Проектирование приспособления для фрезерования шпоночного паза
Содержание
Введение
. Техническое
задание
. Назначение,
устройство, принцип работы приспособления
. Разработка
технических требований на приспособление
. Назначение
режимов резания, определение сил резания
. Расчет
усилия закрепления детали
.1 Расчет
зажимного усилия
.2 Крутящий
момент
.3
Коэффициент надёжности закрепления
. Расчет
исходного усилия зажимного устройства
.1 Расчёт
исходного усилия Q
. Расчет
пневматического привода
.1 Диаметр
пневмоцилиндра
.2 Тянущая
сила
.3 Проверка
диаметра штока на прочность и устойчивость
. Расчет
приспособления на точность
8.1 Расчет приспособления на точность
8.2
Погрешность базирования заготовки
.3 Необходимо
соблюдение условия на точность
. Расчет
экономической эффективности приспособления
.1 Годовая
технологическая себестоимость
.2 Стоимость
приспособления
.3 Годовая
экономия при применении приспособления
.4 Срок
окупаемости приспособления
Заключение
Литература
Введение
Станочное приспособление - это вспомогательное орудие производства для
установки заготовок с целью обработки на металлорежущих станках.
В зависимости от типа станка станочные приспособления подразделяются на
токарные, сверлильные, фрезерные, расточные, шлифовальные и т.д. В общем объеме
средств технологической оснастки примерно 50% составляют станочные
приспособления.
С помощью станочных приспособлений можно решить 3 основные задачи: -
базирование обрабатываемых деталей на станках производится без выверки, что
ускоряет процесс установки и обеспечивает возможность автоматического получения
размеров на настроенных станках;
повышается производительность, и облегчаются условия труда рабочих на
счет применения многоместной, многопозиционной и непрерывной обработки;
расширяются технологические возможности станков, что позволяет на обычных
станках выполнять такую обработку или получать такую точность, для которой эти
станки не предназначены.
Приспособления выбираются в зависимости от типа производства. В массовом
и крупносерийном производстве в основном применяются специальные
приспособления. В условиях серийного производства применяются агрегатированные
приспособления. В мелкосерийном производстве широко распространены
универсальные приспособления.
Проектирование приспособлений находится в зависимости не только от типа
производства, но и от технологического процесса изготовления детали, что
обеспечивает на производстве тесную связь между технологом и конструктором.
Темой данного курсового проекта является разработка станочного приспособления
для обработки детали «Винт» на шпоночно-фрезерной операции.
1. Техническое задание
Таблица 1 - Техническое задание
|
БОУ СПО УР «ГПК»
|
Техническое задание № 1 на
проектирование ТО
|
|
|
|
Обозначение чертежа
|
Изделие
|
Наименование ТО
приспособление для фрезерования шпоночного паза
|
|
Узел
|
Операция шпоночно-фрезерная
|
|
Деталь винт
|
Оборудование (тип) 65А90Ф4
|
|
Количество одновременно
обрабатываемых деталей 1
|
Инструмент Фреза шпоночная
Т15К6 d = 10мм
|
|
Годовая программа, шт. 2500
|
Вид закрепления ТО
Фрезерное приспособление с 1 пневматической губкой
|
|
Эскиз обработки детали
|
|
|
|
|
2. Назначение, устройство, принцип работы приспособления
Рисунок 1- Приспособление для фрезерования шпоночного паза
Приспособление с пневматическим зажимом для фрезерования шпоночного паза
детали вал-шестерня шпоночной фрезой устанавливается на столе фрезерного станка
и закрепляется винтом. При переключении распределительного крана сжатый воздух
через штуцер поступает в полость пневмоцилиндра, встроенного в корпусе поз.1
приспособления, и перемещает поршень со штоком и тягой вверх. При этом тяга
верхним концом давит на прихват , который зажимает заготовку. После
фрезерования шпоночного паза на винте пружина перемещает поршень со штоком и
тягой вниз. Верхний конец тяги опускается и прихват освобождает заготовку от
зажима.
3. Разработка технических требований на приспособление
Отклонение от параллельности оси контрольного валика, установленного в
призму, относительно поверхности стола станка.
Отклонение от перпендикулярности оси контрольного валика, установленного
в призму, относительно поверхности направляющей шпонки.
4. Назначение режимов резания, определение сил резания
приспособление
фрезерование шпоночный шпиндель
Требуется фрезеровать шпоночный паз на валу шириной 10мм и глубиной 5мм,
твердость HRC 24, предел прочности
= 600 МПа.
Выбор фрезы
«Фреза шпоночная Р6М5 D102234-0355»
диаметр D равен 10мм, число зубьев Z фрезы равно 2 ГОСТ 9140-78
Глубина резания t
определяется по диаметру фрезы и равна 5 мм
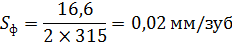
Подача на зуб фрезы S
определяется по таблице и равна 0,02 мм/зуб
Период стойкости фрезы Т определяется по таблице и равен 60 мин
Определение расчетной скорости резания
, (1)
где Z - число зубьев фрезы;
Сv - коэффициент, характеризующий
материал заготовки и фрезы;
Т - стойкость инструмента, мин ;
q, y, x, u, m, p - показатели степени;
t -
глубина резания, мм;
Kv - общий поправочный коэффициент на
изменённые условия обработки.
