Интегрирование дифференциальных уравнений с помощью степенных рядов
МИНИСТЕРСТВО ОБРАЗОВАНИЯ И НАУКИ
РЕСПУБЛИКИ КАЗАХСТАН
Северо-Казахстанский государственный
университет
им. М.Козыбаева
Факультет Информационных Технологий
Кафедра «Математика»
Курсовая
работа защищена
с оценкой
«_____________»
«___»___________
2013 год
зав.
кафедрой____________
А. Таджигитов
КУРСОВАЯ
работа по математике
«ИНТЕГРИРОВАНИЕ ДИФФЕРЕНЦИАЛЬНЫХ
УРАВНЕНИЙ
С ПОМОЩЬЮ СТЕПЕННЫХ РЯДОВ»
B060200.DO.Ин(е)-11
автор Попова
Н.В. ___________
РУКОВОДИТЕЛЬ Валеева
М.Б. ___________
Петропавловск 2013
АҢДАПТА
Берілген курстық жұмыста қатарлармен және
дифференциалды теңдемелермен байланысты теориялық сұрақтар
қарастырылған. Дифференциалды еңдеменің интегралдауының
мысалдары және маңғаз қатарлардың көмегімен
қарастырылған.
АННОТАЦИЯ
В данной курсовой работе рассмотрены теоретические вопросы, связанные с
рядами и дифференциальными уравнениями. Рассмотрены примеры
интегрирования дифференциальных уравнений с помощью степенных рядов.
the given work are considered theoretical questions which are
related to the series and differential equations. There are considered examples
of the integration partial differential equations using power series.
СОДЕРЖАНИЕ
ВВЕДЕНИЕ
. ОСНОВНЫЕ ПОНЯТИЯ, СВЯЗАННЫЕ С РЯДАМИ И
ДИФФЕРЕНЦИАЛЬНЫМИ УРАВНЕНИЯМИ
.1 Ряды. Основные понятия. Необходимый признак
сходимости
.2 Степенные ряды. Свойства степенных рядов
.3 Ряд Тейлора. Ряд Маклорена
.4 Дифференциальные уравнения
.5 Интегрирование дифференциальных уравнений с помощью
рядов
. ПРИМЕРЫ ИСПОЛЬЗОВАНИЯ СТЕПЕННЫХ РЯДОВ ПРИ ИНТЕГРИРОВАНИИ
ДИФФЕРЕНЦИАЛЬНЫХ УРАВНЕНИЙ
.1 Уравнение Эйри
.2 Уравнение Бесселя
.3 Примеры интегрирования
.4 Примеры интегрирования в Maple
ЗАКЛЮЧЕНИЕ
СПИСОК ИСПОЛЬЗОВАННОЙ ЛИТЕРАТУРЫ
ВВЕДЕНИЕ
Термин «дифференциальное уравнение» принадлежит Лейбницу (1676, опубликовано
в 1684 г.). Начало исследований по дифференциальным уравнениям восходит ко
временам Лейбница, Ньютона, в работах которых исследовались первые задачи,
приводящие к таким уравнениям. Лейбниц, Ньютон, братья Я. и И. Бернулли
разрабатывали методы интегрирования обыкновенных дифференциальных уравнений. В
качестве универсального способа использовались разложения интегралов
дифференциальных уравнений в степенные ряды [1].
Сейчас широкое внедрение в науку вычислительных методов, связанное с
появлением вычислительных средств большой мощности, требует переоценки значения
различных разделов математики и, в частности, разделов теории обыкновенных
дифференциальных уравнений. В настоящее время выросло значение методов
качественного исследования решений дифференциальных уравнений, а также методов
приближенного нахождения решений [2].
Решения многих дифференциальных уравнений не выражаются в элементарных
функциях или квадратурах. В этих случаях пользуются приближенными методами
интегрирования дифференциальных уравнений. Одним из таких методов является
представление решения уравнения в виде степенного ряда; сумма конечного числа
членов этого ряда будет приближенно равна искомому решению. Этим обусловлена
актуальность выбранной темы исследования.
Цель данной работы: показать применение метода степенных рядов при
интегрировании дифференциальных уравнений.
Объектом исследования выступает процесс интегрирования дифференциальных
уравнений методом степенных рядов.
