значение сквозного тока
|
кА
|
40
|
|
Наибольший
пик номинального тока включения iнв
|
кА
|
102
|
|
Действующее
значение номинального тока включения Iнв
|
кА
|
40
|
|
Ток
термической стойкости
|
кА
|
50
|
|
Время
термической стойкости
|
с
|
3
|
|
Время
отключения
|
с
|
0,055
|
|
Собственное
время отключения tсв
|
с
|
0,035
|
Выполняем проверку выключателя.
1) По напряжению:
2) По номинальному току:
.
3) По току отключения:
.
4) По величине ударного тока к.з. в сети:
.
) На термическую стойкость:
;
;
;
;
;
;
,8
7500
.
Таким образом, все условия проверки выполнены.
Параметры выключателя и соответствующие
расчетные величины сведем в таблицу 5.2.
Таблица
5.2
Параметры выключателя и расчётные величины
|
Параметры
выключателя
|
Соотношение
|
Расчётные
величины для выбора выключателя
|
|
|
=
|
|
|
|
>
|
|
|
|
>
|
|
|
|
>
|
|
|
= 7500
|
>
|
13,8
|
5.2 Выбор разъединителей 110кВ
Разъединитель представляет
собой коммутационный аппарат, используемый для включения и отключения
электрических цепей в таких условиях, при которых на его контактах не возникает
длинной открытой электрической дуги. В отключенном положении разъединителя на
его контактах создается видимый разрыв. Кроме того, разъединители
наружной установки рассчитываются на возможность разрыва посредством их ножей
зарядных токов воздушных и кабельных линий, а также токов холостого хода
силовых трансформаторов и токов небольших нагрузок. Поэтому их контакты часто
снабжаются дугогасительными рогами.
Так как разъединитель стоит в одной цепи с
выключателем, то расчётные величины для него те же, что и для выключателя.
К установке принимается разъединитель наружной
установки типа РГП-110/2000 УХЛ1 с двигательным приводом для главных ножей ПДС
и ручным приводом для заземляющих ножей ПР-П. Его номинальные параметры,
расчётные величины в его цепи и соотношения между ними приведены в таблице 5.3.
Таблица
5.3
Параметры разъединителя и расчётные величины
|
Параметры
разъединителя
|
Соотношение
|
Расчётные
величины для выбора разъединителя
|
|
Uном = 110 кВ
|
=
|
Uном.уст = 110 кВ
|
|
= 2000 А
|
>
|
|
|
= 7500
|
>
|
13,8
|
|
|
>
|
|
Соотношения табличных и расчётных параметров
показывают, что выбранный разъединитель удовлетворяет всем условиям выбора и
проверки.
5.3 Выбор ячеек и выключателей РУ-10
кВ
При напряжении 10 кВ в настоящее время
наибольшее распространение получили комплектные распределительные устройства
(КРУ) с вакуумными выключателями, благодаря своим достоинствам:
·
высокая
износостойкость при коммутации номинальных токов и номинальных токов
отключения;
·
резкое
снижение эксплутационных затрат;
·
полная
взрыво- и пожаробезопасность и возможность работы в агрессивных средах;
·
широкий
диапазон температур, в котором возможна работа вакуумной дугогасительной
камеры;
·
повышенная
устойчивость к ударным и вибрационным нагрузкам
вследствие малой массы и компактной конструкции
аппарата;
·
произвольное
рабочее положение и малые габариты, что позволяет создавать различные
компоновки распределительных устройств (РУ);
·
бесшумность,
чистота, удобство обслуживания, обусловленные малыми выделениями энергии в дуге
и отсутствие выброса масла, газов при отключении КЗ;
·
отсутствие
загрязнений окружающей среды;
·
высокая
надёжность и безопасность эксплуатации, сокращение времени на монтаж.
В качестве распределительного устройства 10 кВ
целесообразно применить закрытое КРУ заводского изготовления, состоящего из
отдельных ячеек различного назначения.
Для комплектования КРУН-10 кВ выберем
малогабаритные ячейки К-59, изготовляемые самарским заводом «Электрощит».
Данные ячейки отвечают современным требованиям эксплуатации, имеют выкатные
тележки с вакуумными выключателями, безопасный доступ к любому элементу КРУ-10.
В составе КРУ сери К-59 входят вакуумные
выключатели типа ВБЭ-10 с электромагнитным приводом, трансформаторы тока,
трансформаторы напряжения, разрядники, заземляющие ножи, сборные и
соединительные шины, опорные и переходные изоляторы.
Для установки вводных выключателей 10 кВ
выбираем выключатели серии ВБЭ-10-31,5/2000 УХЛ2, ориентируясь на установку на
стороне 10 кВ комплектного распределительного устройства наружной установки
(КРУН) серии К - 59.
Секционные выключатели принимаем такими же, как
и вводные на соответствующем напряжении.
Произведем выбор и проверку для вводных
выключателей на стороне 10 кВ. Считаем, что один трансформатор выведен в ремонт
и вся нагрузка подключена ко второму.
Таблица
5.4
Параметры выключателя ВБЭ-10-31,5/2500 УХЛ2
|
Наименование
|
Размерность
|
Значение
|
|
Номинальное
напряжение Uном
|
кВ
|
10
|
|
Наибольшее
рабочее напряжение Umax
|
кВ
|
12
|
|
Номинальный
ток Iном
|
А
|
2500
|
|
Номинальный
ток отключения Iно
|
кА
|
31,5
|
|
Наибольший
пик предельного сквозного тока
|
кА
|
52
|
|
Действующее
значение сквозного тока
|
кА
|
20
|
|
Действующее
значение номинального тока включения Iнв
|
кА
|
40
|
|
Ток
термической стойкости
|
кА
|
31,5
|
|
Время
термической стойкости
|
с
|
3
|
|
Время
отключения
|
с
|
0,045
|
|
Собственное
время отключения tсв
|
с
|
0,035
|
Наибольший рабочий ток:
= 2107,3 А.
) По напряжению:
.
) По номинальному току:
.
) По току отключения:
.
) По величине ударного тока к.з. в сети:
.
) На термическую стойкость:
;
;
;
;
;
;
,07
2976
.
Параметры выключателя и соответствующие
расчетные величины сведем в таблицу 5.5.
Таблица
5.5
Параметры выключателя и расчётные величины
|
Параметры
выключателя
|
Соотношение
|
Расчётные
величины для выбора выключателя
|
|

|
|
|
|
>
|
|
|
|
>
|
|
|
|
>
|
|
|
= 2976
|
>
|
|
Все условия проверки выполняются, поэтому
выбранные выключатели могут быть установлены в КРУН - 10 кВ проектируемой
подстанции.
Выключатели для отходящих линий 10 кВ выбираем
ВБЭ-10-20/1000 УХЛ2.
.4 Выбор трансформаторов собственных
нужд
Приемниками электроэнергии собственных нужд (СН)
подстанций являются: электродвигатели системы охлаждения трансформаторов;
устройства обогрева масляных выключателей и шкафов распределительных устройств
с установленными в них аппаратами и приборами; электрическое освещение и
отопление помещений и освещение территории подстанций. Наиболее ответственными
приемниками СН являются устройства системы управления, релейной защиты,
сигнализации, автоматики и телемеханики. От этих приемников СН зависит работа
основного оборудования подстанций, прекращение их питания даже кратковременно
приводит к частичному или полному отключению подстанции. Приемники собственных
нужд, перерыв в электроснабжении которых не вызывает отключения или снижения
мощности электроустановки, относятся к неответственным.
В таблице 5.6 отображены потребители собственных
нужд (СН) ПС и их суммарная нагрузка с учетом коэффициента спроса. Расшифровка
обозначений таблицы:
P - номинальная активная мощность единичного
потребителя СН (кВт).
N - количество единичных потребителей СН (шт.);
PN - суммарная активная мощность
потребителя СН (кВт);
КСПР - коэффициент спроса на
потребителя СН (о.е);
cosφ - коэффициент
мощности потребителя СН (о.е);
SРАСЧ - расчетная нагрузка
потребителя СН (кВа);
SРАСЧ.Σ
-
суммарная расчетная нагрузка всех потребителей СН (кВа).
Таблица
5.6
Характеристика потребителей собственных нужд
|
Потребители
собственных нужд
|
Р,
кВт
|
N,
шт.
|
РN,
кВт
|
КСПР
|
cosφ
|
SРАСЧ,
кВа
|
|
Освещение
ОРУ-0кВ
|
5
|
-
|
5
|
0,5
|
1
|
2,5
|
|
Отопление,
освещение, вентиляция КРУН-10 кВ
|
7
|
-
|
7
|
0,7
|
1
|
4,9
|
|
Отопление,
освещение, вентиляция ОПУ
|
100
|
-
|
100
|
0.7
|
1
|
70
|
|
Отопление
и освещение склада
|
5,5
|
-
|
5,5
|
0,2
|
1
|
1,1
|
|
Двигатели
системы охлаждения силового трансформатора и РПН
|
5
|
2
|
10
|
0,85
|
0,85
|
8,5
|
|
Отопление
шкафов КРУ
|
1
|
39
|
39
|
1
|
1
|
39
|
|
Электроподогрев
элегазовых выключателей и его приводов
|
5
|
3
|
15
|
1
|
1
|
15
|
|
Электроподогрев
привода разъединителя 110 кВ
|
0,6
|
8
|
4,8
|
1
|
1
|
4,8
|
|
Электропитание
телемеханики и аппаратуры связи
|
2
|
-
|
2
|
1
|
1
|
2
|
|
Электроподогрев
шкафа РЗ
|
1
|
12
|
12
|
1
|
1
|
12
|
|
Электропитание
системы пожаротушения
|
15
|
-
|
15
|
1
|
1
|
15
|
|
Зарядно-подзорядное
устройство
|
35
|
2
|
70
|
0,12
|
11
|
8,4
|
Итого:
В соответствии с [1], очевидно, что на ПС будет
достаточна установка двух ТСН. Их эксплуатацию можно осуществить следующими
способами:
. Один из двух ТСН питает всю нагрузку СН, а
второй находится в автоматическом резерве.
. Два ТСН работают совместно с загрузкой 50-70%
от номинальной мощности ТСН. При этом секции шин 0,4 кВ питают нагрузку
раздельно.
К установке принимаю второй вариант эксплуатации
ТСН.
На проектируемой ПС будет отсутствовать
постоянный оперативный персонал, поэтому формула для выбора номинальной
мощности ТСН такова:
где
- номинальная мощность ТСН.
- суммарная расчетная
нагрузка всех потребителей СН.
Таким образом, ближайшая стандартная мощность
трансформатора равна 250 кВА. Выбираем ТСН типа ТМ 250 10/0,4.
