Аудит качества как инструмент повышения конкурентоспособности продукции и услуг (на примере ООО 'НефтеСтройМонтаж')

  • Вид работы:
    Дипломная (ВКР)
  • Предмет:
    Бухучет, управленч.учет
  • Язык:
    Русский
    ,
    Формат файла:
    MS Word
    779,7 Кб
  • Опубликовано:
    2015-03-30
Вы можете узнать стоимость помощи в написании студенческой работы.
Помощь в написании работы, которую точно примут!

Аудит качества как инструмент повышения конкурентоспособности продукции и услуг (на примере ООО 'НефтеСтройМонтаж')

МИНИСТЕРСТВО ОБРАЗОВАНИЯ И НАУКИ РОССИЙСКОЙ ФЕДЕРАЦИИ

Федеральное государственное бюджетное образовательное учреждение

высшего профессионального образования

«КУБАНСКИЙ ГОСУДАРСТВЕННЫЙ УНИВЕРСИТЕТ»

(ФГБОУ ВПО «КубГУ»)

Кафедра мировой экономики и менеджмента






ДИПЛОМНАЯ РАБОТА

АУДИТ КАЧЕСТВА КАК ИНСТРУМЕНТ ПОВЫШЕНИЯ КОНКУРЕНТОСПОСОБНОСТИ ПРОДУКЦИИ И УСЛУГ


Работу выполнила Л.Е. Мамишева







Краснодар 2014

Содержание

Введение

. Конкурентоспособность аудита качества на предприятии

.1 Теоретические основы аудита качества

.2 Качество как важнейшее условие повышения конкурентоспособности

. Аудит качества в условиях конкуренции

.1 Деятельность предприятия. Характеристика ООО «НефтеСтройМонтаж»

.2 Обеспечение качества на ООО «НефтеСтройМонтаж». Аудит качества и анализ показателей качества выполняемых работ

. Мероприятия по повышению конкурентоспособности ООО «НефтеСтройМонтаж»

.1 Мероприятия по повышению конкурентоспособности услуг и повышению качества их выполнения ООО «НефтеСтройМонтаж» путем смены поставщика оборудования

.2 Мероприятия по повышению конкурентоспособности услуг ООО «НефтеСтройМонтаж» путем снижения себестоимости выполняемых работ

.3 Мероприятия по повышению конкурентоспособности ООО «НефтеСтройМонтаж» путем создания электротехнической лаборатории

Заключение

Список использованных источников

Приложение А Анкета оценка удовлетворенности потребителей

Введение

Стремление предприятий к получению высоких результатов своей деятельности требует от предприятия повышения конкурентоспособности выпускаемой продукции и оказываемых услуг. Для этого существует необходимость в совершенствовании деятельности всех структурных подразделений предприятия.

Конкурентоспособность является главным фактором выживания предприятия в современных рыночных условиях и дальнейшего эффективного развития. Конкурентоспособность предприятия неразрывно связана с качеством продукции и услуг. Качество является важнейшим показателем деятельности предприятия. Повышение качества определяет шансы на эффективную деятельность предприятия в условиях рыночной конкуренции, и, чем выше качество выпускаемых товаров или оказываемых услуг, тем конкурентоспособнее предприятие.

Основным показателем успешного функционирования и основной целью существования предприятия на рынке является извлечение прибыли. Но следует обратить внимание, что эффективная деятельность организации в течение продолжительного периода времени связана с выполнением еще некоторых целей, таких как: повышение качества товаров и услуг, повышение уровня квалификации персонала, повышение конкурентоспособности продукции и услуг предприятия.

Организация, работая в целях достижения данных направлений, вынуждена существовать на новых условиях, где главным регулятором выступает рынок. Организации перестраивают свои системы управления, так как главным фактором конкурентоспособности продукции и услуг является качество продукции и оказания услуг.

Важнейшее значение данной проблемы состоит в том, что эта проблема является всеобщей и затрагивает интересы всех сторон: производителей, потребителей и всего общества в целом.

Актуальность темы аудита качества в настоящее время безусловна, так как с её помощью успешно решаются задачи управления качеством, эффективного развития деятельности предприятия и является главным рычагом успешной борьбы с конкурентами.

Объектом исследования является общество с ограниченной ответственностью «НефтеСтройМонтаж».

Предметом исследования является процедура аудита качества и оценка конкурентоспособности оказываемых услуг ООО «НефтеСтройМонтаж».

Целью данной дипломной работы является разработка мероприятий по повышению качества и конкурентоспособности оказываемых услуг ООО «НефтеСтройМонтаж» на основании теоретических исследований проблемы, анализа её состояния в организации.

Для достижения данной цели необходимо решить следующие задачи:

исследовать теоретические аспекты аудита качества продукции и услуг;

дать общую характеристику организации и ее деятельности;

проанализировать основные технико-экономические показатели;

провести аудит качества и анализ конкурентоспособности выполняемых работ и услуг;

разработать мероприятия по улучшению качества и повышению конкурентоспособности предоставляемых услуг.

В первой главе рассмотрены основные аспекты аудита качества и его влияние на конкурентоспособность продукции и услуг.

Во второй главе дана общая характеристика исследуемого предприятия, анализ его экономической деятельности, проведен внутренний аудит качества ООО «НефтеСтройМонтаж» а так же выявлены достоинства и недостатки деятельности ООО «НефтеСтройМонтаж».

В третьей главе предлагаются мероприятия по повышению уровня конкурентоспособности и качества оказываемых услуг.

1. Конкурентоспособность аудита качества на предприятии

.1      Теоритические основы аудита качества

В современных рыночных условиях, без сомнения, самым главным критерием оценки конкурентоспособности является качество.

В последнее время набирает все большую популярность сертификация систем качества на соответствие международным стандартам ИСО серии 9000 (МС ИСО 9000). Такая форма позволяет с одной стороны, потребителю, и с другой стороны, производителю, оценить все усилия организации, направленные на обеспечение качества выпускаемой продукции или предоставляемых услуг.

Требования, которые содержатся в этих стандартах, помогают компании разработать свои собственные системы менеджмента качества. Так же, на основе этих требований организации предъявляют свои СМК для сертификации в органы по сертификации, проводящие данные проверки. Эти проверки называются внешним аудитом качества. При положительном прохождении такой проверки организация получает сертификат соответствия СМК требованиям МС ИСО 9000.

Первоначальное зарождение аудита было в финансовой области, а постепенно применение аудита распространилось и на другие критерии - качество и окружающая среда. По мере развития концепции обеспечения качества, значение аудитов в этой области росло. Аудиты стали подразделять на аудит продукции, аудит процессов и аудит систем качества. После появления в 1987 г. стандартов ISO 9000 широкое распространение получили аудиты СМК.

Главное преимущество международных стандартов состоит в том, что данные стандарты содержат в себе большие возможности для развития организаций в различных сферах деятельности. При помощи стандартов ISO 9000 организации вводят внутренний аудит и анализ со стороны руководства, из которых складывается самооценка организации, которая охватывает все сферы деятельности организации.

Основополагающим документом, регламентирующим порядок и правила проведения аудита в процессе сертификации СМК, является стандарт ИСО 10011-93 «Руководящие указания по проверке систем качества». Стандарт ИСО 10011-93 состоит из трех частей. Часть 1 называется «Проверка», в ней содержатся основные процедуры проведения, организации, планирования аудита качества, а так же документации. Часть 2 называется «Квалификационные требования для экспертов по проверке систем качества», в которой содержатся квалификационные требования, требования к опыту и навыкам специалистов при работе в качестве экспертов при проведении аудитов. Часть 3 называется «Руководство программой проверок», в ней содержатся рекомендации по проведению аудитов СМК в организациях.

Аудит СМК служит эффективным инструментом определения уровня и оценки работы систем качества как организации в целом, так и ее отдельных элементов. Аудит качества процесса позволяет оценить качество его выполнения в соответствии с нормативной документацией на него. Этот аудит применяется для сертификации систем качества и услуг. Аудит продукции служит для проведения оценки соответствия способов и средств изготовления продукции.

Внутренний аудит качества, или аудит первой стороной, проводится самой организацией и служит источником информации о состоянии системы качества организации. Проводят его лица, не несущие ответственность за проверяемый участок. Внутренний аудит позволяет определить существующие и предотвратить возможные ошибки, а так же оценить эффективность функционирования СМК предприятия.

Внешний аудит проводят привлеченные внешние специалисты. Это может быть аудит второй стороной, потребитель, или аудит третьей стороной, независимый сертификационный орган. Этот аудит служит неким методом удостоверения в правильности выбранных методов и мероприятий по обеспечению качества в организации.

Так же существует инспекционный контроль, проводимый органами сертификации. Инспекционный контроль проводится один раз в год, после получения сертификата в течение его срока действия. В случае неудовлетворительного результата инспекционного контроля сертификат могут отозвать до устранения всех несоответствий.

Аудит качества является самым надежным и эффективным инструментом по управлению качеством, дающим информацию о состоянии дел в фирме и помогающим предпринять меры для улучшения деятельности.

СМК организации должна подвергаться анализу, т.е. аудиту. Аудит позволит определить возможности организации, ее жизнеспособность, обеспечение конкурентоспособности и пути ее повышения для эффективной деятельности организации.

Аудит качества предназначен для выявления причин возникновения каких-либо несоответствий в СМК, процессах или продуктах (услугах) организации.

Таким образом, главная цель аудита состоит в сборе объективных свидетельств, позволяющих определить несоответствия и причины их возникновения в СМК, процессах или продуктах (услугах).

Задачи аудита, исходя из его цели таковы:

. В процессе проведения аудита необходимо проанализировать эффективность внедрения СМК, работает ли она, помогает ли она добиваться целей организации;

. аудит должен дать информацию о работе системы качества как целостной системы, то есть все элементы СМК должны работать и все требования должны обязательно выполняться;

. аудит должен помочь определить уровень соответствия стандартам и выполнению правил СМК, установленным в документации, с реальной работой организации;

. аудит должен дать ответ о качестве выполняемых работ путем проверки соответствия результатов работ и требований, установленных в документации;

. в каждой организации происходят какие-либо изменения. Эти изменения могут привести не только к изменениям организации, но и к изменениям системы менеджмента качества. Так вот именно аудит СМК поможет выявить происходят ли изменения в системе качества и, если происходят, то какие изменения и адекватны ли они изменениям самой организации.

Главной задачей аудита является определение возможностей для улучшения деятельности организации. При проведении любого аудита необходимо пользоваться только объективными свидетельствами, которые аудиторы собирают в процессе проверки. Их получение не составит труда в том случае, если критерии аудита и правила оценки несоответствия четко сформулированы и не имеют двоякого смысла.

В процессе выполнения аудита всегда задействовано много участников

Вне зависимости от того, какой аудит проводится внешний или внутренний, существуют такие участники:

Заказчик аудита - это лицо или организация, которая заказала аудит. Заказчик является самой заинтересованной стороной в проведении аудита. Так, если проводится внутренний аудит, заказчик, в основном это руководство организации, заинтересован в получении достоверной и объективной информации от аудиторов. Аудиторы должны полноценно оценить работу системы качества и предоставить информацию о всех несоответствиях работы системы качества, а так же пути их решения для оптимизации работы. Если же проводится внешний аудит, то заказчик аудита заинтересован в признании того, что система качества соответствует заявленным требованиям. Если аудит сертификационный, то заказчик заинтересован в получении сертификата соответствия, если аудит проводит потенциальный заказчик, то заинтересован в заключении контракта.

Аудиторы - это лица, знания, квалификация и опыт которых позволяют им проводить аудит. От их подготовки и компетентности зависит качество и результат проведения аудита. Специальные требования к квалификации аудиторов применяются только к профессиональным аудиторам, работающим в органах по сертификации. Для внутренних аудиторов организация в праве сама предъявлять и устанавливать сама, но это не означает, что любой сотрудник может стать аудитором. Для получения должности внутреннего аудитора, работнику необходимо обучиться методам и техникам проведения аудита, знать требования к системе качества, знать, как правильно она должна работать и быть компетентным в той области, в которой он будет проводить аудит.