Предметом исследования являются формы, методы и средства интегрирования
дифференциальных уравнений степенными рядами.
В соответствии с поставленной целью можно сформулировать основные задачи
данной работы:
. Рассмотреть основные понятия, связанные с рядами и
дифференциальными уравнениями.
. Проанализировать метод интегрирования дифференциальных уравнений
с помощью степенных рядов.
. Применить метод степенных рядов для решения различных задач.
Структура работы: титульный лист, бланк задания на работу, аннотация,
содержание, введение, основная часть, заключение, список использованной
литературы.
Основная часть работы состоит из двух глав. В первой главе раскрываются
понятия ряда, степенного ряда, ряда Тейлора, дифференциальных уравнений. Во
второй главе рассмотрены примеры интегрирования дифференциальных уравнений степенными
рядам.
Для исследования теоретической части работы использовались материалы
учебной литературы и периодических изданий, указанные в списке использованной
литературы.
Объем работы: 26 страниц.
1. ОСНОВНЫЕ
ПОНЯТИЯ, СВЯЗАННЫЕ С РЯДАМИ И ДИФФЕРЕНЦИАЛЬНЫМИ УРАВНЕНИЯМИ
1.1 Ряды. Основные понятия. Необходимый признак сходимости
В математических приложениях, а также при решении некоторых задач в
экономике, статистике и других областях рассматриваются суммы с бесконечным
числом слагаемых. Здесь мы дадим определение того, что понимается под такими
суммами.
Пусть
задана бесконечная числовая последовательность
.
Числовым рядом или просто рядом называется выражение (сумма) вида
,(1.1)
числа
называются членами ряда,
- общим или n-м членом ряда.
Чтобы
задать ряд (1.1) достаточно задать функцию натурального аргумента
вычисления n-го члена ряда по его номеру
Пример
1.1. Пусть
. Ряд
(1.2)
называется гармоническим рядом.
Из
членов ряда (1.1) образуем числовую последовательность частичных сумм
где
- сумма
первых членов ряда, которая называется n-й
частичной суммой, т.е.
(1.3)
Числовая
последовательность
при неограниченном возрастании номера
может:
)
иметь конечный предел;
)
не иметь конечного предела (предел не существует или равен бесконечности).
Ряд
(1.1) называется сходящимся, если последовательность его частичных сумм (1.3)
имеет конечный предел, т.е.
В
этом случае число
называется суммой ряда (1.1) и пишется
Ряд
(1.1) называется расходящимся, если последовательность его частичных сумм не
имеет конечного предела. Расходящемуся ряду не приписывают никакой суммы.
Таким
образом, задача нахождения суммы сходящегося ряда (1.1) равносильна вычислению
предела последовательности его частичных сумм.
(1.4)
Доказательство
теоремы следует из того, что
, и если
S - сумма ряда
(1.1), то
Условие
(1.4) является необходимым, но недостаточным условием для сходимости ряда.
Т.е., если общий член ряда стремится к нулю при
, то это
не значит, что ряд сходится. Например, для гармонического ряда (1.2)
однако,
он расходится.
Следствие
(Достаточный признак расходимости ряда): если общий член ряда
не стремится к нулю при
то этот ряд расходится [3].
Пример
1.2. Исследовать на сходимость ряд
Для
этого ряда
Следовательно, данный ряд расходится [4].
1.1
1.2 Степенные ряды. Свойства степенных рядов
Степенные ряды являются частным случаем функциональных рядов.
Степенным рядом называется функциональный ряд вида
(1.5)
здесь
- постоянные вещественные числа, называемые
коэффициентами степенного ряда;
-
некоторое постоянное число;
-
переменная, принимающая значения из множества действительных чисел.
При
степенной ряд (1.5) принимает вид
(1.6)
Степенной
ряд (1.5) называют рядом по степеням разности
ряд
(1.6) - рядом по степеням
Если переменной
придать
какое-либо значение, то степенной ряд (1.5) (или (1.6)) превращается в числовой
ряд, который может сходиться или расходиться.
Областью
сходимости степенного ряда называется множество тех значений
при которых степенной ряд сходится.
Теорема
1.2 (Теорема Абеля): если степенной ряд (1.6) сходится при
то он абсолютно сходится при всех значениях
удовлетворяющих неравенству
если же ряд (1.6) расходится при
то он расходится при всех значениях
удовлетворяющих неравенству
Теорема
Абеля дает ясное представление о структуре области сходимости степенного ряда.