Таблица
5.7
Паспортные данные трансформатора ТМ 250 10/0,4
|
Тип
трансформатора
|
|
|
|
|
Масса,
кг
|
|
ТМ
250 10/0,4
|
250
|
0,85
|
2,9
|
4
|
1150
|
5.5 Выбор ограничителей
перенапряжения
До 70-х годов традиционным аппаратом для защиты
изоляции электрооборудования от перенапряжения является вентильный разрядник,
который содержал нелинейный элемент с симметричной вольт-амперной
характеристикой на основе карбида кремния и последовательно включенные с ним
искровые промежутки. Из-за относительно слабой нелинейности не линейного
элемента он не мог подключаться к сети непосредственно, так как при рабочем
напряжении через него протекал бы значительный ток.
В 70-х годах появились нелинейные элементы на
основе окиси цинка, имеющие вольт-амперные характеристики с гораздо большей
нелинейностью, что позволяло подключать их к сети непосредственно, без
последовательных искровых промежутков. В нашей стране защитные аппараты с
оксидно-цинковыми элементами получили название ограничители перенапряжения
нелинейные (ОПН). За рубежом подобные аппараты называются безыскровыми
разрядниками. Отсутствие последовательных искровых промежутков позволяет
значительно улучшить защитные характеристики аппарата и уменьшить его
массогабаритные показатели. К началу 70-х годов безыскровые защитные аппараты
получили преимущественное распространение.
ОПН представляет собой аппарат опорного типа и
содержит высоконелинейный резистор, состоящий из последовательно соединенных в
колонку дисков оксидно-цинковых варисторов производства лучших зарубежных фирм,
помещенных в изоляционную оболочку. Огранчители исполнения УХЛ1 имеют
взрывобезопасный чехол из комбинированной полимерной изоляции:
стеклопластиковый цилиндр с оребренным покрытием из кремнийорганической резины.
Принцип работы ОПН заключается в следующем: в
нормальном режиме через аппарат протекает незначительный ток (порядка долей мА)
при появлении всплесков перенапряжений любой физической природы из-за резкой
нелинейной вольт-амперные характеристики ограничителя ток через него возрастает
до значений от ампер до десятков килоампер, снижая уровень перенапряжения до
заданных значений.
Выбираем ограничители перенапряжения.
Для напряжения 10 кВ выбираем ОПН-10/11-10(I)УХЛ1.
Для напряжения 110 кВ выбираем ОПН-110/73-10(I)УХЛ1.
.6 Выбор заземлителей нейтралей
силовых трансформаторов
В установках 110 кВ в нейтрали трансформатора
предусматривается заземлитель нейтрали ЗОН, который выбирается по тем же
показателям, что и разъединитель.
К установке принимается ЗОН-110М-1-У1-1, тип
привода ПРН-11У1.
Кроме заземлителя нейтрали ЗОН-110 в нейтрали
трансформатора устанавливается ограничитель перенапряжения, предназначенный для
защиты нейтрали от коммутационных и атмосферных перенапряжений. Ограничители
перенапряжения должны быть выбраны на то напряжение, на которое выполнена
изоляция нейтрали трансформатора.
К установке принимается: ОПН-110/73-10(I)УХЛ1.
5.7 Выбор измерительных
трансформаторов тока
Трансформатор тока (ТТ) предназначен для
уменьшения первичного тока до величин, наиболее удобных для измерительных
приборов и реле, а также для отделения цепей измерения и защиты от первичных
цепей высокого напряжения.
Выбор ТТ при проектировании РУ заключается в
выборе типа трансформатора, определении ожидаемой нагрузки и сопоставлении её с
номинальной, проверке на электродинамическую и термическую стойкость. Класс
точности намечают в соответствии с назначением трансформатора тока: класс
точности 0,5 - применяем для присоединения счётчиков денежного расчёта; класса
1 - для всех технических измерительных приборов; класса 3 и 10 - для релейной
защиты.
Контроль за режимом работы подстанции
осуществляем с помощью контрольно-измерительных приборов: вольтметра,
ваттметра, варметра, счётчиков активной и реактивной энергии. Выбор и сравнение
трансформаторов тока приведён в таблицу.
Выбор измерительных трансформаторов тока.
Коэффициенты трансформации трансформаторов тока
выбираются по максимальному рабочему току нагрузки:
,
где
-
номинальный ток первичной обмотки трансформатора тока, А.
Номинальное напряжение трансформатора тока
должно соответствовать номинальному напряжению сети.
Трансформаторы тока 10 кВ.
Выберем трансформаторы тока для установки в цепи
секционного, и вводных выключателей трансформатора на стороне 10 кВ. Для них
=
2107,3 А. Выбираем трансформаторы тока ТОЛ - 10 - 2500/5 У3 у которых
=
2500 А. Соответствующие расчётные величины для трансформаторов тока такие же,
как и для выключателей.
Номинальные параметры трансформаторов тока,
расчётные величины в его цепи и соотношения между ними приведены в таблице 5.9.
Таблица
5.8
Параметры трансформаторов тока и расчетные
величины
|
Параметры
трансформатора тока
|
Соотношение
|
Расчетные
величины для выбора трансформатора тока
|
|
|
=
|
|
|
|
>
|
|
|
|
>
|
|
|
|
>
|
|
Из сравнения видно, что условие проверки
выполняются.
Трансформаторы тока 110 кВ.
Т.к. элегазовые выключатели ВЭБ-110 имеют
встроенные трансформаторы тока типа ТВГ-110-5Р-600/5 и ТВГ-110-0,2-600/5, с
классами точности 5Р и 0,2S.
Соответствующие расчётные величины для них такие же, как и для выключателей.
Номинальные параметры трансформаторов тока,
расчётные величины в его цепи и соотношения между ними приведены в таблице.
Соответствующие расчётные величины для них такие
же, как и для выключателей.
Номинальные параметры трансформаторов тока,
расчётные величины в его цепи и соотношения между ними приведены в таблице
5.10.
Таблица
5.10
Параметры трансформаторов тока и расчетные
величины
|
Параметры
трансформатора токаСоотношениеРасчетные величины для выбора трансформатора
тока
|
|
|
|
|
=
|
|
|
|
>
|
|
|
|
>
|
|
|
|
>
|
|
|
|
>
|
|
Таким образом, выбранный трансформатор тока
удовлетворяет условиям выбора и проверки.
Рассмотрим подробнее выбор трансформатора тока
по классу точности для наиболее загруженного трансформатора тока:
.
Выполнение этого условия сводится к выбору сечения контрольного кабеля,
соединяющего трансформатор тока с подключенными к нему приборами.
Допустимое сечение кабеля определим по формуле:
,
где
- номинальная вторичная нагрузка (1,2 Ом);
- сопротивление
приборов, подключенных к трансформатору;
- мощность всех
приборов в наиболее нагруженной фазе;
- сопротивление
контактных соединений (при числе приборов более трех
=
0,1 Ом);
- расчетная длина
контрольного кабеля, зависящая не только от реальной его длины, но и от схемы
соединения трансформаторов;
- удельное
сопротивление жил контрольного кабеля (для меди r = 0,0175 Ом×мм2/м).
Для определения мощности, потребляемой приборами
в цепи трансформаторов тока, необходимо определить потребляемую каждым прибором
мощность. Перечень и параметры приборов в цепи трансформаторов тока приведено в
таблице 5.11.
Таблица
5.11
Перечень и параметры приборов в цепи
ТТ-ТВГ-110-0,2-600/5
|
Прибор
|
Тип
прибора
|
Нагрузка
фазы
|
|
|
|
А
|
В
|
С
|
|
1
|
Амперметр,
ВА
|
ЩП120
|
-
|
3,0
|
-
|
|
2
|
Ваттметр,
ВА
|
ЦП8506-120
|
5,0
|
-
|
5,0
|
|
3
|
Варметр,
ВА
|
ЦП8506-120
|
5,0
|
-
|
5,0
|
|
4
|
Счетчик
активно/реактивной энергии, ВА
|
Меркурий
233 ART
|
2,0
|
2,0
|
2,0
|
|
Sпр,
ВА
|
|
12,0
|
5,0
|
12,0
|
На основе таблицы определим:
сопротивление приборов:
допустимое сечение кабеля:
Примем к установке кабель КВВГ с медными жилами
сечением 4 мм2. Определим сопротивление выбранного кабеля:
Определим вторичное расчетное сопротивление:
Из сравнения видно, что условие проверки по
классу точности выполняется.
5.8 Выбор измерительных
трансформаторов напряжения
Измерительные трансформаторы напряжения (ТН)
предназначены для преобразования напряжения до значения, удобного для измерения.
Трансформаторы, предназначенные для присоединения счётчиков, должны отвечать
классу точности 0,5. Для присоединения щитовых измерительных приборов
используют трансформаторы классов 1,0 и 3,0; для релейной защиты - 0,5, 1,0 и
3,0.
Трансформаторы напряжения 10 кВ.
Номинальное напряжение трансформаторов
напряжения должно соответствовать напряжению сборных шин, на которых они будут
установлены. Класс точности трансформаторов напряжения для подключения КИП -
0,5.
Вторичная нагрузка трансформаторов напряжения
каждой секции сборных шин представлена в таблице 5.12.
Вторичная нагрузка трансформаторов напряжения:
Так как на стороне 10 кВ будет установлено КРУН.
То выбираем трансформаторы напряжения 3НОЛ.09 - 10 У2, для которого
,
в
классе точности 0,5. Три трансформатора напряжения, соединенные в звезду, имеют
мощность
что
больше чем
таким образом,
выбранные трансформаторы напряжения будут работать в требуемом классе точности
0,5.
Таблица
5.12
Вторичная нагрузка трансформаторов напряжения 10
кВ
|
Прибор
|
Тип
|
Потр.
мощность
|
 Кол-во приб.Суммарная мощность SS
|
|
|
|
|
Вольтметр
|
Э365
|
0,1
|
1
|
0
|
2
|
0,2
|
|
Ваттметр
|
Д365
|
1,5
|
1
|
0
|
2
|
3
|
|
Варметр
|
Д335/1
|
2,5
|
0,38
|
0,925
|
2
|
5
|
|
Счётчик
активной энергии
|
САЗ-И680
|
2
|
0,38
|
0,925
|
10
|
20
|
|
Счётчик
реактивной энергии
|
СР4И-673
|
2
|
0,38
|
0,925
|
1
|
20
|
|
РЗиА
|
|
5
|
1
|
0
|
0
|
5
|
Трансформаторы напряжения 110 кВ.
Проверку работы ТН в классе точности производят
по его суммарной нагрузке, которая определяется подключаемыми приборами.
