Исследование экономико-финансовой деятельности предприятия на примере ООО 'Забавский и К'
Введение
финансовый
анализ хозяйственный экономический
На современном этапе развития экономики вопрос стратегии обеспечения
финансовой устойчивости организации является очень актуальным. От финансового
состояния предприятия зависит во многом успех его деятельности, именно поэтому
финансовой устойчивости предприятия следует уделять особое внимание.
Актуальность данного вопроса обусловила развитие методик анализа
финансового состояния предприятий. Эти методики направлены на экспресс оценку
финансового состояния предприятия, подготовку информации для принятия
управленческих решений, разработку стратегии управления финансовым состоянием.
Существующие методы и модели оценки финансового состояния предприятия
являются базовыми и на практике в чистом виде применяются очень редко, для
получения более точных результатов предлагается использовать некую
комбинированную модель оценки. Это обусловлено наличием у каждого отдельного
базового метода недостатков и ограничений, которые нейтрализуются при их
комплексном применении.
Успешное функционирование предприятий в современных условиях требует
повышения эффективности производства, конкурентоспособности продукции и услуг
на основе внедрения достижений научно-технического прогресса, эффективных форм
хозяйствования и управления производством, активизации предпринимательства и
т.д. Важная роль в реализации этой задачи отводится анализу хозяйственной
деятельности предприятия. С его помощью вырабатываются стратегия и тактика
развития предприятия, обосновываются планы и управленческие решения,
осуществляется контроль за их выполнением, выявляются резервы повышения
эффективности производства, оцениваются результаты деятельности предприятия и работников.
Предметом исследования выступает разработка мероприятий по повышению
финансовой устойчивости предприятия.
Объектом исследования является ООО "Забавский и К".
Цель - провести анализ финансовой устойчивости ООО "Забавский и
К" и разработать мероприятия по ее повышению.
В рамках данной работы решаются следующие основные задачи:
Исследование теоретических основ оценки финансовой устойчивости
предприятия;
Анализ финансовой устойчивости предприятия;
Оценка экономико-финансовых показателей деятельности ООО "Забавский
и К";
Разработка мероприятий по повышению финансовой устойчивости ООО
"Забавский и К".
Дипломная работа выполнялась на основе данных бухгалтерского учета и
финансовой отчетности за 2009-2011 гг. Кроме того, для полного изучения были
использованы учебники и учебные пособия для вузов по предмету "Финансовый
менеджмент", "Экономический анализ", и некоторые периодические
издания по данному вопросу.
Данная работа состоит из трех частей: в первой части отражены
теоретические аспекты рассматриваемой проблемы; во второй части проведены
оценка финансового состояния предприятия и анализ финансовой устойчивости; в
третьей части разрабатываются мероприятия по повышению финансовой устойчивости
предприятия.
Основными источниками информации для анализа финансового состояния
предприятия в данной дипломной работе служат отчетный бухгалтерский баланс (форма
№1), отчет о прибылях и убытках (форма №2).
В данной работе проанализировано финансовое состояние предприятия,
использованы методы: монографический, коэффициентный.
1. Теоретические основы оценки финансовой устойчивости предприятия
.1 Роль
финансового анализа в управлении предприятием
Организация, осуществляющая коммерческую деятельность, создается для
получения прибыли. Другими словами, коммерческая организация - это юридическое
лицо, которое привлекает капитал для осуществления своей деятельности и
обеспечивает его прирост за счет получаемой чистой прибыли.
Процесс получения организацией дохода - это комплексный
производственно-хозяйственный и финансово-экономический процесс со своим
обустройством, оборудованием, материалами, денежными средствами, структурой,
кадрами, договорными отношениями и т. д.
Хозяйственная деятельность организации проявляется в движении
товарно-материальных ценностей от поставщиков исходных ресурсов к потребителям
готовой продукции и трудовых ресурсов, которое сопровождается образованием и
расходованием денежных средств. От того, насколько эффективно организован этот
поток, зависит финансовое состояние организации.
[10.С.107]
Финансовое состояние организации характеризуется системой показателей,
отражающих наличие, размещение и использование финансовых ресурсов. Это
характеристика финансовой конкурентности (платежеспособности) организации,
выполнения ею обязательств перед государством и другими хозяйствующими
субъектами.
Финансовая деятельность организации включает в себя все денежные
отношения, связанные с производством и реализацией продукции, воспроизводством
основных средств и оборотных активов, образованием и использованием
разнообразных денежных обязательств (кредитов и товарных обязательств). [15.С.59]
В процессе производственно-хозяйственной, финансовой деятельности у
организации постоянно появляются обязательства, по которым она должна в
определенный срок совершить платеж (уплатить налоги, заплатить за материалы,
вернуть взятый кредит, заплатить проценты за пользование кредитами), поставить
продукцию или оказать услуги по договору с другой организацией. Если
организация работает с прибылью (в том числе и от внереализационной
деятельности), то выручка от реализации продукции позволяет ей своевременно
выполнить свои обязательства.
Однако в деятельности организации может возникнуть ситуация, в которой
она по разным причинам не может в достаточном объеме и своевременно получить
доходы, покрывающие расходы. В этом случае организация вместо прибыли может
получить убытки, что приводит к утрате части собственного капитала и, как
следствие, к проблеме неплатежей по обязательствам организации. Убытки
представляют собой прямую утрату капитала (собственного или части заемного).
Основные задачи анализа финансового состояния - определение качества
финансового состояния, изучение причин его улучшения или ухудшения за тот или
иной период, подготовка рекомендаций по повышению финансовой устойчивости и
платежеспособности предприятия. Эти задачи решают путем исследования динамики
абсолютных и относительных показателей. [15.С.207]
Финансовый анализ - это метод научного исследования, применяемый для
обработки информации о финансовой деятельности хозяйствующего субъекта
(организации).
Цель финансового анализа - оценка финансовых параметров деятельности
организации.
На рисунке показана схема проведения анализа финансового состояния
предприятия (рис. 1.1).
Рис. 1.1 Схема проведения анализа финансового состояния предприятия
Результаты финансового анализа дают необходимую информацию о состоянии
объекта анализа и служат основой для принятия соответствующих управленческих
решений.
Задачами финансового анализа являются:
определение текущего финансового состояния организации;
выявление и оценка изменений финансового состояния в
пространственно-временном разрезе;
выявление и оценка основных факторов, вызывающих изменения финансового
состояния;
построение прогноза изменения финансового состояния организации в
будущем.
Предметом финансового анализа являются отношения между отдельными
подразделениями организации в сфере управления финансами, а также финансовые
отношения организации с внешними контрагентами.
Объектом финансового анализа является финансово- хозяйственная
деятельность организации, в частности, процессы, связанные с изменением:
ресурсной базы организации (собственного и заемного капитала);
активов организации (оборотных и внеоборотных);
доходов и расходов организации;
денежных потоков организации и др.
Основные направления финансового анализа:
. Анализ имущественного потенциала
общая характеристика финансово-хозяйственной деятельности организации
(вертикальный и горизонтальный анализ баланса, построение аналитического
баланса);
анализ структуры и динамики активов;
анализ структуры и динамики пассивов.
. Анализ финансового потенциала
анализ ликвидности и платежеспособности организации;
анализ финансовой устойчивости.
. Анализ финансовых результатов
анализ структуры и динамики доходов и расходов организации;
анализ уровня и динамики финансовых результатов;
анализ показателей деловой активности;
анализ показателей рентабельности.
. Анализ движения денежных средств
. Комплексная оценка деятельности организации
. Анализ вероятности банкротства
Результаты анализа оформляются в виде аналитической записки, которая, как
правило, включает следующие основные разделы:
Общая характеристика организации и экономической среды, в которой она
функционирует.
Финансовые показатели, коэффициенты и иные аналитические сведения.
Качественная и количественная характеристика ключевых факторов,
оказывающих наибольшее влияние на финансовое состояние организации.
Выводы по результатам анализа и прогноз изменения финансового состояния. [18.С.135]
1.2 Оценка
финансовой устойчивости
Основой финансовой стабильности экономики в России, рыночная экономика и
новые формы хозяйствования ставят ранее не возникавшие проблемы, одной из
которых на сегодня является обеспечение экономической стабильности развития.
Чтобы обеспечить выживание предприятия в условиях рынка, управленческому
персоналу требуется оценивать возможные и целесообразные темпы его развития с
позиции финансового обеспечения, выявлять доступные источники средств,
способствуя тем самым устойчивому положению и развитию хозяйствующих субъектов. [21.С.68]
Важнейшей характеристикой финансового состояния организации является
стабильность ее деятельности в долгосрочной перспективе. Суть оценки финансовой
устойчивости организации сводится к расчету показателей, характеризующих
структуру капитала и возможности поддерживать данную структуру.
В настоящее время в международной практике и в практике большинства
российских организаций оценку финансовой устойчивости проводят с помощью
финансовых коэффициентов.
В этом случае финансовая устойчивость, как правило характеризуется:
соотношением собственных и заемных средств;
темпами накопления собственных источников;
соотношением долгосрочных и краткосрочных обязательств;
обеспечением материальных оборотных средств собственными источниками.
Анализ финансовой устойчивости организации
Важнейшей характеристикой финансового состояния организации является
стабильность ее деятельности в долгосрочной перспективе. Суть оценки финансовой
устойчивости организации сводится к расчету показателей, характеризующих
структуру капитала и возможности поддерживать данную структуру.
Финансовая устойчивость - это показатель стабильности финансового
положения предприятия, обеспечиваемого высокой долей собственного капитала в
общей сумме используемых средств, при котором состояние финансовых ресурсов
гарантирует постоянную платежеспособность и кредитоспособность предприятия,
обеспечивает ему развитие на основе роста прибыли и капитала. На уровень
финансовой устойчивости влияют различные факторы. Их можно разделить на две
группы: факторы внешней среды и внутренней среды (рис. 1.2).
Рис. 1.2 Факторы внешней и внутренней среды
Суть оценки финансовой устойчивости состоит в определении обеспеченности
запасов и затрат источниками их формирования.
В качестве таких источников выступают собственный оборотный капитал,
краткосрочные кредиты и кредиторская задолженность за товар.
Собственный оборотный капитал определяется как разность между величиной
собственного капитала (СК) и внеоборотными активами (ВНА).
Алгоритм расчета собственного оборотного капитала (
) имеет следующий вид:
(1.1)
где ЕС - собственный оборотный капитал;
СК
- собственный капитал;
ВНА
- внеоборотные активы.
Если предприятие пользуется долгосрочными кредитами и займами
, то для определения величины
собственного оборотного капитала
следует внеоборотные активы вычесть
из суммы собственного капитала и долгосрочных обязательств, то есть из величины
перманентного капитала:
(1.2)
где ЕТ - собственный оборотный капитал;
СК
- собственный капитал;
КТ - долгосрочные кридиты и займы;
ВНА
- внеоборотные активы.
Поскольку собственный капитал и долгосрочные обязательства не требуют
срочного погашения и могут использоваться предприятием длительное время, то их
сумму
называют постоянным (перманентным)
капиталом. Общая сумма нормальных источников
формирования запасов и затрат
включает в себя, помимо указанных ранее, еще и краткосрочные
кредиты и займы
, а также кредиторскую задолженность поставщикам за товар
:
(1.3)
где ЕΣ - сумма нормальных источников формирования запасов и
затрат;
ЕС - собственный оборотный капитал;
КЗ
- кредиторская задолженность;
КТ - долгосрочные кридиты и займы;
ЕТ - собственный оборотный капитал.
В настоящее время в международной практике и в практике большинства
российских организаций оценку финансовой устойчивости проводят с помощью
финансовых коэффициентов.
В этом случае финансовая устойчивость, как правило характеризуется:
- соотношением собственных и заемных средств;
- темпами накопления собственных источников;
- соотношением долгосрочных и краткосрочных обязательств;
- обеспечением материальных оборотных средств собственными
источниками.
Коэффициентный анализ структуры капитала организации.
Для оценки финансовой устойчивости организации применяется множество
коэффициентов, отражающих разные соотношения активов и пассивов организации.
Кроме того, для данных коэффициентов почти не существует каких-то единых
нормативных критериев. В связи с этим возникают некоторые сложности в общей
оценке финансовой устойчивости.
Поскольку значения коэффициентов зависят от множества факторов:
отраслевой принадлежности организации, условий кредитования, существующий
структуры пассивов оборачиваемости оборотных активов, репутации организации и
т.д., поэтому приемлемость этих значений коэффициентов, оценка их динамики и
направлений изменения могут быть установлены только для конкретной организации
с учетом условий ее деятельности. Возможны некоторые сопоставления организаций
одинаковой специализации, однако они достаточно ограничены. При проведении
коэффициентного анализа финансовой устойчивости, можно ограничиться следующими
показателями:
- коэффициент финансовой независимости;
- коэффициент финансовой устойчивости;
- коэффициент финансового рычага;
- коэффициент финансирования;
- коэффициент обеспеченности собственными источниками финансирования;
- коэффициент финансовой независимости в части формирования запасов и
затрат;
коэффициент маневренности собственного капитала;
индекс постоянного актива.
Коэффициент финансовой независимости - показывает долю
собственности владельцев организации в общей сумме средств:
(1.4)
где СК - собственный капитал;
ВБ - валюта баланса.
Чем выше значение коэффициента, тем более финансово устойчива, стабильна
и независима от внешних кредиторов организация.
