Анализ организации управления качеством продукции на предприятии 'Гомсельмаш'
Содержание
Введение
1. Теоретические основы управления качеством продукции на
промышленном предприятии
1.1 Экономическая сущность качества продукции
1.2 Система управления качеством продукции
.3 Зарубежный опыт управления качеством продукции
.4 Анализ состояния и тенденции развития
машиностроительной отрасли Республики Беларусь
2. Анализ организации управления качеством продукции на РУП
"Гомсельмаш"
2.1 Анализ технико-экономических показателей деятельности
предприятия
.2 Анализ организации управления качеством продукции
.3 Анализ динамики качества продукции предприятия
3. Совершенствования управления качеством продукции на РУП
"Гомсельмаш"
3.1 Внедрение системы премирования за качество продукции
3.2 Повышение квалификации работников отдела технического
контроля
.3 Повышение качества продукции предприятия путем применения
системы бизнес-моделирования Business Studio при организации и проведении
аудитов системы менеджмента
Введение
В рыночной экономике огромное внимание уделяется проблемам качества,
обусловленное наличием конкурентной среды. По методам осуществления конкуренция
делится на ценовую (вытеснение конкурентов путем снижения, сбивания цены) и
неценовую, при которой та же цена предлагается за товар с более высокими
качественными параметрами и комплексом услуг, что означает в терминах
маркетинга "товар с сопровождением", т. к. только качество может
привлечь потребителя.
В странах с развитой рыночной экономикой конкурентная борьба обусловила
разработку программ повышения качества. В научных исследованиях и в практике
возникла необходимость выработки объективных показателей для оценки
способностей фирм производить продукцию с необходимыми качественными
характеристиками, подтверждаемыми сертификатом соответствия на продукцию.
Многие фирмы-производители имеют системы качества, соответствующие
международным стандартам. В современных условиях именно сертификат на систему
качества служит решающим фактором для заключения контракта на поставку
продукции. Успешная реализация качественного продукта потребителю является
главным источником существования любого предприятия. Вопросам управления
качеством посвящены многие исследования ученых различных стран, накоплен
значительный опыт в области менеджмента качества, поэтому важно обобщить
основные положения теории и практики в данной области.
В рыночной экономике производитель и потребитель находят друг друга на
рынке, их мотивации базируются на финансовом выигрыше и максимизации
потребительского эффекта. При этом потребитель выбирает между лучшими товарами
различных производителей, являясь главной фигурой, определяет направления
развития производства, приобретая товары и услуги по собственному желанию, этим
указывая, что следует производить, с какими потребительскими свойствами.
Говоря о проблеме качества, следует отметить, что за этим понятием всегда
стоит потребитель. Именно он выбирает наиболее приемлемые потребительские
свойства товара.
Качество - задача номер один в условиях рыночной экономики. Именно с
помощью современных методов менеджмента качества передовые зарубежные фирмы
добились лидирующих позиций на различных рынках. Российские предприятия пока
еще отстают в области применения современных методов менеджмента качества.
Между тем, повышение качества несет поистине колоссальные возможности. Однако
повышение качества невозможно без изменения отношения к качеству на всех
уровнях. Призывы к повышению качества не могут быть реализованы, если
руководители различных уровней не станут относиться к качеству как к образу
жизни.
Между качеством и эффективностью производства существует прямая связь.
Повышение качества способствует повышению эффективности производства, приводя к
снижению затрат и повышению доли рынка
Целью курсовой работы является оценка управления качеством продукции
объекта исследования, РУП "Гомсельмаш".
Для достижения поставленной цели необходимо решить следующие задачи:
дать определение качества как основной категории оценки потребительских
ценностей;
рассмотреть показатели качества продукции предприятий;
привести краткую социально-экономическую деятельности РУП
"Гомсельмаш";
оценить систему менеджмента качества РУП "Гомсельмаш";
изучить деятельность предприятия по обеспечению качества продукции РУП
"Гомсельмаш";
определить основные направления совершенствования управления качеством
продукции на РУП "Гомсельмаш".
Данная тема нашла достаточно широкое отражение в работах как
отечественных, так и зарубежных авторов: Новицкого Н.И., Гиссина В.И., и многих
других. В курсовой работе была использована документация РУП
"Гомсельмаш", данные из статистического ежегодника Республики
Беларусь, статьи из журналов и информация из интернета.
Методами исследования для проведения анализов в курсовой работе являлись
графический, горизонтально-вертикальный и сравнительный.
Глава 1.
