Экономическая оценка уровня конкурентоспособности услуг предприятия 'Гомельторгтехника'
Содержание
конкурентоспособность услуга ценовой
холодильный
Введение
.
Теоретические основы конкурентоспособности услуг
1.1
Понятие и содержание услуг
1.2
Ценовые системы рынка услуг и методика формирования цены
1.3
Конкурентоспособность услуг и ее составляющие
1.4
Методы оценки ценовых и неценовых параметров конкурентоспособности
1.5
Зарубежный опыт оценки ценовых, неценовых и эмпирических (сенсорных) параметров
конкурентоспособности услуг
.
Экономическая оценка уровня конкурентоспособности услуг на РПУП "Гомельторгтехника"
.1
Исследование уровня конкуренции на рынке услуг
2.2
Измерение ценовых параметров уровня конкурентоспособности услуг на РПУП
"Гомельторгтехника"
2.3
Измерение неценовых параметров уровня конкурентоспособности услуг на РПУП
"Гомельторгтехника"
2.4
Измерение эмпирических (сенсорных) параметров уровня конкурентоспособности
услуг на РПУП "Гомельторгтехника"
2.5
Интегральная оценка ценовых, неценовых и эмпирических (сенсорных) параметров
уровня конкурентоспособности услуг на РПУП "Гомельторгтехника"
.
Инструментарий повышения конкурентоспособности на РПУП
"Гомельторгтехника"
3.1
Экономическое обоснование величины и структуры конкурентной цены услуг на РПУП
"Гомельторгтехника"
3.2
Экономическое обоснование величины ценовых скидок на услуги на РПУП
"Гомельторгтехника"
3.3
Экономическое обоснование маркетинговой ценовой политики и инструментов ее
реализации в сфере услуг на РПУП "Гомельторгтехника"
Выводы
и предложения
Список
использованных источников
Приложение
Введение
В основе
экономического прогресса лежит повышение эффективности финансово-хозяйственной
деятельности организаций. Важнейшим качественным показателем, отражающим
эффективность работы организаций в рыночных условиях, является уровень
конкурентоспособности.
Рыночная экономика
обязательно предполагает, что отношения экономических субъектов складываются в
условиях конкуренции. С точки зрения рыночной структуры конкуренция
представляет собой ряд условий, которые ставят организацию в положение
принимающего определенные условия игры. В этом смысле конкуренция может
существовать только в условиях конкурентного рынка, противоположного
монопольной структуре.
С другой стороны,
конкуренция может быть определена как производное от слова
"конкурировать" (соревноваться), поведение организаций-соперников на
рынке. В общем виде конкуренция - соперничество, борьба за достижение лучших
результатов в любом виде деятельности. Если соединить вышесказанное, то в
условиях рынка борьба разворачивается за потребителя, более полное
удовлетворение его потребностей, что и обеспечивает реализацию произведенного
товара или услуги.
В условиях рыночной
экономики рынок товаров и услуг стремительно насыщается, поэтому существует
конкуренция между фирмами, выпускающими однородную продукцию (оказывающими
услуги). Обеспечение высокого качества услуг при доступной цене и прибыльности
для организации - главная задача организации, специализирующейся на оказании
услуг.
Следовательно,
конкуренция - это соревнование организаций на рынке за предпочтения
потребителей с целью получения максимальной прибыли или дохода. Конкуренция
побуждает организации настраиваться на удовлетворение рыночного спроса (а через
него и на имеющиеся потребности), снижение расходов на производство и
реализацию, максимальное использование достижений научно-технического
прогресса.
Именно конкуренция
и конкурентный рынок, на котором правила игры устанавливают не производители, а
потребители, приводят в действие два фактора, побуждающие организации к
повышению качества и конкурентоспособности хозяйственной деятельности. Это
совершенно реальная возможность провала (банкротства) и такая же реальная
возможность крупного коммерческого успеха за счет обеспечения конкурентных
преимуществ для своей организации.
Проблема конкурентоспособности
продукции (товаров, услуг) носит в современном мире универсальный характер.
Решение этой проблемы является важным фактором социально-экономического
развития и одним из главных условий экономического благополучия для любой
организации, а также для каждого потребителя. Конкурентоспособность и качество
являются в то же время концентрированным выражением возможности любого
производителя создавать, производить и реализовывать товары и услуги для
удовлетворения общественного спроса на них.
Основу рыночной экономики составляет
понятие конкуренции, как главной движущей силы эволюции взаимоотношений
субъектов, функционирующих в данной среде. Наиболее успешным участником такого
соревнования является тот, кто способен выдерживать конкурентную борьбу на
отечественном и внешнем рынках. Сегодня ни одна организация не может
гарантировать для себя стабильность рыночных позиций, если ее продукция
(товары, услуги) не обладает конкурентными преимуществами, поэтому проблема
анализа конкурентоспособности является особенно актуальной в современных условиях.
Целью курсовой работы является
выявление путей повышения конкурентоспособности услуг организации.
Объектом исследования является
деятельность РПУП "Гомельторгтехника". Предметом исследования
является конкурентоспособность услуг РПУП "Гомельторгтехника".
В соответствии с целью в работе поставлены и
решены следующие задачи:
- исследованы теоретические и методологические
основы конкурентоспособности услуг, при этом рассмотрено понятие и содержание
услуг, ценовые системы рынка услуг и методика формирования цены,
конкурентоспособность услуг и ее составляющие, методы оценки ценовых и
неценовых параметров конкурентоспособности услуг, а также зарубежный опыт
оценки ценовых, неценовых и эмпирических (сенсорных) параметров
конкурентоспособности услуг;
- проведена экономическая оценка
уровня конкурентоспособности услуг на РПУП
"Гомельторгтехника", в ходе которой
исследован уровень конкуренции на рынке услуг, проведено измерение ценовых,
неценовых и эмпирических параметров уровня конкурентоспособности услуг
организации, дана их интегральная оценка;
- предложен
инструментарий повышения конкурентоспособности услуг РПУП
"Гомельторгтехника", включающий экономическое обоснование величины и
структуры конкурентной цены услуг организации, экономическое обоснование
ценовых скидок на услуги, а также приведено экономическое обоснование
маркетинговой ценовой политики и инструментов их реализации в сфере услуг на
РПУП "Гомельторгтехника".
В работе применялись
экономико-математические методы и приемы: метод горизонтального и вертикального
сравнения; абсолютных и относительных величин, группировки; цепных подстановок,
факторный анализ, индексный метод, метод балльных оценок.
Проблема конкурентоспособности
исследуется в экономической литературе сравнительно недавно. Основоположником
современной теории конкурентоспособности по праву считается М Портер. Базовые
элементы его концепции изложены в труде "Международная конкуренция"
(1990 г.). Вопросы, связанные с конкурентными отношениями, и
конкурентоспособностью как их составной частью, нашли отражение в работах
современных ученых и классиков экономической науки: И. Аннсофа, Ф. Котлера, А.
Курно, Ж.Ж. Ламбена, К. Менгера, А. Маршала, Дж. Моррисея, А. Смита, Сонерса,
Д. Риккардо, Дж. Робинсон, Э. Чемберлена и др.
В отечественной экономической литературе
к вопросам теории и практики обеспечения конкурентоспособности ученые стали
обращаться лишь с последнего десятилетия прошлого века. Значительный вклад в
изучение проблем конкурентоспособности внесли Г.А. Азоев, А.А. Воронов, Е.П.
Голубков, И.П. Данилов, И.М. Лифиц, Р.А. Фатхутдинов, А.Ю. Юданов и др.
Эти и другие авторы исследуют
конкурентоспособность в системе конкурентных отношений на индивидуальном,
микро-, мезо-, макро- уровнях. Однако их разработки не вполне учитывают
специфику предпринимательской деятельности в сфере услуг, в частности,
особенности формирования конкурентоспособности в сфере реализации и
обслуживания торговой техники, формы и методы ее обеспечения и повышения. Это
подтверждает актуальность выбранной темы исследования.
Теоретической и методологической
основой исследования явились материалы деятельности РПУП
"Гомельторгтехника", законодательные и нормативные акты, а также
монографии, учебные и методические пособия, публикации в периодических
изданиях, перечисленные в списке использованных источников.
1. Теоретические основы конкурентоспособности
услуг
.1 Понятие и содержание услуг
Сегодня сфера услуг становится более
значимой в экономике, так как она создает многочисленные рабочие места и вносит
существенный вклад во внутренний национальный продукт. Услуги вышли на передний
план в результате демографических сдвигов. Люди больше работают, имеют меньше
свободного времени, благосостояние семей растет, что позволяет человечеству
покупать больше услуг для экономии времени. Расширению сферы услуг способствуют
также иностранные конкуренты, которые отвоевывают рынок у отечественных
производителей, предлагая товары высокого качества по более низким ценам. В
результате многим промышленным фирмам приходится переключиться на услуги, чтобы
обеспечить свой рост.
Значимость услуги определяется еще
тем, что многие виды деятельности, не имеющие самостоятельного значения для
конечных покупателей, по существу являются услугами, которые потребляются
промежуточными покупателями, такими как отделы и подразделения организаций.
Скоординированность и взаимодействие подразделений внутри организации
возрастает не только на основе административно-управленческих мер, но и на
основе моделей обслуживания [18, c.34].
Пусковым механизмом системы
маркетинга услуг является не оказание клиенту помощи вообще при определенном
состоянии, породившем нужду, а целевая потребность клиента в услуге и спрос на
адекватную процедуру.
Именно в рамках определенных
социально-экономических систем взаимоотношений потребителя и производителя
определенный вид помощи выступает в форме потребительской (маркетинговой)
услуги [17, c. 263].
Услуга представляет собой не вещь,
не материальный предмет, но некую, весьма разнообразную по характеру
деятельность, работу. Услугу определяют иногда как разновидность товара, для
которого момент производства и момент потребления совпадают во времени, в
качестве работы, сделанной для других, результатом которой не являются
осязаемые вещи (товары). Услуги образно называют "невидимыми статьями торговли".
В Генеральном соглашении о торговле
услугами (ГАТС) 1994 г., действующем в системе ВТО, определения понятия услуги
не содержится, но для целей Соглашения используется специальный классификатор,
содержащий перечень 160 видов услуг, сгруппированных по 12 разделам: деловые
услуги (46 видов); услуги связи (25); строительство и инженеринг (5);
дистрибьюторские услуги (5); общеобразовательские услуги (5); услуги по
окружающей среде (4); финансовые услуги, включая страхование (17); услуги по
охране здоровья и социальные (4); организация досуга, культуры и спорта (5);
транспорт (33); прочие услуги.
Понятие продукта широко используется
в теории маркетинга услуг. В соответствии с этим источником "продукт -
конкретная физическая единица или процесс, различимая совокупность
особенностей, психически воспринимаемых и связанных с ожиданием пользы".
За товаром закрепилось представление как о материальном объекте. Формальным
обоснованием для различия терминов "товар" и "услуга"
является часто встречающееся в англоязычной литературе по маркетингу сочетание
goods and services (товары и услуги). При этом основные значения для goods -
товары, вещи, имущество. Следует обратить внимание, что в системе национальных
счетов, которая применяется на международном уровне, товары и услуги рассматриваются
на одном уровне классификации. Таким образом, товары и услуги следует считать
разновидностями продукта.
Понятие услуги разработано менее,
чем понятие товара. Услуга - полезное действие, результатом которого является
либо изделие, либо полезный эффект. Основное содержание заключается в том, что
услуга - действие, осуществляемое одной стороной для другой. Полезность услуги
проявляется в виде результата, который получает потребитель. Услуги
удовлетворяют потребности частных лиц, коллективов, предприятий.
Услуга - любая деятельность, либо
мероприятие или выгода, которую одна сторона может предложить другой,
неосязаемое действие, не приводящее к владению чем-либо. Ее представление может
быть связано с материальным продуктом.
Понятие услуги включает две части -
результат и процесс. Результатом деятельности организаций, оказывающих
материальные услуги, является выполненная работа или (за исключением
транспортных организаций) услуга в вещной форме. Результатом деятельности
организаций, оказывающих социально-культурные услуги (собственно услуги),
являются услуги в невещной форме (результат экскурсионного обслуживания или
образовательного процесса и пр.).
Вторая составная часть услуги -
процесс ее предоставления - деятельность исполнителя услуги. Предоставление
услуги можно подразделить на отдельные этапы (обеспечение необходимыми
ресурсами, технологический процесс исполнения, контроль и оценка, процесс
обслуживания).
Обеспечение ресурсами - это
строительство или аренда здания организации, оснащение ее оборудованием,
укомплектование штатами и пр.
Технологический процесс специфичен
для каждой группы услуг. Например, технологический процесс услуги розничной
торговли включает приемку товаров, обеспечение хранения, предпродажную
подготовку, выкладку товаров. Технологический процесс услуги по химической
чистке состоит из сортировки изделий, удаления специфических загрязнений
(выведения пятен), зачистки изделий (обработки специальными реагентами
загрязненных мест на них перед обработкой органическими растворителями),
обработки изделий в среде органических растворителей, пропитки изделий,
влажно-тепловой обработки, проверки качества.
Из приведенных примеров следует, что
технологический процесс обеспечивает качество работы как результат услуги.
Содержание процесса предоставления
услуги (составляющие его этапы) может быть различным, но непременной его частью
является процесс обслуживания. Под ним понимается деятельность исполнителя при
непосредственном контакте с потребителем услуги [18, c.163]. Качество обслуживания представляет
собой совокупность двух характеристик: характеристик процесса и характеристик
условий обслуживания.
Характеристикой процесса
обслуживания является культура обслуживания. Она определяется профессионализмом
и этикой обслуживающего персонала. Условия обслуживания - совокупность
факторов, воздействующих на потребителя услуги в процессе обслуживания.
В современной трактовке определение
услуги звучит как согласованный процесс взаимодействия двух или более субъектов
рынка, когда одни субъекты воздействуют на другие в целях создания, расширения
или воспроизводства возможностей последних в получении фундаментальной пользы
(благ).
Таким образом, услуга - вид
деятельности или благ, который одна сторона может предложить другой, и который
по своей сути не является осязаемым и не результируется в собственность
клиента. Производство услуги может быть, а может и не быть связано с физическим
продуктом.