Рекомендуемое значение: 0,4 - 0,6
Коэффициент финансовой независимости является наиболее общим показателем,
характеризующим финансовую устойчивость организации. При этом в зарубежной
практике существуют различные точки зрения относительно порогового значения
данного коэффициента. Наиболее распространенная точка зрения - 60%. В
организацию с подобной высокой долей собственного капитала инвесторы более
охотно вкладывают средства, а кредиторы могут представить более выгодные
условия кредитования. Однако нормативно установленной доли собственного
капитала, общей для всех организаций, отраслей, стран не существует. Основная
причина - в различных источниках и стоимости заемного капитала. На долю
собственного капитала в общей величине пассивов влияет и характер финансовой
политики предприятием.
Организации, ведущие агрессивную политику на финансовом и товарном
рынках, вынуждены увеличивать долю заемного капитала. Организации, в целях
снижения рисков, реализующие умеренную политику поведения на финансовых рынках,
поддерживают относительно высокую долю собственных средств. Оптимальным
значением данного коэффициента считается 50%. В этом случае кредиторы чувствуют
себя достаточно спокойно, поскольку весь заемный капитал покрывается
собственностью организации.
Рост коэффициента финансовой независимости говорит об укреплении
финансовой устойчивости организации.
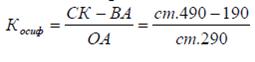
Коэффициент финансовой устойчивости - показывает, какая часть активов
финансируется из устойчивых источников:
(1.5)
где Кфу - коэффициент финансовой устойчивости;
ДО -
долгосрочные обязательства;
СК -
собственный капитал;
ВБ - валюта баланса.
Рекомендуемое значение: > 0,6
Долгосрочные заемные средства по срочности исполнения обязательств вполне
правомерно присоединить к собственным средствам организации.
Кроме расчета коэффициентов финансовой устойчивости и независимости
организации анализируют структуру его заемных средств: большой удельный вес в
ней долгосрочных кредитов является признаком устойчивого финансового состояния
организации.
Оптимальное значение этого показателя составляет 0,8-0,9.
Коэффициент финансового рычага:
(1.6)
где Ккап- коэффициент финансового рычага;
ЗК -
долгосрочные и краткосрочные обязательства;
СК -
собственный капитал.
Чем выше значение коэффициента, тем выше риск организации, связанный с
увеличением его зависимости от внешних источников финансирования, и тем ниже ее
заемный потенциал, поскольку снижение финансовой устойчивости нередко
затрудняет возможность получения новых кредитов и займов. Рекомендуемое
значение: < 1,5 Оптимальное значение этого показателя, выработанное
зарубежной практикой - 0,5. Считается, что если значение коэффициента превышает
1,0, то финансовая независимость и устойчивость анализируемой организации
достигает критической точки, однако все зависит от характера деятельности и
специфики отрасли, к которой относится организация.
Коэффициент заемного финансирования - является обратным к
коэффициенту капитализации и показывает размер собственных средств,
приходящихся на единицу заемных источников:
(1.7)
где Кэф- коэффициент заемного финансирования;
СК -
собственный капитал;
ЗК -
заемный капитал (долгосрочные и краткосрочные обязательства).
Рекомендуемое значение: > 0,7
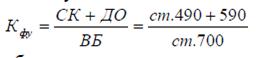
Коэффициент обеспеченности собственными источниками финансирования -
показывает,
какая часть оборотных активов финансируется за счет собственных средств:
(1.8)
где СК - собственный капитал;
ВА -
внеоборотные активы;
ОА -
оборотные активы.
Рекомендуемое значение: > 0,6
Значение коэффициента близкое к единице свидетельствует о том, что
организация полностью обеспечивает свою потребность в оборотных активах за счет
собственных средств и имеет абсолютную финансовую устойчивость. Чем меньше
значение коэффициента, тем неустойчивее финансовое состояние организации.
Организация достигает критического финансового состояния, когда коэффициент
имеет значение 0,1.
Коэффициент финансовой независимости в части формирования запасов и
затрат - показывает какая часть запасов и затрат формируется за счет
собственных средств:
(1.9)
где СК - собственный капитал;
З -
запасы.
Рекомендуемое значение > 0,6
Значение коэффициента большее или близкое к единице свидетельствует о
том, что для приобретения материально- производственных ресурсов используются
только собственные источники и организация имеет абсолютную или нормальную
финансовую устойчивость. Чем меньше значение коэффициента, тем неустойчивее
финансовое состояние организации, поскольку возникает необходимость привлекать
заемный капитал для формирования запасов в связи с дефицитом собственных
средств. Чем ниже уровень коэффициента, тем выше финансовый риск и зависимость
от кредиторов.
Коэффициент маневренности собственного капитала - показывает долю
мобильных средств в собственных средствах:
(1.10)
где СК - собственный капитал;
ВА -
внеоборотные активы.
Рекомендуемое значение: 0,2 - 0,5
Коэффициент показывает степень мобильности (гибкости) использования собственных
средств, то есть, какая часть собственного капитала не закреплена в
иммобилизованных (внеоборотных) активах и дает возможность маневрировать
средствами организации.
Высокое значение коэффициента и его устойчивый рост положительно
характеризует финансовое состояния организации, а также свидетельствует о том,
что менеджмент организации достаточно гибко использует собственные средства.
Некоторые аналитики считают оптимальным значение этого показателя, равное 0,5.
Это означает, что должен соблюдаться паритетный принцип вложения собственных
средств в оборотные и внеоборотные активы, что обеспечит достаточную
ликвидность баланса. Низкое значение этого показателя говорит о том, что
значительная часть собственных средств организации направлена на финансирование
внеобортных активов, чья ликвидность является невысокой. Чем ближе значение
показателя, тем больше финансовых возможностей у организации и больше мобильных
средств в составе собственного капитала. Однако значение этого показателя может
существенно изменяться в зависимости от вида деятельности организации и
структуры его активов: чем выше доля внеоборотных активов, тем ниже уровень
коэффициента и, наоборот, если предприятие арендует основные средства и его
имущество в основном выражено оборотными активами, уровень коэффициента будет
высоким. Уровень коэффициента также во многом зависит от характера деятельности
организации. В частности, в фондоемких производствах его нормальный уровень
должен быть ниже, чем в материалоемких, поскольку в фондоемких организациях
значительная часть собственных средств является источником покрытия основных
производственных фондов.
В целом финансовая устойчивость организации зависит от опережающего роста
суммы собственных оборотных средств по сравнению с ростом материальных запасов
и собственного капитала. [45.С.304]
Индекс постоянного актива - показывает, долю иммобилизованных
средств в собственных источниках:
(1.11)
где Ипа - индекс постоянного актива;
ВА -
внеоборотные активы;
СК -
собственный капитал.
Эти коэффициенты (кроме коэффициента финансового рычага) находятся в
прямой зависимости от изменения финансовой устойчивости, т.е. рост каждого из
них подтверждает укрепление финансовой устойчивости. Но одновременный рост всех
показателей невозможен, так как некоторые из них могут повышаться только за
счет снижения других. Например, коэффициент маневренности собственного капитала
и индекс постоянного актива в сумме дают 1,т.е. если повышается коэффициент
маневренности собственного капитала, то индекс постоянного актива снижается, и
наоборот.
Таким образом, из всех перечисленных коэффициентов финансовой
устойчивости только три имеют универсальное применение: коэффициент финансового
рычага, коэффициент маневренности собственного капитала и коэффициент
обеспеченности оборотного капитала собственными источниками финансирования. Но
даже в пределах данных коэффициентов можно заметить, что одни и те же факторы
определяют их рост и снижение: коэффициент маневренности собственных средств и
коэффициент обеспеченности запасов собственными источниками имеют один и тот же
числитель - собственные оборотные средства. Поэтому динамика коэффициентов
определяется при одной и той же динамике собственных оборотных средств лишь
различиями в уровнях и направлениях изменения знаменателей - оборотных активов
и собственного капитала. Однако это не мешает им оставаться самостоятельными
коэффициентами, хотя на практике следует иметь в виду, что увеличение
собственных оборотных средств приводит к повышению финансовой устойчивости. В
свою очередь, рост собственных оборотных средств - это результат, как правило,
увеличения собственного капитала, а в некоторых случаях - и снижения стоимости
внеоборотных активов. Увеличение собственного капитала при определенных
условиях приводит и к снижению соотношения заемных и собственных средств.
Следовательно, три универсальных коэффициента финансовой устойчивости
взаимосвязаны факторами, определяющими их уровень и динамику. Все они
ориентируют организацию на увеличение собственного капитала, при относительно
меньшем росте внеоборотных активов, то есть на одновременное повышение
мобильности имущества. Расчет показателей финансовой устойчивости дает
менеджменту информацию, необходимую для принятия решения о целесообразности
привлечения дополнительных заемных средств только с точки зрения финансовой
устойчивости, а целесообразность привлечения находится в "области"
развития организации. [45.С.303]
Комплексный анализ обеспеченности организации материальными оборотными
средствами.
Для комплексного анализа обеспеченности организации материальными
оборотными средствами проводят следующие аналитические процедуры:. Определяют
наличие средств.
. Определяют наличие собственных оборотных средств:
СОС = СК - ВА (1.12)
где СОС - собственные оборотные средства;
СК -
собственный капитал (стр. 490);
ВА -
внеоборотные активы (стр. 190).
. Определяют наличие собственных и долгосрочных заемных источников
финансирования:
СДИ = СК - ВА + ДО = СОС + ДО (1.13)
где СДИ - собственные и долгосрочные источники финансирования;
СК -
собственный капитал (стр. 490);
ВА -
внеоборотные активы (стр. 190).
ДО -
долгосрочные обязательства (стр. 590).
. Определяют общую величину основных источников формирования запасов:
ОИЗ = СК - ВА + ДО + КО = СДИ + КО (1.14)
где ОИЗ - общая величина основных источников формирования запасов;
СК -
собственный капитал (стр. 490);
ВА -
внеоборотные активы (стр. 190).
ДО -
долгосрочные обязательства (стр. 590)
КО -
краткосрочные обязательства (стр. 690).. Определяют излишек (+) или недостаток
(-)
. Определяют излишек / недостаток собственных оборотных средств:
ΔСОС = СОС - З (1.15)
где ΔСОС - прирост (излишек) собственных оборотных средств;
З -
запасы (стр. 210).
. Определяют излишек / недостаток собственных и долгосрочных заемных
источников финансирования:
ΔСДИ = СДИ - З (1.16)
где ΔСДИ - прирост (излишек) собственных и долгосрочных заемных источников
финансирования;
З -
запасы (стр. 210).
. Определяют излишек / недостаток основных источников формирования
запасов:
ΔОИЗ = ОИЗ - З (1.17)
где ΔОИЗ - прирост (излишек) источников формирования запасов;
З -
запасы (стр. 210).. Объединяют показатели в модель: (ΔСОС; ΔСДИ; ΔОИЗ) и переводят в двоичный код по
следующему правилу:
. Если значение неотрицательное, то оно заменяется на "1".
2. Если значение отрицательное, то оно заменяется на "0".
С помощью показателей ΔСОС, ΔСДИ, ΔОИЗ определяется трехкомпонентный
показатель, характеризующий тип финансовой устойчивости организации:
- абсолютная устойчивость;
- нормальная устойчивость;
- неустойчивое состояние;
- кризисное состояние.
Рассмотрим четыре типа финансовой устойчивости:
. Абсолютная устойчивость финансового состояния.
При абсолютной финансовой устойчивости организация не зависит от внешних
кредиторов, запасы и затраты полностью покрываются собственными ресурсами.
В российской и международной практике такая финансовая устойчивость
встречается крайне редко, поскольку процесс развития постоянно требует прилива
дополнительных финансовых средств, организация вынуждена обращаться за займами
и кредитами.
. Нормальная устойчивость финансового состояния.
При нормальной устойчивости финансового состояния организация
платежеспособна.
Нормальная устойчивость показывает, что организация оптимально использует
все доступные источники финансирования и полностью покрывает запасы и затраты.
. Неустойчивое финансовое состояние.
При неустойчивом финансовом состоянии возрастает риск
неплатежеспособности. Тем не менее, сохраняется возможность восстановления
равновесия за счет дополнительного привлечения собственных средств, сокращения
дебиторской задолженности и ускорения оборачиваемости запасов.
Пределом финансовой неустойчивости является кризисное состояние
организации. Этот предел проявляется в том, что наряду с нехваткой средств из
"нормальных" источников покрытия запасов и затрат (к их числу может
относиться часть внеоборотных активов, просроченная задолженность и т.д.)
организация имеет убытки, непогашенные обязательства, безнадежную дебиторскую
задолженность.
Кроме того, следует отметить, что финансовая неустойчивость считается
допустимой, если величина привлекаемых для формирования запасов и затрат
краткосрочных кредитов и заемных средств не превышает суммарной стоимости
производственных запасов и готовой продукции (наиболее ликвидной части запасов
и затрат).
Если указанные условия не выполняются, то финансовая неустойчивость
является недопустимой и отражает склонность организации к существенному
ухудшению финансового состояния.
. Кризисное финансовое состояние.
При кризисном финансовом состоянии предприятие находится на грани
банкротства, поскольку в данной ситуации денежные средства, краткосрочные
финансовые вложения (за вычетом стоимости собственных акций, выкупленных у
акционеров), дебиторская задолженность организации (за вычетом задолженности
учредителей (участников)) по взносам в уставной капитал), и прочие оборотные активы не
покрывают даже его кредиторской задолженности (включая резервы предстоящих
расходов и платежей) и прочие краткосрочные пассивы.