Согласно РД 34.09.101-94 и ПУЭ 7 издание,
определяем набор приборов для каждой группы присоединений и составим таблицу
5.13. Подсчёт мощности произведём отдельно по активной и реактивной
составляющим. При этом учтём, что cosφ
обмоток приборов, кроме счётчиков, равен единице. У счётчиков
активно/реактивной энергии cosφ=0,38,
а sinφ=0,925.
Полная суммарная потребляемая мощность:
Примем к установке три однофазных трехобмоточных
трансформатора напряжения типа НКФ - 110 II У1 с номинальной мощностью в классе
0,5 S2н
= 200 В×А,
соединенные в группу.
т.е. условие проверки по классу точности
выполняется.
Таблица
5.13
Вторичная нагрузка трансформатора напряжения 110
кВ
|
Прибор
|
Тип
|
Потр.
мощность
|
 Кол-во приб.Суммарная мощность SS
|
|
|
|
|
1
|
2
|
3
|
4
|
5
|
6
|
7
|
|
Вольтметр
|
Э365
|
0,1
|
1
|
0
|
3
|
0,3
|
|
Ваттметр
|
Д365
|
1
|
0
|
2
|
3
|
|
Варметр
|
Д335/1
|
2,5
|
0,38
|
0,925
|
2
|
5
|
|
Счётчик
активной энергии
|
СА4У-И670(3)СР4
|
2,5
|
0,38
|
0,925
|
3
|
7,5
|
|
Счётчик
реактивной энергии
|
У-И670(3)
|
2,5
|
0,38
|
0,925
|
3
|
7,5
|
|
РЗиА
|
|
5
|
1
|
0
|
1
|
5
|
5.9 Выбор оборудования
высокочастотной связи
Для обеспечения надежной телефонной связи между
отдельными электростанциями и подстанциями энергосистемы, для работы релейной
защиты а также для управления работой подстанции на расстоянии применяется
высокочастотная радиосвязь, направленная по проводам линий электропередачи
110кВ.
Для этой цели на ОРУ 110кВ устанавливается
специальное оборудование, относящееся к высокочастотной связи, защите и
телемеханике:
а) высокочастотные резонансные заградители,
б) конденсаторы связи с элементом для отбора
силовой мощности
Выбор высокочастотного заградителя.
Заградители предназначены для ограничения зоны
распространения токов высокой частоты, то есть для уменьшения утечки токов
высокой частоты каналов связи по линии электропередачи в сторону противоположную
направлению к корреспонденту. Заградитель представляет собой высокочастотный
заградительный фильтр и состоит из силового реактора и элемента настройки.
Реактор заградителя рассчитан на длительное прохождение по нему рабочего тока
линии и кратковременное - токов короткого замыкания. Элемент настройки
включается параллельно реактору и служит для того, чтобы повысить сопротивление
заградителя на определенной частоте или полосе частот. Высокочастотные
заградители подвешивают на одноцепных, двухцепных гирляндах на траверсах
порталов либо устанавливают на колонке конденсатора связи или шинной опоре.
К установке принимается высокочастотный
заградитель типа ВЗ-630-0,5У1, данные выбора высокочастотного заградителя и
расчетные данные линии сводятся в таблицу.
Таблица
5.14
Параметры ВЧЗ и расчётные величины
|
Параметры
ВЧЗ
|
Соотношение
|
Расчётные
величины
|
|
|
=
|
|
|
630 А
|
>
|
|
|
|
>
|
13,8
|
|
16 кА
|
>
|
|
5.10 Выбор токопровода
Выберем токопровод открытого распределительного
устройства 110 кВ.
Для начала определяем экономически выгодное
сечение токопровода (материал - алюминий):
где
-
экономическая плотность тока (принимаем
=1
А/мм2);
- рабочий ток
нормального режима.
Выберем в качестве проводника провод АС-240.
Условие выбора по продолжительному нагреву:
где
- максимальный рабочий ток токопровода.
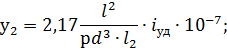
Проверка по электродинамической стойкости:
Для обеспечения электродинамической стойкости шинопровода
при токах короткого замыкания расчетное напряжение не должно превосходить
допустимого напряжения
.
Для алюминия
=70
мПа.
где
- ударный ток короткого замыкания, кА;
= 5,56 кА;
a - расстояние между
фазами, м;
а =1,5 м;
l - длина пролета
токопровода, м;
l = 15;
= 10;
W - момент
сопротивления поперечного сечения, м3;
где
- диаметр проводника, м;
= 24 мм.
Таким образом, выбранный токопровод АС-240
допускается для ошиновки ОРУ 110 кВ.
Выберем токопровод, по которому электроэнергия
передается от трансформатора 110/10 кВ в КРУН - 10 кВ по такой же методике.
Определим экономически выгодное сечение
токопровода (материал - алюминий):
Выбираем токопровод 4АС-550.
Условие выбора по продолжительному нагреву:
Выберем в качестве проводника АС-550.
Пусть на каждую фазу токопровода идут 4 линии АС
- 550, таким образом, токопровод будет представлять собой линию 4АС-550.
Проверка по электродинамической стойкости:
Для обеспечения электродинамической стойкости
шинопровода при токах короткого замыкания расчетное напряжение не должно
превосходить допустимого напряжения
Для алюминия
70
мПа.
Так как в нашем случае на каждую фазу идет
четыре линии, то возникают электродинамические силы двух видов: усилие от
взаимодействия токов различных фаз и усилие от взаимодействия токов в
проводниках одной фазы:
где
- напряжение на шине в результате взаимодействия токов различных фаз;
- напряжение в
проводниках одной фазы.
= 26,7 кА;
а = 1,5 м;
l = 15;
= 10;
W - момент
сопротивления поперечного сечения, м3;
где d =
32,5
мм.
где
- сила взаимодействия между проводниками одной фазы на 1м длины.
где
- расстояние между проводниками одной фазы, м;
=
0,15 м.
Таким образом, выбираем токопровод 4АС-550 для
соединения выводов трансформаторов с шинами КРУН-10 кВ.
Выбираем сборные шины в КРУН-10 кВ.
Сечение сборных шин выбирают по:
допустимому нагреву, исходя из токовой нагрузки
в утяжеленном режиме;
по термической стойкости;
по электродинамической стойкости.
Расчетный ток на шинах 10 кВ:
Выбираем алюминиевые шины сечение 110х10 мм2.
Проверка по допустимому нагреву:
Минимальное сечение шинопровода по термической
стойкости:
где
-
установившийся ток к.з., А;
- приведенное
время к.з., с;
- коэффициент, для
алюминия С=92.
=0,05+0,046=0,096
с.
=11,3 кА=11300 А.
По электродинамической стойкости шины выбирают
исходя из условия:
где
- максимальный изгибающий момент, Н*м;
- момент
сопротивления сечения шин, м3.
где
- сила взаимодействия между проводниками при протекании по ним ударного тока
к.з., Н; l - расстояние между
изоляторами, l=1м;
=
10.
Где a
- расстояние между фазами, а=0,15 м;
- коэффициент
формы,
=0,35;
- ударный ток
короткого замыкания
= 26,7 кА.
Пусть шины расположены друг к другу узкими
сторонами:
b = 10мм=10*10-3
м;
h = 110мм=110*10-2
м;
Наибольшее допустимое при изгибе напряжение
не
должно превышать для алюминия 70 мПа.
Найдем частоту собственных колебаний шин:
где
- модуль упругости материала шин, для алюминия Е=7*1010 Па;
- момент инерции
поперечного сечения шин, м4;
- (при
расположении шин друг к другу узкими сторонами);
m - масса одного
погонного метра шины, кг/м.
Следовательно, явление резонанса не учитывается.
Таким образом, алюминиевые шины прямоугольного
сечения 110х10 мм2 удовлетворяют необходимым условиям.
5.11 Выбор изоляторов
Для крепления токоведущих частей и установки
оборудования на ПС используются опорные подвесные и проходные изоляторы.
Выбор опорных изоляторов в КРУН 10 кВ,
предназначенные для крепления шин и их безопасного обслуживания. Изоляторы,
выбираются по следующим условиям:
1. Род установки:
2. Допустимая механическая нагрузка:
Расчетная нагрузка на изолятор определяется по
формуле:
где
- расстояние между изоляторами в пролете,
=1м;
- расстояние между
фазами,
=0,15
м;
- ударный ток
короткого замыкания,
= 26,7 кА
Выбираем изолятор для внутренней установки:
ИОР-10-30 УХЛ2:
Выбранный изолятор удовлетворяет условиям.
Высота изолятора 150 мм.
Выбор опорных изоляторов 110 кВ для
ОРУ.Рассчитаем нагрузку на изолятор:
= 15м;
= 1,5 м;
= 5,56 кА
Выбираем изолятор для наружной установки: ОСК
10-110-В-4 УХЛ1:
Выбранный изолятор удовлетворяет условиям.
Высота изолятора 1050 мм.
В качестве подвесных изоляторов для ОРУ 110 кВ
используем изолятор ПС6-Б, количеством в гирлянде 9 штук.
5.12 Выбор аккумуляторной батареи
В соответствии с [1], для получения постоянного
оперативного тока на ПС 110 кВ будет установлен один комплект аккумуляторной
батареи (АБ) стационарной установки закрытого типа с жидким и экологически
чистым диэлектриком, исключающими выделение водорода в режиме зарядки и
исключающие содержание ядовитых ПХБ (полихлорированные бифенилы).
Постоянный оперативный ток должен обеспечивать
рабочее и резервное питание следующих основных электроприемников:
устройств РЗА;
устройств управления и приводов высоковольтных
выключателей;
устройств сигнализации;
устройств противоаварийной автоматики;
устройств коммерческого учета электроэнергии;
устройств связи, обеспечивающих передачу
сигналов РЗА;
приводов автоматических вводных и секционных
выключателей щитов собственных нужд (ЩСН) напряжением 0,4 кВ.
В соответствии с [2], на ПС будут установлены АБ
типа Groe. Емкость АБ сможет обеспечивать питанием всех потребителей
оперативного тока в течение не менее 3 часов при отключенном
зарядно-подзарядном устройстве (ЗПУ).
Выбираю АБ типа Groe модели SGL 31D с
номинальной емкостью СНОМ =400 (А· час). Характеристика данного
вида батарей представлена в таблиц 5.15.