Теоретические основы
управления качеством продукции на промышленном предприятии
.1 Экономическая сущность качества продукции
В теории и практике современного управления существует множество
различных аспектов, с помощью которых обосновывается высокая значимость
феномена качества для обеспечения успешного функционирования предприятий и
организаций. Однако, не смотря на свою множественность и разносторонность,
практически все эти аспекты содержат в себе единое общее положение о том, что
на современном этапе развития экономических систем именно качество их работы
является важнейшим условием их рыночной конкурентоспособности. Таким образом,
проблемы управления качеством становятся для предприятий актуальными тогда,
когда они реально сталкиваются с проблемой конкуренции и необходимостью
обеспечения собственных конкурентных преимуществ. [14, с.5]
Качество является важным инструментом в борьбе за рынки сбыта. Именно
качество обеспечивает конкурентоспособность товара. При этом
конкурентоспособность определяется совокупностью качественных и стоимостных особенностей
товара, которые могут удовлетворять потребителя, а также расходами на
приобретение соответствующего товара. В настоящее время мерой качества изделий
служит степень удовлетворенности потребителя изделием, определяемая
соотношением стоимости и ценности (потребительной стоимости) изделия.
Качество продукции - это совокупность свойств, обуславливающих
пригодность продукции удовлетворять определенные потребности в соответствии с
её назначением.[23, c.23]
При рассмотрении качества как фактора конкурентоспособности предприятий
необходимо обязательно учитывать следующие специфические моменты.
Во-первых, качество работы предприятия в целом не тождественно качеству
выпускаемой им продукции. Проблема в данном случае состоит в том, что
конкурентоспособность предприятия - это многоплановое понятие. В современной
трактовке под конкурентоспособностью предприятия понимается его способность
достигать основных целей своего функционирования в условиях конкурентного
противодействия. Так, предприятие, выпускающее конкурентоспособную продукцию,
но не обеспечивающую удовлетворение целей своего персонала либо целей общества,
неизбежно утрачивает свои конкурентные преимущества. Таким образом, говорить о
качестве как о факторе конкурентоспособного предприятия можно только учитывая
многоцелевой характер его функционирования.
Во-вторых, несмотря на то, что само по себе качество функционирования
предприятия, рассматриваемое как фактор его конкурентоспособности, является
абсолютной характеристикой, уровень этого качества должен определяться как
относительный параметр, проявляющийся в условиях конкурентного взаимодействия
предприятия с агентами внешней среды.
В-третьих, любое предприятие является сложной социально-экономической
системой, следовательно, качество его работы также следует рассматривать кик
системную категорию. Это означает, что реально высокое качество работы
предприятия достигается только при условии выполнения двух основных правил:
) обеспечивается высокий уровень качества работы всех функциональных
подсистем предприятия, т.е. высокое качество работы всех его подразделений;
2) обеспечивается высокий уровень качества
взаимодействия между подсистемами.
Нарушение любого из указанных правил неизменно
приводит к резкому снижению качественного уровня функционирования всего предприятия
в целом. [14, с.5-9]
Свойства продукции могут быть охарактеризованы количественно и
качественно. Качественные характеристики - это, например, соответствие изделия
современному направлению моды, дизайну, цвету и т.д.
Количественная характеристика одного или нескольких свойств продукции,
составляющих её качество, рассматриваемая применительно к определенным условиям
её создания и эксплуатации или потребления (например, безотказность работы,
трудоёмкость, себестоимость, масса, размер изделия и т.д.) называется
показателем качества продукции. [10, c.16]
Основные направления определения состава и структуры характеризуемых
свойств отражает классификация показателей, применяемых при оценке уровня
качества продукции.
По способу выражения они могут быть в натуральных единицах (килограммы,
метры, баллы, безразмерные), а также в стоимостных единицах.
По оценке уровня качества - базовые, относительные показатели.
По стадии определения - прогнозируемые, проектные, производственные,
эксплуатационные показатели.
По характерным свойствам они могут быть единичными и комплексными
(групповыми, обобщенными, интегральными).
Группировка показателей качества продукции в зависимости от среды
развертывания функции качества приведена в таблице 1.1 [10, с. 20].
Таблица 1.1 - Группировка показателей качества в зависимости от среды
развертывания функции качества
|
Среды развертывания функции качества
|
Группы показателей качества
|
|
Предметная среда
|
Показатели функционального назначения
|
|
Предметная среда во времени
|
Показатели надежности
|
|
Предметная среда в пространстве
|
Показатели транспортабельности
|
|
Производственно-технологическая среда
|
Показатели технологичности
|
|
Среда экологических отношений
|
Экологические показатели
|
|
Среда отношений безопасности
|
Показатели безопасности
|
|
Среда эргономических отношений
|
Эргономические показатели
|
|
Среда эстетических отношений
|
Эстетические показатели
|
|
Среда патентно-правовых отношений
|
Патентно-правовые показатели
|
|
Нормативная среда
|
Показатели стандартизации и унификации
|
Показатели назначения характеризуют полезный эффект от использования
продукции по назначению и обуславливают область применения продукции. Данный
показатель позволяет определить, какой объем продукции может быть выпущен с
помощью оцениваемой продукции или какой объем производственных услуг может быть
оказан за определенный промежуток времени.
К группе показателей назначения относят следующие подгруппы:
классификационные, функциональной и технической эффективности, конструктивные,
а также состава и структуры.
