Первый метод.
Расчет производиться в точных
именованных единицах.
Определяем сопротивление генератора
1
Определяем сопротивление Т1
Определяем сопротивление линии Л1
Определяем сопротивление АТ

+
) =

+
)

+
)
Определяем сопротивление
Г2
Определяем сопротивление
Т2
Определяем сопротивление
линии Л2
Определяем ток К.З. в
точке К4
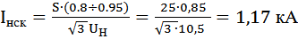
Определяем номинальный
ток отключения выключателя.
Исходя из этого
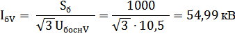
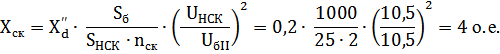
определяем сопротивление реактора
Переводим сопротивление
реактора в процентах

11%
Определяем сопротивление
КЛ
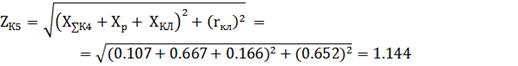
Упрощаем схему замещения
до точки К5

Второй метод.
Расчет приближенных
именованных единиц (из шкалы средних напряжение, литература л-3, Ульянов,
страница 37) будем принимать средний напряжений ступеней.

, 


, 
Определяем сопротивление
генератора 1
Определяем сопротивление
Т1
Определяем сопротивление
линии Л1
Определяем сопротивление
АТ
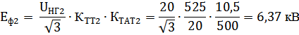
Определяем сопротивление
Г2
Определяем сопротивление
Т2
Определяем сопротивление
линии Л2
Суммарное сопротивление
относительно точки К4
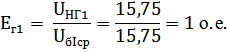
Определяем ЭДС
генератора.
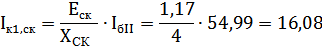
Определяем ток К.З. в
точке К4
Определяем сопротивление
реакторов
Суммарное сопротивление
относительно точки К5
Определяем ток К.З.
относительно К5
Третий метод
Расчет в точных
относительных единицах, в качестве базисных мощности будем принимать.

.
В качестве основной
ступени будем принимать место К.З.


Определяем сопротивление
генератора 1
Определяем сопротивление
Т1
Определяем сопротивление
линии Л1
Определяем сопротивление
АТ
Определяем сопротивление
генератора 2
Определяем сопротивление
Т2
Определяем сопротивление
линии Л2
Определяем ЭДС
генератора.

Определяем сопротивление
реакторов
Определяем сопротивление
КЛ
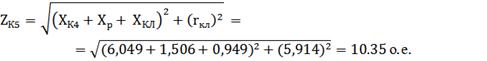
Суммарное сопротивление
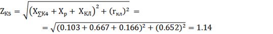
относительно точки К5.
Определяем ток К.З.
относительно К5
Определяем ЭДС
генератора
Определяем ток К.З. в
точке К4
Определяем сопротивление
реакторов
Определяем сопротивление
КЛ
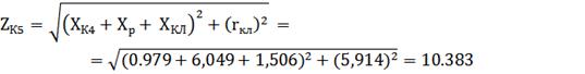
Суммарное сопротивление
относительно точки К5
2. Определяем
сверхпереходные Э.Д.С. тока К.З. определение ударного тока К.З. с учетом
нагрузки
Расчет производиться в
точных именованных единицах.
Определяем допустимое
напряжение на высоком стороне трансформатора

Определяем сопротивление
линии Л1
Определяем сопротивление
трансформатор
Определяем сопротивление
нагрузки
Определяем сопротивление
синхронный компенсатор
Определяем Э.Д.С.
нагрузки
Определяем Э.Д.С.
синхронный компенсатор
Где: 
Определяем суммарную
сопротивление системы
Определяем ток К.З в
точке К1 со стороны системы
Определяем ток К.З в
точке К1 со стороны синхронного компенсатора
Определяем суммарную
сопротивление
Определяем ток К.З.
Напряжение в место К.З.
равен нулю.
Определяем напряжение на
выводах генератора.
Определяем напряжение на
выводах генератора.
Литература
1. Иноятов М.Б. Учебное пособие к выполнению курсовой и
контрольных работ по курсу «Электромагнитные переходные процессы в
электрической системе». Душанбе - 2005.
2. Б.Н. Неклепаев, И.П. Крючков Электрическая часть электростанций
и подстанций. Справочные материалы для курсового и дипломного проектирования.
М. Энергоатомиздат.
. Ульянов С.А. Сборник задач по электромагнитным переходным
процессом в электрических системах. - М: Энергия. 1968
. Иноятов М.Б., Мадусмонов А. Учебное - методическая
разработка к курсовой работе по курсу «Переходные процессы в электрических
системах». Душанбе -1981.
. П.С. Жданов. Вопросы устойчивости электрических систем.
Под редакцией Л.А. Жукова. М.,: изд. Энергия, 1970.