Таблица
5.15
Технические характеристики АБ
|
Тип
АБ
|
Groe
(серия SGL-SGH)
|
|
Модель
АБ
|
SGL
33D
|
|
Обозначение
по стандарту DIN 40738
|
16
GroE 400
|
|
Номинальная
емкость при 20 °С
|
400
А· час
|
|
Номинальное
напряжение АБ
|
220
В
|
|
Количество
элементов в АБ
|
110
шт.
|
|
Номинальное
напряжение на одном элементе
|
2
В
|
|
Рекомендуемое
напряжение на одном элементе в режиме постоянного подзаряда АБ
|
2,23
В
|
|
Электролит
|
Раствор
серной кислоты
|
|
Производитель:
|
«FIAMM»
(Италия)
|
В качестве распределительного шкафа постоянного
тока принимаем разработку фирмы «Технокомплект» г.Дубна - АУОТ-М2-УХЛ4.
Аппарат предназначен:
для обеспечения потребителей стабилизированным
постоянным напряжением;
для заряда и подзаряда аккумуляторных батарей,
подключаемых отдельно или в буферном режиме с нагрузкой;
для контроля подключения аккумуляторных батарей.
Аппарат состоит из собственно аппарата (шкаф) и
шкафа распределительного (ШР).
Аппарат может поставляться совмещенным с ШР,
отдельным ШР или без него. Возможна поставка настенного исполнения или с
установкой на подставке.
Характеристика шкафа представлена в таблице
5.16.
понизительный подстанция
высоковольтный трансформатор
Таблица
5.16
Характеристика шкафа постоянного тока
|
Вариант
исполнения аппарата
|
Максимальный
выходной ток при работе одного силового блока (при параллельной работе
силовых блоков*), А
|
Максимальная
выходная мощность при работе одного силового блока (при параллельной работе
силовых блоков*), кВт
|
Диапазон
регулирования выходного напряжения B
|
Количество
элементов аккумуляторной батареи при номинальном напряжении на выходе
аппарата, шт.
|
|
АУОТ-М2-20-220-УХЛ4
|
24
(40*)
|
6
(10*)
|
150
- 250
|
110
|
.13 Релейная защита и автоматика
При эксплуатации энергетического оборудования и
электрических сетей неизбежны их повреждения и не нормальные режимы. Наиболее
опасными являются короткие замыкания, повреждения изоляции и перегрузки.
Короткие замыкания возникают из-за пробоя или
перекрытия изоляции, обрывов проводов, ошибочных действий персонала (включения
под напряжение заземленного оборудования, отключения разъединителей под
нагрузкой) и других причин.
В большинстве случаев в месте КЗ возникает
электрическая дуга, термическое действие которой приводит к разрушениям
токоведущих частей, изоляторов и электрических аппаратов. При КЗ к месту
повреждения подходят большие токи (токи КЗ), измеряемые тысячами ампер, которые
перегревают неповрежденные токоведущие части и могут вызвать дополнительные
повреждения, т. е. развитие аварии. Одновременно в сети, электрически связанной
с местом повреждения, происходит глубокое понижение напряжения, что может
привести к остановке электродвигателей и нарушению параллельной работы
генераторов.
Обычно развитие аварий может быть предотвращено
быстрым отключением поврежденного участка электрической установки или сети при
помощи специальных автоматических устройств, действующих на отключение
выключателей, и получивших название релейная защита.
При отключении выключателей поврежденного
элемента гаснет электрическая дуга в месте КЗ, прекращается прохождение тока КЗ
и восстанавливается нормальное напряжение на неповрежденной части электрической
установки или сети. Благодаря этому минимизируются, или даже совсем
предотвращаются повреждения оборудования, на котором возникло КЗ, а также
восстанавливается нормальная работа неповрежденного оборудования.
Таким образом, основным назначением релейной
защиты является выявление места возникновения КЗ и быстрое автоматическое
отключение выключателей поврежденного оборудования или участка сети от остальной
неповрежденной части электрической установки или сети.
К релейной защите предъявляются такие основные
требования:
быстродействие;
селективность;
чувствительность;
надежность.
Кроме повреждений электрического оборудования
могут возникать такие нарушения нормальных режимов работы, как перегрузка,
замыкание на землю одной фазы в сети с изолированной нейтралью, выделение газа
в результате разложения масла в трансформаторе, или понижение уровня масла в
его расширителе и др.
В указанных случаях нет необходимости
немедленного отключения оборудования, так как эти явления не представляют
непосредственной опасности для оборудования и могут самоустраниться. Поэтому
при нарушении нормального режима работы на подстанциях с постоянным
обслуживающим персоналом, как правило, достаточно дать предупредительный сигнал
персоналу подстанции. На подстанциях без постоянного обслуживающего персонала и
в отдельных случаях на подстанциях с постоянным обслуживающим персоналом
производится отключение оборудования, но обязательно с выдержкой времени.
Таким образом, вторым назначением релейной
защиты является выявление нарушений нормальных режимов работы оборудования,
которые могут привести к аварии, и подача предупредительных сигналов
обслуживающему персоналу, или отключение оборудования с выдержкой времени.
Согласно требованием ПТЭ, силовое оборудование
электростанций, подстанций и электрических сетей должно быть защищено от
коротких замыканий и нарушений нормальных режимов работы устройствами релейной
защиты и электроавтоматики. Устройства РЗА должны быть постоянно включены,
кроме устройств, которые должны выводиться из работы в соответствии с
назначением и принципом действия, режимом работы энергосистемы и условиями
селективности. Устройства аварийной и предупредительной сигнализации должны
быть всегда готовы к действию.
Под устройством релейной защиты подразумевается
совокупность реле, приборов и вспомогательных элементов, которые при
возникновении повреждений и ненормальных режимов работы оборудования должны
действовать на его отключение или на сигнал.
В 70 годах прошлого века широкое распространение
получила релейная защита и автоматика на переменном оперативном токе,
релейно-контакторного типа. Доля же на постоянном оперативном токе была не
велика, ввиду большой дороговизны аккумуляторных батарей.
Для выполнения релейной защиты на переменном
оперативном токе применялась специальная релейная аппаратура:
. Реле максимального тока типов РТ-85, РТ-86 и
РТ-95 применялись в схемах максимальной токовой защиты электрооборудования и
линий электропередачи.
2. Реле промежуточных типов РП- 321 и РП-
341 предназначены для непосредственного включения во вторичные цепи
трансформаторов тока и управляются контактами основных реле защиты, выполняемой
на переменном оперативном токе.
. Реле времени с синхронным
микродвигателем РВМ-12 и РВМ-13 предназначены для создания выдержки времени в
различных схемах релейной защиты, выполняемых на переменном оперативном токе.
. Реле времени типов ЭВ-215 - ЭВ-245
применяются в схемах релейной защиты с дешунтированием электромагнитов
отключения, а также в других схемах защиты и электроавтоматики на переменном
оперативном токе.
. Реле промежуточные типов РП-25 и РП-311
предназначены для применения в цепях переменного напряжения в схемах релейной
защиты и автоматики в качестве вспомогательных реле.
. Реле промежуточные двухпозиционные типа
РП-9 и РП-12 предназначаются для применения в цепях переменного тока в качестве
вспомогательных реле.
В настоящее время происходит повсеместная замена
релейно-контакторного оборудования электрических подстанций на
микропроцессорное, и перевод на оперативный источник питания постоянного тока.
Выбор защит фидеров
Для защиты отходящего фидера применяем
микропроцессорный блок650 фирмы GE Multilin. F 650 - это устройство для защиты,
управления, контроля, измерения и регистрации, подходящее для различных
применений, таких как основная защита линии передачи распределения и резервная
защита трансформаторов, шин, батарей конденсаторов и т.п.650 составляет
последовательность блоков, объединенных для выполнения функций защиты и
управления. Прежде всего, F 650 включает в себя трансформаторов переменного
тока для измерений ток и напряжения. Эти измерения, переведенные в цифровую
форму, посылаются в процессор цифровых сигналов (ПЦС), который выполняет измерительные
функции.
Основной процессор выполняет функции защиты,
управления и связи и состоит из двух внутренних процессоров: одного - для
общего применения, и второго - предназначенного для осуществления связи.
Терминал F 650 включает в себя следующие основные
функции:
. Максимальная токовая защита (МТЗ) -
отключает фидер при превышении тока уставки с выдержкой времени. Токовая
отсечка отключает фидер без выдержки времени при появлении в сети больших токов
короткого замыкания. Ускорение МТЗ автоматически вводится при включении
выключателя и после работы АПВ на время 0,5с., при этом время МТЗ уменьшается
до 0 с;
. Токовая отсечка (ТО) от междуфазных КЗ
и замыканий на землю;
. Защита от снижения и повышения напряжения
нулевой последовательности;
. Защита от тепловой перегрузки;
. Защита от замыканий на землю (на ВЛ может
работать на сигнал, на
КЛ на отключение). На данном терминале реализуем
функцию включения фидера от ЧАПВ, а также функции УРОВ (устройство
резервирования отказа выключателя) - то есть, при отказе выключателя отходящего
фидера идет сигнал на отключение выключателя ввода 10 кВ и секционного
выключателя;
. Кроме того, на предложенном терминале
возможно реализовать логическую защиту шин (ЛЗШ). ЛЗШ работает следующим
образом: при КЗ на отходящей линии запускается защита этой линии и, возможно,
защита ввода 10 кВ. При этом МТЗ фидера и ввода работают с заданными временными
уставками. Если запускается защита ввода 10 кВ, а ни одна из защит фидеров не
запустилась, то выдержка времени МТЗ ввода 10 кВ снижается до 0,25 с;
Терминал F 650 предусматривает измерение
следующих параметров:
токи фаз;
напряжения фаз, линейные напряжения;
мощность активная, реактивная и полная;
энергия, частота, cos;
расстояние до места КЗ.
Преимущества предложенной схемы:
. Нагрузка токовых цепей значительно меньше;
. Возможность реализации УРОВ;
. Логическая защита шин;
. Аппаратная часть сокращена до одного блока,
вместо электромеханических реле, каждое из которых может нести опасность
отказа;
. Возможность самодиагностики значительно
повышает надежность работы.
Выбор защит вводов 10 кВ
Для защиты вводов 10 кВ применим терминал REF
543 BM BAAA. Улучшенные технические показатели терминалов REF 543 являются
результатом использования преимуществ многопроцессорной архитектуры. Цифровой
сигнальный процессор в сочетании с мощным центральным процессором и раздельные
входы/выходы в значительной степени упрощают выполнение параллельных действий,
сокращают время и повышают точность срабатывания. Интерфейс человек - машина,
снабженный жидкокристаллическим дисплеем, позволяет отображать различную
информацию, что делает использование терминалов защиты REF 543 на месте простым
и безопасным.
Терминал защиты включает широкий диапазон
функций реле:
функции защиты;
функции измерения;
функции управления;
функции мониторинга состояния;
функции связи.