Показатели надежности характеризуют свойства объекта сохранять во времени
в установленных пределах значения всех параметров, характеризующих способность
выполнять требуемые функции в заданных режимах и условиях применения,
технического обслуживания, ремонтов, хранения и транспортирования.
Надежность товара - сложное свойство качества, которое зависит от
безотказности, ремонтопригодности, сохраняемости свойств и долговечности
товара. В зависимости от особенностей оцениваемой продукции для характеристики
надежности могут использовать как все четыре, так и некоторые из этих
показателей.
Показатели транспортабельности характеризуют приспособленность продукции
к транспортированию без использования или потребления ее. К ним относятся:
средняя продолжительность подготовки продукции к транспортированию; средняя
продолжительность установки продукции на средство транспортирования
определенного вида; коэффициент использования объема средства
транспортирования; средняя продолжительность разгрузки партии продукции из
средств транспортирования определенного вида.
Экологические показатели характеризуют уровень вредных воздействий на
окружающую среду, возникающих при эксплуатации или потреблении продукции.
Показатели экологичности товара - один из важнейших свойств, определяющих
уровень его качества.
Показатели безопасности характеризуют особенности продукции,
обеспечивающие безопасность человека (обслуживающего персонала) при
эксплуатации или потреблении продукции, монтаже, обслуживании, ремонте,
хранении, транспортировании от механических, электрических, тепловых
воздействий, ядовитых и взрывчатых паров, акустических шумов, радиоактивных
излучений и т.п. К показателям безопасности можно отнести: вероятность
безопасной работы человека в течение определенного времени; время срабатывания
защитных устройств и др.[10, c. 21]
Эргономические показатели отражают взаимодействие человека с изделием,
его соответствие гигиеническим, физиологическим, антропометрическим и
психологическим свойствам человека, проявляющимся при пользовании изделием. К
таким показателям можно отнести, например, освещенность, температуру,
влажность, запыленность, шум, вибрацию, концентрацию угарного газа и водяных
паров в продуктах сгорания.
Показатели эстетичности. Эстетичность - это комплексное свойство,
оказывающее влияние на чувственное восприятие человеком всего изделия в целом с
точки зрения его внешнего вида. Менее эстетичное изделие утомляет человека,
отвлекает его внимание от труда, угнетает его психику. В результате ухудшается
использование изделия во времени, повышает брак в работе, снижается
продуктивность. Эстетичность обуславливается рядом простых свойств, как,
например, форма, гармония, композиция, стиль и т.д.
В зависимости от характера агрегирования отдельных качественных
характеристик, методы оценки показателей качества продукции делятся на
следующие группы:
. Дифференциальные методы - используются для сопоставления параметров
качества оцениваемого вида продукции с соответствующими показателями эталонного
образца без интеграции этих параметров в какие-либо однородные группы. При
использовании подобных методов выявляются все значимые частные параметры
качества продукции и для каждого из них проводится расчет соответствующих
относительных единичных показателей по формулам:
,
,
где Piоцен - числовое значение i-го параметра качества
оцениваемой продукции;iбаз - числовое значение i-го параметра
качества базового (эталонного) образца.
По формуле 1.1 расчеты выполняются в тех случаях, если предполагается,
что увеличению абсолютного значения анализируемого показателя качества
соответствует реальное улучшение качества продукции. Данная формула
используется для оценки таких параметров качества изделий, как срок службы,
производительность, точность и т.д.
Расчеты по формуле 1.2 ведутся в тех случаях, когда априорно известно,
что увеличение абсолютных значений оцениваемых параметров негативно сказываются
на уровне качества продукции. По этой формуле определяются относительные
показатели себестоимости и фактороемкости изделий, показатели объемов вредных
выбросов при их использовании и т.д.
. Комплексные методы - используются в тех случаях, если существует
необходимость выразить качественный уровень изделий единым интегральным
параметром. Расчет комплексных характеристик качества может предполагать
реализацию двух основных этапов:
Первый этап предполагает интеграцию относительных величин групповых и
(или) единичных показателей качества изделия, исчисленных посредством
сопоставления абсолютных значений соответствующих показателей по этому изделию
и их абсолютных эталонных значений. Результатом выполнения данного этапа
выступает единый интегральный показатель качества анализируемого вида
продукции, оцененный в соотношении с образцом-эталоном. Интеграция частных
характеристик качества в единый показатель осуществляется на основе заранее
выбранной функциональной зависимости, вид которой в большинстве случаев
определяется экспертными методами. Часто подобная интеграция сводится к
исчислению комплексного показателя качества изделия как средневзвешенного
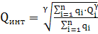
значения всех наиболее существенных частных показателей:
, (1.3)
где γ - параметр логики усреднения;
qi - весовые коэффициенты частных показателей качества;
Qi - частные показатели качества;
n - общее число наиболее существенных частных показателей качества.
Второй этап представляет собой сопоставление рассчитанных на первом этапе
интегральных характеристик качества для двух сравниваемых между собой изделий.