Технические эксперты - это должностные лица, которые передают свой опыт и знания аудиторам. Бывают случаи, что в ходе аудита появляются вопросы, на которые не позволяют ответить знания и квалификация аудиторов. В этом случае привлекаются технические эксперты, как при проведении внутреннего, так и внешнего аудита.

Проверяемая сторона - это сотрудники проверяемой организации, не зависимо от того, какой аудит, внутренний и внешний, проводится.

Главным условием сертификации системы менеджмента качества является наличие документально оформленной и внедренной системы качества.

Высшей формой контроля руководством СМК организации является проведение внутреннего аудита. Аудиты проводятся для определения соответствия деятельности и результатов в области качества требованиям ИСО 9001:2008, а так же требованиям, которые организация разработала сама.

Для анализа со стороны руководства результаты внутренних аудитов служат основой входных данных и позволяют организации подтвердить свое соответствие ИСО 9000.

Итак, рассмотрим типы и виды аудитов и дадим определение аудиту качества.

Определение аудита качества, приводимое в стандарте ГОСТ Р ИСО 19011-2003 «Руководящие указания по аудиту СМК и/или систем экологического менеджмента».

Аудит качества - это систематический независимый и документируемый процесс получения свидетельств аудита (проверки) и объективного их оценивания с целью установления степени выполнения согласованных критериев аудита (проверки) [1].

Отсюда, мы можем дать свое определение. Аудит качества - это систематическая и независимая проверка, которая проводится для установления соответствия деятельности организации в области качества запланированным требованиям, выявления эффективности этих требований для реализации и пригодности их для достижения поставленных целей.

Рассмотрим понятие внутренний аудит. Внутренний аудит - это деятельность самой организации по контролю всех областей ее деятельности, которая регламентирована внутренними документами организации.

Согласно стандарту ГОСТ Р. ИСО 19011 - 2003 «Руководящие указания по аудиту СМК и/или систем экологического менеджмента» можно выделить следующие категории аудита [1]:

−       внутренние аудиты, называемые аудитами первой стороной, проводятся самой организацией или от ее имени для анализа со стороны руководства или других внутренних целей и могут формировать основу для декларации организации о соответствии;

−       внешние аудиты включают аудиты, называемые аудитами второй и третьей сторонами. Аудиты второй стороной проводятся заинтересованными сторонами в деятельности организации, например потребителями или другими лицами от их имени. Аудиты третьей стороной проводятся внешними независимыми аудиторскими организациями, например такими, которые обеспечивают сертификацию / регистрацию соответствия стандартам ИСО 9001 или 14001;

−      комплексный аудит, когда проводится аудит двух или более систем менеджмента одновременно;

−       совместный аудит, когда две или более аудиторских организаций сотрудничают в проведении аудита одной проверяемой организации.

Проверка качества в основном относится:

)        к системам менеджмента качества (внешние аудиторы проверяют, выполняются ли требования стандарта, на соответствие которому сертифицирована система менеджмента; при внутреннем аудите обычно существует программа, в которой указаны проверяемые процессы и системы;

)        к продукции (техническим, программным средствам, перерабатываемым материалам, услугам);

)        к процессам.

.2      Качество как важнейшее условие повышения конкурентоспособности

Качество товаров и услуг является одним из главных критериев, определяющих конкурентоспособность организации. И качество в этом случае является главным фактором повышения конкурентоспособности на долгосрочную перспективу. Для того чтобы оставаться конкурентоспособной, организация должна обеспечить максимально эффективные показатели качества и тем самым увеличить долю рынка, принадлежащую организации. Термин «качество продукции» исключает из себя все стоимостные показатели, которые формируют на нее цены. А вот мерой оценки качества как раз и могут выступать стоимостные характеристики, отражающие все вложения в качество продукции и формирующие цену на нее.

Приоритетным направлением повышения конкурентоспособности организации является качество выполняемых работ, оказываемых услуг и производимых товаров. Качество является главным критерием для потребителей при выборе того или иного товара, который должен удовлетворять заявленные требования. В большинстве случаев потребитель совершает покупку под воздействием на него рекламы или «выгодной покупки», то есть здесь играет огромную роль маркетинговая составляющая конкуренции, которая в первую очередь заинтересовывает и побуждает потребителя купить именно этот товар [3].

Покупатели не всегда приходят в магазин именно за товаром определенной марки или бренда. В основном покупатель знает, товар какой категории ему нужен, не заостряя внимание на торговой марке. На выбор, скорее всего, может повлиять известность торговой марки, ее модность, удобство упаковки, внешний вид, ценовая категория и т.д. Но вот окончательный выбор в сторону того или иного товара потребитель сделает после совершения покупки, а именно после оценки его эксплуатационных возможностей, то есть его качества.

Если реальное качество товара не соответствует заявленному качеству товара, то потребитель после его покупки будет разочарован и никогда больше не приобретет товар данной марки. Скорее всего, он будет покупать товары данной категории, но уже других торговых марок, пока не найдет товар, удовлетворяющий его потребности.

Качество товара не должно ограничиваться только эксплуатационными, визуальными, вкусовыми характеристиками. Все эти составляющие должны рассматриваться как комплексный показатель. Потребитель при выборе одного или другого товара не может руководствоваться наличием только одного показателя качества. Товары низкой ценовой категории так же должны иметь полный набор качественных характеристик. Это обусловлено тем, что у потребителей разные финансовые возможности и чтобы каждый потребитель имел выбор.

Понятия качество и конкурентоспособность связаны не случайно [21]. Любой товар обладает рядом признаков, такими как: внешний вид, удобство упаковки, ценовая категория, качество самого товара, гарантийные условия и т.д. И покупатель, отдавая предпочтение тому или иному товару, определяет для себя важность каждого показателя. Показатель качества товара является наиболее важным для него, ведь именно от него зависит повторная покупка данного товара. Из этого и формируется величина спроса на этот товар. Итак, конкурентоспособность - это способность организации вести успешно борьбу за потребителей, а качество - это главный инструмент воздействия на нее.

Каждый покупатель формирует стоимостное выражение определенного набора качественных характеристик продукта по-своему и его ожидание часто не совпадает со стоимостным выражением производителя. Это противоречие во многих случаях не позволяет приобрести покупателю данный товар или продукт. Бывают случаи, когда потребитель сталкивается с более низкой ценой, чем сформированная им стоимость на товар с определенным набором качественных характеристик, и покупатель в этом случае так же может не совершить покупку из-за уверенности в том, что продавец не честен по отношению к покупателю.

Итак, стоимостное выражение продукта, которое отражает и величину вложений в повышение качества, и цену на него, не должны считаться как показатели качества, а должны считаться мерой его оценивания.

Конкурентоспособность организации и производимые ею продукты (товары) или предоставляемые ею услуги тесно взаимосвязаны. Так, низкая конкурентоспособность продукта может быть компенсирована конкурентными преимуществами самой организации, например, популярный бренд, и наоборот.

Конкурентоспособность в широком смысле слова - это возможность какого-либо оцениваемого объекта успешно конкурировать [30].

Главным условием повышения конкурентоспособности товаров и организации является повышение качества [2]. Взаимосвязь качества и конкурентоспособности продукции показана на рисунке 1.

Рисунок 1 - Взаимосвязь качества и конкурентоспособности [21] (составлено автором)

По М. Портеру, конкурентоспособность можно обеспечить двумя способами [25]:

) добиться лидерства в издержках;

) через дифференциацию товара.

Малые издержки отражают возможность фирмы разрабатывать, выпускать и продавать сравнимую продукцию с меньшими затратами, чем конкуренты. Дифференциация - это способность организации обеспечить потребителя уникальной и большей ценностью в виде нового качества товара, особенных потребительских свойств или послепродажного обслуживания.

Конкурентоспособность организации - это ее способность производить конкурентоспособный товар или предоставлять конкурентоспособную услугу по отношению к другим организациям данной отрасли. Конкурентоспособность организации можно оценить только в рамках группы фирм одной отрасли или выпускающими аналогичную продукцию или предоставляющими аналогичные услуги. Конкурентоспособность определяется только посредством сравнения фирм между собой на уровне рынка в стране или мирового рынка [30].

Конкурентоспособность является относительным понятием, так как одна и та же фирма на разных уровнях может быть как конкурентоспособной, например, на региональном уровне, так и не конкурентоспособной, например, на мировом уровне. Для оценки конкурентоспособности необходимы базовые объекты для сравнения, то есть фирмы-лидеры, которые являются самыми успешными на рынке.

Итак, оценка конкурентоспособности двух фирм может быть осуществлена в том случае, если эти фирмы удовлетворяют одни и те же потребности потребителей.

Иногда отсутствие информации о деятельности фирм-конкурентов может вводить в заблуждение руководство организации и тем самым вызывать у него необоснованное мнение о своем превосходстве над конкурентами. Вследствие чего, руководство может ослабить свои усилия в конкурентной борьбе на рынке.

Конкурентоспособность организации напрямую зависит от ряда факторов, влияющими на уровень конкурентоспособности. Их можно считать составляющими факторами конкурентоспособности и разделить на три группы факторов [24]:

• технико-экономические;

• коммерческие;

• нормативно-правовые.

Технико-экономические включают: качество, цену и затраты на использование или потребление товара или услуги. Эти данные зависят от производительности труда, издержек производства и прочее.

Коммерческие - задают условия реализации продукции или услуги на конкретном рынке и включают:

−       конъюнктуру рынка (конкуренция фирм на рынке, соотношение спроса и предложения данного товара и т.д.);

−       послепродажное обслуживание (наличие сервиса в удобном месте для потребителя, качество технического обслуживания и ремонта и другие услуги);

−       рекламу (информационное воздействие через СМИ и другие источники на потребителя с целью увеличения спроса на товар (услугу) данной организации);

−       имидж фирмы (известность торговой марки, брэнд, репутация фирмы на рынке).

Нормативно-правовые факторы, отражающие требования безопасности использования товара или услуги на рынке, патентно-правовые требования. Если товар или услуга не соответствует действующим требованиям стандарта и законодательства, то он не может быть продан на данном рынке.

Высокая конкурентоспособность фирмы гарантирует получение достаточно высокой прибыли. При этом фирма должна иметь своей долгосрочной целью ее успешное функционирование на достаточно большой промежуток времени. Поэтому перед руководством стоит главная задача - выживать в постоянно изменяющихся рыночных условиях.

Управлять конкурентоспособностью значит принимать меры по систематическому совершенствованию изделия, постоянному мониторингу новых каналов его реализации, поиску новых групп потребителей, развития рекламы и сервиса.

Главным признаком конкурентоспособности организации является конкурентоспособность ее продукции или услуг.

Конкурентоспособность организации складывается из следующих факторов [24]:

)        ресурсов - затраты на единицу готового изделия (товара, услуги);

)        цен - уровень цен на все необходимые ресурсы и готовую продукцию;

)        среда - сюда входит экономическая и политическая обстановка в стране, а так же степень влияния государства на рынок.

Все факторы конкурентоспособности делятся на внутренние и внешние.

Внутренние факторы - это факторы, определяющие возможности организации обеспечить собственную конкурентоспособность. Сюда можно отнести возможности транспортировки, хранения, рекламы, упаковки, уровень сервисного обслуживания, условия ремонта и т.д.

Внешние факторы - это факторы, которые отражают социально-экономические, политические и организационные отношения и позволяют создавать привлекательную продукцию по ценовым и неценовым критериям. К ним можно отнести:

)        степень и меры государственного воздействия;

)        характеристика рынка области деятельности самой организации;

)        деятельность политических институтов, которые формируют экономическую и политическую обстановку в стране;

)        деятельность социальных и негосударственных институтов.