Теорема
1.3: область сходимости степенного ряда (1.6) совпадает с одним из следующих
интервалов:
)
; 2)
; 3)
; 4)
,
где
- некоторое неотрицательное действительное число или
Число
называется радиусом сходимости, интервал
- интервалом сходимости степенного ряда (1.6).
Если
то интервал сходимости представляет собой всю
числовую ось
Если
то интервал сходимости вырождается в точку
Замечание:
если
- интервал сходимости для степенного ряда (1.2), то
- интервал сходимости для степенного ряда (1.5).
Из
теоремы 1.3 следует, что для практического нахождения области сходимости
степенного ряда (1.6) достаточно найти его радиус сходимости
и выяснить вопрос о сходимости этого ряда на концах
интервала сходимости
т.е. при
и
Радиус
сходимости
степенного ряда можно найти по одной из следующих
формул:
формула
Даламбера:
формула
Коши:
Пример
1.3. Найти радиус сходимости, интервал сходимости и область сходимости
степенного ряда
Найдем
радиус сходимости данного ряда по формуле
В
нашем случае
Тогда
Следовательно,
интервал сходимости данного ряда имеет вид
Исследуем
сходимость ряда на концах интервала сходимости.
При
степенной ряд превращается в числовой ряд
который
расходится как гармонический ряд.
При
степенной ряд превращается в числовой ряд
.
Это
- знакочередующийся ряд, члены которого убывают по абсолютной величине и
Следовательно,
по признаку Лейбница этот числовой ряд сходится.
Таким
образом, промежуток
- область сходимости данного степенного ряда [5].
Степенной
ряд (1.6) представляет собой функцию
определенную
в интервале сходимости
т.е.
Приведем
несколько свойств функции
Свойство
1. Функция
является непрерывной на любом отрезке
принадлежащем интервалу сходимости
Свойство
2. Функция
дифференцируема на интервале
и ее производная
может
быть найдена почленным дифференцированием ряда (1.6), т.е.
для
всех
Свойство
3. Неопределенный интеграл от функции
для всех
может быть получен почленным интегрированием ряда
(1.6), т.е.
для
всех
Следует
отметить, что при почленном дифференцировании и интегрировании степенного ряда
его радиус сходимости
не меняется, однако его сходимость на концах
интервала
может измениться [6].
Приведенные
свойства справедливы также и для степенных рядов (1.5).
Пример
1.4. Рассмотрим степенной ряд
Область
сходимости этого ряда, как показано в примере 1.3, есть промежуток
Почленно
продифференцируем этот ряд:
(1.7)
Исследуем
поведение этого ряда на концах интервала сходимости.
При
степенной ряд (1.7) превращается в числовой ряд
Этот
числовой ряд расходится, так как не выполняется необходимый признак сходимости
который
не существует.
При
степенной ряд (1.7) превращается в числовой ряд
который
также расходится, так как не выполняется необходимый признак сходимости.
Следовательно,
область сходимости степенного ряда, полученного при почленном дифференцировании
исходного степенного ряда, изменилась и совпадает с интервалом
[5].
1.3 Ряд Тейлора. Ряд Маклорена
Пусть
- дифференцируемая бесконечное число раз функция в
окрестности точки
т.е. имеет производные любых порядков. Рядом Тейлора
функции
в точке
называется
степенной ряд
(1.8)
В
частном случае при
ряд (1.8) называется рядом Маклорена:
(1.9)
Возникает
вопрос: В каких случаях ряд Тейлора для дифференцированной бесконечное число
раз функции
в окрестности точки
совпадает
с функцией
?
Возможны
случаи, когда ряд Тейлора функции
сходится,
однако его сумма не равна
Приведем
достаточное условие сходимости ряда Тейлора функции
к этой функции.
Теорема
1.4: если в интервале
функция
имеет
производные любого порядка и все они по абсолютной величине ограничены одним и
тем же числом, т.е.
то ряд Тейлора этой функции сходится к
для любого
из этого
интервала
т.е. имеет место равенство
Для
выяснения выполнения этого равенства на концах интервала сходимости требуются
отдельные исследования.