Данный этап реализуется в том случае, если необходимо не просто исчислить
интегральную характеристику уровня качества какого-либо изделия, но также и
выяснить, насколько качество этого изделия выше или ниже качества аналогичного
продукта, не являющегося эталонным. Результатом осуществления данного этапа
выступает относительный интегральный показатель качества оцениваемого изделия:
(1.4)
где Qинт.о - интегральный показатель качества оцениваемого
вида продукции;
Qинт.а - интегральный показатель качества продукта-аналога.
[14,с. 56-58]
. Смешанные методы - применяются в тех случаях, когда объектом оценки
является качество сложной продукции, имеющей широкую и внутренне неоднородную
номенклатуру показателей качества. При оценке такого рода продукции с помощью дифференцированного
метода зачастую очень трудно сделать однозначный вывод об уровне ее качества, а
использование одного лишь комплексного подхода не позволяет объективно учесть
все значимые свойства этой продукции. В таких случаях для оценки уровня качества
продукции совместно используют единичные и комплексные показатели, интегрируя
дифференцированные и комплексные методы оценки [14, с. 58-59].
Таким образом, экономическое содержание категории качества
обуславливается оценкой общественной полезности продукта. Мерой этой полезности
является общественно необходимое качество. Оно предопределяет достижение такого
уровня потребительских свойств продукции, который бы обеспечил удовлетворение
потребностей общества при наиболее рациональном использовании имеющихся в его
распоряжении материальных, финансовых и трудовых ресурсов. [21, c. 11]
Качество сегодня - главный критерий оценки продукции, работ, услуг; оно
определяет уровень жизни каждого человека и общества в целом.
.2 Система
управления качеством продукции
Качество как результирующая совокупность полезных для человека или
социальной системы свойств объекта определяется совместным действием множества
факторов, имеющих различную природу и зачастую являющихся случайными
параметрами. Вместе с тем, влияние преобладающей части таких факторов может
быть учтено и рационально скорректировано в процессе создания соответствующего
объекта. Целенаправленная деятельность по координации влияния отдельных
определяющих результирующий уровень качества объекта факторов, представляет
собой управление качеством этого объекта.
Все существующие подходы к управлению качеством могут быть разделены на
два вида: административное и экономическое.
Административный подход к управлению качеством предполагает обязательное
повышение качественных параметров соответствующего объекта на уровне,
стремящемся к 100%. Для выпускаемой предприятием продукции такой подход
предполагает реализацию следующих укрупненных процедур:
весь цикл жизни соответствующего изделия разбивается на отдельные этапы
(этап маркетинговых исследований, этап производства, этап реализации, этап
эксплуатации (потребления) и этап утилизации), для каждого из которых
определяются основные стадии и факторы, способствующие образованию тех или иных
отклонений (дефектов);
вся совокупность возникающих дефектов структурируется по отдельным
уровням и группам;
для каждой однородной группы возможных дефектов проектируется комплекс
мер по их предотвращению и доведению результирующего уровня качества до 100%.
При административном подходе получение брака рассматривается как
чрезвычайное происшествие, которое следует устранить любой ценой. Таким
образом, само качество как объект управления при данном подходе рассматривается
как нормативная конечная цель.
Экономический подход к проблемам управления качеством основывается на
позициях экономической рациональности. Работа по предотвращению образования
дефектов при данном подходе проводится примерно так же, как и при
административном, однако в данном случае расчетный уровень качества не задается
неизменным на уровне 100%, а ставится в зависимость от экономически
целесообразной величины затрат, требующейся для его достижения. Как положения
теоретической экономики, так и практическая хозяйственная деятельность многих
предприятий показывают, что динамика затрат на обеспечение качества продукции и
динамика возникающей отдачи, выражающейся изменением уровня предельного дохода,
связаны друг с другом относительно устойчивой зависимостью (рис. 1.1).
Изображенная на рисунке область, заключенная между точками Q1 и Q4 характеризует зону положительной
рентабельности, в долгосрочном масштабе времени являющейся основой
существования любого предприятия. Первоначально вложенные в создание
соответствующего продукта (носителя качества) средства, обеспечивают
предприятию принципиальную возможность прибыльной работы, основывающейся на
предельно необходимом соответствии достигнутого уровня качества этого продукта
требованиям рынка (точка Q1). По мере дальнейшего увеличения затрат
на обеспечение качества происходит рост соответствующей удельной отдачи,
который, однако, характеризуется все более медленными темпами (т.е. снижением
уровня эластичности). Далее наблюдается ситуация (точка Qопт), при
которой отдаление кривых достигает своего максимального значения. Это -
оптимальная с точки зрения максимизации прибыли ситуация, при которой
эластичность предельного дохода по затратам на повышение качества становится
единичной и, соответственно, каждый рубль, вложенный в совершенствование
качественных параметров дает один рубль дополнительного дохода. Если затраты на
повышение качества начинают превышать достигнутый оптимальный уровень, то их
отдача начнет снижаться, причем темпы данного процесса будут непрерывно
возрастать. В конце концов возникнет такая ситуация (точка Q4),
когда предприятие, не смотря на высокий уровень качества своей продукции,
принципиально не сможет прибыльно ее реализовывать, поскольку покупатели будут
негативно реагировать на чрезмерно высокий уровень производственных затрат.