В российской федерации все большую силу набирает рыночная экономика. Основным механизмом регулирования хозяйственной деятельности выступает конкуренция. Для того чтобы организация успешно функционировала на рынке в нынешних условиях, ее управленческому персоналу необходимо уметь объективно оценивать свои конкурентоспособные преимущества и финансовое состояние по отношению к другим участникам на рынке. Финансовое состояние организации - это важнейшая экономическая характеристика, позволяющая не только оценить уровень ее экономической деятельности и определить ее потенциальную конкурентоспособность, но и оценить всевозможные гарантии экономических, финансовых и производственных интересов самой организации и ее партнеров. Несмотря на это, для успешного функционирования организации и достижения поставленных целей недостаточно уметь объективно оценивать финансовое состояние [21;16].

Конкурентоспособность организации содержит в себе все составляющие деятельности организации: товар (услугу) и его характеристики, а так же экономические, организационные, технические и другие характеристики самого предприятия.

Для создания конкурентоспособной организации необходимо уметь определять и пользоваться своими преимущественными позициями в конкурентной борьбе.

Первоначальным элементом для деятельности организаций является оценка качества и конкурентоспособности товаров и услуг [15]. Причем такой систематической оценке конкурентоспособности должны подвергаться не только товары и услуги, но и сама конкурентоспособность организации.

В настоящее время в условиях рыночной экономики конкуренция набирает обороты и руководителям организаций необходимо постоянно отслеживать состояние конкурентоспособности организации, находить новые инструменты ее повышения и методы оценки. Существует большое количество методов оценивания конкурентоспособности, но необходимо найти именно такой метод, который в полной мере позволит оценить конкурентоспособность данной организации. Такая оценка важна для того, чтобы после ее проведения были оценены конкурентные возможности данной организации и были приняты соответствующие меры для повышения конкурентоспособности, например, разработка новых инновационных изделий, поиск новых каналов сбыта, увеличение производственных мощностей и другие.

На первом этапе определяются цель оценки конкурентоспособности продукции (услуги). Оценка должна проводиться на разных этапах жизненного цикла продукции (услуги), а, следовательно, цель оценки конкурентоспособности может быть определена из стадии жизненного цикла.

При оценке конкурентоспособности важным этапом является изучение рынка, изучение позиций конкурентов и покупателей.

Так же, при оценке конкурентоспособности к изделию (продукции, услуге) предъявляются требования, которые являются базой для определения параметров изделия (продукции, услуги). При определении требований руководствуются международными и региональными стандартами, нормативными и законодательными актами, техническими регламентами и прочее [15].

Не всегда все свойства изделия (товара, услуги) приносят полезный эффект потребителю. Ведь потребитель покупает какой-либо товар не с целью его ремонта, обеспечения его электроэнергией или топлива, но все равно без этих затрат потребитель не сможет пользоваться этим изделием (товаром, услугой) и получить от него желаемый эффект. Поэтому главной целью потребителя является приобретение изделия (товара, услуги), использование которого принесет как можно меньше затрат. Отсюда мы можем сделать вывод, что для потребителя существует две группы параметров изделия (товара, услуги): одна - представляющая для потребителя полезность от его использования, а вторая - отражающая затраты для удовлетворения его потребностей данным изделием. По этим параметрам и происходит оценка и сравнение конкурирующих изделий на рынке.

Отношение цены к полезному эффекту изделия (товара, услуги), к аналогичным показателям других изделий (товаров, услуг) говорит о его конкурентоспособности. Конкурентоспособное изделие (товар, услуга) - это изделие (товар, услуга) не только способное участвовать в конкурентоспособной борьбе, а еще и превзойти всех конкурентов в этой борьбе.

Стремление компаниями добиться лидерских позиций в конкурентоспособной борьбе заставляют их применять все новые методы изготовления изделий (товаров, услуг), разрабатывать новые модели с целью удовлетворения постоянно появляющихся потребностей потребителя с тем же уровнем затрат с его стороны. Совершенствование изделий может приводить к существенным изменениям изделий за небольшой промежуток времени и снижать конкурентоспособность ранее выпущенных моделей изделий.

Компании постоянно совершенствуют применяемые материалы, технологии изготовления, организацию управления и производства для того чтобы повысить свою конкурентоспособную позицию. Эксплуатация более дешевого и производительного оборудования и технологий позволит снизить издержки производства и тем самым сократить себестоимость, а, следовательно, и продажную цену при постоянном или увеличивающемся уровне прибыли.

Постоянно совершенствующиеся изделия могут примести не только к улучшению их характеристик, но и к созданию принципиально новых изделий для удовлетворения потребностей потребителей. Можно привести пример с появлением сотовых телефонов, обеспечивающих потребителей преимущественной связью по сравнению со стационарными телефонными аппаратами. В результате появления сотовых телефонов спрос на стационарные телефоны резко снизился и на данный момент большинство потребителей отдают предпочтение сотовым телефонам.

Для разработки нового вида изделия (товара, услуги) перед фирмами стоит очень важная задача - выявить тенденции развития потребительских предпочтений, попытаться предвидеть появление новых потребностей потребителей. После проведения такого мониторинга перед фирмами выявляется круг требований и проблем, которые необходимо решить. Зачастую фирмы в качестве своей новой разработки заимствуют идеи фирм-лидеров или конкурентов и разрабатывают усовершенствованные модели или их имитации. Это вызвано в первую очередь тем, что не все фирмы своими собственными силами могут провести мониторинг и определить перспективное направление своей деятельности и инноваций.

Повышение конкурентоспособности может быть осуществлено несколькими путями, такими как повышение качества выпускаемой продукции или оказываемых услуг, понижением стоимости на них, внедрением новых технологий и поиском новых возможностей [14].

Уровень конкурентоспособности организации является показателем, зависящим от многих факторов. Показатели конкурентоспособности организации - это такие показатели, как конкурентоспособность выпускаемых товаров или оказываемых услуг, вид товара или услуги, возможность их выхода на рынок, уровень конкуренции между предприятиями-конкурентами, конкурентоспособность данной отрасли, а так же данного региона или в целом страны в случае выхода на мировой рынок.

Повышение конкурентоспособности организации - это, прежде всего, понимание требований и ожиданий потребителей, а также мониторинг развития потребительского рынка с целью создания таких видов товаров и услуг с такими потребительскими свойствами, чтобы потребитель предпочел покупать товар или услугу именно этого производителя, а не конкурента.

В борьбе за лидерские позиции на рынке организации должны следить за спросом на какие-либо товары и услуги. Цены на них определяются спросом и любое изменение пожеланий потребителей будет отражено на ценах на товары и услуги.

Повышение конкурентоспособности организации в масштабах государства приводит к повышению конкурентоспособности отрасли в целом. Результатом конкурентоспособной отрасли является активное развитие внутреннего рынка, увеличение ВВП, постоянное и устойчивое налоговое поступление в госбюджет, рост объемов экспорта, рациональное использование природных и иных ресурсов, социальная благополучие, политическая стабильность.

Повышение конкурентоспособности организации - это, главным образом, повышение качества выпускаемой ею продукции или оказываемых ею услуг, которое является самым важным показателем деятельности организации. В широком смысле качество товара (услуги) называется вся совокупность характеристик, способных удовлетворять заявленные и ожидаемые потребности потребителей по назначению. Повышение уровня качества в последующем увеличивает спрос на эту продукцию и увеличивает прибыль не только за счет увеличения объема продаж, а еще и за счет повышения цены на продукцию более высокого качества [6].

Таким образом, конкурентоспособность - это способность организации вести успешно борьбу за потребителей, а аудит качества - это главный инструмент воздействия на нее. С его помощью мы находим проблемные места деятельности организации, ищем способы решения этих проблем, а так же их предотвращение в будущем. Отсюда следует, что повышение конкурентоспособности организации - это повышение качества оказываемых ею услуг или производимых ею товаров, показатели которых характеризуют свойства данных товаров или услуг.

конкурентоспособность аудит качество

2. Аудит качества в условиях конкуренции

.1 Деятельность предприятия. Характеристика ООО «НефтеСтройМонтаж»

ООО «НефтеСтройМонтаж» на рынке появилась сравнительно недавно, но уже успела зарекомендовать себя как надежный и добросовестный партнер таких компаний как «Роснефть» и АК «Транснефть». ООО «НефтеСтройМонтаж» образовано в декабре 2011 года и уже более двух лет успешно работает на объектах нефтегазового комплекса. На данном этапе своего развития Компания является современным предприятием, способным реализовать самые разнообразные проекты. Определяющим фактором успехов Компании является высокое качество выполняемых работ при безусловном соблюдении плановых сроков их выполнения и требований отраслевых регламентов.

Основные направления деятельности:

)        выполнение работ по монтажу, наладке и ремонту следующих средств, оборудования и систем:

автоматизации и управления;

телемеханизации;

периметрально-охранной сигнализации;

инженерно-технических средств охраны;

контроля доступа;

охранного видеонаблюдения;

охранно-пожарной сигнализации;

оповещения и управления эвакуацией;

технологической связи;

)        выполнение электромонтажных работ;

)        выполнение строительно-монтажных работ;

)        выполнение других специализированных видов работ, связанных с повышенной опасностью промышленных производств и объектов;

)        проведение профилактического технического обслуживания различных видов оборудования и приборов на объектах нефтегазового комплекса и других отраслей промышленности.

В ближайших планах развитие собственной производственной базы для полного обеспечения ООО «НефтеСтройМонтаж» в изготовлении как типовых, так и нестандартных оборудования и материалов.

Социальная политика Компании направлена на привлечение квалифицированных специалистов, снижение текучести кадров, создание максимально благоприятных условий трудовой деятельности персонала.

В числе приоритетов развития ООО «НефтеСтройМонтаж» - формирование высокопрофессионального и сплоченного коллектива, обеспечение высокого уровня технологической и экологической безопасности при производстве работ, увеличение собственной ресурсной базы.

Преимуществом ООО «НефтеСтройМонтаж» является комплексный подход к решению задач - выполнение работ "под ключ" и жесткое соблюдение требований нормативно-технической документации и технологических регламентов Заказчика. Определяющим фактором успехов Компании является высокое качество выполняемых работ при безусловном соблюдении плановых сроков их выполнения.

В Уставе ООО «НефтеСтройМонтаж» содержатся следующие сведения:

наименование организации и ее местонахождение (почтовый и юридический адрес);

перечень выполняемых услуг;

размер уставного капитала, резервного и иных фондов, образованных организацией;

указание на то, что организация является юридическим лицом и действует на коммерческой основе.

Полное наименование - Общество с ограниченной ответственностью «НефтеСтройМонтаж», сокращенное название - ООО «НефтеСтройМонтаж» и использует это наименование во всех необходимых случаях, в любых незапрещенных законом формах.

ООО «НефтеСтройМонтаж» создано и действует согласно ФЗ «Об обществах с ограниченной ответственностью» на основании действующего законодательства с целью более полного насыщения потребительского рынка товарами и услугами для извлечения прибыли. В соответствии с уставом в состав участников общества могут входить физические лица и юридические лица, которые оплатили свои доли в его уставном капитале. Общество создано без ограничения срока, общество в праве в установленном порядке открывать банковские счета на территории РФ и за ее пределами.

Целью создания общества является осуществление хозяйственной деятельности для удовлетворения общественных потребностей в его продукции, работах и услугах, и реализации на основе получения прибыли экономических интересов участников и трудового коллектива сообщества.

Так же в Уставе содержатся права и обязанности участников и общества. Органом управления в обществе является общее собрание участников общества. Оно может быть очередным и внеочередным. Все участники общества имеют право присутствовать на общем собрании участников, принимать участие в обсуждении вопросов повестки дня и голосовать при принятии решений.