Функциональные блоки защиты:
трехфазная трехступенчатая ненаправленная
максимальная защита;
ненаправленная трехступенчатая защита от
замыканий на землю;
защита от обрыва фаз;
трехфазная двухступенчатая защита максимального
напряжения;
трехступенчатая защита максимального напряжения
нулевой последовательности;
трехфазная двухступенчатая защита минимального
напряжения;
выявление броска тока намагничивания
трансформатора и броска
пускового тока двигателя;
функция АПВ, - до 5 циклов АПВ выключателей,
УРОВ;
защита от понижения и повышения частоты, 5
ступеней;
функция трехфазной трехступенчатой
ненаправленной максимальной токовой защиты;
функция контроля синхронизма/напряжения ступень
1 и ступень 2;
трехфазная тепловая защита для кабелей;
Функции измерения включает измерение трехфазных
токов, тока нейтрали трехфазного напряжения, напряжения нулевой
последовательности, частоты, активной и реактивной мощности, а также
коэффициента мощности.
Выбор защит секционного выключателя
В качестве защиты секционного выключателя 10 кВ
применим терминал REF 543 GM 127 BAAA. Терминалом осуществляются такие же
функции что и терминалом REF 543 ВМ 129 BAAA: трехфазная трехступенчатая
ненаправленная максимальная защита, ненаправленная трехступенчатая защита от
замыканий на землю, защита от обрыва фаз, трехфазная двухступенчатая защита
максимального напряжения, трехступенчатая защита максимального напряжения
нулевой последовательности.
Помимо вышеперечисленных функций терминалом REF
543 осуществляется алгоритм автоматического ввода резерва (АВР) и
автоматического восстановления первоначальной схемы.
Выбор защит шин 10кВ
Для выполнения полноценной защиты секций шин 10
кВ устанавливается терминал REF 543 BM 129 BAAA, в котором реализованы следующие
функции:
. Автоматическое и оперативное управление
выключателями с учетом всех необходимых блокировок;
. Диагностика выключателей;
. Резервные защиты шин 10кВ, выполненные в виде
трехфазной МТЗ
(уставки по току срабатывания МТЗ на выводах и
соответствующем СВВк 10 кВ должны быть одинаковыми и отличатся только по
времени на ступень селективности);
. Устройство резервирования отказа выключателей
(УРОВ).
. Защита от дуговых замыканий (ЗДЗ) реализована
волоконно-оптическим устройством ОВОД, обеспечивающим мониторинг состояния
оптоэлектронного тракта. Применение такого метода построения защиты позволяет
быстро определять место повреждения и сделать более селективной и гибкой логику
работы устройства дуговой защиты совместно с РЗА распределительного устройства.
Основные функции токовой защиты шин ПУМА 3342:
защита при междуфазных КЗ на шинах;
защита при двойных замыканиях на землю когда
одна точка замыкания
находится на шинах, а вторая на линии;
резервирование отказа защиты линии или их
выключателей.
Резервные функции токовой защиты шин ПУМА 3342:
пофазная индикация текущих значений токов всех
присоединений и дифференциальных токов фаз;
местный и дистанционный ввод, хранение и
отображение уставок;
индикация с помощью светодиодов факта
срабатывания защиты или ее неисправности;
регистрация работы защиты на семь последних
повреждений, информация о виде повреждения;
непрерывная диагностика исправности и
сигнализация о неисправности;
организация локальной сети.
Для основной защиты трансформаторов Т-1 и Т-2
применим:
. Дифференциальную токовую защиту - от
внутренних междуфазных КЗ. Область действия защиты ограничена установкой
применяемых трансформаторов тока. Защита реализована в терминале RET 316*4v
(функция Diff). Терминал подключен к ТТ и при повреждениях на выводах и при
внутренних повреждениях, происходит изменение тока, терминал фиксирует
изменение и отключает трансформатор со всех сторон.
. Газовую защиту - от всех видов внутренних
повреждений. Защита выполнена с возможностью перевода отключающего контакта на
сигнал. Газовая защита имеет отдельный автомат оперативного питания, что
позволяет выполнить действие отключающей ступени через два терминала (RET, REF)
с соответствующей сигнализацией действия. Газовое реле выполнено на основе «РЕЛЕ
БУХГАЛЬЦА», срабатывающего при изменении уровня масла.
В качестве резервной защиты установим:
. Максимальную токовую защиту - от внешних
многофазных КЗ на стороне 110 кВ;
. Максимальную токовую защиту - от внешних
многофазных КЗ на стороне 10 кВ, реализованную терминалом REF 543 BM 129 BAAA;
. Максимальную токовую защиту от токов,
обусловленных перегрузкой с действием на сигнал;
. Обдувка трансформатора;
. В качестве защиты силовых трансформаторов в
случае короткого замыкания на подстанции с отказом коммутационной аппаратуры
или релейной защиты, при потере оперативного тока на подстанции или по другим
причинам, предусматривается независимая защита трансформатора «ПУМА 3431».
Независимая защита трансформатора, далее защита,
предназначена для защиты силовых трансформаторов, оборудованных со стороны
источника питания выключателем или разъединителем в случае короткого замыкания
на подстанции с отказом коммутационной аппаратуры или релейной защиты, при
потере оперативного тока на подстанции или по другим причинам.
Помимо выше указанных защит терминал RET 316*4v
осуществляет резервную защиту от внешних многофазных КЗ, выполненную виде
трехфазной.
МТЗ со стороны 110 кВ. Так же предусмотрена
токовая защита от перегрузки с действием на сигнал и пуск охлаждения. Терминалом
осуществляется сбор информации по диагностике трансформатора с выдачей
соответствующей светодиодной информации и предупреждений, а именно:
контроль понижения масла в РПН и в баке
трансформатора;
контроль повышения температуры масла
трансформатора с пуском системы охлаждения.
При пуске системы охлаждения терминал
определенное время дожидается реакции магнитного пускателя двигателей
вентиляторов охлаждения, и в случае отсутствия отклика вырабатывается сигнал о
неисправности системы охлаждения.
При повреждениях в отсеках выключателя или
кабеля ячейки 10 кВ терминал осуществляет отключение трансформатора с контролем
тока по стороне 110 кВ.
Все предусмотренные терминалом защиты, за
исключением сигнальных, действуют на отключение выключателей трансформатора Т-1
и Т-2.
Выбор защит шин 110 кВ
На ПС 110/10 кВ «Московские Водники»
предусматриваются дифференциальная защита шин 110 кВ, выполненные с
использованием цифровых терминалов типа RED521.
Защита шин 110 кВ выполнена с использованием типового шкафа защиты шин
ШЭЗШ1222, в котором установлено три терминала защиты шин RED521,
по одному на фазу.
Гибкая и настраиваемая логика терминала RED521
позволяет без переключения токовых цепей переводить нагрузку с одной секции шин
110 кВ на другую.
Терминалы RED521
имеют высокое быстродействие (до 10 мс), достаточную точность измерения и
обеспечивают функцию обнаружения разрыва цепей между трансформаторами тока и
терминалом.
Выбор защиты и автоматики ВЛ 110 кВ
Для защиты ВЛ 110 кВ Б.Раст - Н. Водники и Н.
Водники-Луговая, используются шкаф защит ШЭЛС 0113 и панель защиты линии
ПДЭ2802 производства.
В качестве основной быстродействующей ВЧ защиты
линий используется панель ПДЭ2802. Защита действует при всех видах коротких
замыканий: при несимметричных КЗ - как направленная фильтровая ВЧ защита, при
трехфазных КЗ - как направленная дистанционная защита с блокировкой при
качаниях.
Резервная защита линий выполняется с помощью
терминала REL511,
установленного в шкафу ШЭЛС 0113.
Терминал REL511
выполняет функции защит:
токовая отсечка;
четырехступенчатая дистанционная защита;
четырехступенчатая токовая направленная защита
нулевой последовательности
токовая отсечка;
Кроме того, на втором терминале защиты выполнена
логика управлением выключателя, с функциями:
двойного АПВ с контролем синхронизма;
УРОВ;
включение и отключение выключателя 110 кВ через
АСУ или через ключ управления;
контроль цепей включения и отключения.
Основная и резервная защиты подключаются к
различным ТТ для обеспечения резервирования при отказе одного из терминалов или
разрыв токовых цепей защиты. Токовые цепи основной защиты имеют возможность
переключения на обходной, при этом с помощью переключателя переключаются и
входные, и выходные цепи на обходной.
Функции измерения и регистрации REL511:
измерение напряжений (линейных, фазных, нулевой
последовательности);
измерение тока (фазных и нулевой
последовательности);
измерение мощности (активной, реактивной);
осциллографирование;
регистрация событий.
Терминал REL511
реализует управление выключателем через катушку включения и две катушки
отключения. Питание терминала, соленоида включения и первого соленоида
отключения, второго соленоида отключения осуществляется через различные
автоматы постоянного оперативного тока. Автоматы установлены в шкафу защиты.
6. Технико-экономическое обоснование
.1 Затраты на строительство, монтаж
и эксплуатацию
В данной главе рассмотрим вопросы
капиталовложений при строительстве подстанции, расчет эксплуатационных затрат
при проведении текущих ремонтов и технических обслуживаний, определение затрат
на потреблённую электроэнергию, расчет экономических показателей при внедрении
микропроцессорных блоков защит и расчет эффективности установки вакуумных
выключателей.
Капитальные вложения - инвестиции в основной
капитал (основные средства), в том числе затраты на новое строительство,
расширение, реконструкцию и техническое перевооружение действующих предприятий,
приобретение машин, оборудования, инструмента, инвентаря, проектно -
изыскательские работы и другие затраты.
Производственные капитальные вложения по формам
воспроизводства основных фондов различают:
а) на основное строительство;
б) на реконструкцию и техническое перевооружение
действующих предприятий;
в) на расширение действующих предприятий;
г) на модернизацию оборудования.
План капитального строительства состоит из
следующих разделов:
а) плановое задание по вводу в действие
производственных мощностей и основных фондов;
б) объем капитальных вложений и их структура;
в) титульные списки строек и объектов;
г) план проектно-изыскательских работ;
д) программа строительно-монтажных работ;
е) экономическая эффективность капитальных
вложений.
Важнейшими показателями плана капитального
строительства является: ввод в действие производственных мощностей и основных
фондов, сметная стоимость, срок строительства и срок окупаемости.
Источником финансирования капитальных вложений
являются собственные средства предприятия. Источником собственных средств
предприятия для капитальных вложений являются фонд развития предприятия,
образуемый за счет отчислений от прибыли; части амортизационных отчислений,
оставляемых в распоряжении предприятия; выручка от реализации излишнего и
неиспользуемого оборудования; выручка от попутной добычи нефти при разведочном
бурении и др.