При кризисном и неустойчивом финансовом состоянии устойчивость может быть
восстановлена путем обоснованного снижения:
уровня запасов;
уровня затрат.
Положительным фактором финансовой устойчивости является:
наличие надежных источников формирования запасов.
Отрицательным фактором:
необоснованный рост величины запасов.
Соответственно основными способами выхода из неустойчивого и кризисного
финансовых состояний (ситуации 3 и 4) являются:
устойчивое пополнение средств формирования запасов;
- оптимизация их структуры, обоснованное снижение уровня запасов.
Наиболее надежными способами пополнения средств для формирования запасов
считается увеличение собственного капитала:
- за счет накопления нераспределенной прибыли;
- за счет распределения прибыли после налогообложения в фонды
накопления;
- за счет увеличения уставного капитала. [45.С.352]
Снижение уровня запасов происходит в результате реализации
неиспользованных товарно-материальных ценностей, а также внедрения системы
планирования запасов.
Рассмотрим типы финансовой устойчивости, их источники финансирования
запасов и характеристики типов финансовой устойчивости (табл.1.1).
Таблица 1.1 Характеристика типов финансовой
устойчивости
|
Значение трехкомпонентного
показателя
|
Тип финансовой устойчивости
|
Источники финансирования
запасов
|
Характеристика финансовой
устойчивости
|
|
(1;1;1)
|
Абсолютная финансовая
устойчивость
|
СОС
|
Является редким типом
финансовой устойчивости и свидетельствует о высоком уровне
платежеспособности. Организация не зависит от средств кредиторов.
|
|
(0;1;1)
|
Нормальная финансовая
устойчивость
|
СОС+ДО
|
Характеризует достаточную
финансовую устойчивость и платежеспособность организации. Свидетельствует о
рациональном использовании заемных средств и высокой доходности текущей
деятельности.
|
|
(0;0;1)
|
Неустойчивое финансовое
состояние
|
СОС+ДО+КО
|
Характеризует нарушение нормальной
платежеспособности и приводит к необходимости привлечения дополнительных
источников финансовых ресурсов. Восстановление платежеспособности возможно в
первую очередь за счет пополнения собственных средств, сокращения дебиторской
задолженности и ускорения оборачиваемости запасов.
|
|
(0;0;0)
|
Кризисное (критическое)
финансовое состояние
|
Средств не хватает
|
Характеризует полную
неплатежеспособность организации и ее близость к банкротству. Запасы не
обеспечены источниками финансирования. Организация полностью зависит от
заемных источников финансирования. Наблюдается устойчивый рост кредиторской
задолженности.
|
Для проведения анализа обеспеченности организации материальными
оборотными средствами целесообразно использовать следующую аналитическую
таблицу (табл.1.2).
Таблица 1.2 Анализ обеспеченности материально
оборотными средствами
|
№ п/п
|
Показатели
|
На начало
периода
|
На конец периода
|
Изменения
|
|
1
|
Собственный капитал
|
|
|
|
|
2
|
Внеоборотные активы
|
|
|
|
|
3
|
Наличие собственных
оборотных средств (стр. 1 - стр. 2)
|
|
|
|
|
4
|
Долгосрочные обязательства
|
|
|
|
|
5
|
Наличие собственных и
долгосрочных заемных источников финансирования (стр. 3 + стр. 4)
|
|
|
|
|
6
|
Краткосрочные обязательства
|
|
|
|
|
7
|
Общая величина основных
источников формирования запасов (стр. 5 + стр. 6)
|
|
|
|
|
8
|
Общая величина запасов (З)
|
|
|
|
|
9
|
Излишек или недостаток
собственных оборотных средств (ΔСОС = стр. 3 - стр. 8)
|
|
|
|
|
10
|
Излишек или недостаток
собственных и долгосрочных заемных источников финансирования (ΔСДИ = стр. 5 - стр. 8)
|
|
|
|
|
11
|
Излишек или недостаток
основных источников формирования запасов (ΔОИЗ = стр. 7 - стр. 8)
|
|
|
|
|
12
|
Тип финансовой устойчивости
|
|
|
|
Балльная оценка финансовой устойчивости
Существуют различные подходы к оценке финансовой устойчивости. Многие
аналитики считают, что финансовая устойчивость характеризуется не только
структурой капитала, но и ликвидностью и платежеспособностью. Поэтому в состав
показателей, применяемых в балльной оценке финансовой устойчивости включены
показатели ликвидности.
Алгоритм проведения балльной оценки финансовой устойчивости (табл. 1.3):
- выбор показателей финансовой устойчивости анализируемой
организации,
- ранжирование показателей в баллах,
- оценка этих показателей в зависимости от их фактических
значений,
- выявление условий снижения или повышения оценки,
- расчет общей суммы баллов финансовой устойчивости
- определение класса финансовой устойчивости.
Таблица 1.3 Оценка показателей финансовой
устойчивости организации
|
Показатель финансового
состояния
|
Рейтинг показателя, баллы
|
Оценка показателей в
зависимости от их фактических значений, баллы
|
Условия изменения оценки
|
|
|
Высший
|
Низший
|
|
|
Коэффициент абсолютной
ликвидности
|
20
|
0,5 и выше - 20 баллов
|
Менее 0,1 - 0 баллов
|
За каждые 0,1 пункта по
сравнению с 0,5 снимается 4 балла
|
|
Коэффициент срочной
ликвидности (коэффициент "критической оценки")
|
18
|
1,5 и выше - 18 баллов
|
Менее 1,0 - 0 баллов
|
За каждые 0,1 пункта по
сравнению с 1,5 снимается 3 балла
|
|
Коэффициент текущей
ликвидности
|
16,5
|
2,0 и выше - 16,5 баллов
|
Менее 1,0 - 0 баллов
|
За каждые 0,1 пункта по
сравнению с 2,0 снимается 1,5 балла
|
|
Коэффициент обеспеченности
собственными источниками финансирования
|
15
|
0,5 и выше - 15 баллов
|
Менее 0,1 - 0 баллов
|
За каждые 0,1 пункта по
сравнению с 0,5 снимается 3 балла
|
|
Коэффициент финансовой
независимости
|
17
|
0,6 и выше - 17 баллов
|
Менее 0,4 - 0 баллов
|
За каждые 0,01 пункта по
сравнению с 0,6 снимается 0,8 балла
|
|
Коэффициент финансовой
независимости в части формирования запасов и затрат
|
13,5
|
1,0 и выше - 13,5 баллов
|
Менее 0,5 - 0 баллов
|
За каждые 0,1 пункта по
сравнению с 1,0 снимается 2,5 балла
|
|
Всего
|
100
|
100
|
0
|
|
Выделяют следующие классы финансовой устойчивости организаций (табл.1.4):
-й класс - организация имеет отличное финансовое состояние,
Практически отсутствует риск взаимоотношений партнеров с данной
организацией;
-й класс - организация имеет хорошее финансовое состояние,
большинство финансовых показателей близко к оптимальным, в структуре
капитала наблюдается увеличение доли заемных средств. Кредиторская задолженность
растет более высокими темпами, чем дебиторская.
Существует незначительный уровень риска взаимоотношений партнеров с
данной организацией;
-й класс - организация имеет удовлетворительное финансовое состояние,
характеризующееся, как правило, проблемами с платежеспособностью или финансовой
устойчивостью в силу слишком высокой доли заемных средств.
Риск взаимоотношений партнеров с данной организацией значителен;
-й класс - организация имеет финансовое состояние, близкое к банкротству.
У организации наблюдаются постоянные проблемы с платежеспособностью, структура
капитала неудовлетворительна, практически отсутствует возможность привлечения
стабилизационного кредита, прибыль минимальна или отсутствует.
Риск взаимоотношений партнеров с данной организацией весьма велик;
-й класс - организация имеет неудовлетворительное финансовое состояние и
может быть признана банкротом. Организация неплатежеспособна и убыточна.
Взаимоотношения партнеров с данной организацией нецелесообразны.
Таблица 1.4 Группировка организаций по классам
финансовой устойчивости
|
Показатели финансового
состояния
|
1-й класс
|
2-й класс
|
3-й класс
|
4-й класс
|
5-й класс
|
Не подлежит класси- фикации
|
|
Коэффициент абсолютной
ликвидности
|
0,5 и выше = 20 баллов
|
0,4 и Выше =16 баллов
|
0,3 = 12 баллов
|
0,2 = 8 баллов
|
0,1 = 4 балла
|
Менее 0,1 -0 баллов
|
|
Коэффициент срочной
Ликвидности (коэффициент "критической оценки")
|
1,5 и выше = 18 баллов
|
1,4 = 15 баллов
|
1,3 = 12 баллов
|
1,2 - 1,1 = 9 - 6 баллов
|
1,0 = 3 балла
|
Менее 1,0 - 0 баллов
|
|
Коэффициент текущей
ликвидности
|
2,0 и выше =16,5баллов
|
1,9- 1,7 = 15 - 12 баллов
|
1,6 - 1,4 = 10,5 -
7,5баллов
|
1,3- 1,1 = 6 -3 баллов
|
1,0 = 1,5 балла
|
Менее 1,0 - 0 баллов
|
|
Коэффициент обеспеченности
собственными источниками финансирования
|
0,5 и выше =15 баллов
|
0,4 =12 баллов
|
0,3 = 9 баллов
|
0,2 = 6 баллов
|
0,1 = 3 балла
|
Менее 0,1 - 0 баллов
|
|
Коэффициент финансовой
независимости
|
0,6 и выше =17 баллов
|
0,59-0,54 = 16,2 -12,2
баллов
|
0,53 - 0,48 = 11,4 - 7,4
баллов
|
0,47- 0,41 = 6,6 -
1,8баллов
|
0,4 = 1 балл
|
Менее 0,4 - 0 баллов
|
|
Коэффициент финансовой
независимости в части Формирования запасов и затрат
|
1,0 и выше = 13,5 баллов
|
0,9 = 11 баллов
|
0,8 = 8,5 баллов
|
0,7 - 0,6 = 6,0 -3,5 баллов
|
0,5 =1 балл
|
Менее 0,5 - 0 баллов
|
|
Минимальное значение
границы
|
100-94 баллов
|
93-65 баллов
|
64-52 баллов
|
51-21 баллов
|
20-0 баллов
|
0
|
Для более наглядного и точного анализа определяют класс финансовой
устойчивости организации на начало и на конец периода, необходимого для
рассмотрения. Затем можно решить какие мероприятия должны быть проведены для
исправления сложившейся ситуации, если это необходимо, в каком объеме и в
течение какого периода.
1.3 Нормативно-правовая база, регулирующая финансово-хозяйственную
деятельность предприятия
Основные правила ведения бухгалтерского учета в организациях установлены
"Законом "О бухгалтерском учете", Положением о бухгалтерском
учете и отчетности, Положением по бухгалтерскому учету "Учетная политика
предприятия", Планом счетов бухгалтерского учета и некоторым другим
нормативным документам".
В соответствии с указанным Законом основные правила, требования к ведению
бухгалтерского учета:
бухгалтерский учет имущества, обязательств и хозяйственных операций
ведется в валюте РФ - в рублях;
бухгалтерский учет ведется организацией непрерывно с момента ее
регистрации до реорганизации или ликвидации;
организация ведет бухгалтерский учет имущества, обязательств и
хозяйственных операций путем двойной записи на взаимосвязанных счетах
бухгалтерского учета. Данные аналитического учета должны соответствовать
оборотам и остатком по счетам синтетического учета;
текущие затраты на производство продукции и капитальные вложения
учитываются раздельно;
основанием для записи в учетных регистрах являются первичные учетные
документы, которые должны составляться в момент совершения хозяйственных
операций или непосредственно после их окончания и содержать обязательные
реквизиты.
Некоторые правила ведения бухгалтерского учета регламентированы другими
нормативными документами (помимо ранее названного Закона). Например, в
соответствии с Планом счетов бухгалтерского учета в системном бухгалтерском
учете и в балансе отражается лишь имущество, являющееся собственностью
организации. Имущество, принадлежащее другим организациям, учитывается на
забалансовых счетах. Положением о бухгалтерском учете и отчетности установлено,
что формирование учетной политики организации осуществляется в соответствии с
допущениями и требованиями, установленными Положением по бухгалтерскому учету
"Учетная политика предприятия". Понятия "допущения" и
"требования" также являются правилами ведения бухгалтерского учета.
При этом указанные в Положении по учетной политике допущения не
обязательно должны объявляться организацией. Их принятие и следование им
подразумеваются. Вместе с тем если организация при ведении бухгалтерского учета
и составлении отчетности допускает отступления от установленных допущений, то
она обязана указать причины этих отступлений. [2.С.6]
В ходе написания данной дипломной работы использовались следующие
основные нормативно-правовые документы:
1. Конституция (Основной Закон) РФ. М., 2006;
. Гражданский кодекс РФ. (В 2 частях) - М., 2007;
3. Налоговый кодекс РФ (Части I и II);
. Методические указания по проведению анализа финансового
состояния //Приказ ФСФО РФ от 23.01.2001 № 16;
5. ФЗ "О бухгалтерском учете" от 21 ноября 1996 г. №
129-ФЗ;
6. ФЗ "Об акционерных обществах" от 26 декабря 1995 г.
№208-ФЗ;
. План счетов бухгалтерского учета финансово-хозяйственной
деятельности предприятия и инструкция по его применению;
. ФЗ "О государственной поддержке малого предпринимательства
в РФ" от 14 июня 1995 г. №88-ФЗ.