Следует
отметить, что если функция разлагается в степенной ряд, то этот ряд является
рядом Тейлора (Маклорена) этой функции, причем это разложение единственно [7].
1.4 Дифференциальные уравнения
Обыкновенным
дифференциальным уравнением n-го порядка для функции
аргумента
называется соотношение вида
(1.10)
где
- заданная функция своих аргументов.
В
названии этого класса математических уравнений термин «дифференциальное»
подчеркивает, что в них входят производные
(функции,
образованные как результат дифференцирования); термин - «обыкновенное» говорит
о том, что искомая функция зависит только от одного действительного аргумента.
Обыкновенное
дифференциальное уравнение может не содержать в явном виде аргумент
искомую функцию
и любые
ее производные, но старшая производная
обязана
входить в уравнение n-го порядка [8].
Например,
А)
- уравнение первого порядка;
Б)
- уравнение третьего порядка.
При
написании обыкновенных дифференциальных уравнений часто используются
обозначения производных через дифференциалы:
В)
- уравнение второго порядка;
Г)
- уравнение первого порядка, образующее после деления
на
эквивалентную форму задания уравнения:
Функция
называется решением обыкновенного дифференциального
уравнения, если при подстановке в него
оно
обращается в тождество.
Найти
тем или иным приемом, например, подбором, одну функцию, удовлетворяющую
уравнению, не означает решить его. Решить обыкновенное дифференциальное
уравнение - значит найти все функции, образующие при подстановке в уравнение
тождество. Для уравнения (1.10) семейство таких функций образуется с помощью
произвольных постоянных и называется общим решением обыкновенного
дифференциального уравнения n-го порядка, причем число констант совпадает с
порядком уравнения:
Общее решение может быть, и не разрешено явно
относительно
В этом случае решение принято называть общим
интегралом уравнения (1.10).
Задавая
некоторые допустимые значения всем произвольным постоянным в общем решении или
в общем интеграле, получаем определенную функцию, уже не содержащую
произвольных констант. Эта функция называется частным решением или частным
интегралом уравнения (1.10). Для отыскания значений произвольных постоянных, а
следовательно, и частного решения, используются различные дополнительные
условия к уравнению (1.10). Например, могут быть заданы так называемые
начальные условия при
:
(1.11)
В правых частях начальных условий (1.11) заданы числовые значения функции
и производных, причем, общее число начальных условий равно числу определяемых
произвольных констант.
Задача отыскания частного решения уравнения (1.10) по начальным условиям
называется задачей Коши [9].
1.5 Интегрирование дифференциальных уравнений с помощью рядов
В общем случае нахождение точного решения обыкновенного дифференциального
уравнения (ОДУ) первого порядка его интегрированием невозможно. Тем более это
неосуществимо для системы ОДУ. Это обстоятельство привело к созданию большого
числа приближенных методов решения ОДУ и их систем. Среди приближенных методов
можно выделить три группы: аналитические, графические и численные. Разумеется,
подобная классификация в известной мере условна. Например, графический метод
ломаных Эйлера лежит в основе одного из способов численного решения
дифференциального уравнения.
Интегрирование ОДУ при помощи степенных рядов является приближенным
аналитическим методом, применяемым, как правило, к линейным уравнениям не ниже
второго порядка. Ограничимся для простоты рассмотрением линейного однородного
ОДУ второго порядка с переменными коэффициентами
(1.12)
Замечание:
достаточно широкий класс функций
можно
представить в виде
где
- некоторые постоянные. Это выражение называют
степенным рядом.
Предположим,
что функции
можно разложить в сходящиеся в интервале
ряды:
(1.13)
Имеет место следующая теорема (опуская доказательство, приведем лишь ее
формулировку) [10].
Теорема
1.5: если функции
имеют вид (1.13), то любое решение
ОДУ (1.12) представимо в виде сходящегося при
степенного ряда:
(1.14)
Эта
теорема не только дает возможность представить решение в виде степенного ряда,
но и, что самое главное, обосновывает сходимость ряда (1.14). Для простоты
положим в (1.13) и (1.14)
и будем искать решение ОДУ (1.12) в виде
(1.15)
Подставив (1.15) в (1.12), получим равенство
(1.16)
Для
выполнения (1.16) необходимо, чтобы коэффициент при каждой степени
был равен нулю.