Услуги могут производиться людьми и
оборудованием; оказываться в присутствии клиентов и в их отсутствие; быть направленными
на удовлетворение личных потребностей или нужд организаций; носить коммерческий
и некоммерческий характер; оказываться частными и государственными
организациями. Примерами услуг являются транспортные, банковские, страховые и
туристические продукты; результаты деятельности бытовых, автосервисных
организаций, техническое обслуживание и ремонт др. [4, c. 28].
1.2 Ценовые системы рынка услуг и
методика формирования цены
Цена является для предприятия не
только важным фактором, определяющим прибыль, но и условием реализации товаров
в силу следующих причин:
во-первых, в отличие от большинства
методов, применяемых по стимулированию спроса, использование цены не требует
дополнительных денежных расходов, как при проведении рекламных мероприятий,
индивидуализации продукта, продвижении и т.д.;
во-вторых, потребители
привлекательность товаров, выраженную в цене, находят легче, чем на основе
рекламы, индивидуализации продукта и т.п.;
в-третьих, даже когда другие методы
стимулирования, в частности организация персональных продаж и рекламы, являются
основными, цена может использоваться как мощное средство их поддержания [15, c. 33].
Анализ опыта работы американских
компаний по установлению цен показывает, что они применяют такую
последовательность в разработке и расчете цен:
. Постановка задач по
ценообразованию.
. Определение характера спроса и
предложения.
. Оценка издержек производства.
. Анализ цен конкурентов.
. Выбор метода ценообразования.
. Установление окончательной цены.
При постановке задачи по ценообразованию
следует исходить из положения о том, какую роль предприятие отводит цене в
своей коммерческой работе. В условиях рынка существует целая серия ценовых
стратегий:
Рисунок 1.1 - ценовые стратегии
Высокие цены ("снятие
сливок"). Предусматривается, что первоначальная цена значительно выше
издержек производства, а затем идет понижение цен. Это относится к
товарам-новинкам, защищенным патентами. Подобная стратегия возможна в условиях
высокого уровня текущего спроса, когда такая цена воспринимается потребителем
как свидетельство отличного качества товара и т.д.
Низкие цены, или цены
"проникновения" на рынок. Это делается с целью стимулирования спроса
(например, при продаже персональных компьютеров), что эффективно на рынках с
большим объемом производства и высокой эластичностью спроса, когда покупатели
резко реагируют на снижение цен и увеличивают спрос. Предприятие за счет
массового производства выдерживает низкий уровень цен.
Дифференцированные цены. Цены
устанавливаются в сочетании со всевозможными скидками и надбавками к среднему
уровню, характерному для различных рынков, их сегментов и покупателей.
Льготные цены. Такая стратегия
направлена на работу с покупателями, в которых заинтересовано предприятие,
предлагающее товар по льготной цене.
Гибкие, эластичные цены. В данном
случае их уровень зависит от возможностей покупателя, его покупательной силы.
Стабильные, стандартные цены.
Неокругленные цены. Покупатель
приобретает товар не за 100 долл., а 99,99 долл. В этом случае покупатель
рассматривает эти цены как низкие или как доказательство тщательного подсчета.
Для того чтобы применить на практике
ту или иную ценовую политику, надо повседневно следить за складывающимся
уровнем цен. Наиболее полное представление в данном случае дают фактические
сделки и договоры. Эти цены могут рассматриваться как конкурентные при ведении
переговоров. Биржевые котировки служат хорошим ориентиром при торговле
биржевыми товарами, они отражают фактические сделки на определенный период. При
их анализе следует иметь в виду, что они подвержены влиянию экономической
конъюнктуры. Цены аукционов и торгов близки к котировкам бирж [16].
В статистических источниках, как
правило, даются средние цены, справочные цены публикуются в справочных
изданиях, каталогах, журналах, газетах и т.д. При их рассмотрении следует иметь
в виду, что они не отражают реальной картины, поскольку продавцы обычно
представляют разнообразные скидки. Характерной чертой справочных цен является
их стабильность во времени, они мало меняются при изменении конъюнктуры, тогда
как скидки и надбавки чаще подвергаются пересмотру.
В практической работе для
определения характера спроса и предложения в зависимости от цены применяют
графики спроса и предложения. Кривая спроса показывает, что между ценой и
количеством товара устанавливается обратно пропорциональная зависимость, т.е.
характерно постепенное убывание спроса: чем выше цена, тем меньше товара по ней
будет куплено. Кривая предложения при росте цен возрастает, т.е. из-за
стремления получить наибольшую прибыль продавец стремится выставить большее
количество товара на продажу.
Итак, качественные и количественный
анализ графиков спроса и предложения даже при грубых расчетах позволяет
определить, какова будет политика цен предприятия, а также политика по выходу
на рынок с тем или иным товаром. Методы построения графиков просты и могут
применяться на предприятиях экономистами даже средней квалификации. При наличии
больших массивов информации имеет смысл использовать более сложные математические
методы и компьютерное моделирование.
При оценке издержек оказания услуг,
следует учитывать главное: если затраты снизятся, то это позволит увеличить
объем услуг, и наоборот. А издержки производства, в свою очередь, зависят от
уровня научно-технического прогресса и степени монополизации рынка,
проявляющейся в изменении цен при любом уровне производства.
Если издержки производства равны
общественным или ниже их, то предприятия получают прибыль, если же выше, то они
теряют часть индивидуальной стоимости товара и в итоге разоряются. Таким
образом, для предприятия величина издержек производства является нижним
пределом устанавливаемого уровня цены, и реализация ниже этого уровня будет
убыточна. Верхним пределом устанавливаемой цены является рыночная цена, формирующаяся
под воздействием, с одной стороны, спроса и предложения, а с другой -
конкуренции на рынке аналогичных услуг.
При анализе цены конкурентов
основное внимание должно быть обращено на систему скидок, которую он
представляет. В мировой практике насчитывается около 20 видов скидок с цены, в
том числе:
- скидки с прейскуранта и
справочной цены;
- бонусные скидки,
или скидки за оборот, предоставляемые постоянным клиентам;
- прогрессивные
скидки для клиентов за количество, объем заказов, серийность;
- экспортная скидка
при продаже товара на экспорт;
- функциональные
скидки, или скидки в сфере торговли, предоставляемые производителем за
выполнение сервисных функций (например, послепродажное обслуживание);
- специальные скидки,
предоставляемые продавцом тем покупателям, в которых он больше всего
заинтересован;
- скрытые скидки для
покупателей в виде продажи бесплатных образцов [15, c.34].
В итоге уровень формируемой цены
должен находиться в промежутке между низкой ценой (издержки производства), не
приносящей прибыли, и теоретически высокой ценой, определяемой спросом
(рыночная цена) без учета задач предприятия.
Выбор метода ценообразования
возможен только после того, как пройдены предыдущие этапы. Оптимальная цена
должна, во-первых, полностью возместить все издержки производства,
распределения и сбыта продукта, а во-вторых, обеспечить получение определенной
прибыли. Общеизвестны три направления в установлении уровня цены: минимальный
(определяется затратами), максимальный (формируется спросом) и оптимальный (определяется
себестоимостью продукции, ценами конкурентов и товаров-заменителей, а также
уникальными достоинствами товара).
При расчете возможной цены самым
распространенным считается метод "средние издержки плюс
предпринимательская прибыль". Он заключается в начислении наценки на
себестоимость товара, которая зависит от его вида, стоимости единицы изделия,
объемов продаж, скорости оборачиваемости товарных запасов и т.д.
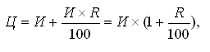
Цена услуги при этом методе
рассчитывается по формуле 1.1:
(1.1)
где Ц - цена услуги;
И - себестоимость услуги (издержки);
R - рентабельность услуги, %.
Данный метод учитывает в цене
покрытие издержек, связанных с оказанием услуги, и некоторую стандартную
наценку на понесенные затраты. Но главное состоит в том, что наценка должна
учитывать особенности текущего спроса и конкуренции.
Второй метод - расчеты цены на
основе анализа безубыточности и обеспечения целевой прибыли. При использовании
данного метода предприятие стремится установить цену, обеспечивающую желаемый
объем прибыли в абсолютном выражении.
Цена безубыточности обеспечивает
полное покрытие расходов в расчете на определенный объем продаж. Цена
безубыточности определяется по формуле 1.2:
Цбезубыт = Перем + Пост / q0
, (1.2)
где Перем - переменные затраты в
себестоимости услуги;
Пост - постоянные затраты на весь
объем услуг;0 - объем продаж, при котором достигается безубыточность
производства.
Любое превышение реального объема
продаж над q0 обеспечивает получение определенной прибыли. Цена,
обеспечивающая желаемый объем прибыли, должна иметь в своем составе некоторую
надбавку к цене безубыточности:
Ццелев = Перем + Пост / qЦ
+ Приб / qЦ , (1.3)
где Приб - целевой объем прибыли,
ден. ед.;Ц - объем продаж, при котором предприятие получает целевую
прибыль.
В данном случае предприятие
устанавливает цену из расчета желаемого объема прибыли. Но для возмещения
издержек производства требуется реализовать определенный объем продукции по
данной или более высокой цене, а ни в коем случае меньшее ее количество.
Используя такой метод, предприятие должно точно рассчитать уровень цены, когда
будут достигнуты такие объемы продаж, при которых оно сможет покрыть валовые
издержки и получить целевую прибыль.
Недостатком данного метода является
то, что при его использовании игнорируется чувствительность спроса к цене и
реакция конкурентов. Нет гарантий, что целевая цена обеспечит объем продаж, на
основе которого она была рассчитана.
Третий метод основан на уникальности
выпускаемой продукции и ценности ее для покупателя. Это так называемый метод
ценообразования на основе воспринимаемой ценности товара. Здесь на место
затратных факторов приходит восприятие покупателем товара. Данный метод имеет в
основе рассмотрение товара как совокупности атрибутов (т.е. мультиатрибутивную
модель товара). Идея этого метода заключается в следующем:
- покупатели рассматривают
любой товар как совокупность атрибутов;
- разные покупатели
придают атрибутам разную значимость;
- у разных
покупателей разное мнение о степени присутствия в товаре определенного
атрибута;
- покупатели
связывают полезность (ценность) товара со степенью присутствия в товаре
определенного атрибута.
Последовательность действий по
установлению цены в рамках этого метода такова:
- определяется перечень
важнейших атрибутов товара;
- потребителей (или
экспертов, выступающих в роли потребителей) просят распределить 100 баллов (или
единицу) между основными атрибутами пропорционально придаваемой им важности;
- просят указать
(например, по десятибалльной шкале) степень присутствия каждого атрибута в
товаре;
- определяют
средневзвешенную оценку воспринимаемой ценности товара;
- те же самые
действия осуществляются в отношении аналогичного товара, присутствующего на
рынке;
- на основании данных
о средней цене аналогичного (эталонного) товара, присутствующего на рынке,
рассчитывается цена, пропорциональная воспринимаемой ценности.
После проведения расчетов
устанавливается окончательная цена на производимый товар. При формировании
окончательной цены должны учитываться не только экономические, но и
психологические факторы цены, например престижность. Бывают случаи, когда с
ростом цен увеличивается объем сбыта (в обществе действует фактор
престижности). Есть мнение, что цена должна выражаться нечетным числом. При
установлении цены, кроме того, следует учитывать реакцию на нее со стороны
конкурентов и т.д. [14].
1.3
Конкурентоспособность услуг и ее составляющие
Конкурентоспособность - это
характеристика товара (услуги), отражающая его отличие от товара-конкурента как
по степени соответствия конкретной потребности, так и по затратам на ее
удовлетворение.
Конкурентоспособность включает три
основные составляющие. Первая жестко связана с товаром как таковым и в
значительной мере сводится к качеству. Вторая связана как с экономикой создания
сбыта и сервиса товара, так и с экономическими возможностями и ограничениями
потребителя. Она находит свое выражение в цене товара (услуги). Наконец, третья
отражает все то, что может быть приятно или неприятно потребителю как
покупателю, как человеку, как члену той или иной социальной группы и т. д. [12,
c. 4]
Два элемента - потребительские
свойства и цена - являются главными составляющими конкурентоспособности товара
(услуги). Однако рыночные перспективы товаров связаны не только с качеством и
издержками производства. Причиной успеха или неудачи товара могут быть и другие
(нетоварные) факторы, такие, как рекламная деятельность, престиж фирмы,
предлагаемый уровень обслуживания.
И все же, как ни важны
внепроизводственные аспекты деятельности фирм по обеспечению конкурентоспособности,
основой являются качество и цена. Вместе с тем обслуживание на высшем уровне
создает большую привлекательность. Исходя из этого, формулу
конкурентоспособности можно представить в следующем виде:
Конкурентоспособность = Качество +
Цена + Обслуживание.
Управлять конкурентоспособностью -
значит обеспечивать оптимальное соотношение названных составляющих, направлять
основные усилия на решение следующих задач: повышение качества продукции,
снижение издержек производства, повышение экономичности и уровня обслуживания.
Указанные составляющие конкурентоспособности являются многофакторными, и каждая
из них может рассматриваться как сложный самостоятельный объект управления. В
частности, на величину издержек производства влияют стоимость и качество сырья,
топлива, электроэнергии, покупных полуфабрикатов и комплектующих изделий,
квалификация и уровень заработной платы производственного персонала,
производительность труда, издержки управления и т.д. При этом в конечном счете
возможность обеспечения необходимого уровня составляющих конкурентоспособность
элементов определяется такими базовыми производственными факторами, как
технический уровень производства, уровень организации производства и управления
[1, c. 152].
По существу, основа современной
"философии успеха" заключается в подчинении интересов фирмы целям
разработки реализации конкурентоспособного ассортимента услуг. На первый план
ставится ориентация на долговременный успех и на потребителя. Безусловно,
ориентация на потребителя выражает стремление фирмы обеспечить себе наиболее
надежный путь к достижению и поддержанию высокой прибыли.
Финансовые результаты, например,
многих японских компаний свидетельствуют, что именно эта философия в
современных условиях ведет к обеспечению стабильного положения фирм на рынке,
высокой рентабельности их деятельности. Поэтому руководители компаний
рассматривают вопросы прибыльности с позиций качества, потребительских свойств
продукции (услуг), конкурентоспособности [2, c. 34].