Для определения капиталовложений необходимо составить
таблицу затрат в которую будут входить следующие составляющие:
затраты на строительные работы;
затраты на монтажные работы
затраты на оборудование
прочие затраты
Также данные затраты подразделяются по следующим
главам:
основные объекты строительства
временные здания и сооружения
проектно-изыскательные работы
Далее в разделах подразделение идет по отдельным
видам затрат, например «ОРУ-110кВ и силовые трансформаторы», «РУ-10кВ».
Для определения затрат на строительство и монтаж
воспользуемся каталожными данными вновь устанавливаемого оборудования и сведем
их в таблицу 6.1.
Таблица
6.1
Элементы затрат
|
Наименование
глав объектов работ и затрат
|
Сметная
стоимость тыс.руб
|
Общая
сметная стоимость, тыс.руб
|
|
строительные
работы
|
монтажные
работы
|
оборудо-
вание
|
прочие
|
|
|
1
|
2
|
3
|
4
|
5
|
6
|
|
Раздел
1. Основные объекты строительства
|
|
Отвод
земельного участка под строительство
|
|
|
|
283,65
|
283,65
|
|
Освоение
новых земель
|
|
|
|
246,75
|
246,75
|
|
ОРУ-110
кВ и силовые т-ры
|
10186,50
|
3850,60
|
207119,00
|
|
221156,10
|
|
РУ
10 кВ
|
|
1150,30
|
36350,90
|
|
37501,20
|
|
УРЗА
|
|
1763,20
|
12350,60
|
|
14113,80
|
|
АИИСКУЭ
|
|
585,77
|
2202,15
|
|
2787,92
|
|
Уст-во
перед. связи
|
|
585,77
|
2202,15
|
|
2787,92
|
|
Маслоприемник
|
483,65
|
|
|
|
483,65
|
|
Монтаж
кабельных коробов
|
1495,60
|
|
|
|
1495,60
|
|
Прокладка
кабеля
|
|
550,70
|
|
|
550,70
|
|
Дорожное
покрытие
|
4560,20
|
|
|
|
4560,20
|
|
Освещение
и заземление
|
|
488,65
|
|
|
488,65
|
|
Монтаж
оборуд. cредств связи
|
|
440,55
|
|
4000,00
|
4440,55
|
|
Водоснабжение
и канализация
|
995,88
|
|
|
|
995,88
|
|
Продолжение
таблицы 6.1
|
|
Отопление
и вентиляция
|
856,65
|
|
|
|
856,65
|
|
Итого
по разделу 1
|
18578,48
|
9285,47
|
162973,45
|
4530,40
|
191367,80
|
|
Раздел
2. Временные здания и сооружения
|
|
Затраты
на времен. здания и сооружения 3,3%
|
613,09
|
306,42
|
|
|
919,51
|
|
Итого
по разделу 2
|
613,09
|
306,42
|
|
|
919,51
|
|
Раздел
3. Прочие работы и затраты
|
|
Затраты
при производстве работ в зим. время
|
191,92
|
|
95,92
|
|
287,83
|
|
ПНР
|
|
|
|
4478,65
|
4478,65
|
|
Настройка
АИИСКУЭ
|
|
|
|
245,25
|
245,25
|
|
ПНР
телемеханика
|
|
|
|
385,75
|
385,75
|
|
Итого
по разделу 3
|
191,92
|
|
95,92
|
5109,65
|
5397,48
|
|
Раздел
4. Проектно-изыскательские
|
|
Непредвиденные
работы и затраты 3%
|
581,50
|
290,63
|
4889,20
|
410,11
|
6171,45
|
|
Всего
по сводн.смет.расчету
|
19964,99
|
9978,44
|
167862,65
|
14080,29
|
211886,37
|
|
НДС
18 %
|
3593,70
|
1796,12
|
30215,28
|
2534,45
|
38139,55
|
|
Всего
по ССР с НДС 18 %, 23558,69
|
11774,56
|
298077,93
|
16614,74
|
350025,92
|
|
Теперь определим стоимость капиталовложений в
реконструкцию подстанции по формуле:
,
где
- укрупненный территориальный
(зональный) коэффициент к стоимости строительства, для европейской части
принимаем равным 1;
- индекс пересчета цен, принимаем
равным 1;
- ликвидационная стоимость старого
оборудования подстанции, так старое оборудование отсутствует, принимаем равным
нулю.
Плановое перенесение стоимости
основных фондов на продукцию называется амортизацией, а сумма средств,
включаемых в себестоимость продукции - амортизационными отчислениями.
Издержки на амортизацию рассчитаем
по формуле:
,
где
- норма амортизационный отчислений.
Издержки на эксплуатацию рассчитаем
по формуле:
,
где
- норма расходов на ремонт;
- норма эксплуатационных затрат на
обслуживание.
Текущие издержки рассчитаем по
формуле:
.
.2 Тарифы на электроэнергию и
издержки
В таблице 6.2 приведены тарифы на
электроэнергию по классам напряжений.
Таблица
6.2
Тарифы на электроэнергию
|
Плата
за услуги
|
Руб./МВт∙ч
|
|
Всего
|
Договорной
тариф энергосистемы
|
Сбытовая
надбавка гарантирующего поставщика
|
Плата
за услуги
|
|
|
|
|
Оказанная
комерч. оператором оплачиваемого рынка
|
по
ОДУ
|
|
ВН
110кВ
|
2320,35
|
2279,31
|
73,99
|
0,696
|
2,178
|
|
НН
10кВ
|
2370,14
|
2330,864
|
|
|
|
Расчет прибыли предприятия от перепродажи
электроэнергии и величины средств, которые могут использоваться для возврата
инвестиций (погашение кредита) производится в следующем порядке.
Объем продаж электроэнергии (валовая выручка)
рассчитывается по формуле:
,
где
- среднеотпускной тариф сторонних
потребителей, руб./МВт∙ч;
- величина отпуска электроэнергии
сторонним потребителям МВт∙ч определяется по формуле:
.
Вычислим валовую выручку по классу
напряжения по формуле:
.
Издержки предприятия на покупку
энергии рассчитывается по формуле:
,
где
- договорной тариф энергосистемы на
передаваемую энергию;
- процент потерь энергии в схеме
электроснабжения, дополнительно включающий в себя потери в распределительных
сетях до точек учета потребителей (составляет порядка 3%). Тогда:
Величина налога на добавленную
стоимость (при условии, что НДС включен в тарифы) рассчитывается по формуле:
,
где 
- действующая ставка налога (18%).
Тогда:
.
Выручка после выплат НДС
рассчитывается по формуле:
.
Величина валовой прибыли до уплаты
налогов рассчитывается по формуле:
. Тогда:
.
Величина налога на прибыль
рассчитывается по формуле:
,
где
-
действующая ставка налога на
прибыль (20%).
Тогда:
.
Чистая прибыль предприятия
рассчитывается по формуле:
6.3 Оценка экономической
эффективности
После того как в первом приближении установлены
объем и стоимость предстоящих работ по проекту (величина капиталовложений для
выбранного варианта схемы электроснабжения), необходимо предварительно
определить состав участников проекта, источники и условия его финансирования и
реализации (строительства). Возможны различные варианты и способы решения этих
вопросов, зависящие от конкретных условий и ситуаций. Для дальнейших расчетов
по пред инвестиционному обоснованию схемы внешнего электроснабжения будем
исходить из предположения, что в данном случае имеют место следующие ситуации:
Финансирование строительства подстанции
предлагается осуществлять за счет собственных средств предприятия, а также
средств, выделяемых финансово-промышленной группой, в состав которой входит
данное предприятие. Строительство предполагается организовать смешанным
способом: часть работ выполняется персоналом ремонтно-строительного цеха и
персоналом энергохозяйства самого предприятия, наряду с этим предусматривается
привлечение специализированных монтажно-наладочных подрядных организаций.
Ориентировочно срок строительства - 2 года, а объемы финансирования в первый
год - 40%, во второй - 60% от величины капиталовложений в подстанцию.
Показатели коммерческой (финансовой)
эффективности проекта отражают его способность генерировать потоки денежных
средств, достаточных для компенсации вложенных инвесторами ресурсов. Основу
расчета показателей эффективности составляет оценка прибыли (доходов),
полученной от реализации проекта. В рассматриваемой ситуации расчет прибыли
предприятия производится исходя из следующих условий:
покупка предприятием перепродаваемой
электроэнергии оплачивается по договорному тарифу энергосистемы (тарифу оптовых
потребителей - перепродавцов);
продажа предприятием электроэнергии сторонним
потребителям(субабонентам) производится по действующим тарифам энергосистемы
длясоответствующих групп потребителей, утверждаемым региональной энергетической
комиссией.
Срок строительства один год. При оценке
«выгодности» будущих инвестиций учитывается фактор времени, исходя из того, что
цена денег меняется в течение времени. Если первоначальные инвестиционные
вложения принять за К=100%, то через год вложенные средства будут оцениваться
по формуле:
,
где
=20 % - норма прироста капитала
(годовой банковский депозит).
Для удобства математических расчетов
будет проводиться обратная операция, т. е. планируемые поступления (аннуитет)
будут уменьшаться (дисконтироваться) на норму дисконта
.
Дисконтирование рассчитывается по сложным процентам.
Коэффициент дисконтирования (PVIF)
рассчитывается по формуле:
Поступления будут складываться из
разницы в тарифах на разный класс напряжения.
Чистая приведенная стоимость (NPV). Это
разность между дисконтированной величиной денежного потока за расчетный период
времени и первоначальной инвестицией. Чистая приведенная стоимость -
кумулятивный показатель, но он не учитывает удельную эффективность вложений, а
определяет альтернативную стоимость инвестиций.
Чистая приведенная стоимость NPV, тыс. руб.
рассчитывается по формуле:
.
Рентабельность инвестиций (PVI). Это
отношение всего приведенного (дисконтированного) денежного потока к величине
инвестиционных расходов. Параметр оценивает удельную эффективность вложений.
Рентабельность инвестиций PVI
рассчитывается по формуле:
.
Срок окупаемости инвестиций (РВР).
Это период, за который возвращаются вложенные деньги, но учитывается
приведенный (дисконтированный) доход. Чем меньше срок окупаемости, тем меньше
риск вложения и больше привлекательность инвестиций.
Определяется по первому
положительному значению NPV в таблице 6.3 расчета эффективности.