Из
этого условия получаем бесконечную систему линейных алгебраических уравнений
из
которой можно последовательно найти
если
задать значения
и
(в
случае задачи Коши для ОДУ (1.12) они входят в начальные условия
).
Если
функции
являются рациональными, т.е.
где
- многочлены, то в окрестностях точек, в которых
или
решение
в виде степенного ряда может не существовать, а если и существует, то может
расходиться всюду, за исключением точки
Это
обстоятельство было известно еще Л. Эйлеру, который рассмотрел уравнение
первого порядка
Этому
уравнению удовлетворяет степенной ряд
Нетрудно,
однако, видеть, что этот ряд расходится при любом
Решение
ОДУ в виде расходящегося степенного ряда называют формальным [11].
2. ПРИМЕРЫ
ИСПОЛЬЗОВАНИЯ СТЕПЕННЫХ РЯДОВ ПРИ ИНТЕГРИРОВАНИИ ДИФФЕРЕНЦИАЛЬНЫХ УРАВНЕНИЙ
Уравнение Эйри
Решение уравнения Эйри
будем
искать в форме степенного ряда (1.15). Тогда равенство (1.16) примет вид

Коэффициент
при
равен
Следовательно,
Из равенства нулю коэффициента
при
находим
Коэффициент при
равен
Отсюда
Из
этой формулы получаем
Аналогично
находим
Коэффициенты
и
остаются
неопределенными. Для нахождения фундаментальной системы решений положим вначале
а затем наоборот. В первом случае имеем
а
во втором
На
основании теоремы 1.5 эти ряды являются сходящимися всюду на числовой прямой
Функции
называют функциями Эйри. При больших значениях
асимптотическое поведение этих функций описывают
формулы
Графики
этих функций изображены на рисунке 1.
Рисунок
1
При
неограниченном увеличении
нули всякого решения уравнения Эйри неограниченно
сближаются, что видно из асимптотического представления этих решений, но совсем
не очевидно из представления функций Эйри в виде сходящихся степенных рядов.
Отсюда следует, что способ поиска решения ОДУ при помощи ряда, вообще говоря,
малопригоден при решении прикладных задач, а само представление решения в виде
ряда затрудняет анализ качественных свойств полученного решения [9].
2.1 Уравнение Бесселя
Линейное дифференциальное уравнение с переменными коэффициентами, имеющее
вид
,
,(2.1)
называется уравнением Бесселя.
Решение
уравнения (2.1) будем искать в виде обобщенного степенного ряда, т.е. произведения
некоторой степени
на степной ряд:
(2.2)
Подставляя
обобщенный степенной ряд в уравнение (2.1) и приравнивая нулю коэффициенты при
каждой степени
в левой части уравнения, получим систему
Считая,
что
из данной системы находим
Пусть
Тогда из
второго уравнения системы находим
а из
уравнения
придавая
значения
3,5,7,…, заключаем, что
Для коэффициентов с четными номерами получаем
выражения
Подставляя
найденные коэффициенты в ряд (2.2), получим решение
где
коэффициент
остается произвольным.
При
все коэффициенты
аналогично
определяются только в случае, когда
не равно
целому числу. Тогда решение можно получить, заменяя в предыдущем решении
величину
на
:
Полученные
степенные ряды сходятся для всех значений
, что легко
устанавливается на основании признака Даламбера. Решения
и
линейно
независимы, так как их отношение не является постоянным.
Решение
умноженное на постоянную
называется функцией Бесселя (или цилиндрической функцией)
порядка
первого рода и обозначается символом
Решение
обозначают
В
общепринятом выборе постоянной
участвует
гамма-функция
которая определяется несобственным интегралом:
Следовательно,
общее решение уравнения (2.1) при
не
равном целому числу, имеет вид
где
и
-
произвольные постоянные величины [12].
2.2 Примеры интегрирования
В
тех случаях, когда для уравнения
требуется
решить задачу Коши при начальном условии
решение
можно искать с помощью ряда Тейлора:
где
а дальнейшие производные
находят последовательным дифференцированием исходного
уравнения и подстановкой в результат дифференцирования вместо
значений
и всех
остальных найденных последующих производных. Аналогично с помощью ряда Тейлора
можно интегрировать и уравнения высших порядков [13].