Для анализа положения изделия на
рынке, оценки перспектив его сбыта, выбора стратегии продаж используется
концепция "жизненного цикла товара".
Одновременная работа с товарами,
находящимися на различных стадиях жизненного цикла, под силу лишь крупным
компаниям. Небольшие фирмы вынуждены идти по пути специализации, т.е. выбирают
себе одно из следующих направлений:
- фирма-новатор,
занимающаяся прежде всего вопросами нововведений;
- инжиниринговая
фирма, разрабатывающая оригинальные модификации товара и его дизайн;
- узкоспециализированный
изготовитель - чаще всего субпоставщик относительно несложных изделий массового
выпуска;
- производитель
традиционных изделий (услуг) высокого качества.
Как показывает опыт, небольшие фирмы
особенно активно действуют в производстве товаров, проходящих стадии формирования
рынка и ухода с него. Дело в том, что крупная фирма обычно неохотно идет первой
на производство принципиально новой продукции. Последствия возможной неудачи
для нее намного тяжелее, чем для небольшой вновь образованной фирмы. И если
речь идет не о фундаментальных разработках в области технологии, а о доведении
оригинальной идеи нового изделия до стадии материального воплощения, то она
вполне под силу относительно небольшим фирмам-новаторам. Именно они сегодня
определяют инновационный процесс в развитых странах. Таким образом,
специализация малых фирм на работе с товарами, находящимися на конкретных
стадиях жизненного цикла, порождается стремлением фирмы наиболее эффективно
использовать свой потенциал и обеспечить конкурентоспособность товара на рынке
[7, c. 4].
Согласно закону о конкуренции в мире
происходит объективный процесс повышения качества продукции (услуг) и снижения
их удельной цены, отражающей отношение цены товара к его полезному эффекту. В
условиях конкуренции никто никого не заставляет повышать качество продукции,
кроме угрозы банкротства. В результате постоянно идет процесс
"вымывания" с рынка некачественной продукции. Таким образом, главным
критерием конкурентоспособности является оценка товара потребителем. Поэтому в
рыночных условиях все элементы конкурентоспособности товара должны быть
ориентированы на покупателя, чтобы не могло возникнуть малейшего сомнения или
иного толкования в отношении любого из них. Как известно, каждый рынок
характеризуется своим покупателем, составляющим различные сегменты
потребительского рынка. Поэтому факторы конкурентоспособности во многом
формируются под влиянием тех сегментов рынка, на которых происходит
конкурентная борьба. Движущей силой конкуренции является стимул к
нововведениям. Именно на основе нововведений удастся повышать качество
продукции (услуг), улучшать полезный эффект товара, тем самым добиваться
конкурентного преимущества данного товара. Таким образом, обеспечение
конкурентоспособности товара требует новаторского, предпринимательского подхода,
сутью которого являются поиск и реализация инноваций [23, c.121].
1.4 Методы оценки ценовых и
неценовых параметров конкурентоспособности
В настоящее время существует множество методик
оценки конкурентоспособности товара (услуги). Методы оценки классифицируют на
прямые и косвенные; методы, применяемые на стадиях проектирования и
изготовления продукции, или на стадиях реализации товара. По виду формализации
выделяют эмпирические (формализованные) и экспертные (интуитивные) методы. По
форме представления данных различают расчетные, матричные, графические и
комбинированные (расчетно-матричные и расчетно-графические) методы.
Рисунок 1.2 - Методы оценки
конкурентоспособности
Прямые методы основаны на использовании общего
показателя конкурентоспособности товара. Как правило, в зависимости от его
значений товары ранжируют, присваивая первое место товару с наивысшим
значением. Это самые широко распространенные методы оценки
конкурентоспособности товара.
Косвенные методы основаны на анализе только
параметров отдельных свойств товара, как правило, это технические или
экономические параметры, что позволяет косвенно и не полно судить об уровне
конкурентоспособности товара. Основой расчета данных методов являются групповые
показатели количественных характеристик технических параметров или цены
потребления. В качестве критерия оценки конкурентоспособности товара может
использоваться степень соответствия его требованиям конкретных стандартов.
Методы, применяемые на стадиях проектирования и
изготовления продукции, основаны на определении уровня ее потенциальной
конкурентоспособности. Эти методы используются для обоснованного принятия
решения о целесообразности ее промышленного производства. Данные методы, как
правило, используются при сравнительном анализе проектируемого продукта с его
образцовым аналогом.
Методы, применяемые на стадиях реализации и
эксплуатации товара, в основном используются для обоснованного принятия решения
о целесообразности модернизации или разработки новой продукции. Кроме того,
данные методы широко применяются торговыми и потребительскими организациями.
Расчетные методы оценки конкурентоспособности
включают комплексный метод, метод соотношений качества и затрат (полезного
эффекта от использования товара), метод верхнего предела цены, смешанный метод.
Комплексный метод предполагает определение
интегрального показателя конкурентоспособности рассматриваемого товара по
отношению к товару-конкуренту. Комплексный метод основывается на применении
групповых, обобщенных, интегральных показателей. С позиций комплексного подхода
при оценке конкурентных преимуществ следует учитывать технические (состояние
материально-технической базы предприятия), правовые (стабильность
демократических преобразований, системность и обоснованность законодательных
актов по различным направлениям права), рыночные (потенциал рынка, сила
конкуренции, открытость, маркетинг), научные (глубина анализа экономических
законов и закономерностей, законов организации, ширина и глубина применения
научных подходов, современных методов), экономические (рентабельность,
устойчивость, финансовые инструменты, обеспеченность ресурсами и т.д.),
организационные (организация производства, труда, менеджмента, логистика,
организация рыночной инфраструктуры), психологические и другие аспекты
обеспечения конкурентоспособности, а также их взаимовлияния [8, c.67].
Оценка конкурентоспособности услуг проводится в
следующей последовательности:
Рисунок 1.3 - Этапы оценки конкурентоспособности
Первый этап: выбор базы для сравнения.
Определение базы для сравнения будет зависеть от цели оценки, в качестве базы
для сравнения могут служить образцы продукции, соответствующие лучшим
отечественным и зарубежным стандартам, пользующиеся спросом у потребителей.
Теоретически в качестве базы сравнения можно принять потребительские
предпочтения, гипотетический (средний или идеальный) образец, аналогичную
номенклатуру или группу услуг конкурентов и т.п.
Второй этап: определение параметров оценки. Для
потребителей наиболее существенными являются параметры цены и качества услуг. В
этой связи предлагается оценивать конкурентоспособность по двум группам
параметров: экономическим и потребительским.
Цена услуг является экономическим параметром
конкурентоспособности и ее влияние на конкурентоспособность противоположно.
Качество определяется совокупностью параметров,
определяющих потребительские свойства и продвижение услуг. В целом все критерии
качества объединены под названием потребительские (неценовые) параметры. Можно
выделить три группы критериев в потребительских (неценовых) параметрах:
- время обслуживания;
- сервис;
- реклама и продвижение.
Третий этап: исчисление показателей
конкурентоспособности. Для определения конкурентоспособности услуг
последовательно исчисляют единичные, групповые и интегральные показатели.
Единичный показатель конкурентоспособности
услуги по экономическим параметрам определяется по формуле 1.4:
=
,
(1.4)
где Ец - единичный показатель
конкурентоспособности по экономическому параметру - по цене;
Цп -
цена услуги предприятия;
Цк - цена
конкурента на данный вид услуг.
Для обобщения результатов расчета единичных
показателей конкурентоспособности услуг по цене необходимо построить матрицу
(таблица 1.1).
Таблица 1.1 - Матрица сравнения единичных
показателей конкурентоспособности по цене
|
Производитель
услуг
|
А
|
В
|
С
|
…….
|
Х
|
|
1
|
2
|
3
|
4
|
5
|
6
|
|
А
|
=
1
|
<
1
|
>
1
|
>
1
|
<
1
|
|
В
|
<
1
|
=
1
|
>
1
|
<
1
|
>
1
|
|
С
|
<
1
|
>
1
|
=
1
|
>
1
|
>
1
|
|
……..
|
<
1
|
<
1
|
<
1
|
=
1
|
>
1
|
|
Х
|
>
1
|
>
1
|
<
1
|
<
1
|
=
1
|
где А, В, С, …, Х - производители оцениваемой
услуги (конкуренты).
Для оценки потребительских (неценовых)
параметров услуг используется балловая система. Каждый потребительский параметр
должен быть оценен по пятибалльной шкале. Для обработки результатов
предлагается анкета оценки потребительских (неценовых) параметров.
Таблица 1.2 - Анкета оценки потребительских
(неценовых) параметров услуг
|
Параметры Производители
|
П1
|
П2
|
П3
|
П4
|
П5
|
|
1
|
2
|
3
|
4
|
5
|
6
|
|
А
|
=
5∙k
|
< 5∙k
|
< 5∙k
|
=
5∙k
|
=
5∙k
|
|
В
|
< 5∙k
|
=
5∙k
|
=
5∙k
|
< 5∙k
|
< 5∙k
|
|
С
|
< 5∙k
|
=
5∙k
|
< 5∙k
|
=
5∙k
|
< 5∙k
|
|
……..
|
< 5∙k
|
=
5∙k
|
< 5∙k
|
< 5∙k
|
=
5∙k
|
|
Х
|
=
5∙k
|
< 5∙k
|
=
5∙k
|
< 5∙k
|
< 5∙k
|
где П1, П2, П3, П4, П5 - потребительские
параметры услуг;
А, В, С, Х - производители услуг;- коэффициент
весомости.
Для расчета единичного показателя
конкурентоспособности услуг по потребительским параметрам предлагается формула
(1.5), позволяющая учесть все группы параметров и их весомость:
(1.5)
где Еп.п. - единичный показатель конкурентоспособности
по потребительским параметрам;
хi -
элемент соответствующего параметра;
k -
коэффициент весомости элемента;
n
-
количество элементов соответствующего параметра;
i -
параметрический индекс.
Групповой показатель конкурентоспособности
услуги по цене следует рассчитывать как среднюю арифметическую единичных
показателей по всем анализируемым производителям по формуле 1.6:
=
,
(1.6)
где Gц - групповой показатель
конкурентоспособности по цене;
ЕЦ
- единичный показатель конкурентоспособности по цене;
n
-
количество анализируемых субъектов;
i -
параметрический индекс.
Для определения группового показателя
конкурентоспособности по потребительским (неценовым) параметрам используется
формула 1.7:
(1.7)
где Gп.п. - групповой показатель
конкурентоспособности по неценовым параметрам;
Еп.п.
- единичный показатель конкурентоспособности по неценовым параметрам;
n
- количество анализируемых параметров;
i -
параметрический индекс.
Интегральный показатель конкурентоспособности
показывает уровень конкурентоспособности услуг по отношению к конкурентам на
рынке ценовым и неценовым параметрам. Расчет интегрального показателя
конкурентоспособности продукции следует производить по формуле 1.8:

, (1.8)
где I - интегральный показатель
конкурентоспособности;
Gп.п.
- групповой показатель конкурентоспособности по потребительским параметрам;
Gц - групповой
показатель конкурентоспособности по цене.
Чем выше интегральный коэффициент, тем более
конкурентоспособной является услуга.
Приведенные методики позволяют охарактеризовать
конкурентоспособность товара по отношению к другим товарам. Сопоставление ведется
по таблице сравнения параметров. В результате сравнения одним из методов дается
одно из следующих заключений:
- услуга конкурентоспособна на данном рынке в
сравниваемом классе услуг;
- услуга обладает низкой
конкурентоспособностью в сравниваемом классе на данном рынке;
- услуга полностью
неконкурентоспособна в сравниваемом классе услуг на данном рынке.
Заключение дополняется выводами о преимуществах
и недостатках оцениваемой услуги по сравнению с аналогами, а также
предложениями о мерах, которые должны быть приняты для улучшения
конкурентоспособности услуг организации на рынке [9, c.125].
.5 Зарубежный опыт оценки ценовых,
неценовых и эмпирических (сенсорных) параметров конкурентоспособности услуг
Можно выделить пять основных особенностей оценки
конкурентоспособности услуг. Первая особенность заключается в том, что объектом
оценки конкурентоспособности услуг является деятельность организации сферы
услуг.
Поскольку объектом деятельности организаций,
оказывающих нематериальные услуги, является исключительно сам человек, который
как клиент контактирует с исполнителем и одновременно потребляет услугу.
Отсюда следует вторая особенность: сам клиент
оценивает качество услуги на месте ее выполнения; качество услуги должно
соответствовать прежде всего требованиям этого клиента.
Третья особенность оценки услуг связана с
оценкой качества и условий обслуживания. Для оценки качества обслуживания
широко используется такой специфический критерий, как временная характеристика.
Она включает сроки выполнения работы, время обслуживания и часто является
определяющей (своевременное прибытие поезда, срок выполнения заказа,
продолжительность экскурсии).
При предоставлении отдельных групп услуг затраты
времени, предшествующие обслуживанию, значительно превосходят затраты времени
клиента на непосредственный контакт с исполнителем, достигая соотношения 20 :
1.
При этом оценка затрат времени при обслуживании
не может быть однозначной: большие затраты времени на ожидание приема врача
оцениваются потребителем отрицательно, а на контакт с врачом - положительно;
большие затраты времени на консультацию с продавцом-консультантом оцениваются
покупателем положительно, а на ожидание в очереди к продавцу-кассиру -
отрицательно. Временные характеристики могут быть учтены в составе разных групп
показателей качества: движение общественного транспорта по расписанию
целесообразно оценивать в критерии "результат услуги"; время
обслуживания при предоставлении материальной услуги (например, химчистки,
ремонтной мастерской) - в критерии "культура обслуживания". В
отдельных случаях затраты времени определяют не столько потребительную
стоимость услуги, сколько стоимость и могут быть переведены в денежные
средства.
Четвертая особенность связана с применением
специфических видов стандартов. Необходимость регламентации требований к
качеству обслуживания вызвала к жизни два специфических вида стандартов:
стандарты на предприятия и стандарты на персонал. Эти стандарты определяют
качество обслуживания: первый характеризует условия обслуживания, поскольку они
зависят от материально-технической базы предприятия; второй - культуру
обслуживания, поскольку она задается человеческим фактором.
Пятая особенность связана с разовым характером
ряда нематериальных услуг, например юридическая консультация, консультация врача.