Уставный капитал общества определяет минимальный размер его имущества, гарантирующего интересы его кредиторов. Обществом сформирован уставный капитал в размере 10 000 рублей.

Источниками формирования имущества общества являются:

−       денежные и имущественные взносы участников;

−       доходы, полученные от реализации продукции, работ, услуг, а также от других видов хозяйственной деятельности;

−       кредиты банков и других кредиторов;

−       безвозмездные взносы;

−       иные источники, незапрещенные законодательством РФ.

Бухгалтерский учет и отчетность в обществе ведутся по правилам действующего законодательства. Организация документооборота в обществе устанавливается директором общества. Операционный год считается с 1 января по 31 декабря календарного года. Для проверки и подтверждения правильности годовой финансовой отчетности общество в праве в предусмотренных законодательством случаях привлечь независимого аудитора.

Организация ведет список участников с указанием сведений о каждом участнике общества, размере его доли в уставном капитале и ее оплате, а так же размере долей, принадлежащих обществу, датах их перехода обществу или приобретения обществом. Общество обязано обеспечивать ведение и хранение списка участников общества в соответствии с момента государственной регистрации общества.

Общество обязано хранить следующие документы:

−       договор об учреждении общества, решение об учреждении общества, устав общества;

−       протоколы собрания учредителей общества, содержащие решения о создании общества и об утверждении денежной оценки неденежных вкладов в уставный капитал общества, а также иные решения, связанные с созданием общества;

−       документы, подтверждающие государственную регистрацию общества;

−       документы, подтверждающие права общества на имущество, находящееся на его балансе;

−       внутренние документы общества;

−       положения о филиалах и представительствах общества;

−       документы, связанные с эмиссией облигаций и иных эмиссионных ценных бумаг общества;

−       протоколы общих собраний участников общества, заседаний совета директоров (наблюдательного совета) общества, коллегиального исполнительного органа общества и ревизионной комиссии общества;

−       заключения ревизионной комиссии (ревизора) общества, аудитора, государственных и муниципальных органов финансового контроля;

−       иные документы, предусмотренные федеральными законами и иными правовыми актами Российской Федерации, уставом общества, внутренними документами общества, решениями общего собрания участников общества, совета директоров (наблюдательного совета) общества и исполнительных органов общества.

Общество хранит вышеперечисленные документы месту нахождения его единоличного исполнительного органа или в ином месте, известном и доступном участникам общества.

По требованию участника общества, аудитора или любого заинтересованного лица общество обязано в сроки, предусмотренные действующим законодательством предоставить им возможность ознакомиться с уставом общества, в том числе с изменениями. Плата, взимаемая обществом за предоставление таких копий, не может превышать затраты на их изготовление.

Организационная структура представлена на рисунке 2 ООО «НефтеСтройМонтаж» основана на следующих принципах:

устойчивость связей между руководителями подразделений и их подчиненными;

минимальное количество звеньев управления;

осуществление оптимального уровня управляемости производственной системы.

Во главе организационной структуры стоит генеральный директор. В его прямом подчинении находится главный инженер и главный бухгалтер. В его обязанности входит работа по вопросам, связанными с обязательствами организации, потоками денежных средств, учетом всего имущества, ведение сметно-проектной документации, работа с заключенными договорами, поквартальными отчетами.

В свою очередь главному инженеру подчиняется инженер службы контроля качества, начальник участка, инженер ПТО. Главному бухгалтеру подчиняется инженер СДО.

Рисунок 2 - Организационная структура ООО «НефтеСтройМонтаж»[27]

Служба контроля качества разрабатывает и формирует политику в области качества, готовит необходимые документы для проведения аудитов, производит сбор и анализ данных о качестве работы организации, осуществляет контроль ввозимых на объект оборудования и материалов, а так же следит за ходом и качеством выполнения СМР и соблюдение норм и правил, предусмотренных нормативной документации заказчика.

Начальник участка следит за ходом выполнения СМР, соблюдением правил пожарной безопасности и охраны труда, организовывает работу младшего технического персонала, а так же ежедневно фиксирует в общем журнале работ все этапы проведения СМР и их объем. В подчинении у начальника участка находятся специалисты по монтажу и мастер КИПиА. Специалисты по монтажу осуществляют ведение СМР и монтаж приборов и оборудования, не включая в себя их непосредственное расключение. Мастер КИПиА занимается подключением смонтированного оборудования и его пуско-наладкой.

Инженер ПТО занимается разработкой проекта производства работ, созданием технологических карт по ведению СМР, сбором и подписанием разрешительной документации, а так же ведение исполнительной документации на объекте. По завершению работ инженер ПТО комплектует пакет разрешительной и исполнительной документации согласно перечню, который был предоставлен заказчиком. После подписания всех необходимой документации передает ее в архив.

Инженер СДО (сметно-договорной отдел) занимается подготовкой сметной документации, разработкой договоров с заказчиками и субподрядчиками, а также готовит ежемесячную документацию строгой отчетности по форме КС2, КС3, КС6.

Анализируя организационную структуру ООО «НефтеСтройМонтаж» можно сделать вывод о том, что она построена таким образом, чтобы как можно больше упростить передачу информации внутри самой организации и упорядочить подчиненность персонала как внутри подразделений, так и между ними.

Ниже приведена таблица 1 анализа финансового состояния ООО "НефтеСтройМонтаж", выполненная за период с 01.01.2013 по 31.12.2013 г.

Из представленных в первой части таблицы данных видно, что на 31.12.2013 в активах организации доля внеоборотных средств составляет одну треть, а текущих активов, соответственно, две третьих. Активы организации за рассматриваемый период существенно увеличились (на 96,5%). Учитывая значительное увеличение активов, необходимо отметить, что собственный капитал увеличился в меньшей степени - на 76%. Отстающее увеличение собственного капитала относительно общего изменения активов - фактор негативный.

Таблица 1 - Анализ финансового состояния ООО «НефтеСтройМонтаж» (составлено автором)

Показатель

Значение показателя

Изменение за анализируемый период


в тыс. руб.

в % к валюте баланса

тыс. руб. (гр.3-гр.2)

± % ((гр.3-гр.2) : гр.2)


31.12.2012

31.12.2013

на начало анализируемого периода (31.12.2012)

на конец анализируемого периода (31.12.2013)



Актив

1. внеоборотные активы

28 409

47 285

35,5

30,1

+18 876

+66,4

в том числе: осн. средства

28 349

46 742

35,5

29,8

+18 393

+64,9

нематериальные активы

-

-

-

-

-

-

2. Оборотные активы, всего

51 518

109 738

64,5

69,9

+58 220

+113

в том числе: запасы

17 841

75 220

22,3

47,9

+57 379

+4,2 раза

дебиторская задолженность

21 645

27 407

27,1

17,5

+5 762

+26,6

Ден. средства и краткосрочные фин. вложения

7 685

750

9,6

0,5

-6 935

-90,2

Пассив

1. Собственный капитал

7 166

12 614

9

8

+5 448

+76

2. Долгосрочные обяз-ва, всего

298

2 265

0,4

1,4

+1 967

+7,6 раза

в том числе:  заемные средства

-

-

-

-

-

-

3.Краткосрочные обяз-ва*, всего

72 463

142 144

90,7

90,5

+69 681

+96,2

в том числе:  заемные средства

12 353

18 434

15,5

11,7

+6 081

+49,2

Валюта баланса

79 927

157 023

100

100

+77 096

+96,5


На рисунке 3 наглядно представлено соотношение основных групп активов организации.

Рисунок 3 - Структура активов ООО «НефтеСтройМонтаж» (составлено автором)

Рост величины активов организации связан, в первую очередь, с ростом следующих позиций актива бухгалтерского баланса (в скобках указана доля изменения статьи в общей сумме всех положительно изменившихся статей):

−       запасы - 57 379 тыс. руб. (68,3%);

−       основные средства - 18 393 тыс. руб. (21,9%);

−       дебиторская задолженность - 5 762 тыс. руб. (6,9%).

Одновременно, в пассиве баланса наибольший прирост наблюдается по строкам:

−       кредиторская задолженность - 65 159 тыс. руб. (82,8%);

−       краткосрочные заемные средства - 6 081 тыс. руб. (7,7%);

−       нераспределенная прибыль (непокрытый убыток) - 5 448 тыс. руб. (6,9%).

Среди отрицательно изменившихся статей баланса можно выделить "денежные средства и денежные эквиваленты" в активе и "прочие краткосрочные обязательства" в пассиве (-4 890 тыс. руб. и -1 559 тыс. руб. соответственно).

На последний день анализируемого периода собственный капитал организации составил 12 614,0 тыс. руб. За 2013 год отмечено стремительное, на 5 448,0 тыс. руб., или на 76%, повышение собственного капитала.

Чистые активы организации на 31 декабря 2013 г. намного (в 1 251,4 раза) превышают уставный капитал, что положительно характеризует финансовое положение, полностью удовлетворяя требованиям нормативных актов к величине чистых активов организации. Необходимо отметить увеличение чистых активов на 76% за анализируемый период (31.12.2012-31.12.2013) над уставным капиталом и в то же время их увеличение говорит о хорошем финансовом положении организации. На рисунке 4 представлена динамика чистых активов и уставного капитала организации.

Рисунок 4 - Динамика чистых активов и уставного капитала ООО «НефтеСтройМонтаж» (составлено автором)

На рисунке 5 представлено изменение выручки и прибыли ООО "НефтеСтройМонтаж" в течение всего анализируемого периода.

Рисунок 5 - Динамика выручки и чистой прибыли ООО «НефтеСтройМонтаж» (составлено автором)

По сравнению с прошлым периодом в текущем выросла как выручка от продаж, так и расходы по обычным видам деятельности (на 203 970 и 195 257 тыс. руб. соответственно). Причем в процентном отношении изменение расходов (+111,3%) опережает изменение выручки (+110%).

.2 Обеспечение качества на ООО «НефтеСтройМонтаж». Аудит качества и анализ показателей качества выполняемых работ

Основой обеспечения качественно выполненной работы на ООО «НефтеСтройМонтаж» является система менеджмента качества, соответствующая требованиям международных стандартов ИСО серии 9001. В основе этих стандартов лежит принцип менеджмента качества и ориентации на потребителя.

ООО «НефтеСтройМонтаж» при приеме на работу сотрудников оценивает его компетентность, уровень знаний и наличие соответствующего образования. Руководство компании постоянно анализирует уровень компетентности специалистов для эффективной и результативной деятельности.

Для своей уверенности и для уверенности своих заказчиков ООО «НефтеСтройМонтаж» добилось получения сертификата соответствия ГОСТ ISO 9001-2011 , свидетельствующий о том, что компания выполняет свои обязательства в соответствии с требованиями стандарта. Ежегодно осуществляются плановые проверки СМК - надзорные аудиты.

СМК ООО «НефтеСтройМонтаж» распространяется на проектировку, изготовление и выполнение строительно-монтажных работ по установке охранных систем и систем видеонаблюдения, а так же на оборудование и материалы.

Политикой Руководства в области качества является стремление быть лидером в сфере своей деятельности, желание создания репутации надежного партнера, имеющего специалистов высокой квалификации для безупречного выполнения требований заказчиков по всему спектру работ и услуг, поддержание организации, способной адекватно и эффективно планировать работу в соответствии с установленными требованиями.

Вся деятельность ООО «НефтеСтройМонтаж» основывается на принципах:

.        Необходимая открытая и доступная информация о качестве для потребителей и заказчиков;

.        Постоянное совершенствование своей деятельности за счёт проведения систематического мониторинга и анализа качества;

.        Инновационные нововведения и совершенствование существующих методик выполнения работ, применение новых технологий, которые помогут поддерживать качество на должном уровне для обеспечения конкурентоспособности организации;

.        Выполнение индивидуальных требований заказчика с целью оправдать и превзойти все его ожидания в отношении качества и безопасности выполненных работ;

.        Обеспечить соответствие выполняемых работ требованиям законодательной, нормативной и технической документации.