. Приказ Минфина РФ от 22 июля 2003 г. N 67н (с учетом приказа
Госкомстата РФ и Минфина РФ от 14 ноября 2003 г. N 475/102н)
. Приказ Минфина РФ от 2 июля 2010 г. N 66н
2. Оценка экономико-финансовых показателей деятельности ООО "Забавский и К"
.1
Характеристика финансово-хозяйственной деятельности организации
Общество с ограниченной ответственностью "Забавский и К"
образовано 10 декабря 2006 года. ООО "Забавский и К" создано в
соответствии с Гражданским кодексом РФ и Федеральным законом "Об обществах
с ограниченной ответственностью", и решением участника общества.
Полное фирменное наименование общества - Общество с ограниченной
ответственностью "Забавский и К".
Сокращённое наименование - ООО "Забавский и К".
Юридический адрес ООО "Забавский и К" - г. Вологда, ул.
Северная, д. 27.
ООО "Забавский и К" является самостоятельной хозяйственной
единицей и действует на основе самоокупаемости и самофинансирования. ООО
"Забавский и К" имеет в собственности обособленное имущество, учитываемое
на его самостоятельном балансе, может от своего имени приобретать и
осуществлять имущественные и личные неимущественные права, нести обязанности,
быть истцом и ответчиком в суде. Имущество ООО "Забавский и К"
составляют основные и оборотные средства, а также иные ценности, стоимость
которых отражается в балансе предприятия. Имущество предприятия образовано за
счёт вкладов его участников. ООО "Забавский и К" отвечает по своим
обязательствам всем своим имуществом в период коммерческой деятельности.
Уставный капитал общества с ограниченной ответственностью составляется из
стоимости вкладов его участников [1.С.27]. Так как ООО "Забавский и
К" создано одним участником, то уставный капитал общества состоит из
стоимости вклада единоличного участника и составляет 500 тысяч рублей.
Единоличным участником общества является физическое лицо. Участник
общества несет риск убытков, связанных с деятельностью общества в пределах
стоимости оплаченной им части вклада.
Цель создания ООО "Забавский и К" - реальное повышение качества
услуг, формирование товарного рынка, извлечение прибыли от хозяйственной
деятельности.
Основным видом деятельности предприятия является
оптово-розничная торговля пивной продукции. С 2006 года ООО " Забавский и
К" является официальным дистрибьютором Компании Хейнекен по Вологодской
области.
Рынок сбыта товарной продукции ООО "Забавский и
К" представлен подразделениями оптовой и розничной торговли в Вологодской
области.
Рис.2.1 Изменения объема продаж по сегментам
Реализация продукции осуществляется по рекомендованной наценке
поставщика, выполнение работ и предоставление услуг осуществляются по ценам и
тарифам, устанавливаемым обществом самостоятельно, кроме случаев,
предусмотренных законодательством.
Ассортимент продаваемой продукции представлен компанией
"Хейнекен": Хейнекен, Амстел Пилснер, Бочкарев, Баклер, Едельвейс,
Гиннес, Златый Базант, Крушовица, Доктор Дизель, Бочкарев, Охота, Три Медведя,
Степан Разин бутылочное 0,5 л., баночное 0,5;и пет 1,5 и 2,5 литр.
Поставщиком является подразделение компании Хейнекен в России ООО
"Объединенные Пивоварни Хейнекен". Товар реализуется оптом, в
розницу, в крупные торговые сети по всей территории Вологодской области.
Компания так же производит обслуживание разливного, холодильного оборудования. Организационная структура ООО "Забавский и К"
представлена на рис.2.2
Рис.2.2 Организационная структура ООО "Забавский
и К"
Дополнительными видами деятельности ООО "Забавский и К"
являются:
посредническая деятельность;
строительные, строительно-монтажные, пуско-наладочные и
ремонтно-строительные работы;
транспортные услуги по перевозке грузов, в том числе международные
перевозки и связанные с ними экспедиционные услуги;
маркетинговые услуги;
сдача имущества в аренду.
На предприятии хорошо отлажена система логистики и сбыта, для чего
организованны специализированные отделы (отдел закупа, отдел продаж, маркетинга
и отдел логистики), отвечающие за грамотное и четкое выполнение необходимых
действий для бесперебойной работы организации.
Управленческие решения принимаются в форме приказов от Учредителя,
обязанности по их исполнению возлагаются на исполнительного директора, его
заместителя, начальников отделов. На предприятии ежедневно проходят планерки.
Отдел закупа отвечает за четкое и корректное выполнение заказов на Завод,
отслеживание остатков товара на складе завода, на главном складе Дистрибьютора
и на его региональных складах в подразделениях.
Отдел продаж отвечает за формирование общей тактики и стратегии продаж на
каждый день, отслеживание маркетинговых мероприятий, направленных на увеличение
продаж, четкое распределение по зонам ответственности каждого сотрудника
отдела, составлением договоров с Дистрибьютором, проводит маркетинговые исследования,
занимается изучением цены на рынке, занимается рекламой, изучением спроса и
предложения.
Учетная политика ведется отделом бухгалтерии под руководством главного
бухгалтера. Учетная информация обрабатывается автоматизировано с использованием
программных средств, а именно использует лицензионную программу "1С:
Бухгалтерия" Версия 7.7.
Общество может создавать и открывать подразделения на территории РФ и за
ее пределами с соблюдением требований действующего законодательства, а также
Дистрибьюторского договора между ООО "Забавский и К" и ООО
"ОПХ".
Начальники отделов являются руководителями и непосредственными
организаторами работы на порученных участках и подчиняются непосредственно
исполнительному директору.
В обязанности исполнительного директора и бухгалтерии входит:
проведение своевременного анализа и планирования в виде оценки активов
предприятия и источников их финансирования, источников дополнительного
финансирования и т.п.;
правильное и четкое распределение финансовых ресурсов;
распределение трудовых ресурсов.
Широко используется мотивация и стимулирование труда работников: премии,
единовременные пособия, вознаграждения, материальная помощь и т.д.
Деятельность ООО "Забавский и К" регулируется Уставом. Общество
является юридическим лицом и имеет в собственности обособленное имущество,
отражаемое на самостоятельном балансе, включая имущество, переданное ему
акционерами в счет оплаты акций. Общество может от своего имени приобретать и
осуществлять имущественные и личные неимущественные права, нести обязанности,
быть истцом и ответчиком в суде. Общество имеет круглую печать, содержащую его
полное наименование на русском языке и указание на место его расположения.
Общество в праве иметь штампы и бланки со своим наименованием, собственную
эмблему, а также зарегистрированный в установленном порядке товарный знак и
другие средства визуальной идентификации.
Вмешательство в административную и хозяйственную деятельность общества со
стороны государственных, общественных и других организаций не допускается, если
это не обусловлено их правами по осуществлению контроля и ревизии согласно
действующему законодательству.
Общество несет ответственность по своим обязательствам всем принадлежащим
ему имуществом.
Государство и его органы не несут ответственность по обязательствам
общества, равно как и общество не отвечает по обязательствам государства и его
органов.
Предприятие использует бухгалтерский баланс (форма №1), отчет о прибылях
и убытках (форма №2).
На рис. 2.3 и табл. 2.1 представлены показатели финансового результата
деятельности предприятия ООО " Забавский и К".
Рис.2.3 График соотношения валовой выручки к прибыли до налогообложения
ООО "Забавский и К"
Из данных табл. 2.1 видно, что при росте выручки на 2,43%, валовая
прибыль выросла на 14,33%, и это связано с увеличением наценки, а также с
оптимизацией себестоимости продукции. Это положительная тенденция. В то же
время наблюдается существенный рост коммерческих расходов на 35,87%, данная
ситуация произошла в связи с привлечением новых покупателей и удержанием рынка
продаж продукции поставщика среди уже существующих покупателей. Между тем
произошло снижение прибыли на 7,75%, что является негативной тенденцией
развития организации.
Таблица 2.1 Финансовые результаты деятельности ООО "Забавский и К"
|
Показатели
|
Год
|
Отклонение 2011
к 2010,
|
Изменение суммы
2011 к 2010, %
|
|
2009
|
2010
|
2011
|
(+,-)
|
|
|
тыс. руб.
|
тыс. руб.
|
тыс. руб.
|
тыс. руб.
|
уровень
|
|
|
Выручка (нетто)
от продажи товаров, работ, услуг
|
234000
|
288000
|
295000
|
7000
|
100,00
|
102,43
|
|
Себестоимость
проданных товаров, работ, услуг
|
200008
|
243270
|
243860
|
590
|
8,43
|
100,24
|
|
Валовая прибыль
|
33992
|
44730
|
51140
|
6410
|
91,57
|
114,33
|
|
Коммерческие
расходы
|
5970
|
7390
|
10041
|
2651
|
37,87
|
135,87
|
|
Прибыль
(убыток) от продаж
|
20452
|
30090
|
33299
|
3209
|
45,84
|
110,66
|
|
Проценты к
получению
|
|
|
|
|
|
|
|
Прочие доходы
|
1320
|
1359
|
200
|
-1159,00
|
-16,56
|
14,72
|
|
Прочие расходы
|
1200
|
7005
|
10950
|
3945,00
|
56,36
|
156,32
|
|
Прибыль
(убыток) до налогообложения
|
20572
|
24444
|
22549
|
-1895,00
|
-27,07
|
92,25
|
|
Отложенные
налоговые обязательства
|
75
|
109
|
120
|
11,00
|
0,16
|
110,09
|
|
Текущий налог
на прибыль
|
6798
|
8946
|
10228
|
1282,00
|
18,31
|
114,33
|
|
Чистая прибыль
(убыток) отчетного периода
|
13849
|
15607
|
12441
|
-3166,00
|
-45,23
|
79,71
|
По итогам табл. 2.2 видно, что, на фоне увеличения среднегодовой
стоимости основных средств в 2011 году - на 8,21%, объем деятельности вырос на
2,43%. Это связано с более эффективным использованием ресурсов предприятия.
Видно сокращение показателя фондоотдачи - за 2011 год показатель составил
5,34%, фондорентабельности за 2011 год на 13,68%, что является положительной
тенденцией. Также произошел рост фондовооруженности на 35,10 тыс. руб. за счет
снижения среднесписочной численности работников.
Таблица 2.2 Показатели эффективности использования основных
средств и производительности труда ООО "Забавский и К"
|
Показатели
|
Год, тыс. руб.
|
Отклонение 2011
к 2010, (+/_)
|
Изменение суммы
2011 к 2010, %
|
|
2009
|
2010
|
2011
|
тыс. руб.
|
|
|
1.
Среднегодовая стоимость основных средств, тыс.руб.
|
27220
|
27605
|
29870
|
2265,00
|
108,21
|
|
2. Объем
деятельности, тыс.руб.
|
234000
|
288000
|
295000
|
7000,00
|
102,43
|
|
3. Прибыль до
налогообложения
|
20572
|
24444
|
22549
|
-1895,00
|
92,25
|
|
4.
Среднесписочная численность работников, чел.
|
97
|
100
|
96
|
-4,00
|
96,00
|
|
5.
Производительность труда,
|
2412,37
|
2880,00
|
3072,92
|
192,92
|
106,70
|
|
6. Фондоотдача,
руб./руб.
|
8,60
|
10,43
|
9,88
|
-0,56
|
94,66
|
|
7.
Фондорентабельность, %
|
0,62
|
0,73
|
0,63
|
-0,10
|
86,32
|
|
8.
Фондовооруженность
|
280,62
|
276,05
|
311,15
|
35,10
|
112,71
|
За отчетный период наблюдается рост стоимости оборотных средств компании
- на 27,27%. При этом наблюдается существенное увеличение дебиторской
задолженности на 43,78% к уровню предыдущего года, что является негативной
тенденцией и указывает на пассивную работу компании с должниками.
Также необходимо отметить увеличение денежных средств почти в 2 раза, что
говорит о повышении мобильности активов, стремлении предприятия улучшить свою
платежеспособность (табл. 2.3).
Таблица 2.3 Состав и структура оборотных средств ООО "Забавский и
К"
|
Показатели
|
Стоимость
оборотных средств, тыс. руб.
|
|
2010 г.
|
2011 г.
|
откло-нение,
(+/-)
|
темп
изме-нения, %
|
|
Оборотные
средства, всего
|
70553
|
89790
|
19237,00
|
27,27%
|
|
Запасы
|
57848
|
68500
|
10652,00
|
18,41%
|
|
НДС по
приобретенным ценностям
|
2975
|
4110
|
1135,00
|
38,15%
|
|
Дебиторская
задолженность
|
7560
|
10870
|
3310,00
|
43,78%
|
|
Денежные
средства
|
2170
|
6310
|
4140,00
|
190,78%
|
Рассмотрим показатели структуры активов и пассивов ООО "Забавский и
К" (табл.2.4).
В структуре активов в отчетном периоде наблюдалось преобладание оборотных
активов над внеоборотными в 2,5 раза.
Увеличение стоимости оборотных активов предприятия говорит, в свою
очередь, о стремлении предприятия к расширению бизнеса, к распределению на
основание новых подразделений, создание дочерних предприятий, и соответственно,
указывает на укрепление финансового положения на рынке.
Основная часть оборотных активов занимает статья запасы и в 2011 году
произошел рост запасов на 18,41%, а именно готовой продукции. Увеличение
остатков на складе говорит о неправильном составлении планов продаж и
неграмотном расчете необходимого количества остатков товара на складе. На фоне
сокращения собственных средств предприятия на 14,86% и увеличения заемных на
29,78%, можно говорить о негативной тенденции в области использования денежных
ресурсов предприятия.