Клиент дает субъективную оценку результата услуги и часто передает свое мнение
другим. Суммирование субъективных суждений позволяет дать достаточно
субъективную оценку имиджа исполнителя и конкурентоспособности его услуг [17, c.269].
За рубежом разработаны методики обеспечения
стабильного уровня конкурентоспособности по показателям качества в объеме и во
времени. Так, согласно автомобильному стандарту Германии (VDA 6.1) предприятие
должно обеспечить в течение гарантийного срока прослеживаемостъ каждого компонента,
поступающего на завод и выходящего за его пределы: изделие, поставщик, номер
партии, номер контролера качества, номер узла и автомобиля, в котором оно
использовано, сведения о владельце купленного автомобиля и т.д. При обнаружении
дефектного компонента во время эксплуатации автомобиля указанная информация
позволит, с одной стороны, выявить причины и виновника дефекта, а с другой -
связаться с владельцами автомашин, в конструкции которых имеется потенциально
дефектная деталь, на предмет замены в сервисном центре опасного компонента на
безопасный. В конечном счете выполнение требований стандарта направлено на
обеспечение стабильности качества в объеме. Согласно своему фирменному
стандарту "Мерседес Бенц" ("Mercedes Benz") требует на
каждый элемент поставки 15-летней гарантии и "нулевой" показатель
износа при пробеге 250 тыс. км по сельским дорогам Германии. Указанная мера
направлена на обеспечение стабильности качества во времени.
На обеспечение стабильности качества в объеме и
во времени направлена широко известная в мире программа "Шесть сигм",
которая была разработана компанией "Моторола" ("Motorola")
в 1980-е гг. Ее реализация позволила сократить дефекты на 99,7% и сэкономить
компании с 1987 по 1996 г. 11 млрд долл.
Как известно, "сигму" (буква греческого
алфавита "а") применяют для обозначения меры изменчивости. Ее
значение показывает, как часто может возникать дефект. Анализ стабильности
процесса сводится к оценке меры изменчивости: процесс с допуском Зσ
дает
приблизительно 0,27% дефектов, или 2700 дефектов на 1 млн изделий или событий;
в процессе с допуском 6σ уже
насчитывается несколько дефектов - 3-4 дефекта на 1 млн изделий. Компании,
обеспечивающие воспроизводимость 6σ, относятся
по конкурентоспособности к категории "мировой класс".
При указанных жестких нормах контроль по
альтернативному признаку и значениям ключевых показателей качества становится
непригодным. На смену "человеческому фактору" приходит автоматический
сплошной контроль, встроенный в технологический процесс. Там, где нет высокоскоростных
контрольных автоматов, службы качества переключают свое внимание с контроля
качества на слежение за процессами, т.е. на задачи статистического управления
процессами (SPS). Основной задачей системы SPS является установление причин,
нарушающих стабильное течение процесса.
Отличие программы "Шесть сигм" от
предшествующих подходов непрерывного улучшения качества заключается в том, что
специально обученные бригады делают акцент на каждой операции процесса, измеряя
несоответствия в единицах дефектов на 1 млн событий (или изделий), и на основе
анализа формулируют долгосрочные цели улучшения качества процесса.
Жесткие нормы по допустимому уровню
несоответствия применяют за рубежом в сфере услуг при оценке качества
обслуживания. Например, в США уровень жалоб конечных потребителей должен
составлять не более 2 на 100 млн ед. проданной продукции.
Надежность сложнотехнических товаров в огромной
степени зависит от качества поступающих к изготовителю готовой продукции
комплектующих деталей. Так, качество автомобиля на 60-80% зависит от качества
поставляемых узлов и деталей. Поэтому некоторые фирмы, особо дорожащие своим
имиджем, стремятся свести к минимуму аутсорсинг - заказ на изготовление
продукции в других странах в целях снижения издержек. Так, известный производитель
электробытовых машин и приборов для премиального сегмента - немецкая фирма
"Миле" ("Miele"), гарантирующая срок службы техники 20 лет,
создает комплектующие на своих заводах. Ограниченно использует аутсорсинг
японский изготовитель автомобилей марки "Субару"
("Subaru").
В проблеме обеспечения стабильности качества
имеется очень важный аспект - информация потребителя о показателях надежности
через стандарты, эксплуатационные документы, печатные органы. Указанная
информация необходима для реализации права потребителя на высокое качество
обслуживания [24, c.115].
2. Экономическая оценка уровня
конкурентоспособности услуг на РПУП "Гомельторгтехника"
.1 Исследование уровня конкуренции на рынке
услуг
Основным направлением работы РПУП
"Гомельторгтехника" является оказание услуг модернизации, ремонта и
технического обслуживания холодильных установок и торгового оборудования.
Зоной деятельности по реализации услуг является
г. Гомель и Гомельская область. Основными заказчиками услуг являются учреждения
образования, а также предприятия госторговли, промышленные предприятия, частные
и индивидуальные предприниматели.
Наша экономика переходит на рыночные принципы, а
большинство современных рынков характеризуется как конкурентные. Отсюда
вытекает необходимость в изучении конкуренции, ее уровня и интенсивности для
рынка услуг модернизации, ремонта и технического обслуживания холодильных
установок и торгового оборудования.
Для анализа конкуренции на рынке в соответствии
с моделью М.Портера учитываются следующие группы факторов:
- соперничество среди конкурирующих на данном
рынке продавцов ("центральный ринг") - ситуация в отрасли;
- конкуренция со стороны товаров,
являющихся заменителями - влияние товаров-заменителей;
- угроза появления новых конкурентов -
влияние потенциальных конкурентов;
- позиции поставщиков, их
экономические возможности - влияние поставщиков;
- позиции потребителей, их
экономические возможности - влияние покупателей.
Каждая из рассматриваемых сил конкуренции может
оказывать различное как по направлению, так и по значимости воздействие на
ситуацию в отрасли, а их суммарное воздействие в итоге определяет
характеристики конкурентной борьбы в отрасли, прибыльность отрасли, место фирмы
на рынке и ее успешность.
Основные факторы, определяющие уровень конкуренции
в отрасли, объединенные в группы, а также признаки их проявления представлены в
приложении 1 [20, c. 348].
Состояние и прогноз изменения факторов
конкуренции на рынке услуг модернизации, ремонта и технического обслуживания
холодильных установок и торгового оборудования приведены в таблице 2.1.
Таблица 2.1 - Факторы конкуренции на рынке услуг
модернизации, ремонта и технического обслуживания торгового оборудования и
холодильных установок
|
Факторы
|
Оценка
|
Прогноз
|
|
1.
Ситуация в отрасли
|
|
|
|
Число и мощность фирм, конкурирующих на рынке
|
слабо проявляется
|
останется стабильным
|
|
Изменение платежеспособного спроса
|
не проявляется
|
останется стабильным
|
|
Степень стандартизации товара, предлагаемого на рынке
|
слабо проявляется
|
останется стабильным
|
|
Издержки переключения клиента с одного производителя на другого
|
четко проявляется
|
останется стабильным
|
|
Унифицированность сервисных услуг по товару в отрасли
|
слабо проявляется
|
останется стабильным
|
четко проявляется
|
останется стабильным
|
|
Стратегии конкурирующих фирм (поведение)
|
слабо проявляется
|
останется стабильным
|
|
Привлекательность рынка данного продукта
|
четко проявляется
|
определенно усилится
|
|
2.
Влияние потенциальных конкурентов
|
|
|
|
Трудности входа на отраслевой рынок
|
слабо проявляется
|
останется стабильным
|
|
Доступ к каналам распределения
|
слабо проявляется
|
останется стабильным
|
|
Отраслевые преимущества
|
слабо проявляется
|
останется стабильным
|
|
3.
Влияние поставщиков
|
|
|
|
Уникальность канала поставок
|
слабо проявляется
|
останется стабильным
|
|
Значимость покупателя
|
слабо проявляется
|
останется стабильным
|
|
Доля отдельного поставщика
|
слабо проявляется
|
останется стабильным
|
|
4.
Влияние покупателей
|
|
|
|
Статус покупателей
|
слабо проявляется
|
останется стабильным
|
|
Значимость товара у покупателя
|
слабо проявляется
|
останется стабильным
|
|
Стандартизация товара
|
четко проявляется
|
останется стабильным
|
|
5.
Влияние товаров-заменителей
|
|
|
|
Цена
|
четко проявляется
|
останется стабильным
|
|
Стоимость "переключения"
|
четко проявляется
|
останется стабильным
|
|
Качество основного товара
|
четко проявляется
|
останется стабильным
|
. Ситуация в отрасли
В целом рынок весьма привлекательный, с растущим
спросом и большими потенциальными возможностями. Эти возможности обусловлены
динамичным развитием внутренней торговли в республике, расширением материально-технической
базы торговли. По словам министра торговли Республики Беларусь Валентина
Чеканова, в развитие торговли в нашей стране в 2011 году планируется привлечь
570 миллионов долларов инвестиций, а общий объем инвестиций вырастет на 16-17%.
Это заявление было сделано на заседании коллегии Министерства торговли
Республики Беларусь 27 января 2011 года. Инвестиции будут направлены на
создание новых торговых объектов и реконструкцию действующих.
В соответствии с разрабатываемой Программой
социально-экономического развития Республики Беларусь на 2011-2015 годы
развитие розничной торговой сети будет осуществляться по двум направлениям:
- укрупнение размеров магазинов за счет
строительства гипер-супермаркетов и торговых центров.
- формирование системы так называемых
удобных магазинов, расположенных в радиусе пешеходной доступности и торгующих
ассортиментом первой необходимости.
Дальнейшее развитие получат социально
ориентированные розничные торговые объекты (дискаунтеры) с минимальными
торговыми надбавками, "социальные полки" с размещением на них
ассортимента товаров, реализуемых со скидками. Расширится сфера применения
электронной торговли.
В целом в 2011-2015 годах розничная торговая
сеть Гомельской области увеличится на 250 магазинов [19].
Несмотря на то, что различные фирмы предлагают
на рынке различные сервисные услуги, издержки "переключения" клиента
невысоки, поэтому услуги можно считать стандартизированным по клиенту.
Спрос на рынке явно ненасыщен, поэтому фирмы не
склонны к проведению агрессивных стратегий. Рост числа торговых объектов и
одновременное увеличение оснащенности уже имеющихся объектов торговым и
холодильным оборудованием, одновременная замена устаревшего оборудования
обеспечивает широкую нишу для входа на рынок.
В то же время привлекательность рынка не очень
высокая. Стартовые и регулярные вложения при организации услуг модернизации,
ремонта и технического обслуживания оборудования очень высоки, срок окупаемости
велик и часто непредсказуем, рентабельность низкая.
Причина этого в том, что для прибыльной работы в
этой области надо в течение нескольких лет вкладывать большие деньги - покупать
машины для передвижения сотрудников, дорогостоящие инструменты, иметь склад
запчастей для ремонта оборудовании и установок, запас газа-хладагента, помещение
для хранения всего вышеперечисленного, оплачивать безлимитную мобильную связь и
зарплаты специалистов
При этом заказчики, все еще недостаточно
оплачивают сервисные услуги, что тормозит процесс интенсивного развития услуг.
Сегодня сервис для многих организаций является, скорее, вынужденной мерой - без
оказания поддержки клиенту никто уже не работает, что само по себе правильно.
Поэтому с одной стороны, многие фирмы-поставщики вынуждены организовать
обслуживание торгового и холодильного оборудования, потому что не иметь
сервис-службу нельзя. В то же время не каждая фирма может обеспечить ее
нормальную рентабельность.
Поэтому появление крупного лидера в ближайшее
время на рынке услуг модернизации, ремонта и технического обслуживания
торгового оборудования и холодильных установок не ожидается.
. Влияние потенциальных конкурентов
Высокие барьеры проникновения на рынок (высокие
затраты на достижение эффективного масштаба производства, противодействие фирм
отрасли, сложность организации поставок запчастей и комплектующих)
обусловливают низкую вероятность появления новых конкурентов на рынке. В
перспективе данная ситуация вряд ли изменится.
. Влияние поставщиков
Основными поставщиками материалов РПУП
"Гомельторгтехника" являются:
комплектующих к холодильному оборудованию:
ЗАО "Холодон"
ООО "Сибро-Инвест" г. Минск (филиал г.
Жлобин)
УП "Торгтехника" г. Минск
ООО "Криотекс"
ОДО "РОЛТЕХ"
ООО "Эдлн" г. Минск
ОДО "Дювас-авто" г. Минск
комплектующих к электрооборудованию:
Завод "Электроаппаратура" г. Гомель
НПО "Ратон" г. Гомель
ООО "Миква" г. Гомель
ЧПТУП "Барс" г. Гомель
УП "Лад-Строй" г. Минск
ООО "Энергооптсервис" г. Гомель
ОДО "Шестой элемент" г. Гомель
Филиал ООО "Ома" г. Гомель
хладогентов и масел:
ООО "Стокфер" г. Минск
ОДО "Интерсаванна" г. Минск
ОДО "Валентина-М"
ОДО "Гамма ПЛЮС" филиал в г. Гомель
комплектующих к электроплитам (бытовым):
УП "Промышленный стиль"
РУП "Гомельторгмаш"
ОДО "Гмина-Сервис" г. Минск
ООО "Ремстройдормаш" г. Минск
подшипников:
ОАО "Гомельский подшипниковый завод"
ООО "Стелла"
ЗАО Белснабподшипник"
резинотехнических изделий и ремней:
ООО "КапитанАРТИ"
УП "Резинотехника"
кабельной продукции:
ОАО "Беларуськабель" г. Мозырь
СОАО "Гомелькабель"
запчастей к КСА и СК:
ООО "НТС" г. Гомель
ООО "Магия света"
ОДО "Трале" г. Минск
ОДО "Компания-5" г. Минск
комплектующих к технологическому оборудованию:
РПУП "Торгмаш" г. Барановичи
РУП "Гомельторгмаш"
Завод торгового машиностроения г. Гродно
РПУП "Могилевторгтехника"
УП "Торгтехника" г. Минск
РУПП "Полесьеэлектромаш" г. Лунинец
ОАО "Завод швейных машин" г. Орша
ЧУП "Энва" г. Молодечно.