Общий поправочный коэффициент
, (2)
где
- коэффициент, учитывающий физико-механические свойства
обрабатываемого материала;
- коэффициент, учитывающий инструментальный материал;
- коэффициент, учитывающий состояние поверхностного слоя
заготовки.
Определение расчетной частоты вращения шпинделя станка
, (3)
гдеV - скорость резания, мм/мин;
D -
наружный диаметр фрезы, мм.
Фактическая частота вращения шпинделя nф определяется по паспортным данным станка и равна 315 об/мин
Определение фактической скорости резания
, (4)
где D - наружный диаметр фрезы, мм;
nф - фактическая частота вращения
шпинделя, об/мин.
Определение минутной подачи
,
(5)
где S - подача на зуб, мм/зуб;
Z -
число зубьев фрезы;
nф - фактическая частота вращения
шпинделя, об/мин.
Определение фактической подачи на зуб
, (6)
где Z - число зубьев фрезы;
Sm - минутная подача, мм/мин;
nф - фактическая частота вращения
шпинделя, об/мин.
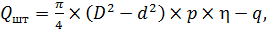
Определение силы резания при фрезеровании шпоночного паза
Рисунок 2 - Схема составляющих силы резания
, (7)
где Cp - коэффициент, характеризующий обрабатываемый материал
и другие условия;
Z -
число зубьев фрезы;
t -
глубина резания, мм;
S -
подача на зуб, мм/зуб;- ширина фрезерования, мм;
q, y, x, u, m, p - показатели степени;
D -
наружный диаметр фрезы, мм;
nф - фактическая частота вращения шпинделя,
об/мин;p - общий поправочный коэффициент.
Общий поправочный коэффициент
, (8)
где Kмр - коэффициент, учитывающий свойства материала
обрабатываемой заготовки; Kvр - коэффициент, учитывающий скорость
резания; Kgр - коэффициент, учитывающий величину переднего угла
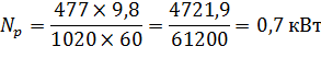
Определение мощности, затрачиваемой на резание
, (9)
где Pz - сила резания, Н; Vф - фактическая скорость резания, мм/мин.
Проверяется условие возможности обработки
Необходимо, чтобы
, (10)
, (11)
,
.
Условие выполнено для станка 65А90Ф4.
5. Расчет усилия закрепления детали
При вычислении силы зажима W для обеспечения надёжного закрепления
вводится коэффициент запаса К, который учитывает нестабильность силовых
воздействий на заготовку.
.1 Расчет зажимного усилия
(12)
где К - коэффициент надёжности закрепления;
f1 = 0,2 - коэффициент трения между
заготовкой и зажимом;
f2= 0,10 - коэффициент трения между
заготовкой и установочными элементами;
Mk - крутящий момент, Н·м;
d -
диаметр фрезы, мм.

(13)
где
- сила резания, Н
r -
радиус фрезы, м.
5.3 Коэффициент надёжности закрепления
(14)
гдеК0 = 1,5 - гарантированный коэффициент запаса;
К1 = 1,0 - коэффициент, учитывающий увеличение сил резания
из-за случайных неровностей на обрабатываемой поверхности заготовки;
К2 = 1,2 - коэффициент, учитывающий увеличения сил резания
вследствие затупления режущего инструмента;
К3 = 1,0 - коэффициент, учитывающий изменение сил резания при
прерывистом резании;
К4 = 1,0 - коэффициент, учитывающий непостоянство зажимного
усилия;
К5 = 1,0 - коэффициент, учитывающий удобство расположения
рукояток у ручных зажимов;
К6 = 1,0 - коэффициент, учитывающий определенность
расположения опорных точек при смещении заготовки моментом сил.
6. Расчет исходного усилия зажимного устройства
Рисунок 3 - Схема для определения силы зажима
.1 Расчёт исходного усилия Q
, (15)
где W - сила зажима, Н;
η = 0,85 - КПД силового пневмопривода.
7.
Расчет пневматического привода
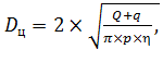
.1 Диаметр пневмоцилиндра
(16)
где р = 0,4 - давление воздуха в пневмосистеме, МПа;
Q -
исходное усилие, Н;
q = 45
- сопротивление возвратной пружины, Н;
η = 0,85 - КПД силового пневмопривода.
По ГОСТ 15608-81 диаметр пневмоцилиндра DЦ принимается равным 125мм, диаметр штока d равным 32мм
.2 Тянущая сила
(17)
где D - диаметр цилиндра, мм;
d -
диаметр штока, мм;
р = 0,4 - давление воздуха в пневмосистеме, МПа;
η = 0,85 - КПД силового пневмопривода;
q = 45
- сопротивление возвратной пружины, Н.