Увеличение кредиторской задолженности без ее необходимого использования
может привести к не ликвидности и неплатежеспособности предприятия, что в свою
очередь может привести к банкротству.
Таблица 2.4 Анализ
структуры и динамики активов и пассивов предприятия "Забавский и К"
|
Агрегированные
величины
|
Абсолютные
величины, тыс. руб.
|
Удельные веса,
% к итогу
|
Изменения
|
|
2010
|
2011
|
2010
|
2011
|
В абс.
величинах, тыс. руб
|
В удельных
величинах
|
|
АКТИВ
|
103839
|
125361
|
100,00%
|
100,00%
|
21522,00
|
20,73%
|
|
1. Внеоборотные
активы
|
33286
|
35571
|
32,06%
|
2285,00
|
6,86%
|
|
2. Оборотные
активы
|
70553
|
89790
|
67,94%
|
71,63%
|
19237,00
|
27,27%
|
|
2.1. Запасы
|
57848
|
68500
|
55,71%
|
54,64%
|
10652,00
|
18,41%
|
|
2.2. Денежные
средства, расчеты и прочие оборотные активы
|
2170
|
6310
|
2,09%
|
5,03%
|
4140,00
|
190,78%
|
|
ПАССИВ
|
103839
|
125361
|
100,00%
|
100,00%
|
21522,00
|
20,73%
|
|
1. Собственные
средства
|
21069
|
17938
|
20,29%
|
14,31%
|
-3131,00
|
-14,86%
|
|
2. Заемные
средства
|
82770
|
107423
|
79,71%
|
85,69%
|
24653,00
|
29,78%
|
|
2.1.
Долгосрочные кредиты и займы
|
62301
|
58895
|
60,00%
|
46,98%
|
-3406,00
|
-5,47%
|
|
2.2.
Краткосрочные кредиты и займы
|
20469
|
48528
|
19,71%
|
38,71%
|
28059,00
|
137,08%
|
Для оценки деловой активности, рентабельности, платежеспособности и
ликвидности ниже приведены таблицы с соответствующими коэффициентами, которые
позволяют оценить предприятие по данным показателям в краткосрочной перспективе
(табл. 2.5, табл. 2.6, табл. 2.7).
Деловая активность проявляется в динамике развития организации и
достижении поставленных целей. Об этом количественно позволяют судить
абсолютные и относительные стоимостные показатели.
Оборачиваемость средств - это средняя продолжительность их кругооборота,
измеряемая скоростью возврата средней за отчетный период суммы средств
организации в денежную форму.
Оборот средств организации находится в прямой зависимости от величины
задействованного капитала и, соответственно, связан с размером платы за
используемые заемные средства. Чем меньше задействован капитал, тем скорее он
обернется и превратится в денежную форму. Соответственно, чем меньше
задействован заемный капитал, тем меньше размер платы за его использование
В целом, показатели деловой активности (оборачиваемости) помогают
определить, насколько эффективно организация использует имеющиеся у нее
средства, сколько раз за период успевает использовать одни и те же активы.
Общий коэффициент оборачиваемости активов (КОА) характеризует
эффективность использования всех имеющихся в его распоряжении ресурсов, то есть
отражает скорость оборота всего капитала. Рост данного коэффициента в 2011 году
свидетельствует об ускорении кругооборота средств предприятия, что является для
него положительной тенденцией.
Следует отметить понижение коэффициента оборачиваемости собственного
капитала (КОСК). Его спад показывает недостаточный объем реализации,
неэффективность, нерациональное использование.
По данным анализа деловой активности можно сделать вывод, что ООО
"Забавский и К" за период с 2009 по 2011 старалось увеличить свою
деловую активность, но в 2011 году произошел спад по некоторым показателям,
вследствие которого предприятию не удалось преуспеть в этом.
Анализ деловой активности тесно связан с анализом рентабельности (табл.
2.6). Прежде всего, можно сказать, что основные показатели рентабельности в
течение трех лет с 2009-го по 2011 г. были относительно стабильны .
Стабильность рассматриваемых показателей связана с тем, что компания существует
на рынке давно и зарекомендовала себя как надежный контрагент. В 2011 г.
произошло небольшое снижение всех показателей, что было вызвано внутренними
условиями (изменение структуры компании, открытие дополнительного
подразделения).
Таблица 2.5 Анализ деловой активности ООО "Забавский и К"
|
Показатели
|
Год
|
Отклонение 2011
к 2010, (+/_) тыс. руб.
|
Изменение суммы
2011 к 2010, %
|
|
2009, тыс.руб.
|
2010, тыс. руб.
|
2011, тыс. руб.
|
|
|
|
1. Коэффициент
оборачиваемости активов, Коа
|
2,49
|
2,77
|
2,35
|
-0,42
|
84,85
|
|
2. Коэффициент
оборачиваемости основных средств, Коос
|
8,60
|
10,43
|
9,88
|
-0,56
|
94,66
|
|
3. Коэффициент
оборачиваемости собственного капитала, Коск
|
11,20
|
13,67
|
16,45
|
2,78
|
120,31
|
|
4. Коэффициент
оборачиваемости дебиторской задолженности, Кодз
|
30,00
|
38,10
|
27,14
|
-10,96
|
71,24
|
|
5. Коэффициент
оборачиваемости кредиторской задолженности, Кокз
|
30,52
|
18,39
|
6,91
|
-11,48
|
37,58
|
|
6. Коэффициент
оборачиваемости материально-производственных запасов, Коз
|
4,78
|
4,98
|
4,31
|
-0,67
|
86,50
|
Таблица 2.6 Анализ рентабельности ООО "Забавский и К"
|
Показатели
|
Год
|
Отклонение 2011
к 2010, (+/_) тыс. руб
|
Изменение суммы
2011 к 2010, %
|
|
2009, тыс.руб.
|
2010, тыс. руб.
|
2011, тыс. руб.
|
|
|
|
1.
Рентабельность реализованной продукции, Ррп %;
|
10,23
|
12,37
|
13,65
|
1,29
|
110,40
|
|
2.
Рентабельность активов, Ра %;
|
14,75
|
15,03
|
12,13
|
-2,90
|
80,71
|
|
3.
Рентабельность собственного капитала, Рск %
|
66,27
|
74,08
|
69,36
|
-4,72
|
93,63
|
|
4.
Рентабельность продаж, Рпр %
|
8,74
|
10,45
|
11,29
|
0,84
|
108,04
|
Рассмотрим так же ликвидность нашей организации, для этого рассмотрим ликвидность
балланса и расчитаем основные показатели ликвидности (табл. 2.7).
Таблица 2.7 Анализ ликвидности балланса ООО "Забавский и К"
|
Показатели
|
Год
|
Отклонение 2011
к 2010, (+/_) сумма
|
Изменение суммы
2011 к 2010, %
|
|
2009, тыс. руб.
|
2010, тыс. руб.
|
2011, тыс.руб.
|
|
|
|
1. Наиболее
ликвидные активы (А1)
|
1790,00
|
2170,00
|
6310,00
|
4140,00
|
290,78
|
|
2.
Быстрореализуемые активы (А2)
|
7800,00
|
7560,00
|
10870,00
|
3310,00
|
143,78
|
|
3.
Медленнореализуемые активы (А3)
|
51309,00
|
60823,00
|
72610,00
|
11787,00
|
119,38
|
|
4. Труднореализуемые
активы (А4)
|
32985,00
|
33286,00
|
35571,00
|
2285,00
|
106,86
|
|
5. Наиболее
срочные обязательства (П1)
|
7666,00
|
15661,00
|
42690,00
|
27029,00
|
272,59
|
|
6.
Краткосрочные пассивы (П2)
|
7558,00
|
4608,00
|
5788,00
|
1180,00
|
125,61
|
|
7. Долгосрочные
пассивы (П3)
|
57463,00
|
62301,00
|
58895,00
|
-3406,00
|
0,00
|
|
8. Постоянные
пассивы (П4)
|
21197,00
|
21269,00
|
17988,00
|
-3281,00
|
84,57
|
Баланс считается абсолютно ликвидным, если выполняются следующие
неравенства:
А1 ≥ П1
А2 ≥ П2
А3 ≥ П3
А4 ≤ П4
На основании данных из табл. 2.7 составим неравенства ликвидности
на 2009-2011 год (табл. 2.8).
Таблица 2.8 Неравенства ликвидности за 2009-2011
год
|
2009 год
|
2010 год
|
2011 год
|
|
А1 < П1
|
А1 < П1
|
А1 < П1
|
|
А2 > П2
|
А2 > П2
|
А2 > П2
|
|
А3 < П3
|
А3 < П3
|
А3 > П3
|
|
А4 > П4
|
А4 > П4
|
А4 > П4
|
Можно сказать, что наш баланс на конец 2011 года считается не ликвидным,
так как не выполняются все условия.
Ликвидность организации - наличие у организации оборотных средств, в
размере, достаточном для погашения краткосрочных обязательств хотя бы и с
нарушением сроков погашения, предусмотренных контрактами.
Для более качественной и комплексной оценки ликвидности организации, кроме абсолютных показателей
ликвидности баланса, целесообразно использовать финансовые коэффициенты. Цель
расчета коэффициентов ликвидности - оценить соотношение различных видов
оборотных активов и краткосрочных обязательств для их возможного последующего
погашения. Расчет коэффициентов основывается на том, что различные виды
оборотных активов имеют различную степень ликвидности в случае их возможной
реализации. Поэтому, для оценки ликвидности и платежеспособности используются
показатели, которые различаются исходя из порядка включения их в расчет
ликвидных средств, рассматриваемых в качестве покрытия краткосрочных
обязательств.
Таблица 2.9 Анализ показателей ликвидности и
платежеспособности
|
Показатели
|
Год
|
Отклоне-ние
2011 к 2010, (+/_)
|
Оптималь-ное
значение
|
Изменение суммы
2011 к 2010, %
|
|
2010
|
2011
|
|
|
|
|
1. Общий
коэффициент ликвидности баланса Кобщ_л
|
0,66
|
0,53
|
-0,13
|
1-2,5
|
80,30
|
|
2. Коэффициент
абсолютной ликвидности Кабс_л
|
0,11
|
0,13
|
0,02
|
0,2-0,5
|
122,65
|
|
3. Коэффициент
срочной ликвидности Кабс_л
|
0,48
|
0,35
|
-0,12
|
0,7-1
|
74,48
|
|
4. Коэффициент
текущей ликвидности Ктл_л
|
3,45
|
1,85
|
-1,60
|
2-3,5
|
53,68
|
|
5. Коэффициент
ликвидности при мобилизации средств Клмс_л
|
2,85
|
1,41
|
-1,44
|
0,5-0,7
|
49,51
|
|
6. Коэффициент
общей платежеспособности Кобщ_пл
|
1,00
|
1,00
|
0,00
|
> 2
|
99,85
|
|
7. Коэффициенты
восстановления (утраты) Квос(утр)
|
1,60
|
0,53
|
-1,08
|
> 1
|
32,78
|
|
8. Коэффициент
собственной платежеспособности Кс_пл
|
-0,60
|
-0,36
|
0,24
|
> 0,1
|
60,35
|
Коэффициент абсолютной ликвидности, являющийся наиболее жестким критерием
платежеспособности, на конец анализируемого периода составил 0,13, что не
соответствует его нормативному значению. То есть предприятие по состоянию на
01.01.12 г. не способно погасить 100% краткосрочных заемных обязательств
немедленно, что является крайне негативным моментом. Значение промежуточного коэффициента покрытия с 0,48 на
начало 2010 года сократилось до 0,35 в 2011 году, что ниже нормативного
значения. То есть, за счёт дебиторской задолженности предприятие не сможет
погасить 100% кредиторской задолженности. Но в целом значение данного
промежуточного коэффициента можно назвать прогнозным, так как предприятие не
может точно знать, когда и в каком количестве дебиторы погасят свои
обязательства.
Коэффициент текущей ликвидности Ктл - показывает достаточность оборотных
средств у организации для покрытия своих краткосрочных обязательств. В нашем
случае, коэффициент текущей ликвидности на протяжении всего анализируемого
периода не соответствует нормативному значению. Таким образом, показатели ликвидности не соответствуют минимальному
значению, находятся на уровне значительно ниже нормы. Следует отметить, что по
сравнению с 2009 годом общая ликвидность средств предприятия ухудшилась.
Платежеспособность означает наличие у организации денежных средств,
достаточных для расчетов по кредиторской задолженности, требующей немедленного
погашения. Организация считается платежеспособной, если имеющиеся у нее
денежные средства, краткосрочные финансовые вложения (ценные бумаги, временная
финансовая помощь другим организациям) и активные расчеты (расчеты с
дебиторами) покрывают ее краткосрочные обязательства (краткосрочные кредиты и
займы, кредиторскую задолженность).
Коэффициент общей платежеспособности в нашем случае показывает, что
предприятие не способно покрыть все свои обязательства (краткосрочные и
долгосрочные) всеми имеющимися активами.
Так как коэффициент утраты платежеспособности ООО "Забавский и
К" ниже 1, то у предприятия отсутствует тенденция утраты
платежеспособности в течение трех месяцев.
Коэффициент собственной платежеспособности, который меньше нормы
показывает, что организация не способна возместить за счет чистых оборотных
активов свои краткосрочные долговые обязательства.