Из приведенного перечня можно сделать вывод об
отсутствии "монопоставщика" для обеспечения деятельности организации
в этой сфере деятельности и важности фирмы как клиента в глазах поставщиков.
Это свидетельствует о незначительном влиянии со стороны поставщиков. В
перспективе, по оценкам экспертов, данная ситуация не изменится.
. Влияние покупателей
Как уже говорилось выше, основными заказчиками
услуг РПУП "Гомельторгтехника" являются учреждения образования, а
также предприятия госторговли, промышленные предприятия, частные и
индивидуальные предприниматели.
Из медицинский
учреждений нашими заказчиками являются:
Мозырский
дом-интернат;
Мозырская городская
больница №2;
ЛПУ Узловая
больница на ст. Калинковичи;
Калинковичское ТМО,
Добрушское ТМО, Светлогорское ТМО; Кормянское ТМО, Брагинское ТМО;
Лоевская районная
больница;
Санаторий
"Серебряные ключи" г. Светлогорск;
Санаторий
Гомельского отделения Белорусской железной дороги;
Клиническая
больница на ст. Гомель;
Санаторий "Васильевка";
Гомельская
областная клиническая больница;
ГУ "РНПЦ
радиационной медицины и экологии человека и др.;
учреждения
образования:
Советского РОО;
Центрального РОО;
Новобелицкого РОО;
Железнодорожного
РОО;
Гомельский
университет им. Ф. Скорины;
ГПТУ № 78;
Машиностроительный
техникум;
Белорусский
государственный университет транспорта;
Техникум
железнодорожного транспорта;
Гомельское высшее
командно-инженерное училище МЧС;
Рогачевское РОО;
Жлобинское РОО;
Речицкое РОО;
Светлогоский
комбинат школьного питания;
Калинковичский
сельскохозяйственный техникум;
Кормянское РОО;
Мозырское РОО;
Мозырский
дом-интернат;
Мозырское ГПТУ
строителей;
Брагинское РОО.
Всего с РПУП
"Гомельторгтехника" заключено более 2000 договоров на техническое
обслуживание и ремонт торгово-технологического оборудования.
Отсутствие крупных клиентов и высокая значимость
услуги у покупателя ограничивают возможность угрозы со стороны покупателей.
Ситуация останется стабильной и в перспективе.
. Влияние товаров-заменителей
Низкие цены и низкая стоимость
"переключения", а также требование более высоких издержек на
поддержание качества услуг обусловливают сильное влияние услуг-заменителей.
Сила влияние факторов конкуренции данной группы в перспективе не изменится.
Выводы: Рынок услуг модернизации, ремонта и
технического обслуживания холодильных установок и торгового оборудования
характеризуется как привлекательный, с растущим спросом. Уровень конкуренции на
рынке в настоящий момент невысок. Появление крупного лидера в ближайшее время
не ожидается.
К благоприятно проявляющимся факторам,
определяющим уровень конкуренции, можно отнести отсутствие влияния
потенциальных конкурентов, поставщиков и покупателей.
К факторам, усиливающим уровень конкуренции,
относятся сильная конкуренция в смежных отраслях, сильное влияние со стороны
товаров-заменителей.
Прогноз изменения факторов конкуренции
показывает, что в основном в ближайшей перспективе ситуация не изменится, за
исключением влияния товаров-заменителей, которое определенно усилится.
В целом можно сделать вывод, что уровень
конкуренции на рынке на рынке услуг модернизации, ремонта и технического
обслуживания холодильных установок и торгового оборудования невысок и в
прогнозируемом периоде не изменится.
2.2 Измерение ценовых параметров уровня
конкурентоспособности услуг на РПУП "Гомельторгтехника"
Для измерения конкурентоспособности услуг РПУП
"Гомельторгтехника" по цене сравним цены на услуги с ценами
конкурентов в таблице 2.2.
Таблица 2.2 - Цены на некоторые виды услуг РПУП
"Гомельторгтехника" и конкурентов на 1.10.2010 г.
|
Наименование
обслуживаемой техники
|
Цены
на обслуживание, рублей
|
|
РПУП
"Гомельторгтехника"
|
ОДО
"НТС"
|
ЧПТУП
"Прохладосервис"
|
|
кассовый
суммирующий аппарат (КСА)
|
31844
|
28800
|
32760
|
|
холодильник
|
27224
|
28200
|
25800
|
|
кондиционер
|
95308
|
93600
|
104880
|
Единичный показатель конкурентоспособности
услуги по цене на обслуживание кассового суммирующего аппарата по сравнению с
ОДО "НТС" рассчитаем по формуле 1.4:
(1.4)
где Ец - единичный показатель
конкурентоспособности по цене;
Цп -
цена услуги предприятия;
Цк - цена
конкурента на данный вид услуг [6, c.78].
Аналогичным образом рассчитаем
конкурентоспособность обслуживания кассового суммирующего аппарата по цене для
остальных конкурентов. Результаты расчета конкурентоспособности обслуживания
кассового суммирующего аппарата РПУП "Гомельторгтехника" по цене
представим в таблице 2.3.
Таблица 2.3 - Матрица сравнения единичных показателей
конкурентоспособности услуги РПУП "Гомельторгтехника" по обслуживанию
кассового суммирующего аппарата по цене
|
Наименование
производителя слуги
|
РПУП
"Гомельторгтехника"
|
ОДО
"НТС"
|
ЧПТУП
"Прохладосервис
|
|
РПУП
"Гомельторгтехника"
|
1,00
|
0,90
|
1,03
|
|
ОДО
"НТС"
|
1,11
|
1,00
|
1,14
|
|
ЧПТУП
"Прохладосервис
|
0,97
|
0,88
|
1,00
|
|
Групповой
показатель
|
1,03
|
0,93
|
1,06
|
Рассчитаем также конкурентоспособность
обслуживания холодильного оборудования, результаты расчета представим в таблице
2.4.
Таблица 2.4 - Матрица сравнения единичных
показателей конкурентоспособности услуги РПУП "Гомельторгтехника" по
обслуживанию холодильного оборудования по цене
|
Наименование
производителя слуги
|
РПУП
"Гомельторгтехника"
|
ОДО
"НТС"
|
ЧПТУП
"Прохладосервис"
|
|
РПУП
"Гомельторгтехника"
|
1,00
|
1,04
|
0,95
|
|
ОДО
"НТС"
|
0,97
|
1,00
|
0,91
|
|
ЧПТУП
"Прохладосервис"
|
1,06
|
1,09
|
1,00
|
|
Групповой
показатель
|
1,01
|
1,04
|
0,95
|
Расчет конкурентоспособности обслуживания
кондиционеров по цене представим в таблице 2.5.
Таблица 2.5 - Матрица сравнения единичных
показателей конкурентоспособности обслуживания кондиционеров
|
Наименование
производителя слуги
|
РПУП
"Гомельторгтехника"
|
ОДО
"НТС"
|
ЧПТУП
"Прохладосервис"
|
|
РПУП
"Гомельторгтехника"
|
1,00
|
0,98
|
1,10
|
|
ОДО
"НТС"
|
1,02
|
1,00
|
1,12
|
|
ЧПТУП
"Прохладосервис"
|
0,91
|
0,89
|
1,00
|
|
Групповой
показатель
|
0,98
|
0,96
|
1,07
|
Обобщим результаты расчетов групповых
показателей конкурентоспособности услуг на РПУП "Гомельторгтехника"
по цене в таблице 2.6.
Таблица 2.6 - Обобщение расчета показателей
конкурентоспособности услуг на РПУП "Гомельторгтехника" по цене
|
Наименование
обслуживаемой техники
|
РПУП
"Гомельторгтехника"
|
ОДО
"НТС"
|
ЧПТУП
"Прохладосервис"
|
|
кассовый
суммирующий аппарат (КСА)
|
1,03
|
0,93
|
1,06
|
|
холодильник
|
1,01
|
1,04
|
0,95
|
|
кондиционер
|
0,98
|
0,96
|
1,07
|
|
Итоговый
показатель конкурентоспособности
|
1,00
|
0,98
|
1,03
|
Вывод: Расчеты групповых показателей
конкурентоспособности услуг РПУП "Гомельторгтехника" по цене
показывают, что по ценовым характеристикам наша организация отстает от ОДО
"НТС" в обслуживании кассовых суммирующих аппаратов и кондиционеров,
а от ЧТУП "Прохладосервис" - в обслуживании холодильного
оборудования. Расчет итогового показателя конкурентоспособности показал средние
позиции РПУП "Гомельторгтехника" по цене: выше, чем у ЧТУП
"Прохладосервис", но ниже, чем у ОДО "НТС". Причина этого -
более гибкая ценовая политика конкурента за счет наличия системы скидок.
.3 Измерение неценовых параметров уровня
конкурентоспособности услуг на РПУП "Гомельторгтехника"
Качество услуг определяется совокупностью
параметров, определяющих уровень обслуживания и степень удовлетворенности
потребности клиента в оказываемой услуге. Эти параметры измеряются в
зависимости от их особенностей и содержания различными параметрами. Результатом
измерений является рейтинг организации по отношению к конкурентам, полученный в
результате оценки неценовых параметров.
Существенными параметрами, определяющими уровень
обслуживания и качество предоставляемых услуг на РПУП
"Гомельторгтехника" являются:
- сроки выполнения услуг;
- предоставление гарантий на
выполненные работы;
- обслуживание клиента по месту
нахождения (выезд к заказчику);
- наличие центров обслуживания в
регионах;
- наличие квалифицированного
персонала;
- предоставление консультаций по
телефону (служба технической поддержки);
- режим работы.
Показатели, характеризующие качество
обслуживания на РПУП "Гомельторгтехника" и у конкурентов,
представлены в таблице 2.7.
Таблица 2.7 - Показатели качества обслуживания
на РПУП "Гомельторгтехника" и у конкурентов
|
Показатели
|
РПУП
"Гомельторгтехника"
|
ОДО
"НТС"
|
ЧПТУП
"Прохладосервис"
|
|
сроки
выполнения услуг
|
3-5
дней
|
1-3
дня
|
3-7
дней
|
|
предоставление
гарантий на выполненные работы
|
1-3
месяца
|
3-6
месцев
|
1-3
месяца
|
|
обслуживание
клиента по месту нахождения (выезд к заказчику)
|
есть
|
выборочно
|
нет
|
|
наличие
центров обслуживания в регионах
|
есть
|
есть
|
нет
|
|
предоставление
консультаций по телефону (служба технической поддержки)
|
нет
|
есть
|
нет
|
|
режим
работы
|
пятидневный
|
без
выходных
|
пятидневный
|
Проведем рейтинговую оценку показателей качества
обслуживания, наилучший уровень показателя будет соответствовать третьему месту
в рейтинге. Соответственно итоговая оценка будет определяться суммой мест. Чем
больше итоговая сумма мест, тем выше конкурентоспособность производителя услуг.
Рейтинговая оценка неценовых параметров
конкурентоспособности услуг РПУП "Гомельторгтехника" представлена в
таблице 2.8.
Таблица 2.8 - Оценка неценовых параметров
конкурентоспособности услуг РПУП "Гомельторгтехника"
|
Показатели
|
Оценка
уровня показателей
|
|
РПУП
Гомельторгтехника
|
ОДО
"НТС"
|
ЧПТУП
"Прохладосервис"
|
|
сроки
выполнения услуг
|
2
|
3
|
1
|
|
предоставление
гарантий на выполненные работы
|
2
|
3
|
2
|
|
обслуживание
клиента по месту нахождения (выезд к заказчику)
|
3
|
3
|
1
|
|
наличие
центров обслуживания в регионах
|
3
|
3
|
2
|
|
предоставление
консультаций по телефону (служба технической поддержки)
|
2
|
3
|
2
|
|
режим
работы
|
2
|
3
|
2
|
|
Сумма
мест
|
14
|
18
|
Выводы: РПУП "Гомельторгтехника" имеет
преимущество в обслуживании клиентов по месту нахождения за счет наличия
участков в районных центрах по области, это позволяет увеличить охват рынка. Но
отсутствие достаточного числа квалифицированных специалистов для консультаций и
выходные дни снижают оперативность реагирования на запросы клиентов. Поэтому
конкурентоспособность услуг на РПУП "Гомельторгтехника" ниже, чем у
ОДО "НТС", хотя выше, чем у ЧТУП "Прохладосервис".
Расчеты показывают, что наибольшая сумма мест и,
следовательно, самый высокий уровень конкурентоспособности своих услуг
обеспечивает ОДО "НТС". Эта организация обеспечивает оперативное
реагирование на обращения клиентов благодаря наличию квалифицированного
персонала, что позволяет ускорить выполнение работ до 1-3 дней, а также режиму
работы без выходных. Предоставляемые гарантии по срокам больше, что также
обеспечивается наличием квалифицированных кадров и свидетельствует об уровне
качества выполняемых работ. Они также предоставляют клиенту дополнительные
услуги - получение бесплатно кассовой ленты, бесплатная чистка холодильного
оборудования в процессе обслуживания и ремонта. Необходимо изучать и
использовать опыт данного конкурента.
.4 Измерение эмпирических (сенсорных) параметров
уровня конкурентоспособности услуг на РПУП "Гомельторгтехника"
Набор эмпирических параметров
включает показатели оценки степени воздействия оказываемых организацией услуг
на ощущения и формирование положительного потребительского впечатления.
Сложности оценки эмпирических параметров уровня услуг связаны с такими
характеристиками сервисной услуги, как ее неосязаемость, несохраняемость и
непостоянство качества. В то же время у потребителя формируется впечатление от
получаемой услуги в соответствии со значимостью для него отдельных параметров.
Эти параметры определяют выбор потребителя в пользу услуг той или иной
организации и следовательно, влияют на уровень конкурентоспособности услуг.
Степень этого влияния зависит от значимости отдельных параметров для
потребителя, поэтому необходимо применять весовые коэффициенты значимости для
отдельных параметров [24, c.348].
Для измерения эмпирических
(сенсорных) параметров уровня конкурентоспособности услуг на РПУП
"Гомельторгтехника" воспользуемся методом балльных оценок и шкалы
удельных весов показателей, сформированной автором на основе изучения поведения
потребителей услуг. Максимальная оценка - 5 баллов. Проведем балльную оценку
эмпирических (сенсорных) параметров уровня конкурентоспособности услуг на РПУП
"Гомельторгтехника" и его конкурентов (таблица 2.9).