По ГОСТ 15608-81 тянущая сила Qшт
принимается равной 4000 Н
7.3 Проверка диаметра штока на прочность и устойчивость
(18)
где [σ] = 340 - допустимое напряжение материала штока на растяжение (сжатие),
МПа.
Qшт
- тянущая сила, Н.
≥ 30
Диаметр штока d удовлетворяет условию
прочности и устойчивости, так как диаметр штока больше минимально возможного
диаметра штока.
8. Расчёт приспособления на точность
8.1 Расчет приспособления на точность
Приспособление устанавливается на стол станка и выверяется по техническим
требованиям:
отклонение от параллельности оси контрольного валика, установленного в
призму, относительно поверхности стола станка не более 0,005 мм;
отклонение от перпендикулярности оси контрольного валика, установленного
в призму, относительно поверхности направляющей шпонки 0,01 мм.
(19)
где К = 1,2 - коэффициент зависящий от случайных погрешностей;
бс= 0 - погрешность станка в ненагруженном состоянии
вызываемая погрешностями изготовления и сборки, мм;
бпр = 0,005 - погрешность расположения на станке посадочных
поверхностей, мм; боп= 0,01 - погрешность расположения опорных
поверхностей относительно посадочных поверхностей приспособления, мм;
бdиd - погрешность базирования заготовки в приспособлении,
мм;
бз = 0 - погрешность вызываемая закреплением заготовки, мм;
би = 0 - погрешность изготовления инструмента, мм;
бри = 0 - погрешность расположения инструмента на станке, мм;
бд= 0 - погрешность вызываемая деформацией при обработке, под
действием сил резания, мм;
биз = 0 - погрешность вызываемая износом инструмента, мм.
8.2 Погрешность базирования заготовки
(20)
где d1= 0,04 - допуск на размер, мм.
,
8.3 Необходимо соблюдение условия на точность
(21)
Где а = 0,08 - допуск на симметричность паза, мм
Условие выполняется.
9.
Расчет экономичности на точность
.1 Годовая технологичность себестоимости
, (22)
где
- себестоимость в станках часа y.e;
- штучное время, мин;
N -
объем партии, шт;
Н - накладные расходы, %;
- стоимость приспособления, y.e;
А - срок амортизации, год;
g -
годовые расходы связанные с эксплуатацией, %.
9.2 Стоимость приспособления, y.e
(23)
где k - стоимость одной детали
приспособления,y.e;
g -
количество деталей в приспособлении, шт;
Данные по вариантам
|
Сс, y.e
|
|
N, шт
|
Н, %
|
k, y.e
|
g , шт
|
, y.e
|
А , год
|
g , %
|
|
По проектируемому
приспособлению
|
801
|
4,05
|
2500
|
200
|
3,8
|
30
|
114
|
4
|
20
|
|
По существующему
приспособлению
|
753
|
5,7
|
2500
|
200
|
3
|
5
|
15
|
1
|
20
|
По проектируемому приспособлению
По существующему приспособлению
.
.3 Годовая экономия при применении приспособления
,
С1- годовая технологическая себестоимость по проектируемому
приспособлению,
;
С2- годовая технологическая себестоимость по существующему
приспособлению,
.4 Срок окупаемости приспособления
год,
Применения приспособления к станку считается экономичным, если:
Заключение
В данном курсовом проекте разработано приспособление для фрезерования
шпоночного паза. Выполнен расчёт на точность в зависимости от конструкции
приспособления, применяемого инструмента и оборудования. Приведён расчёт усилия
закрепления обрабатываемой детали в приспособлении, расчёт пневмопривода и его
штока на прочность, расчёт режимов резания для фрезерования шпоночного паза
детали «винт». Разработаны технические требования на приспособление, устройство
и принцип его работы.
Приспособление удовлетворяет требованиям точности базирования и
закрепления.
Литература
1. Н. П.
Косов. Станочные приспособления. «Машиностроение» , 1977г.
.М. А.
Ансеров. Приспособления для металлорежущих станков. «Машиностроение» ,1975 г.
. Ю. И.
Кузнецов. Справочник. Оснастка для станков с ЧПУ. Москва. «Машиностроение»
,1990 г..
. А. К.
Горошкин. Справочник. Приспособления для металлорежущих станков. Москва.
«Машиностроение» , 1979 г.
. В.С.
Корсаков. Основы конструирования приспособлений в машиностроении .М.,
«Машиностроение», 1983 г.
. А.П.
Белоусов. Проектирование станочных приспособлений. М., В.ш. 1980 г.
. Б. Н.
Вардашкин , В. В. Данилевский. Справочник. Станочные приспособления. 1; 2 том.
Москва . «Машиностроение» 1984 г.
. Б. И.
Черпаков . Технологическая оснастка. Москва. ACADEMA 2005г.
. В. А.
Ванин, А. Н. Преображенский. Приспособления для металлорежущих станков.
. С. М.
Зонненберг, А.С. Лебедев. Пневматические зажимные приспособления ,1953 г.
. Г. Г.
Овумян ,Я. И. Адам. Справочник зубореза. Москва. «Машиностроение», 1983 г.