Показатель индивидуален для каждой организации и зависит от специфики ее
производственно-коммерческой деятельности.
Необходимый уровень платежеспособности организации определяется
структурой и состоянием ее активов и пассивов. По приведенным коэффициентам
можно определить структуру оборотных активов, обеспечивающую платежеспособность
организации, и соотношения срочных обязательств с конкретными видами оборотных
средств.
Минимальные значения: коэффициента абсолютной ликвидности - 0,2;
коэффициента критической ликвидности - 0,7; коэффициента текущей ликвидности -
2,0. Отсюда оптимальная структура оборотных активов, обеспечивающая
платежеспособность организации:
- денежные средства и краткосрочные финансовые вложения
должны составлять 10% всех оборотных средств организации;
- дебиторская задолженность - 25% (35% - 10%);
- материальные оборотные средства - 65% (100% - 35%).
Если рассматривать наше предприятие, то денежные средства и краткосрочные
финансовые вложения составляют 7% всех оборотных средств организации,
дебиторская задолженность - 12%, материальные оборотные средства - 76%.
В связи с этим структура баланса ООО "Забавский и К" может
считаться удовлетворительной, но при этом предприятие не является
платежеспособным, ликвидным.
2.2 Анализ финансовой устойчивости ООО "Забавский и К"
Устойчивое финансовое состояние предприятия - итог грамотного управления
комплексом факторов, определяющих результат хозяйственной деятельности.
Оценка финансовой устойчивости предприятия - это изучение ключевых параметров
и коэффициентов, дающих объективную картину его финансового состояния.
Результаты анализа позволяют выявить уже существующие и только
наметившиеся проблемы и привлечь к ним внимание руководства или собственников.
Рассмотрим показатели коэффициентного анализа структуры капитала организации
(табл.2.10).
Коэффициент финансовой независимости показывает, что весь заемный капитал
не покрывается собственностью организации.
Коэффициент финансовой устойчивости показывает, что 61% активов
финансируется из устойчивых источников.
Коэффициент финансового рычага превышает 1,0, по выработанной зарубежной
практике считается, что финансовая независимость и устойчивость анализируемой
организации достигает критической точки, однако в нашем случае все зависит от
характера деятельности и специфики предприятия. Коэффициент заемного финансирования - является обратным к
коэффициенту капитализации и показывает, что на 1 рубль собственных средств
приходится 4 рубля заемных источников.
Таблица 2.10 Показатели финансовой устойчивости
"Забавский и К"
|
Показатели
|
Год
|
Оптимальное
значение
|
Отклонение 2011
к 2010, (+/_)
|
|
2009
|
2010
|
2011
|
|
|
|
1. Коэффициент
финансовой независимости
|
0,22
|
0,20
|
0,14
|
0,4 - 0,6
|
-0,06
|
|
2. Коэффициент
финансовой устойчивости
|
0,83
|
0,80
|
0,61
|
> 0,6
|
-0,19
|
|
3. Коэффициент
финансового рычага
|
3,49
|
3,93
|
5,99
|
< 1,5
|
2,06
|
|
4. Коэффициент
заемного финансирования
|
0,29
|
0,25
|
0,17
|
> 0,7
|
-0,09
|
|
5. Коэффициент
обеспеченности собственными источниками финансированиял
|
-0,20
|
-0,17
|
-0,20
|
> 0,6
|
-0,02
|
|
6. Коэффициент
финансовой независимости в части формирования запасов и затрат
|
-0,24
|
-0,20
|
-0,24
|
> 0,6
|
-0,04
|
|
7. Коэффициент
маневренности собственного капитала
|
-0,58
|
-0,58
|
0,2 - 0,5
|
-0,40
|
|
8. Индекс
постоянного актива
|
0,35
|
0,32
|
0,28
|
> 0
|
-0,04
|
|
9. Наличие
собственных оборотных средств
|
-12088
|
-12217
|
-17633
|
> 0
|
-5416
|
|
10. Наличие
собственных и долгосрочных источников финансирования
|
45375
|
50084
|
41262
|
> 0
|
-8822
|
|
11. Общая
величина основных источников формирования запасов
|
60899
|
70553
|
89790
|
> 0
|
19237
|
|
ΔСОС
|
-61047
|
-70065
|
-86133
|
> 0
|
|
|
ΔСДИ
|
-3584
|
-7764
|
-27238
|
> 0
|
|
|
ΔОИЗ
|
11940
|
12705
|
21290
|
> 0
|
|
|
Значение
трехкомпонентного показателя
|
(0;0;1)
|
(0;0;1)
|
(0;0;1)
|
(1;1;1)
|
|
Коэффициент обеспеченности собственными источниками финансирования
показывает, что лишь 17% оборотных активов финансируется за счет собственных
средств. В нашем случае организация достигает
критического финансового состояния, так как коэффициент имеет значение менее
0,1.
Коэффициент финансовой независимости в части формирования запасов и
затрат меньше нормы, поэтому финансовое состояние организации неустойчивое,
поскольку возникает необходимость привлекать заемный капитал для формирования
запасов в связи с дефицитом собственных средств.
Коэффициент маневренности собственного капитала низкий, что говорит о
том, что значительная часть собственных средств организации направлена на
финансирование внеобортных активов и иные статьи, чья ликвидность является
невысокой.
Таким образом, из табл. 2.10 мы видим, что предприятие принадлежит к
третьему типу финансовой устойчивости - имеет неустойчивое финансовое
состояние, так как не выполняется условие (1;1;1).
При неустойчивом финансовом состоянии возрастает риск
неплатежеспособности.
Тем не менее, сохраняется возможность восстановления равновесия за счет
дополнительного привлечения собственных средств, сокращения дебиторской
задолженности и ускорения оборачиваемости запасов, и соответственно уменьшения
остатков на складе готовой продукции.
Рассмотрим также аналитическую таблицу анализа обеспеченности организации
материальными оборотными средствами (табл. 2.11).
По табл. 2.11 мы видим, что на начало 2012 года существует недостаток
собственных оборотных средств, недостаток собственных
и долгосрочных заемных источников финансирования, что для предприятия
является негативной тенденцией. Тем более что на фоне вышеуказанного существует
излишек источников формирования запасов, что
усугубляет положение предприятия, так как при неправильном формировании
остатков на складе возникает возможность некорректного распределения
собственных средств предприятия.
Таблица 2.11 Анализ обеспеченности материальных
запасов собственными оборотными средствами
|
№ п/п
|
Показатели
|
2010, тыс. руб.
|
2011, тыс.руб.
|
Изменения
|
|
|
|
|
|
|
|
|
|
|
|
1
|
2
|
3
|
4
|
5
|
|
1
|
Собственный
капитал
|
21069
|
17938
|
-3131
|
|
2
|
Внеоборотные
активы
|
33286
|
35571
|
2285
|
|
3
|
Наличие
собственных оборотных средств (стр. 1 - стр. 2)
|
-12217
|
-17633
|
-5416
|
|
4
|
Долгосрочные
обязательства
|
62301
|
58895
|
-3406
|
|
5
|
Наличие
собственных и долгосрочных заемных источников финансирования (стр. 3 + стр.
4)
|
50084
|
41262
|
-8822
|
|
6
|
Краткосрочные
обязательства
|
20469
|
48528
|
28059
|
|
7
|
Общая величина
основных источников формирования запасов (стр. 5 + стр. 6)
|
70553
|
89790
|
19237
|
|
8
|
Общая величина
запасов (З)
|
57848
|
68500
|
10652
|
|
9
|
Излишек или
недостаток собственных оборотных средств (ΔСОС = стр. 3 - стр. 8)
|
-70065
|
-86133
|
-16068
|
|
10
|
Излишек или
недостаток собственных и долгосрочных заемных источников финансирования (ΔСДИ = стр. 5 - стр. 8)
|
-7764
|
-27238
|
-19474
|
|
11
|
Излишек или
недостаток основных источников формирования запасов (ΔОИЗ = стр. 7 - стр. 8)
|
12705
|
21290
|
8585
|
|
12
|
Тип финансовой
устойчивости
|
(0;0;1)
|
(0;0;1)
|
(0;0;1)
|
Рассмотрим также бальную оценку финансовой устойчивости (табл.2.12).
Из табл. 2.12 можно увидеть, что предприятие принадлежит к четвертому
классу финансовой устойчивости, организация имеет финансовое состояние, близкое
к банкротству.
Таблица 2.12 Бальная оценка показателей финансовой
устойчивости организации за 2010 - 2011 год
|
Показатель
финансового состояния
|
2010 Значение
|
Оценка
показателей в зависимости от их значений, баллы
|
2011 Значение
|
Оценка
показателей в зависимости от их значений, баллы
|
|
Коэффициент
абсолютной ликвидности
|
0,11
|
4
|
0,13
|
4
|
|
Коэффициент
срочной ликвидности
|
0,48
|
0
|
0,35
|
0
|
|
Коэффициент
текущей ликвидности
|
3,45
|
16,5
|
1,85
|
16,5
|
|
Коэффициент
обеспеченности собственными источниками финансирования
|
0,17
|
3
|
0,20
|
6
|
|
Коэффициент
финансовой независимости
|
0,20
|
0
|
0,14
|
0
|
|
Коэффициент
финансовой независимости в части формирования запасов и затрат
|
0,20
|
0
|
0,24
|
0
|
|
Всего
|
|
23,5
|
|
26,5
|
Из табл. 2.12 можно сделать вывод, что у организации наблюдаются
постоянные проблемы с платежеспособностью, структура капитала
неудовлетворительна, практически отсутствует возможность привлечения
стабилизационного кредита, прибыль минимальна или отсутствует. Риск
взаимоотношений партнеров с данной организацией весьма велик.
.3 Программно-информационное обеспечение и экономическая
безопасность предприятия
Информационная система - система, элементами которой являются те или иные
виды данных, которые взаимодействуют и преобразуются в процессе ее
функционирования. Основные функции информационной системы: сбор, хранение,
накопление, поиск, передача данных, применяемых в процессе управления,
планирования и организации производства.
В процессе написания работы использовался ПК типа IBM PC на базе
процессора Intel Pentium 4, оснащенный операционной системой Windows XP
Proffessional. В процессе написания дипломной работы В частности применялись
приложения Microsoft Office Word (текстовый редактор), Microsoft Office Excel
(электронные таблицы), приложение для доступа в Интернет Opera.
Экономическая безопасность предприятия - это состояние его защищенности
от негативного влияния внешних и внутренних угроз, дестабилизирующих факторов,
при котором обеспечивается устойчивая реализация основных коммерческих
интересов и целей уставной деятельности.
Для каждого предприятия "внешние" и "внутренние"
угрозы сугубо индивидуальны. Вместе с тем, на наш взгляд, указанные категории
включают отдельные элементы, которые приемлемы практически к любому субъекту
хозяйственной деятельности.
К внешним угрозам и дестабилизирующим факторам можно отнести
противоправную деятельность криминальных структур, конкурентов, фирм и частных
лиц, занимающихся промышленным шпионажем либо мошенничеством, несостоятельных
деловых партнеров, ранее уволенных за различные проступки сотрудников
предприятия, а также правонарушения со стороны коррумпированных элементов из
числа представителей контролирующих и правоохранительных органов.
Функциональные составляющие внешней экономической безопасности ООО
"Забавский и К" состоит из следующих элементов:
. Организована служба безопасности, хед-офис находится на
закрытой, охраняемой территории, на которой ведется видеонаблюдение;
. При принятии на работу сотрудников проводится полная проверка
предоставляемых данных;
. Предприятие пользуется услугами профессионального юриста;
К внутренним угрозам и дестабилизирующим факторам относятся действия или
бездействия (в том числе умышленные и неумышленные) сотрудников предприятия,
противоречащие интересам его коммерческой деятельности, следствием которых
могут быть нанесение экономического ущерба компании, утечка или утрата
информационных ресурсов (в том числе сведений, составляющих коммерческую тайну
и / или конфиденциальную информацию), подрыв ее делового имиджа в
бизнес-кругах, возникновение проблем во взаимоотношениях с реальными и
потенциальными партнерами (вплоть до утраты важных контрактов), конфликтных
ситуаций с представителями криминальной среды, конкурентами, контролирующими и
правоохранительными органами, производственный травматизм или гибель персонала
и т.д.
Функциональные составляющие внутренней экономической безопасности ООО
"Забавский и К":
. При приеме на работу, сотрудником имеющим доступ к внутренней
информации организации, подписывается документ о неразглашении коммерческой
тайны;
. Также подписывается документ о материальной ответственности;
. Документ по технике безопасности.
3. Разработка мероприятий по повышению финансовой устойчивости
3.1
Мероприятия, направленные на повышение финансовой устойчивости
При неустойчивом финансовом состоянии возрастает риск
неплатежеспособности. Тем не менее, сохраняется возможность восстановления
равновесия за счет дополнительного привлечения собственных средств, сокращения
дебиторской задолженности и ускорения оборачиваемости запасов. Пределом
финансовой неустойчивости является кризисное состояние организации. Этот предел
проявляется в том, что наряду с нехваткой средств из "нормальных"
источников покрытия запасов и затрат (к их числу может относиться часть
внеоборотных активов, просроченная задолженность и т.д.) организация имеет
убытки, непогашенные обязательства.
Кроме того, следует отметить, что финансовая неустойчивость считается
допустимой, если величина привлекаемых для формирования запасов и затрат
краткосрочных кредитов и заемных средств не превышает суммарной стоимости
производственных запасов и готовой продукции (наиболее ликвидной части запасов
и затрат).