Пример
2.1. Проинтегрировать приближенно с помощью ряда Тейлора уравнение
взяв шесть первых членов разложения, отличных от нуля
[12].
Из
уравнения начальных условий находим
Дифференцируя
данное уравнение, последовательно получаем
Полагая
и используя значения
последовательно
находим
Искомое решение имеет вид
Пример
2.2.
Найти четыре первых (отличных от нуля) члена
разложения [12].
Дифференцируя
уравнение
имеем
При
получаем
Решение
имеет вид
Пример
2.3. Проинтегрировать уравнение
[14].
Будем
искать решение этого уравнения в виде ряда
Подставляя
и
в
исходное уравнение, находим
Сгруппируем
члены с одинаковыми степенями
:
Приравнивая
нулю все коэффициенты полученного ряда (чтобы уравнение обратилось в
тождество), находим
Последнее
соотношение позволяет найти последовательно все коэффициенты искомого
разложения (
и
остаются
произвольными и играют роль произвольных постоянных интегрирования):
Таким образом,
Полученные
ряды сходятся на всей числовой оси и определяют два линейно независимых частных
решения исходного уравнения.
Пример
2.4. Найти первые четыре члена разложения в степенной ряд решения задачи Коши
[14].
Видно,
что функция
разложима в ряд Тейлора по переменным
и
в
окрестности точки
и этот ряд сходится на всей плоскости
Ищем
решение задачи в виде
(2.3)
Из
условия находим 
Подставляя
в ряд (2.3) найденные значения
получаем
искомое решение с указанной точностью:
2.3
Примеры интегрирования в Maple
Для
нахождения аналитических решений дифференциальных уравнений в Maple применяется
команда dsolve(eq,var,options), где eq - дифференциальное уравнение, var -
неизвестные функции, options - параметры. Параметры могут указывать метод
решения задачи, например, по умолчанию ищется аналитическое решение:
type=exact. При составлении дифференциальных уравнений для обозначения
производной применяется команда diff, например, дифференциальное уравнение
записывается в виде: diff(y(x),x$2)+y(x)=x.
Чтобы
найти приближенное решение дифференциального уравнения в виде степенного ряда,
в команде dsolve следует после переменных указать параметр type=series (или
просто series). Для того, чтобы указать порядок разложения
, т.е. порядок степени, до которой производится
разложение, следует перед командой dsolve вставить определение порядка с
помощью команды Order:=n.
Если
ищется общее решение дифференциального уравнения в виде разложения в степенной
ряд, то коэффициенты при степенях
найденного
разложения будут содержать неизвестные значения функции в нуле
и ее производных
и т.д.
Полученное в строке вывода выражение будет иметь вид, похожий на разложение
искомого решения в ряд Маклорена, но с другими коэффициентами при степенях
. Для выделения частного решения следует задать
начальные условия
и т.д., причем количество этих начальных условий
должно совпадать с порядком соответствующего дифференциального уравнения.
Разложение
в степенной ряд имеет тип series, поэтому для дальнейшей работы с этим рядом
его следует преобразовать в полином с помощью команды convert(%,polynom), а
затем выделить правую часть полученного выражения командой rhs(%) [15].
Пример
2.5. Найти общее решение дифференциального уравнения
в виде разложения в степенной ряд до 4-го порядка.
Найти разложение при начальных условиях:
[16].
>
restart; Order:=4:
>
de:=diff(y(x),x$2)-y(x)^3=exp(-x)*cos(x):
> f:=dsolve(de,y(x),series);
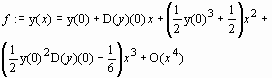
Замечание:
в полученном разложении запись D(y)(0) обозначает производную в нуле:
Для нахождения частого решения осталось задать
начальные условия:
>
y(0):=1: D(y)(0):=0:f;
Пример
2.6. Найти приближенное решение в виде степенного ряда до
-го
порядка и точное решение задачи Коши:
Построить
на одном рисунке графики точного и приближенного решений [15].
> restart; Order:=6:
> de:=diff(y(x),x$3)-diff(y(x),x)=3*(2-x^2)*sin(x);
> cond:=y(0)=1, D(y)(0)=1, (D@@2)(y)(0)=1;
> dsolve({de,cond},y(x));
> y1:=rhs(%):
> dsolve({de,cond},y(x),series);
Замечание:
тип решения дифференциального уравнения в виде ряда есть series, поэтому для
дальнейшего использования такого решения (вычислений или построения графика)
его обязательно следует конвертировать в полином с помощью команды convert.