Таблица 2.9 - Балльная оценка
эмпирических (сенсорных) параметров уровня конкурентоспособности услуг на РПУП
"Гомельторгтехника"
|
Эмпирические показатели конкуренто-способности
|
Вес показателя
|
РПУП
"Гомельторгтехника"
|
ОДО
"НТС"
|
ЧПТУП
"Прохладосервис"
|
|
|
баллы
|
итоговая оценка (гр.2Чгр.3)
|
баллы
|
итоговая оценка (гр.2Чгр.5)
|
баллы
|
итоговая оценка (гр.2Чгр.7)
|
|
1
|
2
|
3
|
4
|
5
|
6
|
7
|
8
|
|
Качество выполненных работ
|
0,25
|
3
|
0,75
|
5
|
1,25
|
4
|
1,00
|
|
Известность у потребителя
|
0,15
|
4
|
0,60
|
4
|
0,60
|
3
|
0,45
|
|
Цена
|
0,20
|
4
|
0,80
|
5
|
1,00
|
3
|
0,60
|
|
Реклама
|
0,15
|
2
|
0,30
|
4
|
0,60
|
2
|
0,30
|
|
Уровень сервиса
|
0,15
|
3
|
0,45
|
5
|
0,75
|
3
|
0,45
|
|
Дополнительные услуги
|
0,10
|
2
|
0,20
|
4
|
0,40
|
2
|
0,20
|
|
ИТОГО
|
1
|
х
|
3,10
|
х
|
4,60
|
х
|
3,00
|
Вывод: По результатам измерения
эмпирических параметров конкурентоспособность услуг на РПУП
"Гомельторгтехника" средняя. Наибольшую значимость для потребителя
услуг имеет цена и качество выполненных работ. Качество услуг на РПУП
"Гомельторгтехника" довольно высокое, оно обеспечивается наличием
разработанных технологий и стандартов выполнения работ, а также контролем
качества. При этом имеется отставание от конкурента ОДО "НТС", потому
что нет достаточного количества квалифицированных специалистов, отсутствует
система обучения и переобучения кадров для обслуживания новых видов техники и
нестандартных работ. Нужна более гибкая система оплаты труда для стимулирования
повышения квалификации работников.
В целом известность у потребителя
услуг на РПУП "Гомельторгтехника" оценивается довольно высоко, но
низкий уровень рекламной работы показывает, что эта известность основана на
широкой сети традиционных заказчиков. Нужна активная рекламная работа, чтобы
привлечь новых клиентов.
Удачная реклама способна повлиять на
целевую аудиторию любого товара. Поэтому реклама является равным по значимости
в сравнении с уровнем сервиса параметром, определяющим конкурентоспособность
услуг на РПУП "Гомельторгтехника". РПУП "Гомельторгтехника"
необходимо активизировать рекламную работу, особенно на розничном рынке. Сейчас
организация нацелена корпоративных клиентов, причем в основном в бюджетной
сфере. Это с одной стороны, дает стабильные договора на обслуживание, с другой
стороны, сужает сегмент потребителей услуг. Бюджетные организации не
обеспечивают своевременную оплату услуг, поэтому охват новых сегментов рынка
снизит размер дебиторской задолженности.
Наличие дополнительных услуг не
является обязательным, поэтому его значимость в глаза потребителя ниже, чем у
других параметров. Однако в комплексе с рекламными мероприятиями и гибкой
ценовой политикой является эффективным инструментом для повышения
конкурентоспособности услуг.
.5 Интегральная оценка ценовых,
неценовых и эмпирических (сенсорных) параметров уровня конкурентоспособности
услуг на РПУП "Гомельторгтехника"
Рассчитаем интегральный показатель
конкурентоспособности показывает уровень конкурентоспособности услуг на РПУП
"Гомельторгтехника" по отношению к конкурентам на рынке по всему
набору параметров: ценовых, неценовых, эмпирических. Расчет интегрального
показателя конкурентоспособности проведем по формуле 1.8:

,
где I - интегральный показатель
конкурентоспособности;
Gп.п.
- групповой показатель конкурентоспособности по потребительским параметрам;
Gц - групповой
показатель конкурентоспособности по цене.
Чем выше интегральный коэффициент, тем более
конкурентоспособной является услуга [8, c.241].
Результаты расчета интегральных показателей
конкурентоспособности услуг на РПУП "Гомельторгтехника" и услуг
конкурентов представим в таблице 2.10.
Таблица 2.10 - Расчет интегральных показателей
конкурентоспособности услуг на РПУП "Гомельторгтехника" и услуг
конкурентов
|
Показатели
|
РПУП
"Гомельторгтехника"
|
ОДО
"НТС"
|
ЧПТУП
"Прохладосервис"
|
|
1.
Групповые показатели конкурентоспособности
|
|
|
|
|
1.1.
по ценовым параметрам
|
1,00
|
0,98
|
1,03
|
|
1.2.
по неценовым параметрам
|
14
|
18
|
10
|
|
1.3.
по эмпирическим параметрам
|
3,10
|
4,60
|
3,00
|
|
2.
Интегральный показатель
|
17,05
|
23,15
|
12,65
|
Вывод: Расчет интегральных показателей
свидетельствует, что уровень конкурентоспособности услуг на РПУП
"Гомельторгтехника" средний. Он выше, чем у ЧПТУП
"Прохладосервис", но ниже чем у ОДО "НТС". Необходимо
разработать мероприятия для повышения конкурентоспособности на РПУП "Гомельторгтехника".
3. Инструментарий
повышения конкурентоспособности на РПУП "Гомельторгтехника"
.1 Экономическое обоснование величины и
структуры конкурентной цены услуг на РПУП "Гомельторгтехника"
Формирование отпускных цен на услуги
РПУП
"Гомельторгтехника" осуществляется в
соответствии с Инструкцией о порядке формирования и применения цен и тарифов,
утвержденной Постановлением Министерства экономики Республики Беларусь №183 от
10 сентября 2008 г. (далее - Инструкция) [14].
В соответствии с Инструкцией цены на услуги РПУП "Гомельторгтехника"
составляются на основе плановой себестоимости с включением всех видов налогов,
предусмотренных законодательством, и прибыли, необходимой для воспроизводства.
При исчислении отпускной цены на услуги РПУП "Гомельторгтехника"
использует метод полных затрат. В таблице 3.1 представлена калькуляция плановой
цены на обслуживание КСА на 1.10.20010 г.
Таблица 3.1 -
Калькуляция плановой цены на обслуживание кондиционера на
РПУП "Гомельторгтехника"
|
Наименование статей расходов
|
Сумма, рублей
|
|
1. Прямые (переменные) затраты
|
21 743
|
|
2. Постоянные (накладные) расходы
|
36 509
|
|
3. Себестоимость (с.1+с.2)
|
58 253
|
|
4. Прибыль плановая 36,34 %
|
21 169
|
|
5. Отпускная цена за 1 тонну (с.3+с.4)
|
79 422
|
|
6. НДС по ставке 20 %
|
15
884
|
|
7. Отпускная цена с НДС (с. 5+с.6)
|
95
306
|
Все затраты РПУП
"Гомельторгтехника" (переменные (прямые) и постоянные (накладные))
суммируются, прибавляется плановая прибыль, которую организация рассчитывает
получить, это и будет отпускная цена. Главное преимущество применяемого метода
калькуляции затрат по полной себестоимости - это его простота и удобство,
однако, он имеет два больших недостатка:
При установлении цены не принимаются во внимание
имеющийся спрос на услуги, конкуренция на рынке, поэтому возможна ситуация,
когда услуга при данной цене не будет пользоваться спросом, а услуги
конкурентов могут быть дешевле, лучше по качеству и более известны потребителю
благодаря рекламе.
1. Любой метод отнесения на себестоимость услуг постоянных накладных
расходов, которые являются расходами по управлению, а не расходами для
осуществления конкретной услуги, является условным. Он искажает подлинный вклад
услуги в доход организации и не дает представления о реальном уровне затрат и
прибыльности данного вида услуги для организации.
Для повышения
конкурентоспособности услуг на РПУП
"Гомельторгтехника" надо внедрять другую
ценовую политику, которая позволит получить преимущество по ценам и увеличить
долю рынка. Поэтому в первую очередь ставится задача реализовать больший объем услуг
и таким образом охватить больший сегмент рынка, а только во вторую очередь
возместить все затраты. Поэтому целесообразным представляется применение метода
прямых затрат (директ-костинг). Главной особенностью
"директ-костинга" является то, что себестоимость учитывается и
планируется только в части переменных затрат, постоянные расходы не включаются
в расчет себестоимости, а списываются с полученной прибыли в течение отчетного
периода.
Этот метод является
более совершенным, но и более сложным по сравнению с методом полных затрат. В
его основе лежит многофакторный подход к ценообразованию. Главное внимание при
этом уделяется и затратам, но не как основе цены, а как одному из факторов, ее
определяющих.
Сущность метода
прямых затрат состоит в установлении цены путем добавления к переменным
затратам определенной надбавки - прибыли. При этом постоянные расходы, как
расходы на производство и реализацию в целом, не распределяются по отдельным
услугам, а погашаются из разницы между суммой цен реализации и переменными
затратами на производство продукции. Эта разница представляет собой
маржинальную прибыль.
Переменные (прямые)
затраты являются тем пределом, ниже которого ни один производитель не будет
оценивать свою продукцию. Поэтому переменные затраты являются нижним пределом
цены.
Если в случае
применения метода полных затрат расчет начинается с суммирования всех затрат,
связанных с производством продукции, то в случае метода прямых затрат расчет
начинается с оценки потенциального объема реализации по каждой предполагаемой
цене. Подсчитывается сумма прямых переменных затрат и определяется величина
наценки ("маржинальной" прибыли) на единицу продукции и на весь объем
прогнозируемых продаж по предполагаемой цене. Вычитая из полученных суммарных
наценок постоянные расходы, определяют прибыль от реализации продукции. Данные
для определения цены методом прямых затрат представлены в таблице 3.2 [5, c.25].
Таблица 3.2 -
Определение цены на услуги РПУП
"Гомельторгтехника" методом прямых затрат,
рублей
|
Показатели
|
Вариант 1
|
Вариант 2
|
Вариант 3
|
Вариант 4
|
|
1. Предполагаемая цена за единицу продукции
|
79 422
|
75 000
|
70 000
|
65 000
|
|
2. Сумма прямых (переменных затрат)
|
21 743
|
26 516
|
31 820
|
37 123
|
|
3. Маржинальная прибыль на единицу продукции (с.1-с.2)
|
57 679
|
48 484
|
38 180
|
27 877
|
|
4. Ожидаемый объем услуг, единиц
|
82
|
100
|
120
|
140
|
|
5. Маржинальная прибыль на весь объем (с.3Чс.4)
|
4 729 643
|
4 848 364
|
4 581 644
|
3 902 793
|
|
6. Постоянные затраты на весь объем
|
2 993 777
|
2 993 777
|
2 993 777
|
2 993 777
|
|
7. Прибыль от реализации (с.5-с.6)
|
1 735 866
|
1 854 587
|
1 587 867
|
909 016
|
Переменные затраты
изменяются пропорционально изменению объема услуг, количество оказываемых услуг
увеличивается за счет повышения привлекательности услуг по ценовому параметру.
Из расчета следует,
что наибольшую прибыль РПУП "Гомельторгтехника" получит при реализации обслуживания 100 единиц
кондиционеров по цене 75 000 рублей. Метод прямых затрат позволяет с учетом
условий рынка сбыта находить оптимальное сочетание объемов производства, цен
реализации и затрат на реализацию услуг. При этом цена может быть снижена почти
на 5,5 % (75000:79422Ч100).
Вывод: Для
повышения конкурентоспособности услуг на РПУП
"Гомельторгтехника" необходимо внедрять
более гибкую ценовую политику, которая позволит получить преимущество по ценам
и увеличить долю рынка. Поэтому целесообразным представляется применение метода
прямых затрат: установление цены путем добавления к переменным затратам
плановой прибыли. При этом постоянные расходы не распределяются по отдельным
видам услуг, а погашаются из разницы между суммой цен реализации и переменными
затратами на производство продукции.
Такая система стимулирует увеличение
объема реализации при контроле за уровнем цен. При этом появляются возможности
для реализации системы скидок для клиентов. Таким образом, калькулирование и
планирование себестоимости по системе "директ-костинг" способствует
достижению конечной цели деятельности - повышению конкурентоспособности услуг
по ценовому параметру за счет целенаправленного управления себестоимостью и
установления выгодной для организации и потребителя цены.
3.2 Экономическое обоснование величины ценовых
скидок на услуги на РПУП "Гомельторгтехника"
В настоящее время РПУП
"Гомельторгтехника" не применяет скидки для повышения
конкурентоспособности своих услуг. В соответствии с Главой 3 Инструкции о
порядке формирования и применения цен и тарифов "субъекты
предпринимательской деятельности имеют право предоставлять покупателям скидки с
установленных ими отпускных цен". Скидки в зависимости от условий договора
поставки предоставляются в соответствии с утвержденным субъектом
предпринимательской деятельности порядком применения скидок. Порядок применения
скидок должен содержать размеры скидок и условия, в зависимости от которых они
предоставляются [14].
Для повышения конкурентоспособности
услуг РПУП "Гомельторгтехника" целесообразно применение следующие
виды ценовых скидок:
- скидки за своевременный
платеж - снижение цены покупателям, оперативно оплачивающим счета;
- скидка за объем
услуг - снижение цены потребителям, заключающим договора на обслуживание
определенного объема единиц техники;
- сезонные скидки для
потребителей.
Потребитель очень восприимчив к продаже со
скидкой. Его привлекают товары, цена на которые временно снижена, а из двух
аналогичных товаров разных марок он купит более дешевый. Однако он с
подозрением относится к товарам, которые слишком часто предлагаются с этикеткой
"специальная цена". Тем не менее ему бы хотелось, чтобы период
продажи по сниженным ценам продолжался как можно дольше.
Предоставление скидок для снижения цен на услуги
имеет свои преимущества и недостатки.
Некоторые производители считают, что гораздо
выгоднее пойти навстречу пожеланиям потребителей относительно цены, чем
удовлетворять все новые запросы потребителей относительно качества и
ассортимента услуг.