Если указанные условия не выполняются, то финансовая неустойчивость
является недопустимой и отражает склонность организации к существенному
ухудшению финансового состояния.
Для улучшения финансовых результатов предприятия необходимо:
Повысить уровень устойчивости финансово-экономического положения за счет
организации мер по обеспечению платежной дисциплины потребителей, эффективной
работы на оптовом рынке, совершенствования управления финансовыми ресурсами;
Увеличить прибыльности продаж;
Стабилизировать поток денежной наличности, и, как следствие, улучшить
показатели абсолютной ликвидности баланса и рентабельности;
Пути увеличения прибыли предприятия;
Рост доходов от реализации (выручки) продукции;
Снижение избыточных запасов на складах.
Для этого необходимо разработать мероприятия по повышению финансовой
устойчивости предприятия:
) Снижение запасов на складах дистрибьютора;
) Перераспределение продаж по сегментам.
Проведенные изменения позволят изменить состав и структуру активов
предприятия, что в свою очередь повлияет на динамику финансовых показателей,
характеризующих финансовую устойчивость ООО "Забавский и К".
3.2 Экономическое
обоснование предложений (прогноз изменения финансовой устойчивости предприятия)
Снижение запасов на складах
Избыток запасов - это отвлеченные из оборота средства и расходы на
содержание больших складских площадей, а недостаток - риск потери покупателей и
снижения выручки.
На конец 2011 года товарный запас составил 68500 тыс.руб, в результате
некорректного планирования закупок был обнаружен перезапас.
Наш товарный запас для оптимизации продаж и фактического расчета
необходимых остатков нужно разделить на 2 части:
) Основной запас, который служит для обеспечения продаж в соответствии с
планом. Состоит из двух основных частей:
рабочий запас - товарный запас на выполнение плана. Его размер зависит от
того, какими партиями поступает товар от поставщика;
страховой запас создается для того, чтобы компенсировать
неопределенности, связанные с возможным увеличением фактических продаж сверх
плана или с задержками поставок.
) Временный товарный запас создается на конкретный срок и состоит из трех
основных типов:
сезонный запас. В период сезонного роста потребления на рынке у
поставщиков наблюдаются перебои с наличием товара. Чтобы избежать отсутствия
товара на складе, нужно создать избыточный запас по наиболее критичным товарам
и в течение сезона его реализовать;
маркетинговый запас. В период проведения маркетинговых акций по товару
есть необходимость обеспечить его наличие в избыточном количестве. В процессе
акции эти запасы реализуются;
конъюнктурный запас. Поставщики нередко закрывают производство на профилактику,
повышают цены и т. п. Можно получить значительную прибыль, если иметь товар в
наличии по старым ценам в тот момент, когда он уже закончится у конкурентов.
) Вынужденный запас возникает вне зависимости от желания компании и ее
сотрудников. К нему относятся неликвидные товары (товары нормального качества,
но в объеме, который трудно относительно быстро реализовать), бракованные
товары.
По договору между ООО "Забавский и К" и ООО " ОПХ"
остаток на складе дистрибьютора должен составлять не менее 15 дней продаж
текущего месяца. Тогда рассчитаем какой остаток в руб. будет необходим для
минимального установленного значения по договору с ООО "ОПХ".
Для этого нам необходимо найти среднемесячные продажи, а затем
необходимый запас в руб. на складе.
По отчету о прибылях и убытках наши продажи в год составили 295000 тыс.
руб., тогда найдем среднемесячные продажи:
г = ст.010 / 12 (3.1)
где Sг - стоимость средних продаж в месяц;
Sг = 24 583 тыс. руб.
Далее найдем необходимый запас на складе:
Sст = Sг + (Sг / nм) * Nдн
(3.2)
где Sст - необходимый остаток на складе;г -
стоимость средних продаж в месяц;м - среднее количество дней в
месяце;дн - количество необходимых дней остатка на складе.
Sст = Sг + (Sг / nм) * Nдн
= 24 583 + (24 583/30) * 15 = 36 875 тыс. руб.
Получилось что, с учетом снижения запасов до оптимального складского
остатка, образуется излишек источников финансирования для формирования активов
в размере 31 625 тыс. руб. (125 361 - 93 736).
Следовательно, ООО "Забавский и К" может погасить часть кредиторской
задолженности. На основе этих посылок составим уточненный прогнозный баланс.
На основе приведенного прогнозного баланса рассчитаем прогнозные
показатели финансовой устойчивости ООО "Забавский и К" на 2012 год.
Из приведенных табл.3.1 и табл.3.2, можно сделать вывод, что ООО
"Забавский и К" на 2012 год может значительно улучшить свое
финансовое состояние за счет контроля постоянного фактически необходимого по
договору с заводом остатка на складе, и правильного формирования заказов.
Таблица 3.1 Уточненный прогнозный баланс ООО
"Забавский и К" на 2012 год
|
Агрегированные
величины
|
Абсолютные
величины, тыс. руб.
|
Изменения, в
абсол. величинах
|
|
2011 г
|
2012 г
|
|
|
Актив
|
125361
|
125361
|
0
|
|
1. Внеоборотные
активы
|
35571
|
35571
|
0
|
|
2. Оборотные
активы
|
89790
|
89790
|
0
|
|
2.1. Запасы
|
68500
|
36875
|
-31625
|
|
2.2. Денежные
средства, расчеты и прочие оборотные активы
|
6310
|
37935
|
31625
|
|
Пассив
|
125361
|
125361
|
0
|
|
1. Собственные
средства
|
17938
|
49563
|
31625
|
|
2. Заемные
средства
|
107423
|
107423
|
0
|
|
2.1.
Долгосрочные кредиты и займы
|
58895
|
58895
|
0
|
|
2.2.
Краткосрочные кредиты и займы
|
48528
|
16903
|
-31625
|
Таблица 3.2 Прогноз показателей финансовой
устойчивости ООО "Забавский и К" на 2012 г.
|
Показатели
|
Год
|
Оптимальное
значение
|
|
2011
|
2012
|
|
|
1. Коэффициент
финансовой независимости
|
0,14
|
0,40
|
0,4 - 0,6
|
|
2. Коэффициент
финансовой устойчивости
|
0,61
|
0,87
|
> 0,6
|
|
3. Коэффициент
финансового рычага
|
5,99
|
1,53
|
< 1,5
|
|
4. Коэффициент
заемного финансирования
|
0,17
|
0,65
|
> 0,7
|
|
5. Коэффициент
обеспеченности собственными источниками финансирования
|
-0,20
|
0,16
|
> 0,6
|
|
6. Коэффициент
финансовой независимости в части формирования запасов и затрат
|
-0,24
|
0,34
|
> 0,6
|
|
7. Коэффициент
маневренности собственного капитала
|
-0,98
|
0,28
|
0,2 - 0,5
|
|
8. Индекс
постоянного актива
|
0,28
|
0,28
|
|
|
9. Наличие
собственных оборотных средств
|
-17633
|
13992
|
> 0
|
|
10. Наличие
собственных и долгосрочных источников финансирования
|
41262
|
72887
|
> 0
|
|
11. Общая
величина основных источников формирования запасов
|
89790
|
89790
|
> 0
|
|
ΔСОС
|
-86133
|
-22883
|
1,00
|
|
ΔСДИ
|
-27238
|
36012
|
1,00
|
|
ΔОИЗ
|
21290
|
52915
|
1,00
|
|
Значение
трехкомпонентного показателя
|
(0;0;1)
|
(0;1;1)
|
(1;1;1)
|
Перераспределение продаж по сегментам
В отчетном периоде предприятие стало работать менее эффективно, т.к.
прибыль от продаж уменьшилась на 20%. Основной причиной для этого послужило
увеличение на 14% коммерческих и на 35,87% управленческих расходов. Рост
себестоимости продукции на 2% произошел в основном за счет повышения цен на
сырье и материалы. Кроме этого, на сумму прибыли оказали отрицательное влияние
негативные сдвиги в распределении каналов продаж по сегментам.
Следовательно, резервами роста прибыли предприятия являются рост объема
продаж, увеличение доли продаж более рентабельных сегментов в общем объеме
реализации и снижение себестоимости товаров, работ и услуг.
Уровень рентабельности активов в 2011 г. снизился на 19%. На снижение
уровня рентабельности активов в 2011 г. повлияло в значительной степени
снижение суммы чистой прибыли предприятия. В то же время рост средней стоимости
основных средств, других внеоборотных активов, а также оборотных активов снизил
уровень рентабельности активов.
За период с 2009 г. по 2011 год снизился уровень продаж по сегменту
розницы, и в основном это произошло из-за увеличения продаж по сегменту опта.
Наценка по сегментам имеет следующий вид:
Оптовым клиентам реализуют продукцию с наценкой 10%;
Рознице реализуют продукцию с наценкой 23,5%;
Сетям (ключевые клиенты) с наценкой 23%;
Хорека (бары, рестораны, кафе и др. общепит) с наценкой 23%.
Так как наценка на опт ниже, чем наценка на рознице, то это оказывает существенное
влияние на чистую прибыль предприятия по основному виду деятельности. А именно,
в 2011 году сумма по продажам опта составила 73 750 тыс. руб. или 25% от
валовой выручки (Рис. 3.1).
Рис.3.1 Распределение валовой выручки по сегментам продаж
Чтобы улучшить финансовое состояние организации - необходимо улучшить
показатели прибыли. В табл.3.4 рассчитаны показатели для увеличения объёма
прибыли.
Таблица 3.4 Прогноз увеличения прибыли ООО
"Забавский и К"
|
Показатели
|
2011
|
2012
|
Изменение
|
|
1. Выручка, в
т.ч.
|
295000
|
304051
|
9051
|
|
Опт
|
73750
|
0
|
-73750
|
|
Розница
|
177000
|
259801
|
82801
|
|
Сети
|
38350
|
38350
|
0
|
|
Хорека
|
5900
|
5900
|
0
|
|
2.
Себестоимость
|
243860
|
243240
|
-620
|
|
3. Валовая
прибыль
|
51140
|
60810
|
9670
|
|
4.
Управленческие расходы
|
7800
|
7800
|
0
|
|
5. Коммерческие
расходы
|
10041
|
10579
|
538
|
|
6. Прибыль
(убыток) от продаж
|
33299
|
42431
|
9132
|
При сокращении продаж по сегменту опта 73 750 тыс. руб. сумма прибыли от
продаж увеличивается на 29%. Чистая прибыль при оптимизации составляет 21 573
тыс. руб.
Таблица 3.5 Прогнозные показатели рентабельности
|
Показатели
|
Год
|
Год
|
Изменение
|
|
2011
|
2012
|
|
|
2.
Рентабельность активов, Ра %;
|
12,13
|
17,64
|
145,39
|
|
4.
Рентабельность продаж, Рпр %
|
11,29
|
41,23
|
365,26
|
Рентабельность продаж показывает, что 41,23% прибыли содержится в каждом
заработанном рубле.
Рентабельность активов (иначе - рентабельность имущества) составит 17,64%.
Общая оценка финансовой устойчивости предприятия основывается на целой
системе показателей, характеризующих структуру источников формирования капитала
и его размещения, равновесие между активами предприятия и источниками их
формирования, эффективность и интенсивность использования капитала,
платежеспособность и кредитоспособность предприятия, его инвестиционную
привлекательность и т.д.
Можно сделать вывод, что предложенные мероприятия
позволят предприятию улучшить финансовую устойчивость.
Заключение
В данной дипломной работе были изучены теоретические вопросы управления
финансовым состоянием предприятия, проведен финансовый анализ предприятия, так
же была поставлена цель разработать мероприятия по повышению финансовой
устойчивости на примере ООО "Забавский и К".
Для достижения поставленной цели нами были сформулированы следующие
задачи:
выявить теоретические основы анализа финансовой устойчивости организации;
дать характеристику методам анализа финансовой устойчивости предприятия;
- проанализировать экономико-финансовую деятельность предприятия;
- выявить уровень финансовой устойчивости предприятия;
разработать методы по повышению финансовой устойчивости предприятия.
Предметом исследования является совокупность финансово-экономических
отношений по поводу формирования уровня финансовой устойчивости организации.
Проанализировав достаточно большой набор имеющихся коэффициентов
финансовой устойчивости, можно ограничиться следующими показателями:
коэффициент финансовой независимости;
коэффициент финансовой устойчивости;
коэффициент финансового рычага;
коэффициент финансирования;
коэффициент обеспеченности собственными источниками финансирования;
коэффициент финансовой независимости в части формирования запасов и
затрат;
коэффициент маневренности собственного капитала;
индекс постоянного актива.
Для определения финансового положения предприятия используется ряд
характеристик, которые наиболее полно и точно показывают состояние предприятия
как во внутренней, так и во внешней среде.
Одной из целей финансового анализа является оценка финансового состояния
предприятия. Поскольку финансовое состояние предприятия характеризуется
совокупностью показателей, отражающих процесс формирования и использования его
финансовых средств, то в рыночной экономике оно отражает конечные результаты
деятельности предприятия.
Рассмотрены теоретические основы финансовой устойчивости и
платежеспособности предприятия, и рассмотрена данная проблема на практическом
примере.
В данной дипломной работе была проведена оценка финансовой устойчивости
ООО "Забавский и К" за 2009 -2011 годы. Цель данной оценки
заключалась в том, чтобы на основе документов бухгалтерской отчетности рассмотреть
финансовое состояние общества в аспекте его финансовой независимости от внешних
источников.