Конечный выбор предприятия относительно качественного уровня выпускаемой
им продукции при экономическом подходе может варьироваться в зависимости от
принятой этим предприятием стратегии своего экономического развития и, в
конечном счете, определяется балансом его целевых интересов как
социально-экономической системы. Такого рода выбор может иметь следующие
основные варианты своей направленности.
Во-первых, предприятие может сконцентрироваться на умеренном (но, тем не
менее, приемлемом для целевых покупателей) уровне качества выпускаемой
продукции (точка Q1), что позволит ему осуществить глубокое
проникновение на рынок за счет относительно невысокой цены, существенно
нарастить объемы производства и, в конце концов, обеспечить получение
запланированного объема валовой прибыли. Кроме того, такой подход позволяет
предприятию в значительной степени удовлетворять цели общества как одной из
важнейших заинтересованных в его функционировании социальных групп, поскольку
существенно повышает объемы направляемых в бюджет отчислений из выручки и
способствует росту числа рабочих мест на предприятии; а также цели поставщиков
основных видов ресурсов, стремящихся к установлению стабильных долгосрочных
контрактов с предприятием и заинтересованных в росте объемов закупок последним
их продукции.
Во-вторых, предприятие может выбрать стратегию обеспечения высокого
качества (точка Q3) и, пожертвовав в краткосрочном периоде
возможностью извлечения максимальной прибыли, приобрести на рынке хорошую
репутацию. Данный подход предприятием выбирается в том случае, когда общий
баланс его целевых интересов смещен в сторону целей такой заинтересованной в
его функционировании социальной группы, как покупатели продукции, т.е. когда
рыночная власть последних оказывается достаточно высокой.
В-третьих, предприятие может наиболее рациональную с экономической точки
зрения стратегию и выпускать продукцию такого качества, который будет
обеспечивать максимизацию валового дохода. Такая стратегия предприятиями
выбирается тогда, когда главенствующая роль в общей системе их целей
принадлежит целям собственников их имущества.
В хозяйственной практике предприятий административный
и экономический подход к проблемам управления качеством не реализуются
изолированно друг от друга, а тесно между собой интегрированы, в результате
чего, качество рассматривается как обязательный атрибут работы любой
организации, но при этом политика качества характеризуется большей или меньшей
степенью экономической рациональности. [14, с. 11-15]
Управление качеством продукции должно осуществляться системно, т. е. на
предприятии должна функционировать система управления качеством продукции,
представляющая собой организационную структуру, распределяющую ответственность,
процедуры и ресурсы, необходимые для управления качеством. В соответствии с
международной практикой по управлению качеством продукции на предприятии
выделяется политика в области качества, непосредственно система качества,
включающая обеспечение, повышение и управление качеством продукции (рис. 1.2).
Рисунок 1.2 - Укрупненная структура целей системы управления качеством
продукции
"Петля качества" ("спираль качества") -
концептуальная модель взаимозависимых видов деятельности, влияющих на качество
на различных стадиях: от определения потребностей до оценки их удовлетворения.
Система качества разрабатывается с учетом конкретной деятельности предприятия,
но в любом случае она должна охватывать все стадии "петли качества"
или жизненного цикла продукции: маркетинг, поиск и изучение рынка; проектирование
и (или) разработку технических требований, разработку продукции;
материально-техническое снабжение; подготовку и разработку производственных
процессов; производство; контроль, проведение испытаний и обследований;
упаковку и хранение; реализацию и распределение продукции; монтаж и
эксплуатацию; техническую помощь и обслуживание; утилизацию после использования
изделия.
Руководство по качеству - документ, отражающий политику в области
качества и описывающий систему качества организации. Оно может охватывать всю
деятельность организации или только ее часть. Руководство по качеству обычно
содержит или по крайней мере ссылается на: а) политику в области качества; б)
ответственность, полномочия и взаимоотношения персонала, который исполняет,
проверяет или анализирует работу, влияющую на качество; в) методики системы
качества и инструкции; г) положение по пересмотру и корректировке руководства.
Руководство по качеству иногда называется руководством по обеспечению качества
или руководством по административному управлению качеством.
Процесс управления представляет собой воздействие субъекта на объект
управления путем реализации управленческих функций установленными методами. Учет системных особенностей управления качеством предполагает
организацию управления по следующему общему алгоритму. После внедрения системы качества потребуется проведение
плановых внутренних проверок системы для поддержания ее эффективного
функционирования и совершенствования. После сертификации системы потребуется
организация инспекторских проверок с целью подтверждения выданного сертификата. Создание и сертификация системы качества, обеспечение
эффективного функционирования системы и ее дальнейшее совершенствование
составляют основное содержание организации работ по управлению качеством. Контроль качества. Контроль качества - это одна из основных
функций в процессе управления качеством. Это также наиболее объемная функция по
применяемым методам, которым посвящено большое количество работ в разных
областях знания. Рассматривая функцию "контроль", нельзя не сказать о
метрологическом обеспечении производства, без которого вообще было бы
невозможно проведение какого-либо контроля. В связи с этим метрологическая
деятельность традиционно рассматривается как одна из составных частей в управлении
качеством. При этом, кроме обеспечения производства необходимым парком средств
измерений, метрологическая служба должна путем проведения их периодической
поверки обеспечить требуемую точность измерений. Повышение качества продукции -
одна из форм конкурентной борьбы, завоевания и удержания позиций на рынке.