дифференциальный уравнение ряд степень
> convert(%,polynom): y2:=rhs(%):
> p1:=plot(y1, x=-3..3, thickness=2, color=black):
> p2:=plot(y2, x=-3..3, linestyle=3, thickness=2,
color=black):
> with(plots): display(p1,p2);
На
рисунке 2 видно, что наилучшее приближение точного решения степенным рядом
достигается примерно на интервале
Рисунок
2
ЗАКЛЮЧЕНИЕ
Цели, поставленные в курсовой работе, полностью достигнуты, решены
следующие задачи:
. Определены основные понятия, связанные с рядами и
дифференциальными уравнениями.
. Рассмотрен метод интегрирования дифференциальных уравнений с
помощью степенных рядов.
. Решены задачи по данной теме.
В данной курсовой работе изучен и систематизирован материал для
применения его студентами во время самостоятельного изучения метода
интегрирования дифференциальных уравнений с помощью степенных рядов.
Рассмотрены понятия ряда и дифференциальных уравнений. Проведены приближенные
вычисления с помощью рядов.
Работа может быть использована в качестве учебно-методического пособия
для студентов технических и математических специальностей.
Результаты работы могут служить основой для дальнейших исследований.
СПИСОК ИСПОЛЬЗОВАННОЙ ЛИТЕРАТУРЫ
1 Трикоми
Ф. Дифференциальные уравнения. Перевод с английского. - М.: Букинист, 2003. -
352 с.
Власова
Б. А., Зарубин B. C., Кувыркин Г. Н. Приближенные методы математической физики:
Учебник для вузов. - М.: Изд-во МГТУ им. Н. Э. Баумана, 2001. - 700 с.
Будак
Б. М. Фомин С. В. Кратные интегралы и ряды. - М.: Физматлит, 2002. - 512 с.
Демидович
Б. П. Сборник задач и упражнений по математическому анализу. - М.: Изд-во Моск.
ун-та ЧеРо,2000. - 624 с.
Краснов
М. Л., Киселев А. И., Макаренко Г. И., и др. Вся высшая математика: Учебник. Т.
3. - М.: Изд-во Едиториал УРСС, 2005. - 240 с.
Яблонский
А. И., Кузнецов А. В., Шилкина Е. И. и др. Высшая математика: Общий курс:
Учебник. - М.: Высш. шк., 2000.- 351 с.
Малахов
А. Н., Максюков Н. И., Никишкин В. А. Высшая математика. - М.: ЕАОИ, 2008. -
315 с.
Марков
Л. Н., Размыслович Г. П. Высшая математика. Ч. 2. Основы математического
анализа и элементы дифференциальных уравнений. - М.: Амалфея, 2003. - 352 с.
Агафонов
С. А., Герман А. Д., Муратова Т. В. Дифференциальные уравнения. - М.: Изд-во
МГТУ им. Н.Э. Баумана, 2004. - 352 с.
Коддингтон
Э. А., Левинсон Н. Теория обыкновенных дифференциальных уравнений. - М.:
Амалфея, 2001. - 475 с.
Фихтенгольц
Г. М. Курс дифференциального и интегрального исчисления. Т. 2. - М.: Физматлит,
2001. - 810 с.
Данко
П. Е., Попов А. Г., Кожевникова Т. Я. Высшая математика в упражнениях и
задачах. Ч.2. - М.: Изд-во Оникс, 2006. - 416 с.
Егоров
А. И. Обыкновенные дифференциальные уравнения с приложениями. - М.: Физматлит,
2005. - 384 с.
Васильева
А. В., Медведев Г. Н., Тихонов Н. А., Уразгильдина Т. А. Дифференциальные и
интегральные уравнения, вариационное исчисление в примерах и задачах. - М.:
Физматлит, 2003. - 432 с.
Савотченко
С. Е., Кузьмичева Т. Г. Методы решения математических задач в Maple. - Б.:
Белаудит, 2001. - 116 с.
Запорожец
Г.И. Руководство к решению задач по математическому анализу. - М.: Высшая
школа, 2004. - 464 с.