Недостатком этого вида стимулирования является
то обстоятельство, что не создается круг надежных постоянных клиентов.
Преимущество данного метода стимулирования
заключается в том, что он позволяет заранее точно оценить стоимость операции,
быстро организовать ее в самых простых формах, максимально сократить сроки ее
проведения без какой-либо предварительной подготовки, в тех случаях, когда
требуется немедленно отреагировать на действия конкурентов.
Размеры снижения цен должны быть достаточно
ощутимыми, чтобы на них можно было строить рекламное обращение; достаточно
стимулирующими спрос, чтобы компенсировать падение прибыли, связанное со
снижением цен; и достаточно привлекательными, чтобы заставить прийти
потребителя за покупкой.
Однако снижение цен на услуги должно быть
ограничено во времени и должно предоставлять возможность продемонстрировать
превосходство своих услуг над услугами-конкурентами. Последствия снижения цен
должны быть тщательно взвешены. Например, сохранение прибыли в размере 25% при
снижении цен на определенный процент потребует следующего прироста оборота по
реализации (таблица 3.3).
Таблица 3.3 - Соотношение объема реализации и
уровня снижения цены
|
Уровень
снижения цены, %
|
Требующееся
увеличение
оборота,
%
|
|
5
|
18
|
|
10
|
50
|
|
15
|
112
|
|
20
|
300
|
Рассмотрим эффект от предоставления
скидки потребителям за сокращение сроков расчета, так называемое спонтанное
финансирование.
Рассчитаем прибыль
от ускорения получения средств путем предоставления скидки за ускоренную
оплату. Остаток дебиторской задолженности покупателей и заказчиков в 2009 году
составил 24 млн. рублей. Это позволяет прогнозировать объем продаж в кредит на
2010 год в размере 290 млн. рублей (24Ч12). Период погашения задолженности по
товарному кредиту составляет 1 месяц, уровень прибыли по плану на 2010 год -
36,34 %.
При использовании
спонтанного финансирования предполагается, что РПУП
"Гомельторгтехника" предоставляет 2 %
скидки при оплате в течение первых 10 дней при общем сроке 30 дней. При расчете
планируется, что 25% клиентов РПУП "Гомельторгтехника" воспользуются возможностью получить скидку. В связи с этим
период погашения дебиторской задолженности уменьшится до 0,4 месяца. При этом
оборачиваемость дебиторской задолженности ускорится с 12 оборотов (12 мес. : 1
мес.) до 30 оборотов (12 мес. : 0,4 мес.).
Рассчитаем эффект
от внедрения ценовой политики спонтанного финансирования в РПУП
"Гомельторгтехника" (таблица 3.4).
Таблица 3.4 -
Расчет эффекта от проведения политики предоставления скидок при ускоренной
оплате услуг заказчиками РПУП "Гомельторгтехника"
|
Показатели
|
2009
год
|
План
|
Прибыль
от мероприятия
|
|
1.
Средний остаток на дебиторских счетах при ценовой политике без скидок, млн.
руб.
|
290: 12=24,2
|
х
|
х
|
|
2.
Средний остаток на дебиторских счетах при предоставлении скидок, млн. руб.
|
х
|
290: 30=9,7
|
х
|
|
3.
Сокращение суммы дебиторской задолженности, млн. руб.
|
х
|
24,2-9,7=14,5
|
х
|
|
4.
Прибыль при плановом уровне 36,34 %, млн. руб.
|
х
|
14,5:100Ч36,34=5,3
|
х
|
|
5.
Скидка при ускоренной оплате, млн. руб.
|
х
|
0,02
Ч0,025Ч290 = 1,5
|
х
|
|
6.
Прибыль от проведения политики предоставления скидки, млн. руб.
|
х
|
3,8
|
+3,8
|
Расчеты показывают,
что применение спонтанного финансирования в форме скидки в размере 2%
покупателям РПУП "Гомельторгтехника" за ускоренную оплату счетов даст прибыль в размере 3,8 млн.
рублей.
Вывод:
Предоставление скидок покупателям повышает конкурентоспособность услуг РПУП
"Гомельторгтехника" по ценовому параметру за счет снижения цены.
Проведение ценовой
политики может стимулировать сокращение дебиторской задолженности и ускорение
ее оборачиваемости. Расчеты показывают, что предоставление двухпроцентной
скидки за ускоренную (до 10 дней) оплату счетов заказчиками дает увеличение
прибыли, даже если 25 % клиентов ею воспользуется. Таким образом, скидки
позволяют снизить цену на услуги, повысить потребительскую привлекательность
услуг организации, а также ускорить проведение расчетов. При этом достигается
не только конкурентное преимущество по ценовому параметру, но и увеличивается
прибыль за счет ускорения оборачиваемости дебиторской задолженности. Для
достижения этих целей необходима маркетинговая стратегия, ориентированная на
повышение конкурентоспособности услуг и повышения эффективности деятельности РПУП
"Гомельторгтехника".
.3 Экономическое обоснование маркетинговой ценовой
политики и инструментов ее реализации в сфере услуг на РПУП
"Гомельторгтехника"
Как показывает
практика, для заказчика основным критерием при выборе поставщика услуг являются
низкие цены при обеспечении приемлемого качества обслуживания. Поэтому РПУП
"Гомельторгтехника" необходима
маркетинговая политика, обеспечивающая реализацию конкурентных преимуществ по
цене, увеличение доли рынка и обеспечение прибыльности и рентабельности услуг.
Маркетинговая политика для
реализации этих целей предусматривает стратегию лидерства по издержкам. Она
схематически представлена на рис. 3.1.
Рисунок 3.1 - Стратегии конкурентных преимуществ
по М. Портеру
Маркетинговая стратегия
лидерства по издержкам включает:
- разработку ценовой политики,
ориентированной на повышение объемов продаж (эффект масштаба). В качестве
стимулов для увеличения охвата рынка предлагаются скидки постоянным клиентам
(до 5%), сезонные скидки (до 5%), скидки за ускоренную оплату (до 2%);
- заключение
долгосрочных контрактов с потребителями на обслуживание техники. Долгосрочное
сотрудничество способствует стабильности и снижению цен;
- активизация рекламной работы
[20, c. 348].
В рамках стратегии лидерства по
издержкам необходимо также повышение квалификации персонала, изменение режима
работы организации в направлении перехода на скользящий график, чтобы
обеспечить работу в выходные дни. Маркетинговой службе необходимо организовать
исследование спроса потребителей, мониторинг конкурентов для изучения опыта их
работы.
Необходим жесткий контроль за
накладными расходами и возможность принятия решения о сокращении отдельных
статей расходов, излишних с точки зрения экономической эффективности (снижение
оплаты командировочных, внеочередных отпусков, нецелевое расходование средств,
увеличенный аппарат управления).
Реализация конкурентных
преимуществ в области низких издержек должна проводиться с учетом сохранения и
улучшения качественных характеристик услуг.
Этапы реализации маркетинговой
ценовой политики, направленной на повышение конкурентоспособности услуг:
1. Определения возможного
диапазона снижения цен, а также соответствующего увеличения получаемой прибыли
в результате роста объемов продаж. Для этого необходимо проводить расчеты
изменения цены при изменении объемов реализации услуг для выбора оптимального
соотношения цены, объема реализации и прибыли.
2. Следующей стадией реализации
конкурентного преимущества использования конкурентных преимуществ должно стать
снижение цен для оценки реакции потребителей (предоставление скидок сроком на
2-4 месяца). За это время можно отследить изменение количества заказчиков,
изменение прибыли и рентабельности услуг, обеспечить повышение качества
обслуживания.
3.
После
снижения цен, увеличения числа потребителей и увеличения доли рынка можно
перейти к постепенному увеличению цены (возврат в прежнее состояние).
Экономическая эффективность этого этапа обеспечивается за счет того, что при
высоком качестве обслуживания формируется круг лояльных потребителей услуг
организации, которые не откажутся от ее услуг даже при определенном повышении
цен, так как смена сервисной организации сопряжена с некоторыми трудностями и
не всегда удобна.
Маркетинговая ценовая политика
предусматривает не постоянное снижение цены услуг, а поддержание их на конкурентном
уровне. Важно ориентироваться на цены чуть ниже среднерыночных, так как именно
сочетание низкой цены, привлекающей потребителя, и высокой прибыльности
является определяющим факторов реализации стратегии лидерства по издержкам
[16].
Выводы и предложения
Услуга - вид деятельности или благ,
который одна сторона может предложить другой, и который по своей сути не
является осязаемым и не результируется в собственность клиента. Основное
содержание услуг заключается в том, что услуга - действие, осуществляемое одной
стороной для другой. Полезность услуги проявляется в виде результата, который
получает потребитель. Услуги удовлетворяют потребности частных лиц,
коллективов, предприятий [18, c.25].
Цена услуги включает в себя затраты на ее
реализацию, а также необходимый уровень прибыли; ее величина определяет
конкурентоспособность услуги и является основой расчета показателя
"цена/качество" - одного из главных показателей
конкурентоспособности. Сопоставление цены услуг с уровнем платежеспособного спроса
дает реальный объем спроса на услуги, позволяет определить потенциальных
покупателей, выявить их предпочтения и максимально их учесть. Значение цены
продукции определяется и тем, что существует особый вид конкуренции - ценовая,
основанная на использовании конкурентного преимущества в более низких
издержках. Таким образом, цена является одним из основных инструментов
управления конкурентоспособностью [5, c.16].
Конкурентоспособность - это характеристика
товара (услуги), отражающая его отличие от товара-конкурента как по степени
соответствия конкретной потребности, так и по затратам на ее удовлетворение.
Конкурентоспособность услуги включает три
основные составляющие: цена, качество, уровень обслуживания. Управлять
конкурентоспособностью - значит обеспечивать оптимальное соотношение этих
составляющих путем повышения качества услуг, снижения затрат, повышения
экономичности и уровня обслуживания [21, c.29].
Для определения уровня конкурентоспособности
услуг последовательно исчисляют единичные, групповые и интегральные показатели.
Их расчет и сравнение позволяют сделать выводы об уровне конкурентоспособности
услуг организации по сравнению с аналогичными услугами организаций-конкурентов
[22, c.67].
В рамках данной работы проведено исследование
уровня конкурентоспособности услуг на РПУП "Гомельторгтехника".
Основным направлением работы РПУП "Гомельторгтехника" является
оказание услуг модернизации, ремонта и технического обслуживания холодильных
установок и торгового оборудования.
Зоной деятельности по реализации услуг является
г. Гомель и Гомельская область. Основными заказчиками услуг являются учреждения
образования, а также предприятия госторговли, промышленные предприятия, частные
и индивидуальные предприниматели.
Исследование уровня конкуренции на рынке услуг
показало, что рынок услуг модернизации, ремонта и технического обслуживания
холодильных установок и торгового оборудования характеризуется как
привлекательный, с растущим спросом. Уровень конкуренции на рынке в настоящий
момент невысок. Появление крупного лидера в ближайшее время не ожидается.
К благоприятно проявляющимся факторам,
определяющим уровень конкуренции, можно отнести отсутствие влияния
потенциальных конкурентов, поставщиков и покупателей.
К факторам, усиливающим уровень конкуренции,
относятся сильная конкуренция в смежных отраслях, сильное влияние со стороны
товаров-заменителей.
Прогноз изменения факторов конкуренции
показывает, что в основном в ближайшей перспективе ситуация не изменится, за
исключением влияния товаров-заменителей, которое определенно усилится.
В целом можно сделать вывод, что уровень
конкуренции на рынке на рынке услуг модернизации, ремонта и технического
обслуживания холодильных установок и торгового оборудования невысок и в
прогнозируемом периоде не изменится.
Расчет групповых показателей
конкурентоспособности услуг РПУП "Гомельторгтехника" по цене
показывают, что по ценовым характеристикам наша организация отстает от ОДО
"НТС" в обслуживании кассовых суммирующих аппаратов и кондиционеров,
а от ЧТУП "Прохладосервис" - в обслуживании холодильного
оборудования. Расчет итогового показателя конкурентоспособности по ценовому
параметру показал средние позиции РПУП "Гомельторгтехника" по цене:
выше, чем у ЧТУП "Прохладосервис", но ниже, чем у ОДО
"НТС". Причина этого - более гибкая ценовая политика конкурента за
счет наличия системы скидок.
Качество услуг определяется совокупностью
параметров, определяющих уровень обслуживания и степень удовлетворенности
потребности клиента в оказываемой услуге. Существенными параметрами,
определяющими уровень обслуживания и качество предоставляемых услуг на РПУП
"Гомельторгтехника" являются:
- сроки выполнения услуг;
- предоставление гарантий на
выполненные работы;
- обслуживание клиента по месту
нахождения (выезд к заказчику);
- наличие центров обслуживания в регионах;
- наличие квалифицированного
персонала;
- предоставление консультаций по
телефону (служба технической поддержки);
- режим работы.
Рейтинговая оценка неценовых параметров
конкурентоспособности услуг РПУП "Гомельторгтехника" показала, что
РПУП "Гомельторгтехника" имеет преимущество в обслуживании клиентов
по месту нахождения за счет наличия участков в районных центрах по области, это
позволяет увеличить охват рынка. Но отсутствие достаточного числа
квалифицированных специалистов для консультаций и выходные дни снижают
оперативность реагирования на запросы клиентов. Поэтому конкурентоспособность
услуг на РПУП "Гомельторгтехника" ниже, чем у ОДО "НТС",
хотя выше, чем у ЧТУП "Прохладосервис".
Расчеты показывают, что наибольшая сумма мест и,
следовательно, самый высокий уровень конкурентоспособности своих услуг
обеспечивает ОДО "НТС". Эта организация обеспечивает оперативное
реагирование на обращения клиентов благодаря наличию квалифицированного
персонала, что позволяет ускорить выполнение работ до 1-3 дней, а также режиму
работы без выходных. Предоставляемые гарантии по срокам больше, что также
обеспечивается наличием квалифицированных кадров и свидетельствует об уровне
качества выполняемых работ. Они также предоставляют клиенту дополнительные
услуги - получение бесплатно кассовой ленты, бесплатная чистка холодильного
оборудования в процессе обслуживания и ремонта. Необходимо изучать и
использовать опыт данного конкурента.
По результатам измерения эмпирических параметров
конкурентоспособность услуг на РПУП "Гомельторгтехника" средняя.