Высокий уровень качества продукции способствует повышению спроса на продукцию и
увеличению суммы прибыли не только за счет объема продаж, но и за счет более
высоких цен.
Рисунок 1. 3 - Этапы системной организации работы по
управлению качеством
Индивидуальные (единичные) показатели качества продукции характеризуют
одно из ее свойств: полезность; надежность; технологичность, т.е. эффективность
конструкторских и технологических решений (трудоемкость, энергоемкость);
эстетичность изделий.
Косвенные показатели - это штрафы за некачественную продукцию, объем и
удельный вес забракованной продукции, удельный вес зарекламированной продукции,
потери от брака и др. Брак делится на исправимый и неисправимый, внутренний
(выявленный на предприятии) и внешний (выявленный потребителями). Выпуск брака
ведет к повышению себестоимости продукции, уменьшению объема товарной и
реализованной продукции, снижению прибыли и рентабельности.
Основными причинами понижения качества продукции являются плохое качество
сырья, низкий уровень технологии и организации производства, квалификации
рабочих, аритмичность производства и др.
.3 Зарубежный опыт управления качеством продукции
В условиях острой конкурентной борьбы фирмы могут успешно развиваться,
лишь внедряя системное управление качеством продукции. Проблема качества
актуальна для всех видов продукции и услуг. Потребители заинтересованы в
качестве продукции, а предприниматели - в ее конкурентоспособности,
обеспечивающей исключение риска и получение стабильной прибыли. Предприятия
любых форм собственности, не уделяющие внимания вопросам качества, неизбежно
разорятся. Для обеспечения производства конкурентоспособной продукции следует
создавать такую систему качества, которая наряду с улучшением потребительских
свойств способствовала бы снижению или хотя бы стабилизации цены продукции.
[21, с. 11]
Таблица 1.2 - Особенности в управлении качеством продукции [28]
|
Американский опыт в области качества
|
Опыт управления качеством в Японии
|
Европейский опыт управления качеством
|
|
-жесткий контроль качества изготовления продукции с
использованием методов математической статистики; -внимание к процессу
планирования производства по объемным и качественным показателям,
административный контроль за исполнением планов; -совершенствование
управления фирмой в целом.
|
-широкое внедрение научных разработок в области управления
и технологии; -высокая степень компьютеризации всех операций управления,
анализа и контроля за производством; -максимальное использование возможностей
человека, для чего принимаются меры по стимулированию творческой активности
(кружки качества), воспитанию патриотизма к своей фирме, систематическому и
повсеместному обучению персонала.
|
-законодательная основа для проведения всех работ,
связанных с оценкой и подтверждением качества; -гармонизация требований
национальных стандартов, правил и процедур сертификации; -создание
региональной инфраструктуры и сети национальных организаций, уполномоченных проводить
работы по сертификации продукции и систем качества, аккредитации лабораторий,
регистрации специалистов по качеству и т. д.
|
В современной литературе и практике используются следующие концепции
менеджмента качества:
система качества (Quality System);
система менеджмента, основанная на управлении качеством (Quality Driven
Management System);
всеобщее управление качеством (Total Quality Management);
обеспечение качества (Quality Assurance);
управление качеством (Quality Control);
статистический контроль качества (Statistical Quality Control);
система обеспечения качества (Quality Assurance System);
гарантия продукции (Product Assurance);
всеобщий производственный менеджмент (Total Manufacturing Management);
передовой производственный опыт (Good Manufacturing Practices);
система управления производственными ресурсами (Environmental Management
System);
всеобщий менеджмент качества в сфере охраны окружающей среды
(Environmental TQM);
всеобщее обеспечение производства (Total Manufacturing Assurance);
интегрированный менеджмент процессов (Integrated Process Management);
менеджмент в целях улучшения качества (Management for Quality
Improvement);
система внедрения непрерывных улучшений (Continuos Improvement
Implementation System);
полное преобразование качества (Total Quality Transformation);
менеджмент системы качества (Quality System Management);
Перечисленные концепции отражают сущность разных методов, используемых в
методологии TQM для решения различных проблем качества. Всеобщее управление качеством (Total Quality Management, TQM)
- концепция, предусматривающая всестороннее, целенаправленное и хорошо
скоординированное применение систем и методов управления качеством во всех
сферах деятельности - от исследований и разработок до послепродажного обслуживания
при участии руководства и служащих всех уровней и при рациональном
использовании технических возможностей. Цель всеобщего управления качеством -
это достижение более высокого качества продукции и услуг, которое на
современном этапе развития научно-технического прогресса является ключевой
проблемой развития национальных экономик. Всеобщее управление качеством
включает:
контроль в процессе разработки новой продукции;