Таблица
6.3
Расчет эффективности
|
t,
г
|
К,
млн. руб.
|
РМТ,
млн. руб.
|
ДП,
млн. руб.
|
PVIF
|
ДС,
млн. руб.
|
NPV,
млн. руб.
|
PBP,
лет
|
|
1
|
2
|
3
|
4
|
5
|
6
|
7
|
8
|
|
1
|
-350
|
0
|
-350
|
1
|
-350
|
-350
|
|
|
2
|
|
125,5
|
125,5
|
0,833
|
104,6
|
-245,4
|
|
|
3
|
|
125,5
|
125,5
|
0,694
|
87,167
|
-158,23
|
|
|
4
|
|
125,5
|
125,5
|
0,579
|
72,64
|
-85,59
|
|
|
5
|
|
125,5
|
125,5
|
0,482
|
60,53
|
-25,382
|
|
|
6
|
|
125,5
|
125,5
|
0,402
|
50,44
|
25,38
|
5,5
|
|
7
|
|
125,5
|
125,5
|
0,335
|
42,036
|
67,418
|
|
|
8
|
|
125,5
|
125,5
|
0,279
|
102,45
|
|
|
9
|
|
125,5
|
125,5
|
0,233
|
29,192
|
131,64
|
|
|
10
|
|
125,5
|
125,5
|
0,194
|
24,33
|
155,97
|
|
|
Итого
|
-350
|
1129,68
|
779,68
|
|
155,967
|
-381,435
|
|
В разделе экономика произведён расчёт
экономической эффективности внедрения данного проекта. Затраты на реализацию
проекта составляют 350 млн рублей.
На протяжении всего срока службы проект будет
приносить следующие эффекты:
·
Развитие
промышленности региона
·
Увеличение
рабочих мест
·
Увеличение
налоговых отчислений на развитие региона
·
Развитие
электроэнергетической системы
Рентабельность инвестиций составила 2.09, что
является вполне нормальным для энергетической промышленности. Срок окупаемости
составляет 5,5 года.
7. Экологичность и безопасность
проекта. Безопасность труда при эксплуатации ПС 110/10 кВ
.1 Основные сведения
При эксплуатации объекта возможны следующие
опасные факторы [14]:
поражение электрическим током при прикосновении
к токоведущим частям;
поражение электрическим током при прикосновении
к токоведущим частям нормально, если они не находятся под напряжением;
влияние электромагнитного поля на организм;
поражение электрическим током при работе с
неисправным инструментом и средств индивидуальной и коллективной защиты;
поражение обслуживающего персонала, находящегося
в зоне растекания электрического потенциала при замыкании на землю;
возможность падения персонала с высоты;
возможность поражения персонала при проведении
коммутационных операций;
др. факторы.
Для предотвращения влияния опасных факторов на
персонал, необходимо предусматривать следующие мероприятия:
персонал должен действовать согласно ПТБ при
работе в электроустановках; должна проводиться ежегодная проверка знаний,
инструктаж по технике безопасности;
при невозможности ограничения времени пребывания
персонала под воздействием электрического поля необходимо применить
экранирование рабочих мест: экраны над переходами, экранирующие козырьки и
навесы над шкафами управления, вертикальные экраны между выключателями на ОРУ
110 кВ, съёмные экраны при ремонтных работах;
установка заземляющего контура, заземление и
зануление оборудования;
соблюдение расстояний до токоведущих частей;
применение надлежащей изоляции, а в отдельных
случаях - повышенной;
надежного и быстродействующего автоматического
отключения частей электрооборудования, случайно оказавшихся под напряжением, и
поврежденных участков сети, в том числе защитного отключения;
выравнивание потенциалов;
применения разделительных трансформаторов;
применения напряжений 42 В и ниже переменного
тока частотой 50 ГЦ и110 В и ниже постоянного тока;
применение предупреждающей сигнализации,
надписей и плакатов;
пожаро- и взрывобезопасность электроустановок,
содержащих маслонаполненные аппараты и кабели, а также электрооборудования,
покрытого и пропитанного маслами, лаками, битумами и т. п., должна
обеспечиваться в соответствии с требованиями ПУЭ. При сдаче в эксплуатацию указанные
электроустановки должны быть снабжены противопожарными средствами и инвентарем
в соответствии с действующими положениями
выполнение организационно-технических
мероприятий для безопасного проведения работ.
7.2 Расчет защитного заземления
подстанции 110/10 кВ
В пределах территории подстанции
возможно замыкание на землю в любой точке. В месте перехода тока в землю, если
не предусмотрены особые устройства для проведения тока в землю, возникают
значительные потенциалы, опасные для людей, находящихся вблизи. Для устранения
этой опасности на подстанции предусматривают заземляющие устройства [6],
назначение которых заключается в снижении потенциалов до приемлемых значений.
Вспомогательными заземлителями
являются металлические предметы любого назначения, так или иначе соединенных с
землей, например, стальных каркасов зданий, арматуры железобетонных оснований,
труб любого назначения и т. п.
К основному заземлителю в общем
случае присоединяют:
вспомогательные заземлители;
нейтрали генераторов,
трансформаторов, подлежащих заземлению в соответствии с принятой системой
рабочего заземления;
ОПНы и молниеотводы;
металлические части электрического
оборудования, нормально не находящиеся под напряжением, но могущие оказаться
под напряжением при повреждении изоляции, например основания и кожухи
электрических машин, трансформаторов, аппаратов, токопроводов, металлические
конструкции РУ, ограждения и т. п.;
вторичные обмотки измерительных
трансформаторов, нейтрали обмоток 380/220 В силовых трансформаторов.
Согласно [6] расчет заземляющего
устройства проводится в следующем порядке.
В соответствии с ПУЭ устанавливают
допустимое сопротивление заземляющего устройства
. Если заземляющее устройство
является общим для установок на различное напряжение, то за расчетное
принимается наименьшее из допустимых.
Определяют расчетное удельное
сопротивление грунта
для
горизонтальных и вертикальных электродов с учетом повышающего коэффициента
,
учитывающего высыхание грунта летом и промерзание его зимой по формулам:
где
- удельное сопротивление грунта;
и
- повышающие коэффициенты для
горизонтальных и вертикальных электродов, соответственно.
Определяют сопротивление растеканию
одного вертикального электрода по формуле:
где l - длина
стержня, м;
d - диаметр
стержня, м;
t - глубина
заложения, расстояние от поверхности почвы до середины стержневого заземлителя,
м.
Определяют ориентировочное число
вертикальных заземлителей при предварительно принятом коэффициенте
использования
по формуле:
где
- сопротивление растеканию одного
вертикального электрода;
- сопротивление искусственного
заземлителя.
Коэффициент использования
заземлителя учитывает увеличение сопротивление заземлителя вследствие явления
экранирования соседних электродов. Определяют расчетное сопротивление растеканию
горизонтальных электродов
по формуле:
где
- коэффициенты использования
горизонтальных соединительных электродов
l - длина
электрода;
b - ширина
полосы;
t - глубина
заложения электрода.
Уточняем необходимое сопротивление
вертикальных электродов с учетом проводимости горизонтальных соединительных
электродов по формуле:
Определяем число вертикальных электродов
с учетом уточненного сопротивления вертикального заземлителя по формуле:
Принимают окончательное число
вертикальных электродов, намечают расположение заземлителей.
Рассмотрим расчет заземляющего
устройства для данной подстанции.
Заземляющее устройство и грозозащита
подстанции должны быть выполнены в соответствии с ПУЭ.Сопротивление
заземляющего устройства не должно превышать 0,5 Ом в любое время года.
Удельное сопротивление грунта
(суглинок):
При расчете заземляющего устройства
сопротивлением естественных заземлителей пренебрегаем, они уменьшают общее
сопротивление заземляющего устройства, их проводимость идет в запас надежности.
Тогда
.
Определим расчетные удельные
сопротивления грунта для горизонтальных и вертикальных заземлителей:
где
- повышающий коэффициент для
горизонтальных электродов.
- повышающий коэффициент для
вертикальных электродов.
Находим сопротивление стеканию тока
одного вертикального электрода. В качестве вертикального электрода примем
круглый стальной стержень диаметром 16 мм, длиной 3м. Верхние концы стержней
заглублены на глубину 0,7 м от поверхности земли.
l = 3 м;
d = 0,016 м;
t = 2,2 м.
Определим примерное число
вертикальных заземлителей при предварительно принятом коэффициенте
использования
Определим сопротивление стеканию тока
горизонтального заземлителя.
Для выравнивания потенциалов по всей площади
подстанции выполняется уравнительный контур из стальных полос сечением 40x4
мм2, прокладываемый на глубине 0,7 м от поверхности земли.
Определяем сопротивление растекания горизонтальных
электродов, выполненных из полосовой стали:
где l
- 60 м;
b - 32 мм2;
t - 0.7 м;
- 0,36.
Уточняем необходимое сопротивление вертикальных
электродов с учетом проводимости горизонтальных заземлителей:
Определяем окончательное число вертикальных
электродов:
Таким образом, заземляющее устройство подстанции
состоит из горизонтальных и вертикальных заземлителей. Горизонтальный заземлитель
прокладывается на расстояние 0,8 - 1 м от фундаментов или оснований
оборудования. Заземляющие стержни ввинчиваются в грунт по внешнему контуру
заземляющего устройства с расстоянием между стержнями 4 м.
Защитное заземление подстанции удовлетворяет требованиям
рабочих заземлений и заземлений средств грозозащиты. Однако, при присоединении
средств грозозащиты к защитным заземлениям подстанции необходимо учитывать их
особенности.
Защитные и рабочие заземлители отводят в землю
ток промышленной частоты и их сопротивление является стационарным, тогда как
через средства грозозащиты проходит ток молнии, который имеет импульсную форму.
При стекании с заземлителей больших токов молнии в землю вблизи поверхности
электродов создаются очень высокие напряженности электрического поля, под
воздействием которых пробивается слой земли, прилегающий к поверхности
электрода. Вокруг электрода образуется проводящая зона искрения, которая как бы
увеличивает поперечные размеры электрода и тем самым снижает его сопротивление.
Однако, наибольший эффект снижения сопротивления за счет искрения имеет место
только в том случае, когда электроды имеют небольшие размеры и их индуктивное
сопротивление практически не влияет на процесс отвода тока в землю. Такие
заземлители называются сосредоточенными.
Следовательно, на подстанции возле каждого
молниеотвода устанавливается по три стержня, а у каждого ОПНа (ограничителя
перенапряжения)- по одному стержню.
К заземляющим устройствам ОРУ присоединены
заземляющие тросы ЛЭП и все естественные заземлители подстанции.
.3 Молниезащита
При проектировании зданий и сооружений системы
электроснабжения необходимо учитывать и предотвращать возможность их поражения
ударами молнии. Особенно это относится к открытым электроустановкам.