В компании разработана политика в области качества, которая содержит как стратегические цели, так и пути их реализации. Главными целями является, во-первых, удовлетворение существующих и возможных потребностей заказчиков, а во-вторых, устойчивое экономическое развитие и постоянное извлечение прибыли для совершенствования своей деятельности и удовлетворения интересов всех вовлеченных сторон. В ООО «НефтеСтройМонтаж» каждый сотрудник знает и понимает свою ответственность, принимают в особое внимание требования каждого заказчика, требования законодательства и обязательные требования, а так же обеспечение безопасности эксплуатации оборудования и техники.

Все требования по организации и выполнению работ регламентируются нормативными документами. На каждом участке работ есть ответственный сотрудник-начальник участка, который несет ответственность перед директором за эксплуатацию оборудования и за выполнение работ бригадами. Все поломки и отказы оборудования регистрируются в специальном журнале, после чего отправляются заявки на ремонт.

Система менеджмента качества в ООО «НефтеСтройМонтаж» создана и внедрена как средство, которое обеспечивает реализацию политики в области качества. Главной целью внедрения СМК в ООО «НефтеСтройМонтаж» является достижение оптимального уровня качества выполнения работ и поддержание его на этом уровне, а так же удовлетворение требований заказчиков, которое в свою очередь должно соответствовать требованиям нормативной документации. Для достижения этой цели ООО «НефтеСтройМонтаж» использует все свои экономические, технические и прочие факторы, которые могут повлиять на качество выполнения работ.

В настоящее время сертификат соответствия СМК стал еще одним документом, который подтверждает надежность и стабильность компании, а так же ее перспективное развитие ООО «НефтеСтройМонтаж».

Аудит внедренной системы качества проводится с целью определения затрат времени, установления объема работ и ресурсов для ее соответствия требованиям стандартов ISO серии 9000. Аудит обычно проводят сертифицированные специалисты по аудиту - аудиторами. Это могут быть как внешние консультанты, так и специально обученные специалисты предприятия - внутренние аудиторы.

Для проведения внутреннего аудита был подготовлен план проведения аудита, а так же перечень вопросов. Аудиты проводятся по специально спланированному графику годовой программы проведения внутренних аудитов, которую подтверждает директор организации.

При составлении программы аудита были учтены требования, во-первых то, что каждый процесс или подразделение должно быть проверено минимум один раз в год, а во-вторых, аудитор не может проверять проделанную им работу. Еще существуют и другие требования. В работе организации каждый процесс имеет определенную важность и в соответствии с ней необходимо составлять план проведения аудита. Так же при планировании нужно учитывать и результаты прошлых проверок, и что немаловажно, сезонность.

Бывают случаи, когда аудит приходится проводить внезапно. Такая ситуация может сложиться в результате получения предприятием какой-либо жалобы или претензии и аудит должен быть проведен в течение двух недель с момента получения данной претензии.

План аудита был подготовлен и согласован директором и инженером СКК согласно годовой программе аудитов.

Далее был разработан контрольный лист, который служит кратким информационным источником найденных или отсутствующих фактов.

Аудит проходит следующим образом. Сначала проводится вводное совещание, целью которого является одобрение плана аудита, разъяснение задач и порядка проведения аудита, координация действий по проведению аудита и прочие организационные моменты. Его проводит главный аудитор при участии инженера СКК и остальных аудиторов.

Аудит проводят в сроки, установленные планом программы аудита.

В каждом подразделении есть ответственный сотрудник, отвечающий на вопросы аудиторов и сопровождающий их в процессе аудита. В ходе аудита аудитору необходимо получить всю необходимую информацию и данные для того, чтобы сделать объективные и обоснованные выводы о работе СМК.

Информацию собирают следующими методами:

опрос персонала в процессе бесед;

анкетирование;

анализ документов и записей в соответствии с требованиями СМК;

наблюдения за деятельностью в подразделениях.

Все несоответствия фиксируются, даже если область выявленного несоответствия не входит в план аудита.

Вся полученная информация должна быть объективной. Все незначительные несоответствия, которые были устранены в процессе проведения аудита, так же фиксируются и на каждое несоответствие составляется акт.

Заключительное совещание проводят в течение 7 дней после окончания аудита. На нем руководитель по аудиту знакомит всех с результатами аудита, делает необходимые пояснения. Все возможные разногласия между аудитором и руководителями подразделений должны быть обсуждены и разрешены. Если не получается прийти к единому решению, то это отражается в протоколе совещания. На заключительном совещании руководителям передаются акты о несоответствии или уведомлении подписанные аудитором.

Результатом заключительного совещания является подписание руководителем протокола произвольной формы. На рисунке 6 представлен процесс проведения аудита в организации.

По просьбе руководителя аудиторы могут дать свои рекомендации по устранению обнаруженных несоответствий, а так же план корректирующих и предупреждающих действий.

Рисунок 6 - Процесс проведения аудита в организации [17]

В течение 7 дней после проведения заключительного совещания составляется отчет по аудиту. В нем отражается информация о функционировании СМК в организации, так же могут быть получены советы и рекомендации от аудиторов по улучшению, как отдельных процессов, так и деятельности организации в целом. Отчет является конфиденциальным документом. Ответственность за содержание, полноту, точность и достоверность данных в отчете несет руководитель группы по аудиту.

Аудит был проведен на основании ежегодной программы аудита и приказа генерального директора Чеснокова Николая Александровича. Программа аудита была полностью выполнена в соответствии с планом аудита и в соответствии требованиям нормативной документации.

В отчете о результатах проведенного инспекционного аудита качества СМК в 2014 году в ООО «НефтеСтройМонтаж» не было выявлено несоответствий и замечаний. Корректирующие и предупреждающие действия по результатам прошлого аудита были успешно проведены. Никаких несоответствий по корректирующим и предупреждающим действиям обнаружено не было.

После ознакомления с отчетом о результатах проведения инспекционного аудита мы совместно со службой контроля качества организации приняли решение о внутренней проверке качества деятельности организации, а именно выполнения работ и качество поступающих материалов и оборудования.

Качество выполняемых работ - это наиболее важный показатель деятельности организации. Повышение этого показателя помогает обеспечивать экономию не только трудовых и материальных ресурсов, а так же позволяет в большей мере удовлетворять потребности заказчиков. Высокий уровень качества выполнения строительно-монтажных работ способствует повышению спроса на них и постоянному увеличению уровня прибыли не только за счет объёма выполняемых работ, но и за счет более высокой стоимости на качественные работы.

В ООО «НефтеСтройМонтаж» ежегодно проводится анкетирование (приложение А). Удовлетворенность заказчиков в 2013 году выросла по отношению к 2012 году. Так же объем работ увеличился в 2 раза в 2013 году.

Таблица 2 - Основные показатели оценки системы менеджмента качества (составлено автором)

Основные показатели оценки СМК

2012 г.

2013 г.

Удовлетворенность заказчиков:



Удовлетворенность заказчиков (выполненными работами), %

86

92

Удовлетворенность заказчиков (сервисом), %

92

97

Затраты на гарантийный ремонт (в % к себестоимости)

0,24

0,213

Объем выполненных работ, тыс. руб.

87 189

185 439


Из таблицы видно, что удовлетворенность потребителей в 2013 году немного возросла, на 6%, по отношению к 2012 году, что говорит о повышении качества выполняемых работ. Сервисом стали удовлетворены на 5% больше заказчиков в 2013 году по отношению к 2012 году. Этот говорит об улучшении ремонтного и сервисного обслуживания.

Количество обращений из-за отсутствия видеосигнала в 2013 году возросло на 5 шт., что говорит об ухудшении качества видеокамер. Зато уменьшилось количество обращений по выходу из строя приемников сигнала и в 2013 году ни одной заявки не было, что говорит об их качественной работе.

Так же, были проанализированы заявки на гарантийный и сервисный ремонт и составлена диаграмма по результатам анализа (рисунок 7). На ней видно, что качество поставляемых камер для установки видеонаблюдения стало намного хуже. Возросло количество заявок на ремонт и переустановку камер видеонаблюдения, запотевание линз так же относится к низкому качеству поставляемых камер.

Рисунок 7 - Динамика обращений с заявками на сервисный и гарантийный ремонт (составлено автором)

Реализация существующих и возможных пожеланий и потребностей заказчиков является одной из главных целей деятельности ООО «НефтеСтройМонтаж». Было проведено исследование удовлетворенности заказчиков по 5-ти бальной шкале. Полная удовлетворенность - 5 баллов, неудовлетворенность - 0 баллов.

Данные исследования представлены в таблице 3.

Таблица 3 - Удовлетворенность заказчиков выполнения работ (составлено автором)

Цель исследования

Респонденты

Результаты исследования



Критерии оценки

Оценка

Изучение и анализ мнений заказчиков с целью повышения конкурентоспособности

Заказчики, которым были предоставлены строительно-монтажные работы ООО «НефтеСтройМонтаж»

Качество

4,72



Срок гарантии

4,81



Цена

4,69



Безопасность

4,89



Скорость выполнения работ

4,21

Итоговая оценка

4,66

Изучение и анализ мнений заказчиков с целью повышения гарантийного и сервисного обслуживания

Заказчики, от которых поступали заявки на гарантийный ремонт, а так же заказчиков, которым были предоставлены строительно-монтажные работы

Своевременность обработки заявки

4,36



Сроки выполнения ремонта

4,55



Качество выполнения ремонта

4,68



Удовлетворенность заказчика выполненным ремонтом

4,75

Итоговая оценка

4,59


В целом, можно сказать, что заказчики удовлетворены качеством выполнения строительно-монтажных работ и послегарантийным обслуживанием ООО «НефтеСтройМонтаж». Руководство во главе с генеральным директором ищут новые пути повышения качества и конкурентоспособности своей организации. Удовлетворение заявок потребителей гарантийным обслуживанием выполнено на 91,8%.

После внедрения СМК и в процессе ее функционирования всегда есть заинтересованность в получении информации о ее эффективности и результативности.

Стандарт ГОСТ Р ИСО 9000 дает следующие определения:

"Результативность (п. 3.2.14) - степень реализации запланированной деятельности и достижения запланированных результатов.

Эффективность (п. 3.2.15) - соотношение между достигнутым результатом и использованными ресурсами".

Для того чтобы получить эту информацию, необходимо определить критерии и частоту проведения оценки.

Результативность в данном случае рассматривается как степень достижения поставленных целей организацией за определенный период времени и как реализация запланированной стратегии. Эффективность рассматривается как умение рационального использования ресурсов и материалов в процессе реализации стратегии.

Данная оценка проводилась в соответствии с «Методикой оценки результативности СМК организаций». По данной методике был проведен расчет эффективности и результативности за 2013 год. Критерии разработаны с учетом требований ГОСТ Р ИСО 9001-2001 п.8.4 «Анализ данных»:

Критерий 1 (К1) - удовлетворенность заказчиков выполненной работой;

Критерий 2 К2) - соответствие требованиям выполнения СМР;

Критерий 3 (К3) - степень выполнения требований стандартов ИСО серии 9000;

Критерий 4 (К4) - степень выполнения установленных требований заказчика;

Критерий 5 (К5) - качество поставляемого материала и оборудования.

Каждому критерию экспертным путем сформировано коэффициент весомости (r).