оценку качества опытного образца, планирование качества продукции и
производственного процесса, контроль, оценку и планирование качества
поставляемого материала;
входной контроль материалов;
контроль готовой продукции;
оценку качества продукции;
оценку качества производственного процесса;
контроль качества продукции и производственного процесса;
анализ специальных процессов (специальные исследования в области
качества);
использование информации о качестве продукции;
контроль аппаратуры, дающей информацию о качестве продукции;
обучение методам обеспечения качества, повышение квалификации персонала;
гарантийное обслуживание;
координацию работ в области качества;
совместную работу по качеству с поставщиками;
- использование цикла PDCA (plant-do-check-action);
- работу кружков качества;
управление человеческим фактором путем создания атмосферы
удовлетворенности, заинтересованного участия, благополучия и процветания на
фирме, на фирмах-поставщиках, в сбытовых и обслуживающих организациях, у
акционеров и потребителей;
работы в области качества по методу межфункционального управления
(cross-function management);
участие в национальных кампаниях по качеству;
выработку политики в области качества (согласование политики в области
качества с общей стратегией экономической деятельности, привнесение целей
качества во все аспекты административной, хозяйственной и экономической
деятельности, принятие мер, обеспечивающих понимание на фирме политики в
области качества); [28]
участие служащих в финансовой деятельности (в прибыли, акционерном
капитале), воспитание сознательного отношения к качеству, чувства партнерства,
совершенствование социальной атмосферы и информированность служащих;
проведение мер по формированию культуры качества;
подготовку управленческих кадров для руководства деятельностью в области
качества;
возложение ответственности за деятельность в области качества на высшее
руководство фирмы.
Обязанность по общему руководству качеством лежит на всех уровнях
управления, но управлять ими должно высшее руководство фирмы. В общее
управление качеством должны вовлекаться все члены организации. При общем
руководстве качеством акцент делается на экономические аспекты.
На основе факторов, влияющих на качество продукции, нетрудно выявить
основные пути повышения качества продукции и ее конкурентоспособности:
· повышение технического уровня производства;
· повышение уровня квалификации персонала;
· совершенствование организации производства и труда, в том
числе углубление специализации производства;
· внедрение выборочного и сплошного входного контроля за
качеством поступающих на предприятие сырья, материалов, комплектующих деталей и
узлов;
· повышение эффективности работы ОТК. Основной упор должен быть
сделан не на разбраковку изготовленной продукции, а на профилактику
производства с целью недопущения выпуска недоброкачественной продукции;
· повышение технического уровня метрологической службы на
предприятии;
· воспитание коллектива в духе гордости за качество выпускаемой
продукции и марку своего предприятия;
· материальное и моральное стимулирование персонала за
высококачественное выполнение своих обязанностей;
· создание службы маркетинга;
· внедрение новых, более качественных материалов при
изготовлении продукции;
· снижение издержек на производство и реализацию продукции;
· изучение требований покупателей к качеству продукции и
конъюнктуры рынка;
· проведение действенной рекламы;
· установление оптимальной продажной цены и др.
Приведенный перечень можно было бы продолжать, но это все разрозненные
мероприятия, реализация каждого из них может привести к улучшению качества
продукции, но не решает проблему качества в целом. Требуется комплексный подход
к решению данной проблемы, т.е. на каждом предприятии (особенно на крупном и
среднем) должна быть разработана и внедрена система управления качеством
продукции в соответствии со стандартом ИСО 9000. Такая система позволит не только учесть все факторы, которые влияют на
качество продукции, но и обеспечить стабильный выпуск качественной продукции на
предприятии. Но этого мало. Главное во всем этом - позиция директора
предприятия. Если директор понимает значимость проблемы и лично является
инициатором разработки и внедрения системы управления качеством, значит, на
предприятии может выпускаться конкурентоспособная продукция.
1.4 Анализ состояния и тенденции развития машиностроительной отрасли
Республики Беларусь
Машиностроение - основная отрасль промышленного комплекса Беларуси. Еще в
советские времена развитие машиностроения в республике было обусловлено
несколькими причинами.
Машиностроительная и металлообрабатывающая промышленность производит
широкий ассортимент продукции: металлорежущие и деревообрабатывающие станки,
электродвигатели, грузовые автомобили, автобусы, тракторы, телевизоры,
холодильники, стиральные машины и др.
В машиностроительном комплексе Беларуси особое место всегда занимало
автомобилестроение, специализирующееся на выпуске большегрузных грузовых
автомобилей. Ведущие предприятия отрасли - Белорусский автомобильный завод
(БелАЗ) (г. Жодино, Минская обл.), Минский автомобильный завод (МАЗ), Минский
моторный завод (ММЗ), Минский тракторный завод (МТЗ), ПО "Гомсельмаш"
(г. Гомель).