Наибольшую значимость для потребителя услуг имеет цена и качество выполненных
работ. Качество услуг на РПУП "Гомельторгтехника" довольно высокое,
оно обеспечивается наличием разработанных технологий и стандартов выполнения
работ, а также контролем качества. При этом имеется отставание от конкурента
ОДО "НТС", потому что нет достаточного количества квалифицированных
специалистов, отсутствует система обучения и переобучения кадров для
обслуживания новых видов техники и нестандартных работ. Нужна более гибкая
система оплаты труда для стимулирования повышения квалификации работников.
В целом известность у потребителя услуг на РПУП
"Гомельторгтехника" оценивается довольно высоко, но низкий уровень
рекламной работы показывает, что эта известность основана на широкой сети
традиционных заказчиков. Нужна активная рекламная работа, чтобы привлечь новых
клиентов.
Удачная реклама способна повлиять на целевую
аудиторию любого товара. Поэтому реклама является равным по значимости в
сравнении с уровнем сервиса параметром, определяющим конкурентоспособность
услуг на РПУП "Гомельторгтехника". РПУП "Гомельторгтехника"
необходимо активизировать рекламную работу, особенно на розничном рынке. Сейчас
организация нацелена корпоративных клиентов, причем в основном в бюджетной
сфере. Это с одной стороны, дает стабильные договора на обслуживание, с другой
стороны, сужает сегмент потребителей услуг. Бюджетные организации не
обеспечивают своевременную оплату услуг, поэтому охват новых сегментов рынка
снизит размер дебиторской задолженности.
Наличие дополнительных услуг не является
обязательным, поэтому его значимость в глаза потребителя ниже, чем у других
параметров. Однако в комплексе с рекламными мероприятиями и гибкой ценовой
политикой является эффективным инструментом для повышения конкурентоспособности
услуг.
Расчет интегральных показателей уровня
конкурентоспособности показал, что уровень конкурентоспособности услуг на РПУП
"Гомельторгтехника" средний. Он выше, чем у ЧПТУП
"Прохладосервис", но ниже чем у ОДО "НТС". Необходимо
разработать мероприятия для повышения конкурентоспособности на РПУП
"Гомельторгтехника".
Для повышения конкурентоспособности
услуг на РПУП "Гомельторгтехника" необходимо внедрять более гибкую ценовую политику, которая
позволит получить преимущество по ценам и увеличить долю рынка. Поэтому
целесообразным представляется применение метода прямых затрат: установление
цены путем добавления к переменным затратам плановой прибыли. При этом
постоянные расходы не распределяются по отдельным видам услуг, а погашаются из
разницы между суммой цен реализации и переменными затратами на производство
продукции.
Такая система стимулирует увеличение
объема реализации при контроле над уровнем цен. При этом появляются возможности
для реализации системы скидок для клиентов. Таким образом, калькулирование и
планирование себестоимости по системе "директ-костинг" способствует
достижению конечной цели деятельности - повышению конкурентоспособности услуг
по ценовому параметру за счет целенаправленного управления себестоимостью и
установления выгодной для организации и потребителя цены.
Предоставление скидок покупателям
повышает конкурентоспособность услуг РПУП "Гомельторгтехника" по
ценовому параметру за счет снижения цены.
Проведение ценовой политики может
стимулировать сокращение дебиторской задолженности и ускорение ее
оборачиваемости. Расчеты показывают, что предоставление двухпроцентной скидки
за ускоренную (до 10 дней) оплату счетов заказчиками дает прибыль, даже если 25
% клиентов ею воспользуется. Таким образом, скидки позволяют снизить цену на
услуги, повысить потребительскую привлекательность услуг организации, а также
ускорить проведение расчетов. При этом достигается не только конкурентное
преимущество по ценовому параметру, но и увеличивается прибыль за счет
ускорения оборачиваемости дебиторской задолженности. Для достижения этих целей
необходима маркетинговая стратегия, ориентированная на повышение
конкурентоспособности услуг и повышения эффективности деятельности РПУП
"Гомельторгтехника".
Маркетинговая стратегия
лидерства по издержкам включает:
- разработку ценовой политики,
ориентированной на повышение объемов продаж (эффект масштаба). В качестве
стимулов для увеличения охвата рынка предлагаются скидки постоянным клиентам
(до 5 %), сезонные скидки (до 5 %), скидки за ускоренную оплату (до 2 %);
- заключение
долгосрочных контрактов с потребителями на обслуживание техники. Долгосрочное
сотрудничество способствует стабильности и снижению цен;
- активизация рекламной работы.
В рамках стратегии лидерства по издержкам
необходимо также повышение квалификации персонала, изменение режима работы
организации в направлении перехода на скользящий график, чтобы обеспечить
работу в выходные дни. Маркетинговой службе необходимо организовать
исследование спроса потребителей, мониторинг конкурентов для изучения опыта их
работы.
Список использованных источников
1.
Азоев, Г.Л. Конкурентные преимущества фирмы / Г.Л. Азоев, А.П.
Челенков. - М.: ОАО "Новости", 2000. - 256 с.
2.
Акулич, М. Анализ конкурентоспособности продукции в аспекте
взаимоотношений с потребителями / М. Акулич. //Маркетинг. - 2005. - №6. - С.
33-43.
3.
Ахматова, М.В. Теоретические модели конкурентоспособности /М.В.
Ахматова, Е.В. Попов. // Маркетинг. - 2007. - №4. - С. 25-38.
4.
Воронов, А.А. Моделирование конкурентоспособности продукции
предприятия / А.А. Воронов // Маркетинг в России и за рубежом. - 2008. - №4. -
С. 28-34.
5.
Воронцов, Е. Управление себестоимостью в зависимости от рыночной
цены / Е. Воронцов // Финансы. Учет. Аудит. - 2007. - №3. - С. 16-17.
6.
Головачев, А. С. Методологическое и методическое обеспечение
конкурентоспособности товаров /А. С. Головачев // Экономика и управление. -
2007. - №2. - С. 78-87.
7.
Головачев, А. С. Методические основы конкурентоспособности
предприятий и товара /А. С. Головачев // Экономика и управление. - 2005. - №1.
- С. 4-8.
8.
Голубков, Е.П. Маркетинговые исследования: теория, методология и
практика /Е.П. Голубков. - М.: Издательство "Финпресс", 2005. - 464
с.
9.
Голубков, Е.П. Основы маркетинга /Е.П. Голубков. - М.:
Издательство "Финпресс", 2008. - 688 с.
10. Гончаров, В. И. Менеджмент: учеб. пособие. / В. И. Гончаров. -
Мн.: Мисанта, 2003. - 624 с.
11. Данилов И. П. Бенчмаркинг как основа создания конкурентоспособного
предприятия (под ред. Михайлова С. Ю. ) /И.П. Данилов, Т.В. Данилова. - М.:
Стандарты и качество, 2007. - 72 с.
12. Еленева, Ю.Я. Современные подходы к оценке и управлению
конкурентоспособностью предприятий / Ю.Я. Еленева, А.М. Коротков //Современное
управление. - 2003. - №7. - С. 4-8.
13. Иноземцев, В.Л. Взаимосвязь факторов конкурентоспособности /В.Л.
Иноземцев. // Экономист. - 2000. - №10. - С. 92-94.
14. Инструкция о порядке формирования и применения цен и тарифов: утв.
постановлением Министерства экономики Республики Беларусь от 10 сентября 2008
г. №183 // Рэспублiка. - 2008. - №172 (13 сентября 2008 г.).
15. Кожевникова, Т. Ценовая политика как средство управления
дебиторской и кредиторской задолженностью /Т. Кожевникова // Гл. бухгалтер.
Ценообразование. - 2009. - №6. - С. 33-35.
16. Кононова, А. Пока сомнительная рентабельность. - Электронный
ресурс : http://www.retail-tech.ru - Загл. с экрана. - Яз. рус, англ.
17. Ламбен, Жан-Жак. Менеджмент, ориентированный на рынок / Жан-Жак
Ламбен, Рубен Чумпитас, Изабель Шулинг. - СПб.: Питер, 2008. - 720 с.
18. Лифиц, И. М. Теория и практика оценки конкурентоспособности
товаров и услуг. - М.: Юрайт-М, 2007. - 224 с.
19. Основные положения Программы социально-экономического развития
Республики Беларусь на 2011-2015 годы // Рэспублiка. - 2010. - №216 (5128). -
11 ноября 2010 года.
20. Портер, М. Конкурентное преимущество: Как достичь высокого
результата и обеспечить его устойчивость /М. Портер. - М.: Альпина Бизнес Букс,
2006. - 711 с.
21. Сабецкая, Г.Р. Рыночная модель конкурентоспособности продукции //
Маркетинг. - 2006. - №1 (86). - С. 29-33.
22. Сабецкая, Г.Р. Система показателей конкурентоспособности
потребительских товаров / Г.Р. Сабецкая. // ЭКО. - 2000. - № 4. - С. 67-93.
23. Фатхутдинов, Р. А. Управление конкурентоспособностью организации.
/Р. Фатхутдинов. - М.: "Маркетинг ДС", 2008. - 432 с.
24. Шмитт, Б. Эмпирический маркетинг: Как заставить клиента
чувствовать, думать, действовать, а также соотносить себя с вашей компанией /
Б. Шмитт; пер. с англ. К. Ткаченко. - М.: ФАИР-ПРЕСС, 2001. - 400 с.
25. Яшева, Г. Теоретико-методологические основы конкурентных
преимуществ / Г.А. Яшева //Вестник Белорусского государственного экономического
университета. - 2004. - №1. - С. 9-17.
Приложение
Факторы конкуренции на рынке отрасли
|
№ п/п
|
Факторы конкуренции
|
Признаки проявления факторов на рынке
|
|
1. Ситуация в отрасли
|
|
1.1
|
Число и мощность фирм, конкурирующих на рынке
|
Имеется группа равных по мощности фирм или имеется одна или
более фирм, явно превосходящая исследуемую по мощности.
|
|
1.2
|
Изменение платежеспособного спроса
|
Платежеспособный спрос на товар падает, прогноз неблагоприятен.
|
|
1.3
|
Степень стандартизации товара, предлагаемого на рынке
|
Фирмы-конкуренты не специализированы по видам товара. Товар
фирмы и товары-конкуренты практически взаимозаменяемы.
|
|
1.4
|
Издержки переключения клиента с одного производителя на другого
|
Издержки переключения клиента с одного производителя на другого
минимальны, т.е. вероятность ухода клиентов фирмы к конкурентам и наоборот
велика.
|
Унифицированность сервисных услуг по товару в отрасли
|
Набор сервисных услуг фирм-конкурентов отрасли фирмы по товару в
целом идентичен.
|
|
1.6
|
Барьеры ухода с рынка (затраты фирмы на перепрофилирование)
|
Издержки ухода фирмы с рынка данного продукта велики
(переподготовка персонала, потеря сбытовой сети, ликвидация основных фондов и
др.).
|
|
1.7
|
Барьеры проникновения на рынок
|
Начальные затраты для развертывания работ на рынке данного
товара невелики. Товар на рынке стандартизирован.
|
|
1.8
|
Ситуация на смежных товарных рынках (рынки товаров с близкими
технологиями и сферами применения)
|
Уровень конкуренции на смежных товарных рынках высок (например,
для рынка мебели смежными являются рынки стройматериалов, домостроения и
др.).
|
|
1.9
|
Стратегии конкурирующих фирм (поведение)
|
Отдельные фирмы осуществляют или готовы к осуществлению
агрессивной политики укрепления своих позиций за счет других конкурентов.
|
|
1.10
|
Привлекательность рынка данного продукта
|
Имеется явно расширяющийся спрос, большие потенциальные
возможности
|
|
2. Влияние потенциальных конкурентов
|
|
2.1
|
Трудности входа на отраслевой рынок
|
Величина требуемого капитала для входа на рынок отрасли не
высока. Эффективный масштаб производства может быть достигнут достаточно
быстро. Фирмы отрасли не склонны применять агрессивные стратегии против
"новичков" и не координируют свою деятельность в рамках отрасли для
отражения экспансии в отрасль
|
|
2.2
|
Доступ к каналам распределения
|
На рынке отрасли большое число торговых посредников, слабо
связанных с производителями. Создание собственной сети распространения или
привлечение имеющихся посредников к сотрудничеству не требует существенных
затрат со стороны "новичков"
|
|
2.3
|
Отраслевые преимущества
|
Предприятия отрасли не обладают перед новыми конкурентами
значительными преимуществами, связанными с доступом к источникам сырья, патентами
и "ноу-хау", основным капиталом, удобными местами расположения
предприятия
|
|
3. Влияние поставщиков
|
|
3.1
|
Уникальность канала поставок
|
Степень дифференциации продукции поставщиков настолько высока,
что перейти от одного поставщика к другому трудно или дорого.
|
|
3.2
|
Значимость покупателя
|
Предприятия отрасли не являются важными (основными) клиентами
для фирм-поставщиков.
|
|
3.3
|
Доля отдельного поставщика
|
Доля одного поставщика в основном определяет затраты на поставки
при производстве продукта (монопоставщик).
|
|
4. Влияние покупателей
|
|
4.1
|
Статус покупателей
|
Покупателей в отрасли немного. В основном - это крупные
покупатели, покупают товар большими партиями. Объем их потребления составляет
значительный процент продаж в отрасли.
|
|
4.2
|
Значимость товара у покупателя
|
Наш товар и аналогичные товары наших конкурентов не являются
важной составляющей в номенклатуре закупок покупателя.
|
|
4.3
|
Стандартизация товара
|
Товар стандартизирован (низкая степень дифференцирования).
Стоимость перехода покупателей к новому продавцу незначительна.
|
|
5. Влияние товаров-заменителей
|
|
5.1
|
Цена
|
Более низкие цены и доступность товаров-заменителей создают
потолок цен для продукции предприятий нашей отрасли.
|
|
5.2
|
Стоимость "переключения"
|
Стоимость "переключения" на товар-заменитель (затраты
на переобучение персонала, коррекцию технологических процессов у клиента при
переходе к товару-заменителю) низка.
|
|
5.3
|
Качество основного товара
|
Поддержание требуемого качества нашего товара требует издержек
более высоких, чем для товара-заменителя
|