Таблица 4 - Частные критерии оценки результативности СМК [45]

Критерий

Коэффициент весомости критерия, (r)

К1

1

К2

1

К3

1

К4

0,9

К5

0,8


Критерий 1 (К1) определяется как среднеарифметическая оценка качественных показателей (n), взятых из годовой отчетности организации и рассчитывается по формуле:

,        (1)

Где n - качественные показатели выполнения работ. В нашем случае это:

·        доля выполненных работ, не получивших заявок на ремонт в течение года - 0,979;

·        доля принятых работ заказчиком с первого раза - 0,936;

·        доля выполненных работ, не получивших несоответствий в ходе принятия работ - 0,957.

Подставив наши значения мы получаем К1 = 0,957.

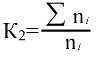
Критерий 2 (К2) определяется так же как среднеарифметическая оценка показателей, взятым из годовой отчетности и рассчитывается формуле:

,                 (2)

Где n - качественные показатели выполнения работ. В нашем случае это:

·        доля выполненных и сданных работ - 0,999;

·        доля выполненных работ сданных с первого раза техническому контролю - 0,796;

·        доля выполненных работ, по которым в процессе эксплуатации не проводилось устранение каких-либо недостатков - 0,969;

·        доля единожды встречающихся дефектов, выявленных при обработке заявок заказчиков - 0,996.

Подставив наши значения мы получаем К2 = 0,94.

Для определения критерия 3 (К3) основой служат требования стандарта ИСО 9001, а также количество выявленных в процессе аудита несоответствий. Критерий 3 (К3) рассчитывается по формуле:

К3 = 1- n:N,         (3)

Где n - количество выявленных в процессе аудита несоответствий,

Т - количество предусмотренных требований стандартом ИСО 9001.

Все требования, относящиеся к деятельности ООО «НефтеСтройМонтаж» содержатся в его внутренней нормативной документации (инструкции, СНиП, отраслевых регламентах и руководящих документах). Всего требований, применимых к деятельности ООО «НефтеСтройМонтаж» составляет 64 (N). В ходе проведения аудита было выявлено 5 несоответствий (n).

Итак, подставим значения в формулу и получаем:

К3 =0 ,92.

Критерий 4 (К4) определяет степень и уровень выполнения установленных требований к процессам, то есть результативность функционирования СМК. В процессе проведения аудита получают фактическое (nфакт.) и требуемое (nтреб.) значение выполнения. При уменьшении фактического значения результативность повышается, а с увеличением фактического значения соответственно понижается.

В ООО «НефтеСтройМонтаж» внедрены и разработаны следующие процессы СМК, а так же оценена их результативность процесса (Р):

−       управление персоналом - Р=1,0;

−       планирование выполняемых работ - Р=1,02;

−       проектирование и управление выполняемыми работами - Р=0,98;

−       управление вспомогательным оборудованием - Р=1,06.

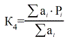
Для расчета критерия 4 (К4) необходимы коэффициенты весомости (а) каждого процесса, которые определяются опытным путем. Мы их возьмем из годовой отчетности организации о работе СМК:

.        управление персоналом - а=1;

.        планирование выполняемых работ - а=1;

.        проектирование и управление выполняемыми работами - а=0,9;

.        управление вспомогательным оборудованием - а=1.

Расчет критерия 4(К4) определяется по формуле:

,      (4)

Итак, наше значение К4=(1,0×1+1,02×1+0,98×0,9+1,06×1)/3,9=1,016.

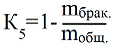
Критерий 5 (К5) характеризует качество поставляемых материалов и оборудования. Этот критерий рассчитывается как отношение количества бракованных материалов и оборудования (mбрак.) к общему числу поставленных материалов и оборудования (mобщ.) по формуле:

, (5)

За год в ООО «НефтеСтройМонтаж» было поставлено mобщ. = 1968 единиц материалов и оборудования, из них mбрак. =162 единиц материалов и оборудования были дефектными или бракованными.

К5= 1 - 362/1968=0,817.

Полученные значения критериев результативности занесем в сводную таблицу.

Таблица 5 - Значения критериев результативности [45]

Критерий результативности

Значение

К1

0,957

К2

0,940

К3

0,920

К4

1,016

К5

0,817


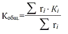
Чтобы оценить общую результативность (Кобщ.) СМК, то есть ее количественную величину, нам необходимо найти среднеарифметическое суммы критериев результативности К1, К2, К3, К4, К5 по формуле:

,         (6)

Где ri - коэффициент весомости i-го критерия результативности;

Кi - значение i-го критерия результативности.

Подставив полученные нами значения получаем:

Кобщ.= 0,93.

Проведенная оценка позволяет нам сделать следующие выводы:

значение результативности работы СМК составляет 0,93 и говорит о том, что СМК ООО «НефтеСтройМонтаж» является пригодной для обеспечения эффективной и результативной деятельности всей организации;

удовлетворенность заказчиков выполненной работой соответствует заданному уровню;

требования к СМР выполняются на соответствие стандартов ИСО серии 9000;

требования заказчика выполняются на 100%;

качество поставляемого оборудования не удовлетворяет требования.

В результате проведения внутреннего аудита был обнаружен основной конкурент ООО «Нефтегазавтоматика». Была проведена сравнительную оценку деятельности ООО «Нефтегазавтоматика» и ООО «НефтеСтройМонтаж» (таблица 6), на основании которой были выявлены сильные и слабые стороны ООО «НефтеСтройМонтаж» и ООО «Нефтегазавтоматика».

Таблица 6 - Сравнительная характеристика ООО «НефтеСтройМонтаж» и ООО «Нефтегазавтоматика» (составлено автором)

«НефтеСтройМонтаж»

«Нефтегазавтоматика».

Сильные стороны

- эффективная и результативная СМК; - высокое качество выполняемых работ; - динамичное развитие; - профессионализм сотрудников; - широкий спектр выполняемых работ; - контракты с такими организациями, как «Роснефть», «Транснефть»;

- долгое существование на рынке; -собственное производство металлоконструкций; - широкий спектр выполняемых работ; - контракты только с организацией «Транснефть»;

Слабые стороны

- низкое качество поставляемых систем видеонаблюдения; - ненужные расходы на аренду экскаватора-погрузчика; - малый опыт работы.

- отсутствие опыта работы с системами видеонаблюдения и контроля доступа; - отсутствие специалистов этой области; - отсутствие СМК.


Таким образом, на основании проведенного анализа конкурентоспособности были выявлены сильные и слабые стороны ООО «НефтеСтройМонтаж». Все слабые стороны являются предметом для улучшения и совершенствования деятельности предприятия. Результат данной проверки поможет улучшить и совершенствовать деятельность ООО «НефтеСтройМонтаж», а так же разработать и осуществить мероприятия по повышению конкурентоспособности.

3. Мероприятия по повышению конкурентоспособности ООО «НефтеСтройМонтаж»

Качество выполняемых работ в ООО «НефтеСтройМонтаж» обеспечивается действующей системой менеджмента качества и основывается оно на систематической проверке показателей качества выполняемых строительно-монтажных работ, анализе проведения внутренних аудитов, контроле выполнения корректирующих и предупреждающих действий и их эффективности. Приоритетами при выполнении работ являются безопасность эксплуатации систем охраны, видеонаблюдения и контроля доступом, а так же их эксплуатация с минимальным потреблением электроэнергии.

В соответствии с внутренним аудитом, проведенным на предприятии ООО «НефтеСтройМонтаж» в рамках дипломной работы были выявлены слабые стороны:

низкое качество поставляемых систем видеонаблюдения;

ненужные расходы на аренду экскаватора-погрузчика;

малый опыт работы.

На их основе были разработаны мероприятия, направленные на повышение качества выполняемых работ и на повышение конкурентоспособности.

Предлагаемые мероприятия:

поиск новых поставщиков оборудования систем видеонаблюдения;

покупка экскаватора-погрузчика;

создание при ООО «НефтеСтройМонтаж» электролаборатории.

3.1 Мероприятия по повышению конкурентоспособности услуг и повышению качества их выполнения ООО «НефтеСтройМонтаж» путем смены поставщика оборудования

Проведенный анализ показал, что недостатком деятельности ООО «НефтеСтройМонтаж» является низкое качество устанавливаемых систем видеонаблюдения фирмы «ТАХИОН».

До 2014 года в ОАО «АК «ТРАНСНЕФТЬ» существовал единый реестр поставщиков, в соответствии с которым все подрядные организации должны были обязаны закупать все необходимое оборудование и материалы только у поставщиков данного реестра. Но после многочисленных жалоб ОАО «АК «ТРАНСНЕФТЬ» в 2014 году приняла решение об отмене данного реестра.

В ходе проведения внутреннего аудита было обнаружено, что за 2013 год в ООО «НефтеСтройМонтаж» поступило порядка 20 заявок на гарантийный ремонт камер видеонаблюдения ТД «Тинко» системы ТАХИОН. Согласно существующему реестру применяемых материалов в ОАО «АК «Транснефть» данная фирма являлась единственным представителем, попавшей в данный реестр. Совместно с отделом снабжения был проведен мониторинг рынка предлагаемой продукции и установлено, что оборудование, закупаемое ООО «НефтеСтройМонтаж» согласно спецификации проекта не отвечает своим заявленным характеристикам и имеет низкий уровень качества. В свою очередь ряд фирм предлагают продукцию по аналогичной цене, но гораздо высшего уровня качества (таблица 7). Данные взяты из технического паспорта оборудования. В среднем за 1 год устанавливается 120 камер видеонаблюдения. По контракту гарантийный срок обслуживания системы составляет 2 года. Территориально объекты строительства расположены в разных частях края и за его пределами, в том числе Ставропольский край, республика Дагестан. После поступления заявки на ремонт в течение суток специалисты должны выехать на место, установить предварительную причину поломки и если причину поломки можно устранить на месте, то устраняют ее. В противном случае они демонтируются и отправляются представительству ТД «ТИНКО» в городе Краснодаре на экспертизу установления причин поломки. Вследствие этого нам необходимо на время установления причин поломки обеспечить непрерывную работу системы видеонаблюдения путем установки временного оборудования, что в свою очередь несет затраты предприятия.

Таблица 7 - Сравнительная оценка оборудования (составлено автором)

№ п/п

Технические характеристики

ТАХИОН

SONY

POLIVITION

1

Качество

Удовлетворительное

Отличное

Хорошее

2

Цена за 1 шт.

23000

20000

12000

3

Срок службы

7 лет

2 года

4

Технические параметры

Фокусировка - нет Цветопередача - Ч/б Расширение - 680*680Мп

Фокусировка - да Цветопередача - да Расширение - 1200*1020 Мп

Фокусировка - нет Цветопередача - да  Расширение - 680*680Мп

5

Гарантийный срок

1 год

5 лет

1 год

6

Надежность

70%

100%

70%


Так как стоимость камеры видеонаблюдения составляет 22 000 рублей, транспортные расходы по краснодарскому краю составляют от 1000 до 2 000 рублей, а так же командировка сотрудников составляет 500руб/чел, без учета проживания. Если же строительный объект находится территориально более 300 км от города Краснодара, то увеличиваются транспортные расходы и необходимо оплачивать сотрудникам проживание в размере 1500 руб./сутки.

Рассчитав, что в 2013 году поступило 20 заявок на ремонт оборудования, из которых 7 заявок поступили из территориально отдаленных объектов (республика Дагестан, город Хасавьюрт - 1 100км и ставропольский край, станица Незлобная - 500км) и 13 по краснодарскому краю. Суммарные затраты только на выезд на объект строительства составили (таблица 8) 130 500 руб.

Калькуляция затрат состоит из следующих элементов:

−       транспортные расходы;

−       расходы на оплату труда сотрудникам;

−       командировочные;

−       проживание.

Таблица 8 - Калькуляция затрат на выездные расходы (составлено автором)

Месторасположение объекта

Кол-во сотрудников

Количество заявок на ремонт

Транспортные расходы (в среднем), руб.

Проживание, руб.