В соответствии с Руководящими указаниями по
защите электростанций и подстанций 3-500 кВ от прямых ударов молнии (ПУМ) и
грозовых волн, набегающих с линий электропередачи, защите подлежат следующие
объекты, расположенные на их территории: ОРУ, в том числе шинные мосты и гибкие
связи, ЗРУ, здания и маслохозяйства.
ОРУ подстанций защищаются от ПУМ стержневыми
молниеотводами и только для протяженных шинных мостов и гибких связей
применяются тросовые молниеотводы.
Защита ОРУ осуществляется установкой стержневых
молниеотводов на порталах подстанций или устройством отдельно стоящих
стержневых молниеотводов со своими обособленными заземлителями.
Молниеотводы, установленные на порталах
подстанций, дешевле отдельно стоящих молниеотводов, так как требуют меньше
металла на изготовление. Они ближе располагаются к защищаемому оборудованию,
поэтому эффективнее используется их защитная зона. Но при поражении портального
молниеотвода ударом молнии с большой амплитудой и крутизной фронта импульса
тока на молниеотводе и на портале значительно возрастает напряжение. Это
напряжение может оказаться достаточным, чтобы вызвать «обратное» перекрытие
изоляции ОРУ с заземленных элементов на токоведущие части подстанции.
Данная подстанция 110/10 кВ защищена четырьмя
стержневыми молниеотводами М1; М2; М3 и М4.
Активная высота молниеотвода определяется:
где
-
активная высота молниеотвода;
Д=59 м - большая диагональ четырехугольника с
молниеотводами в его вершинах.
=1 при
≤
30 м.
Полная высота молниеотвода определяется:
где
-
высота защищаемого объекта;
=11,35 м;
=5,5 м.
Принимаю 8,5 м.
Принимаю 20 м.
Высоту молниеотвода от земли выбирают такой,
чтобы защищаемые оборудование и конструкции попали в зону защиты молниеотвода,
внутри которой с достаточной надежностью (в электроустановках 99,5% - зона
защиты типа А) обеспечивалась бы защита зданий и сооружений от прямых ударов
молнии.
Расчетная зона защиты одиночного стержневого
молниеотвода высотой h < 150 м представляет собой конус с высотой:
и радиусами на уровне земли и уровне защищаемого
оборудования:
Два молниеотвода одинаковой высоты, находящихся
друг от друга на расстоянии h<L1<3h (20<L1=53<3·20=60)
образуют общую зону защиты. Зона характеризуется между молниеотводами гребнем в
виде ломаной линии; наинизшая точка этого гребня имеет высоту:
ЗАКЛЮЧЕНИЕ
В результате работы спроектирована понизительная
подстанция 110/10 кВ для электроснабжения потребителей нового района
Подмосковья.
В результате проведенных расчетов принята схема
«110-9» (Одна рабочая секционированная выключателем система шин).
В ходе проекта был произведён выбор силовых
трансформаторов, технико-экономический расчет по выбору мощности силовых
трансформаторов, высоковольтных аппаратов, токоведущих частей и другого
оборудования подстанции; расчет заземления и молниезащиты подстанции.
Все электрические устанавливаемые аппараты
проверены по условиям термической и электродинамической стойкости. При этом
электрические аппараты в системе электроснабжения надежно работают как в
нормальном длительном режиме, так и в условиях аварийного кратковременного
режима, простоты и компактны в конструкции, удобны и безопасны в эксплуатации.
Так как надёжная работа электроустановок
немыслима без развитой энергетической системы, то имеет место правильное
выполнение и настройка релейной защиты и противоаварийной автоматики. Поэтому в
работе произведён выбор релейной защиты и автоматики на микропроцессорных
устройствах, что дает возможность повысить чувствительность защит и значительно
уменьшить время их срабатывания, что в совокупности с высокой надежностью
позволяет существенно снизить величину ущерба от перерывов в электроснабжении.
Таким образом, ПС 110/10 кВ «Московские Водники»
отвечает всем требованиям, предъявляемым техническим заданием на
проектирование.
СПИСОК ИСПОЛЬЗОВАННЫХ ИСТОЧНИКОВ
1.
Гайсаров Р.В. Выбор электрической аппаратуры, токоведущих частей и изоляторов:
Учебное пособие к курсовому и дипломному проектированию. - Челябинск, 2002
.
ГОСТ Р 52735-2007 - «Короткие замыкания в электроустановках. Методы расчета в
электроустановках переменного тока напряжением свыше 1 кВ».
.
ГОСТ Р 52736-2007 - «Методы расчета электродинамического и термического
действия короткого замыкания».
.
Дугогасящие реакторы 6-35 кВ. Техническая информация от компании ООО «Энерган».
г. Санкт-Петербург. 1987
.
Злобина И.Г., Казакова Е.Ю., Шестакова Л.А. - Электрические станции и
подстанции: Учебное пособие к выполнению курсового проекта. - ЧГУ, Чебоксары,
2008
.
Иванов А.В., Колчин Т.В. - Методическое пособие по расчету систем оперативного
тока, собственных нужд, заземляющих устройств и молниезащиты подстанций 35 кВ и
выше. - Н. Новгород. 1991
.
Костин В.Н. - Электропитающие системы и электрические сети. Учебно-методический
комплекс: Учебное пособие. - Санкт-Петербург. 2001
.
Кушкова Е.И - Расчет заземляющих устройств в установках с
эффективно-заземленной нейтралью.: Методические указания к курсовому и
дипломному проектированию. - ВятГТУ, Киров, 2000
.
Небрат И.Л., Полесицкая Т.П. Расчеты токов короткого замыкания для релейной
защиты. Учебное пособие. - СПб.: ПЭИПК, 2008. - 56 с. Ч. 1.
.
Неклепаев Б.Н., Крючков И.П. - Электрическая часть электростанций и подстанций:
Справочные материалы для курсового и дипломного проектирования. М.:
Энергоатомиздат, 1989.
.
Нормы технологического проектирования подстанций переменного тока с высшим
напряжением 35-750 кВ (НТП ПС) - Стандарт организации ОАО «ФСК ЕЭС» (СТО
56947007 - 29.240.10.028-2009).
.
Положение о технической политике ОАО «ФСК ЕЭС» от приказа ОАО «ФСК ЕЭС» от
04.08.2010 г. №110 п. 8.
.
Правила технической эксплуатации электрических станций и сетей Российской
Федерации. - М.: СПО ОРГРЭС, 2003.
.
Правила устройства электроустановок - 7-е изд. - М.: Изд-во НЦ ЭНАС, 2003
.
Расчет коротких замыканий и выбор электрооборудования:Р248. Учеб. Пособие для
студ. высш. учеб. Заведений / И.П. Крючков, Б.Н. Неклепаев, В.А., Старшинов и
др.; под ред. И.П. Крючкова и В.А. Старшинова. - М.; Издательский центр
«Академия», 2005. - 416 с.
.
Руководство по эксплуатации: Шкаф микропроцессорной защиты и автоматики
трансформатора 110-220 кВ типа «Бреслер ШТ. 2108».
.
Руководство пользователю компании ABB - Кабельные системы с изоляцией из
сшитого полиэтилена.
.
Синягин Н.Н. - Система планово-предупредительного ремонта оборудования и сетей
промышленной энергетики. - М.: Энергоатомиздат, 1984.
.
Схемы принципиальные электрические распределительных устройств подстанций
напряжением 35-750 кВ. Типовые решения - Стандарт организации ОАО «ФСК ЕЭС»
2007
.
Техническая политика ОАО «МРСК Центра» от приказа ОАО «ФСК ЕЭС» от 26.10.2006
г. №270 р/293 р.
.
Файбисович Д.Л. - Справочник по проектированию электрических сетей: 3-е
издание. - М, изд-во НЦ ЭНАС, 2009. - 392 с.
ПРИЛОЖЕНИЕ
|
|
Формат
|
Обозначение
|
Наименование
|
Кол.
листов
|
№
экз.
|
Примечание
|
|
1
|
|
|
Документация
текстовая
|
|
|
|
|
2
|
|
|
|
|
|
|
|
4
|
А4
|
ПГУ140205-07ДП10ЗРЭ31.
60ПЗ
|
Пояснительная
записка
|
109
|
|
|
|
6
|
|
|
Документация
графическая
|
|
|
|
|
7
|
|
|
|
|
|
|
|
9
|
А1
|
ПГУ240205-07ДП10ЗРЭ31.
60ЭЗ
|
Схема
электрическая принципиальная главных соединений
|
|
|
|
|
10
|
|
|
|
|
|
|
|
11
|
|
|
|
1
|
|
|
|
12
|
|
|
|
|
|
|
|
13
|
А1
|
ПГУ240205-07ДП10ЗРЭ31.
60ТЧ
|
Расчетная
схема и схема замещения ПС для расчета токов КЗ
|
|
|
|
|
14
|
|
|
|
|
|
|
|
15
|
|
|
|
1
|
|
|
|
17
|
А1
|
ПГУ240205-07ДП10ЗРЭ31.
60ЭМ
|
Выключатель
ВЭБ-110-
|
|
|
|
|
18
|
|
|
-40/2500
|
1
|
|
|
|
19
|
|
|
|
|
|
|
|
20
|
А1
|
ПГУ240205-07ДП10ЗРЭ31.
60ЭМ
|
Конструкция
КРУН. К-59
|
1
|
|
|
|
21
|
|
|
|
|
|
|
|
22
|
А1
|
ПГУ240205-07ДП10ЗРЭ31. 60Э5
|
ОРУ
110 кВ. Разрез и план ячейки трансформатора
|
|
|
|
|
23
|
|
|
|
|
|
|
|
24
|
|
|
Т1
|
1
|
|
|
|
Формат
|
Обозначение
|
Наименование
|
Кол.
листов
|
№
экз.
|
Примечание
|
|
1
|
А1
|
ПГУ240205-07ДП10ЗРЭ31.
60ЭЗ
|
Схема
организации релейной защиты и автоматики ПС
|
|
|
|
|
2
|
|
|
|
|
|
|
|
3
|
|
|
|
1
|
|
|
|
4
|
|
|
|
|
|
|
|
5
|
А1
|
ПГУ240205-07ДП10ЗРЭ31.
60ТБ
|
Расчет
экономической эффективности проекта
|
|
|
|
|
6
|
|
|
|
1
|
|
|
|
7
|
|
|
|
|
|
|
|
8
|
А1
|
ПГУ240205-07ДП10ЗРЭ31.
60ЭГ
|
Молниезащита
и заземление ПС
|
|
|
|
|
9
|
|
|
|
1
|
|
|