Проведенный анализ финансово-экономического состояния в динамике за три
года, позволяет сделать ряд следующих выводов об основных положительных
моментах развития предприятия и о его проблемах:
В структуре активов наибольшими темпами выросли оборотные активы (что
обусловлено увеличением большого остатка запасов). Наиболее ликвидная часть
активов - дебиторская задолженность и денежные средства - увеличились на 43,78%.
В структуре пассивов происходит увеличение доли заемного капитала предприятия
на 29,78%. При этом в структуре собственного капитала предприятия падает доля
нераспределенной прибыли.
Анализ показателей финансовой устойчивости позволил нам отнести ООО "Забавский
и К" к четвертому классу финансовой устойчивости. У организации
наблюдаются постоянные проблемы с платежеспособностью, структура капитала
неудовлетворительна, практически отсутствует возможность привлечения
стабилизационного кредита, прибыль минимальна или отсутствует.
Для разработки мероприятий по повышению финансовой устойчивости, мы
снизили объем запасов на складах дистрибьютора, а также перераспределили
продажи по сегментам.
Проведенные изменения позволили изменить состав и структуру активов предприятия,
что в свою очередь положительно повлияло на динамику финансовых показателей,
характеризующих финансовую устойчивость ООО "Забавский и К".
Список используемых источников
1. Конституция
Российской Федерации [Текст]: принята всенародным голосованием 12.12.93 г.- М.:
Юрайт, 2007.- 48с.
2. Налоговый
кодекс Российской Федерации. Части первая и вторая. [Текст]: по сост. на
30.03.12 г. -М.: Кодекс, 2009.-688с.
3. Положение
по бухгалтерскому учету "Учетная политика на предприятии" ПБУ 1/98
[Текст]: утверждено приказом Минфина РФ от 9 декабря 1998 г. - М.: Финансы и
статистика, 2004.-28 с.
4. Бобылева
А.З. Финансовые управленческие технологии [Текст]: Учебник/ А. З. Бобылева. -
М.: ИНФРА-М, 2007. - 492 с.
5. Бланк
И.А. Управление активами. [Текст]: Учебник/ И.А. Бланк. -К.: Ника - Центр,
Эльга, 2006.- 720с.
6. Бланк
И.А. Управление денежными потоками. [Текст]: Учебник/ И.А. Бланк. - К. : Ника -
Центр, Эльга, 2006. -736с.
. Бланк
И.А. Управление прибылью. [Текст]: Учебник/ И.А. Бланк. - К.: Ника - Центр,
Эльга, 2007. -752с.
8. Барнгольц
С.Б. Экономический анализ хозяйственной деятельности на современном этапе
развития. [Текст]: Учебник/ С.Б. Барнгольц. -М.: Финансы и
статистика,1984.-295с.
9. Балабонов
И.Т. Анализ и планирование финансов хозяйствующего субъекта [Текст]: Учебник/
И.Т. Балабонов. -М.: Финансы и статистика, 2006.-386с.
10. Бланк
И.А. Управление формированием капитала. [Текст]: Учебник/ И.А. Бланк. - К.:
Ника - Центр, Эльга, 2006. -512с.
11. Бланк
И.А. Управлением использованием капитала. [Текст]: Учебник/ И.А. Бланк. -К.:
Ника- Центр, Эльга, 2006.- 656с.
. Бланк
И.А. Финансовая стратегия предприятия. [Текст]: Учебник/ И.А. Бланк. -К.: Ника-
Центр, Эльга, 2007.- 720с.
. Бланк
И.А. Финансовый менеджмент. [Текст]: Учебник/ И.А. Бланк. -К.: Ника- Центр,
Эльга, 2006.- 656с.
. Донцова
Л.В. Анализ финансовой отчетности [Текст]: Учебное пособие/ Л.В.Донцова, Н.А.
Никифорова - М.: Издательство "Дело и Сервис", 2008.-336с.
. Ковалев
В. В. Финансовый анализ: методы и процедуры. [Текст]: Учебное пособие/ В. В.
Ковалев- М.: Финансы и статистика, 2007.-239с.
. Когденко
В.Г. Практикум по экономическому анализу [Текст]: Учебное пособие/ В.Г.
Когденко- М. : Финансы и статистика, 2006.- 286с.
. Ковалев
В. В. Финансовый анализ: методы и процедуры. [Текст]: Учебное пособие. / В. В.
Ковалев- М.: Финансы и статистика, 2009.-192с.
18. Макконнелл
К. Экономикс. [Текст]: Учебное пособие. / К. Макконнелл - М.: Брю. 2006. - 505с
19. Мельник
М.В., Когденко В.Г. Экономический анализ в аудите [Текст]: Учебник/ М.В.
Мельник- М.: ЮНИТА-ДАНА, 2007.- 543с.
20. Моляков
Д.С. Финансы предприятий отраслей народного хозяйства [Текст]: Учебник/ Д.С.
Моляков.- М.: Финансы и статистика, 2007. - 174с.
21. Перфильев
А.Б. Развитие и содержание современных методик анализа финансового состояния
российских предприятий по данным бухгалтерской отчётности [Текст]: Учебник/
А.Б.Перфильев. - Ярославль. МУБиНТ, 2008. - 84с.
. Поляк
Г.Б. Финансовый менеджмент [Текст]: Учебник/ Г.Б. Поляк.- М.: ЮНИТИ, 2006.
23. Савицкая
Г. В. Анализ хозяйственной деятельности предприятия [Текст]: Учебник/ Г. В.
Савицкая - Минск: ООО "Новое знание",2008.688с.
24. Савицкая
Г.В Анализ хозяйственной деятельности предприятия. [Текст]: Учебник/ Г.В.
Савицкая. - Мн.: ООО Новое знание, 2009. - 688с.
25. Савицкая
Г.В. Экономический анализ. [Текст]: Учебник/ Г.В. Савицкая.- М.: Новое знание,
2009.- 640с.
26. Селезнёва
Н.Н. Финансовый анализ. [Текст]: Учебник/ Н.Н.Селезнёва, А.Ф.Ионова. - М.:ЮНИТИ
- ДАНА, 2008. - 479с.
27. Симунина
Т.А. Анализ и диагностика финансово-хозяйственной деятельности предприятия.
[Текст]: Учебное пособие/ Т.А. Симунина. -Вологда: В0ГТУ, 2006.-215с.
28. Стоянова
Е.С. Финансовый менеджмент: теория и практика. [Текст] : Учебное пособие/ Е.С.
Стоянова - М.: Перспектива, 2008. - 656с.
29. Уткин
Э.А. Финансовый менеджмент. [Текст]: Учебник/ Э.А. Уткин. - М.: Зерцало, 2007.
- 456с.
30. Стоянова
Е.С. Финансовый менеджмент: теория и практика. [Текст]: Учебное пособие/ Е.С.
Стоянова.- М.: Изд-во "Перспектива", 2009.- 656с.
31. Финансы,
денежное обращение и кредит. [Текст]: Учебное пособие/ В.К.Сенчагов,
А.И.Архипов. - М.: ТК Велби, Проспект, 2008. - 720с.
32. Шермет
А. Д. Теория экономического анализа. [Текст]: Учебник/ А. Д. Шермет. - М.: Инфа
- М, 2008.
33. Гончаров
А. И. Оценка платежеспособности предприятия: проблема эффективности критериев
[Текст]/ А.Н. Гончаров// Экономический анализ: теория и практика.-
2005.-№3.-С.38-44.
34. Минибаева
К.А., Остапенко В.В. Обеспеченность предприятия собственными оборотными
средствами: факторы изменения [Текст]/ К.А. Минибаева // Финансовый менеджмент.
- 2006. - №4. - С. 40-47.
35. Моляков
Д.С. Актуальные проблемы финансов предприятия [Текст]/ Д.С. Моляков // Финансы.
- 2007. - №4. - С. 3-8.
. Пачекутов
М.П. Оценка реальной ликвидности активов предприятия [Текст]/ М.П. Пачекутов//
Финансовый менеджмент. - 2006. - №4.- С. 3-10.
. Налоговицина
Л.А. Методика нормирования запасов товаров. Важнейшая составляющая оборотного
капитала [Текст]/ Л.А. Налоговицина // Деловой вестник Российской кооперации. -
2006. - №11. - С. 19-24.
. Родионов
Р.А. Анализ методов управления запасами и оборотными средствами [Текст]/ А.Р.
Родионов // Экономический анализ. - 2007. - №8(41). - С.41-49.
. Родионов
А.Р., Управление производственными запасами [Текст]/ А.Р. Родионов// Менеджмент
в России и за рубежом. - 2003.-№4.- С.49-58.
40. Уневицкий
Л. И. Совершенствование методики анализа платежеспособности и ликвидности
организаций [Текст]/Л.И. Уневицкий // Экономический анализ: теория и
практика.-2008.-№17.-С.21-28.
Приложение 1
Бухгалтерский баланс 2009-2011
|
Актив
|
Код показателя
|
2011
|
2010
|
2009
|
|
1
|
2
|
3
|
4
|
|
|
I. Внеоборотные активы
|
|
|
|
|
|
Основные средства
|
120
|
29870
|
27605
|
27220
|
|
Долгосрочные финансовые
вложения
|
140
|
|
|
|
|
Отложенные налоговые активы
|
145
|
5701
|
5681
|
5765
|
|
Итого по разделу I
|
190
|
35571
|
33286
|
32985
|
|
II.Оборотные активы
|
|
68500
|
57848
|
48959
|
|
Запасы
|
210
|
|
|
|
|
в том числе: сырье,
материалы и другие аналогичные ценности
|
211
|
|
|
|
|
готовая продукция и товары
для перепродажи
|
214
|
68500
|
57848
|
48959
|
|
Налог на добавленную
стоимость по приобретенным ценностям
|
220
|
4110
|
2975
|
2350
|
|
Дебиторская задолженность
(платежи по которой ожидаются в течение 12 месяцев после отчетной даты)
|
240
|
10870
|
7560
|
7800
|
|
в том числе: покупатели и
заказчики
|
241
|
|
|
|
|
Денежные средства
|
260
|
6310
|
2170
|
1790
|
|
Прочие оборотные активы
|
270
|
|
|
|
|
Итого по разделу II
|
290
|
89790
|
70553
|
60899
|
|
Баланс
|
300
|
125361
|
103839
|
93884
|
|
ПассивВ
|
Код строки
|
2011
|
2010
|
2009
|
|
1
|
2
|
3
|
4
|
|
|
III. Капитал и резервы
|
|
|
|
|
|
Уставный капитал
|
410
|
500
|
500
|
500
|
|
Добавочный капитал
|
420
|
100
|
100
|
|
|
Нераспределенная прибыль
(непокрытый убыток)
|
470
|
17313
|
20444
|
20372
|
|
Итого по разделу III
|
490
|
17938
|
21069
|
20897
|
|
IV. Долгосрочные
обязательства
|
|
|
|
|
|
Займы и кредиты
|
510
|
58895
|
62301
|
57463
|
|
Отложенные налоговые
обязательства
|
515
|
|
|
|
|
Итого по разделу IV
|
590
|
58895
|
62301
|
57463
|
|
V. Краткосрочные
обязательства
|
|
|
|
|
|
Займы и кредиты
|
610
|
5303
|
4188
|
6608
|
|
Кредиторская задолженность
|
620
|
42690
|
15661
|
7666
|
|
в том числе: поставщики и
подрядчики
|
621
|
36661
|
11091
|
7181
|
|
задолженность перед
персоналом организации
|
622
|
290
|
235
|
210
|
|
задолженность по налогам и
сборам
|
624
|
328
|
233
|
205
|
|
прочие кредиторы
|
625
|
175
|
102
|
70
|
|
Итого по разделу V
|
690
|
48528
|
20469
|
15524
|
|
Баланс
|
700
|
125361
|
103839
|
93884
|
Руководитель
Главный бухгалтер
Приложение 2
Отчет о прибылях и убытках за 2009-2011 год
|
Показатель
|
2011
|
2010
|
2009
|
|
наименование
|
код
|
|
|
|
|
Доходы и расходы по обычным
видам деятельности Выручка (нетто) от продажи товаров, продукции, работ,
услуг (за минусом налога на добавленную стоимость, акцизов и аналогичных
обязательных платежей)
|
010
|
295000
|
288000
|
234000
|
|
Себестоимость проданных
товаров, продукции, работ, услуг
|
020
|
-243860
|
-243270
|
-200008
|
|
Валовая прибыль
|
029
|
51140
|
44730
|
33992
|
|
Коммерческие расходы
|
030
|
-10041
|
-7390
|
-5970
|
|
Прибыль (убыток) от продаж
|
050
|
-7800
|
-7250
|
-7570
|
|
Прочие доходы и расходы
Проценты к получению
|
060
|
33299
|
30090
|
20452
|
|
Прочие операционные доходы
|
090
|
200
|
1359
|
1320
|
|
Прочие операционные расходы
|
100
|
-10950
|
-7005
|
-1200
|
|
Прибыль (убыток) до
налогообложения
|
140
|
22549
|
24444
|
20572
|
|
Отложенные налоговые активы
|
141
|
|
|
|
|
Отложенные налоговые
обязательства
|
142
|
120
|
109
|
75
|
150
|
-10228
|
-8946
|
-6798
|
|
Чистая прибыль (убыток)
отчетного периода
|
1S0
|
12441
|
15607
|
13849
|
|
Справично: Постоянные
налоговые обязательства (активы)
|
200
|
|
|
|
Руководитель
Главный бухгалтер