Командировочные

Итого

Краснодарский край

2

13

1 500

0

500

32 500

Республика Дагестан и Ставропольский край

2

7

10 000

1 500

500

98 000

Итого расходов за 2013 г

130 500


Помимо этого при каждой поломке необходимо устанавливать временное оборудование, цена которого составляет 23 000руб/шт. Следовательно, за 2013 год было приобретено дополнительно 20 шт. оборудования и затрачено 460 000 руб.

Итак, все расходы на гарантийный ремонт составили в 2013году 590 500 рублей, т.е. организация потеряла из-за неудовлетворительного качества оборудования свою возможную прибыль.

Из-за неудовлетворительного качества оборудования было выдвинуто предложение о смене поставщика оборудования и фирмы производителя. После проведения мониторинга рынка был найден достойный поставщик ТД «ТЕХНИКА БЕЗОПАСНОСТИ» г. Краснодар, предлагающий оборудование фирмы «SONY» на самых выгодных условиях: оборудование более высокого качества за меньшую цену, а так же его гарантийный срок больше в 5 раз, чем у ТД «ТИНКО» системы видеооборудования фирмы «ТАХИОН».

Ключевым критерием выбора компании стало то, что она бесплатно обеспечивает своим оборудованием на время устранения причин поломки ранее установленного оборудования. Уровень качества оборудования компании SONY гораздо выше, чем у компании ТАХИОН и это сократит поступление заявок на ремонт в будущем (таблица 9).

Таблица 9 - Характеристика оборудования компании «SONY» (составлено автором)

№ п/п

Технические характеристики

SONY

1

Качество

Отличное

2

Цена за 1 шт.

20 000

3

Срок службы

7 лет

4

Технические параметры

Фокусировка - да Цветопередача - да Расширение - 1200*1020 Мп

5

Гарантийный срок

5 лет

6

Надежность

100%

7

Обеспечение оборудованием на время ремонта

Да, на весь гарантийный срок


Благодаря этому, организация сможет сэкономить около 460 000 рублей на том, что компания SONY обеспечивает своим оборудованием на время устранения и установления причины поломки, а ТАХИОН данной возможности не дает и организация закупает сама данное оборудование за счет своих средств.

В таблицу отражены для сравнения затраты на системы видеонаблюдения «SONY» и «ТАХИОН» при их установке в 2013 году. Данные взяты из прайс-листов официальных дистрибьюторов.

Таблица 10 - Сравнительный анализ затрат (составлено автором)

Система видеонаблюдения

Стоимость единицы, руб.

Количество установленных камер за 2013 год

Всего затрат на покупку систем видеонаблюдения, руб.

SONY

20 000

120

2 400 000

ТАХИОН

23 000

120

2 760 000


Проанализировав таблицу видно, что ООО «НефтеСтройМонтаж» могло бы сэкономить 360 000 рублей на покупке камер, тем самым была бы снижена себестоимость на 3 000 рублей строительно-монтажных работ. Качество систем видеонаблюдения компании SONY порядком выше и гарантийный срок составляет 5 лет. Отсюда следует, не только экономическая выгода в размере 460 000 рублей благодаря тому, что поставщик бесплатно обеспечивает оборудованием на время ремонта, но и качественное оборудование.

Помимо этого, расходы на гарантийный ремонт составили в 2013году 590 500 рублей, т.е. организация потеряла из-за неудовлетворительного качества оборудования свою возможную прибыль. Сравнительная оценка затрат при одинаковом объеме выполненных работ представлена на рисунке 8.

Рисунок 8 - Сравнительная оценка затрат на системы видеонаблюдения «SONY» и «ТАХИОН» (составлено автором)

В результате смены поставщика ООО «НефтеСтройМонтаж» получит большую экономию денежных средств, а так же минимизацию заявок заказчиков на ремонт оборудования.

Экономия при этом составит:

Э= 360 000 + 130 500 + 460 000= 950 000рублей.

Таким образом, в результате реализации данного предложения получим следующее:

повысим качество устанавливаемых систем видеонаблюдения;

повысим конкурентоспособность организации и ее услуг (работ), так как от качества поступающего оборудования зависит конечный результат выполненной работы;

снизим себестоимость выполнения работ, а отсюда и стоимость на выполнение работ благодаря тому, что оборудование фирмы «SONY» стоит дешевле;

сократим издержки;

минимизируем количество заявок на ремонт или замену систем видеонаблюдения от заказчиков, так как фирма «SONY» гарантирует качество, а так же в случае брака, дефекта или поломки обеспечивает взамен оборудованием бесплатно.

.2 Мероприятия по повышению конкурентоспособности услуг ООО «НефтеСтройМонтаж» путем снижения себестоимости выполняемых работ

При выполнении строительно-монтажных работ ООО «НефтеСтройМонтаж» необходимо применять тяжелую строительную технику, поэтому предприятие пользуется услугами ООО «СНС-СПОРТ». Эта организация предоставляет услуги аренды любой строительной техники. ООО «НефтеСтройМонтаж» арендует трактора, которые в себе совмещают функции экскаватора и погрузчика, что очень эффективно в деятельности организации. Одновременно ООО «НефтеСтройМонтаж» реализует несколько проектов, на которых работает арендуемая техника. В 2013 году было реализовано 3 проекта в разных районах Краснодарского края. Каждый объект реализуется, как правило, в течение 9 месяцев. Многофункциональность трактора позволяет его использовать на разных этапах выполнения работ. И поэтому трактор используется в течение длительного времени - в среднем 6 месяцев. Арендодатели предоставляют технику минимум на 8 часов. В таблице11 отражены затраты на аренду тракторов за 2013 год.

Таблица 11 - Затраты на аренду строительной техники (составлено автором)

Объект строительства

Стоимость аренды, руб./час

Количество рабочих часов в день, час

Количество рабочих дней в году, дни

ЛПДС «Крымская»

1500

8

120

1 440 000

НПС «Карская»

1500

8

120

1 440 000

НПС «Нововеличковская»

1500

8

120

1 440 000

Итого за 2013 год

4 420 000


Проанализировав затраты на аренду было выдвинуто предложение о покупке собственного многофункционального трактора.

Провели мониторинг поставщиков строительной техники и выбрали, на наш взгляд, самого надежного поставщика ООО "РусБизнесАвто". Эта компания на рынке больше 20 лет и в ней работает более 1000 человек.

Предложение состоит в покупке экскаватор-погрузчик JCB 3CX, стоимость составляет 2 500 000 рублей.

Приобретение данного экскаватора-погрузчика JCB 3CX позволит сократить затраты на аренду техники, так как при помощи навесного оборудования он выполняет функции манипулятора, погрузчика, экскаватора, отбойного молотка и буровой машины. При этом увеличатся объемы работ за счет уменьшения ручного труда и перехода к механизированному выполнению работ. На рисунке 9 отражены затраты на аренду и на покупку экскаватора-погрузчика при одинаковом объеме работ.

Рисунок 9 - Сравнение затрат при аренде и покупки экскаватора-погрузчика JCB (составлено автором)

Для работы на экскаваторе-погрузчике необходимо 2 работника при двухсменной работе при заработной плате 30 000 рублей, итого 60 000 рублей в месяц. Кроме того, необходимо учитывать затраты на топливо, которые составляют 2 240 рублей в смену.

В 2013 году на услуги наемной техники было потрачено 4 420 000 рублей. При покупке своего экскаватора-погрузчика JCB 3CX расчетная стоимость работ при таком же объеме равна:

240×360 + 30 000×2×12 + 2 500 000=4 026 400 рублей.

Совокупная выгода за первый год примерно составит:

420 000 - 4 026 400= 393600 рублей.

В последующие годы приблизительно:

420 000- 2240×360 - 60 000×12= 2 893 600 рублей.

.3 Мероприятия по повышению конкурентоспособности

ООО «НефтеСтройМонтаж» путем создания электротехнической лаборатории

Измерительная электролаборатория - это организация, которая предоставляет услуги по профессиональному измерению характеристик электрооборудования различных типов. Сотрудники таких лабораторий проводят мероприятия по обнаружению неисправностей в электрических цепях, тестируют электросистемы и занимаются выдачей сертификатов соответствия требованиям ГОСТ. Организации обращаются за услугами в электролабораторию для определения состояния рабочего или установленного ими оборудования, доведения электросистем до соответствия требованиям стандартов, для поиска и устранения неисправностей оборудования и электропроводящих кабелей с труднодоступным местоположением. Исходя из этого, мы предлагаем создать мобильную электроизмерительную лабораторию на базе ООО «НефтеСтройМонтаж».

Создание электролаборатории - это серьезный и продуктивный шаг на пути развития конкурентоспособности ООО «НефтеСтройМонтаж». Все организации, работающие на ОАО «АК «Черномортранснефть» пользуются услугами наемных электролабораторий из-за отсутствия этого элемента в структуре предприятий. Наличие электролаборатории в ООО «НефтеСтройМонтаж» позволит подрядным организациям ОАО «АК «Черномортранснефть» пользоваться услугами специалистов состоящих в штате исследуемого предприятия. Исходя из этого, можем сделать вывод, что создание электролаборатории позволит ООО «НефтеСтройМонтаж» извлекать дополнительную прибыль путем оказания услуг организациям, напрямую сотрудничающим с ОАО «АК «Черномортранснефть».

Наличие собственной электролаборатории повысит статус ООО «НефтеСтройМонтаж», а так же сделает исследуемое предприятие более конкурентоспособным, хотя и не имеет серьезной конкуренции, так как оказываемые им услуги являются узкоспециализированными видами работ. Конкурент ООО «Нефтегазавтоматика» не имеет высококвалифицированных специалистов, что за собой влечет некачественное выполнение работ.

Благодаря экономии денежных средств за счет смены поставщика оборудования и покупки собственного многофункционального трактора, организация может позволить себе создание собственной электроизмерительной лаборатории. Т.е. открытие электролаборатории не только позволит сократить расходы при выполнении работ, но и принесет дополнительную прибыль. Это станет еще одним плюсом в конкурентной борьбе с ООО «Нефтегазавтоматика», а так же повысит шансы исследуемой организации при розыгрышах очередного тендера на выполнение работ.

Ниже приведен перечень возможных услуг, которые может оказывать созданная электролаборатория:

−     проведение испытаний и измерений в электроустановках до 1000 В;

−       проверка наличия цепи между заземлёнными установками и элементами заземлённой установки (металлосвязь);

−       проверка сопротивления изоляции проводов, кабелей и обмоток электрических машин;

−       проверка согласования параметров цепи «фаза - нуль» с характеристиками аппаратов защиты и непрерывности защитных проводников.

При создании электролаборатории необходимо учитывать требования, относящиеся к персоналу:

1.    Наличие диплома о специальном высшем или специальном среднем образовании в области электроэнергетики, а так же стажа работы в этой области не менее 3 лет;

2.      Каждый сотрудник обязан проходить курсы повышения квалификации не реже одного раза в пять лет;

.        Наличие у сотрудника удостоверения 4 или 5 группы по электробезопасности.

Необходимые документы для регистрации электролаборатории:

−   заявление о регистрации электротехнической лаборатории с перечнем заявленных видов испытаний и измерений;

−   приказ о создании электролаборатории и назначении должностных лиц;

−       положение об электролаборатории со структурной схемой административно-технической подчиненности лаборатории и персонала;

−       программы и методики проведения испытаний (измерений) (утвержденный перечень с предоставлением копий), формы протоколов испытаний (измерений);

−       документы по квалификации персонала и допуску его к испытаниям (измерениям) с предоставлением заверенных отделом кадров копий дипломов, удостоверений, трудовых книжек, протоколов проверки знаний норм и правил или выписки из журнала регистрации проверки знаний норм и правил;

−       перечень оборудования и приборов электролаборатории со сведениями о госповерке, испытаниях;

−       заводские паспорта на испытательное оборудование и средства измерений (утвержденный перечень);

−       принципиальные электрические схемы испытательных и измерительных станций, стендов, установок (утвержденный перечень);

−       утвержденный перечень средств защиты и плакатов по безопасности с протоколами испытаний;

−       медицинское освидетельствование персонала электролаборатории в соответствии с приказом № 90 Минздравмедпрома РФ от 14.03.96 «О допуске к работе в действующих электроустановках».

Затраты на создание электролаборатории представлены в таблице 12.

Таблица 12 - Затраты на создание электролаборатории (составлено автором)

Наименование

Стоимость, руб.

Регистрация электролаборатории в Ростехнадзоре (гос.пошлина)

24 780

Аттестация сотрудников 4-5 группы допуска по электробезопасности

8 000

Оборудование:


Мегаомметр MIC-3

20 380

Барометр-Анероид БАММ-1

7 112

Секундомер электрический ПВ 53

5 000

Измеритель влажности и температуры Center-311

5 921

Клещи токоизмерительные с мультиметром СМР-1

2 800

Заработная плата за первые 3 месяца работы электролаборатории

180 000

Поверка средств измерений

4 500

Итого

258 493


На данный момент затраты на создание электролаборатории составят по нашим данным около 300 000 рублей. В эту сумму включено полное обеспечение необходимым оборудованием для проведения испытаний и измерений, регистрация электролаборатории в Ростехнадзоре, аттестация двух сотрудников (начальника электролаборатории и техника-наладчика) и их заработная плата на первые три месяца функционирования лаборатории.

Таким образом, мы можем сделать вывод о целесообразности создания электролаборатории. При небольших затратах на свое создание элекролаборатория принесет постоянный доход предприятию, а так же позволит ему поднять свою репутацию на новый уровень и повысить его конкурентоспособность.

Заключение

Аудит качества способствует постоянному улучшению и совершенствованию деятельности предприятия, так как является самым надежным и эффективным инструментом по управлению качеством, служит информационной базой и помогает своевременно предпринимать меры для улучшения деятельности.

Внутренний аудит - это самооценка организации, которая позволяет:

.        Повысить ответственность персонала за выполнение им своих прямых должностных обязанностей;

.        Предотвратить негативные явления в процессе деятельности предприятия;

.        Получить информацию о состоянии функционирования предприятия, а так же служит информационной базой для внешнего аудита;

.        Предотвратить нерациональное расходование материальных и денежных ресурсов организации, а так же их потери и хищение;

.        Своевременно предотвратить и своевременно разработать мероприятия и рекомендации по выходу из ситуаций, связанных с финансовыми трудностями.

Проблема конкурентоспособности является актуальной, так как большинство предприятий не выдерживают жестокую конкуренцию на рынке. Основной причиной тому является низкое качество продукции (услуги) и низкая эффективность производства. Конкурентоспособность продукции (услуг) напрямую влияет на конкурентоспособность предприятия и на экономику в целом.

В работе проведен анализ деятельности ООО «НефтеСтройМонтаж». На его основе разработаны мероприятия, направленные на повышение конкурентоспособности услуг предприятия путем снижения затрат на аренду строительной техники, смены поставщика оборудования и создания электротехнической лаборатории.

При выполнении данных мероприятий ООО «НефтеСтройМонтаж» сумеет совершенствовать свою деятельность и повысить конкурентоспособность своих услуг, что предполагает получить в будущем социально-экономический эффект и занять предприятию более высокий уровень рынка по сравнению с конкурентами.

Таким образом, аудит качества предприятия является эффективным инструментом развития и управления предприятием, а так же позволяет предприятию своевременно обнаружить проблему и предпринять меры по ее устранению. Аудит качества направлен на повышение уровня качества, удовлетворяющего потребителей, а, следовательно, и создание конкурентоспособной продукции или услуги.

Список используемых источников

Нормативно-правовые материалы

1.   ГОСТ Р ИСО 19011-2012. Руководящие указания по аудиту систем менеджмента.-М.: Федеральное по техническому регулированию и метрологии, 2013.- 42с.

2.      ГОСТ Р ИСО 9000-2008. Системы менеджмента качества. Основные положения и словарь.-М.:ВНИИС, 2008, 35 с.

.        ГОСТ Р ИСО 9001-2008. Системы менеджмента качества. Требования. М.:ВНИИС, 2009.-32с.

.        ГОСТ Р ИСО 9004-2010. Менеджмент для достижения устойчивого успеха организации. Подход на основе менеджмента качества. .-М.:ВНИИС,2011. -47 с.

Специальная литература

.     Алексакшина А.А., Белокурова Е.С., Зыбин О.С. Повышение конкурентоспособности товаров как основа стратегии развития предприятий пищевой промышленности // Современные исследования социальных проблем. - 2012. - № 8. - С. 1.

6.   Галеев М.М. Стратегические подходы к повышению конкурентоспособности продукции/ М.М. Галеев, А.С. Балеевских, А.И. Панышев. //Проблемы современной экономики. - 2010. - № 2. - С. 444-446.

7.   Герасимова Б.И. Экономика и управление качеством: учет, анализ, методы, модели, инструменты и аудит. - Тамбов: Изд-во ТГТУ, 2009.- 119 с.

8.   Глущенко А.В. Система обеспечения качества аудита./ А.В. Глущенко, А.С. Худякова. - Волгоград, 2010.- 201с.

9.      Годовая бухгалтерская и финансовая отчетность ООО «НефтеСтройМонтаж».

.        Горбашко Е.А. Менеджмент качества и конкурентоспособности. - СПб.: Изд-во СПбГУЭФ,2010.-540c

.        Горев В.П. Факторы формирования конкурентного преимущества на макро- и микроуровне. - Иркутск: Изд-во ИГЭА, 2008. - 164 с.

.        Дмитрук Е.Ф. Методика выявления потенциальных конкурентных преимуществ фирмы с учетом внешней и внутренней среды / Дмитрук, Е.Ф. // Маркетинг и маркетинговые исследования в России. -2007. - №2.-С.15-20

.        Ефимов, В. В. Внутренний аудит качества и самооценка организации. -Ульяновск, 2009.- 265 с.

14. Зекунов А.Г. Внутренний аудит систем менеджмента качества: Учебное пособие./ А.Г. Зекунов, Л.Г. Дубицкий, С.Г. Логинов. -М.: Изд-во СМС, 2010.- 107 с.

15.    Зотов Ф.П. Современный внутренний аудит в управлении качеством/ Ф.П. Зотов, А.Б. Семенцов. -М., 2012. - 48 с.

.        Ильина М.Е. Аудит качества: Учебное пособие. - Рыбинск: РГАТУ имени П.А. Соловьева, 2011. -130 с.

17. Качалов В.А. Аудит систем менеджмента на соответствие требованиям ISO 9001, ISO 14001, OHSAS 18001.- М.: Изд-во АТ, 2012. - 637с.

18. Криворотов, В.В. Повышение конкурентоспособности современных российских предприятий.- Екатеринбург, 2013. - 126 с.

19.    Лифиц, И.М. Теория и практика оценки конкурентоспособности товаров и услуг. - М., 2011. - 224 с.

.        Логанина В.И. Повышение конкурентоспособности строительной фирмы / В.И. Логанина, Л.В. Макарова, О.В. Карпова. - Саратов: Изд-во вузовское образование, 2014.- 302 с.

21. Миргородская, Т.В. Аудит в системе менеджмента качества управления в организациях. -М.: Изд-во ООО "Экономические науки", 2013.- 170 с.

22. Михеева Е.Н. Управление качеством / М.В. Сероштан, Е.Н. Михеева. -М.: Изд-во Дашков и К, 2012. - 532 с.

23. Павлова Е.М. Аудит систем менеджмента качества: анализ возможностей по улучшению деятельности организации./ Е.М. Павлова, О.П. Яблонский, М.Ю. Залунаев. - Саратов, 2013.- 224 с.

24.    Политика в области качества ООО «НефтеСтройМонтаж».

.        Портер М. Конкуренция.- М.,- 2005.-608с.

.        Решетов В.В. Качество и конкурентоспособность как фактор конкурентоспособности // Организатор производства. - 2010. - № 4. - с. 79-83.

.        Руководство по качеству ООО «НефтеСтройМонтаж».

.        Сажин Ю.В. Внутренний аудит систем качества как средство поиска направлений их улучшения/ Ю.В. Сажин, Н.П. Плетнева // Качество. Инновации. Образование.- М.: Изд-во Европейский центр по качеству, 2012. - № 5 (84). -45с.

.        Сажин Ю.В. Методы менеджмента качества/ Ю.В. Сажин, Н.П. Плетнева// К вопросу о результативности СМК в России.-2009.-№10.-С.20-24

30. Сафиуллин, Н.З. Конкурентные преимущества и конкурентоспособность. / Н.З. Сафиуллин, Л.Н. Сафиуллин.- Казань: Изд-во Казанск. ун-та, 2007. -104 с.

31.    Семенова, Е.И. Методические рекомендации по повышению качества и конкурентоспособности продукции и услуг./ Е.И. Семенова, И.А. Цветков. - М., 2009.- 231с.

32. Строителев В.Н. Аудит качества: Учебное пособие./ В.Н. Строителев, В.И. Привалов. - Королев: Изд-во Королевский ИУЭиС, 2009. -214 с.

33. Суворов С.В. Стратегическое планирование конкурентоспособности промышленного предприятия: Автореферат диссертации на соискание ученой степени канд. экон. наук:08.00.06. -Волгоград, 2010.-28 с.

34. Тезикова Н.В. Внешний аудит системы менеджмента качества предприятия/ Н.В. Тезикова, В.Д. Жариков.//Вопросы современной науки и практики.- Тамбов: Изд-во ТГТУ, 2012.-226-230с.

35.    Терехова Ю.О. К вопросу о проблемах взаимосвязи повышения качества и конкурентоспособности продукции и антикризисного управления предприятием // Перспективы науки. - 2010. - № 14. - С. 126-129.

36. Фатхутдинов Р.А. Управление конкурентоспособностью организации. - М.: Эксмо, 2005. - 544 с.

37. Фролова М.Е. Современные исследования проблем качества. -Красноярск: Изд-во ООО "Научно-инновационный центр".-М., 2012.-354с.

38. Цели в области качества ООО «НефтеСтройМонтаж».

39.    Цибизова И.В. Контроль качества аудита: субъектный состав и причастные стороны./ И.В. Цибизова, Д.А. Дуденков. -Саратов, 2012.- 159 с.

40. Чаплина А.Н., Герасимова Е.А. Обеспечение конкурентоспособности предприятий предпринимательской сферы на основе методов управления качеством // Вестник Сибирского государственного аэрокосмического университета им. Академика М.Ф. Решетнева. - 2012.-№3.-С.55-77.

41. Чернова М.В. Виды аудита: современная классификация / М.В. Чернова //Аудиторские ведомости. -М., 2011. - № 6.- С.10-17

42. Чиркова М.Б. Методика аудита качества управления организациями: монография / М.Б. Чиркова, Н.В. Боковая, М.Н. Волкова. - Воронеж: Изд-во Научная книга, 2008. - 164 с.

43.    Шешукова, Е. А. Аудит качества: Учебное пособие / Е. А. Шешукова. - Тюмень: Изд-во Тюменского гос. ун-та, 2011. - 98 с.

Электронные ресурсы

.     ГОСТ Р ИСО 10011-93 Руководящие указания по проверке систем качества(части 1,2,3). -М., 1994.

45. Оценка действующей системы менеджмента качества предприятия /КубГТУ

46.    Швец В.Е. Стандарты и качество

Приложение А



Похожие работы на - Аудит качества как инструмент повышения конкурентоспособности продукции и услуг (на примере ООО 'НефтеСтройМонтаж')

 

Не нашли материал для своей работы?
Поможем написать уникальную работу
Без плагиата!
Без нейросетей!