Также в Беларуси функционирует сеть заводов, выпускающих
сельскохозяйственную технику: самоходные и прицепные кормоуборочные комбайны,
картофелеуборочные машины, сенажные башни и оборудование для животноводческих
ферм, разбрасыватели удобрений и т.д.
Удельный вес продукции отдельных отраслей в общем объеме промышленного
производства представлен в таблице 1.3 [26, с. 315].
Таблица 1.3 - Удельный вес продукции отдельных отраслей в общем объеме
промышленного производства (в процентах к итогу)
|
Вся промышленность в
том числе:
|
2008г 100%
|
2009г 100%
|
2010г 100%
|
2011г100%
|
Динамика, %
|
Абсолютный прирост
|
|
|
|
|
|
2009 к 2008 г.
|
2010 к 2009
|
2011 к 2010 г.
|
2009 к 2008 г.
|
2010 к 2009 г.
|
2011 к 2010 г.
|
|
добывающая
|
2,4
|
2,0
|
1,6
|
1,8
|
83,3
|
80
|
112,5
|
-0,4
|
-0,4
|
0,2
|
|
обрабатывающая
|
97,6
|
98,0
|
98,4
|
98,2
|
100,4
|
100,4
|
99,8
|
0,4
|
0,4
|
-0,2
|
|
Из всей промышленности по отраслям:
|
|
|
|
|
|
|
|
|
|
|
|
электроэнергетика
|
5,9
|
6,3
|
5,5
|
6,8
|
106,8
|
87,3
|
123,6
|
0,4
|
-0,8
|
1,3
|
|
топливная
|
21,8
|
20,4
|
21,3
|
19,4
|
93,6
|
104,4
|
91,1
|
-1,4
|
0,9
|
-1,9
|
|
чёрная металлургия
|
3,6
|
3,9
|
4,1
|
3,2
|
108,3
|
105,1
|
78,0
|
0,3
|
0,2
|
-0,9
|
|
цветная металлургия
|
0,2
|
0,2
|
0,3
|
0,3
|
100,0
|
150,0
|
100,0
|
0
|
0,1
|
0
|
|
химическая и нефтехимическая
|
11,2
|
11,6
|
13,4
|
12,1
|
103,6
|
115,5
|
90,3
|
0,4
|
1,8
|
-1,3
|
|
машиностроение и металлообработка
|
23,8
|
24,5
|
23,2
|
21,5
|
102,9
|
94,7
|
92,7
|
0,7
|
-1,3
|
-1,7
|
|
лесная, деревообрабатывающая и целлюлозно-бумажная
|
4,4
|
4,7
|
4,4
|
4,1
|
106,8
|
93,6
|
93,2
|
0,3
|
-0,3
|
-0,3
|
|
промышленность строительных материалов
|
4,3
|
4,6
|
5,1
|
5,5
|
106,9
|
110,9
|
107,8
|
0,3
|
0,5
|
0,4
|
|
лёгкая
|
4,4
|
4,1
|
3,6
|
4,0
|
93,2
|
87,8
|
111,1
|
-0,3
|
-0,5
|
0,4
|
|
пищевая
|
15,9
|
15,3
|
14,6
|
17,9
|
96,2
|
95,4
|
-0,6
|
-0,7
|
3,3
|
Таким образом, лидирующим сектором по производству продукции выступает
отрасль машиностроения и металлообработки, так как имеет наибольшее значение
удельного веса продукции в общем объеме промышленного производства. Это
свидетельствует о том, что машиностроение является одной из ведущих отраслей
промышленности Республики Беларусь. Доля машиностроения и металлообработки в
общем объеме промышленного производства по итогам 2009г. составила 24,5%, что
на 2,9% выше, чем в предыдущем году. Затем происходит снижение и в 2010 году
удельный вес продукции в общем объеме промышленного производства составил
23,2%, что на 5,3% ниже, чем в 2009 году, а в 2011 году составил 21,5%, что на
7,3% ниже, чем в предыдущем году. Это может свидетельствовать о снижении
конкурентоспособности продукции, не завоеванию новых рынков сбыта и
значительному уровню износа основных фондов. Проанализируем структуру
машиностроения и металлообработки по формам собственности за 2011 году по
данным представленным в таблице.
Таблица 1.4 - Структура машиностроения и металлообработки по формам
собственности в 2011 году (в процентах к итогу)
|
Число предприятий
|
Объем промышленной продукции
|
|
машиностроение и металлообработка
|
100
|
100
|
|
государственная
|
3,5
|
34,6
|
|
республиканская
|
2,8
|
32,8
|
|
коммунальная
|
0,7
|
1,8
|
|
частная
|
93,7
|
61,7
|
|
иностранная
|
2,8
|
3,7
|
Таким образом, доля машиностроительных предприятий с преобладанием
частной формы собственности в Беларуси составляет более 90%. Проанализируем производство основных видов продукции
машиностроения в таблице 1.5 [26, с. 340-342].
Таблица 1.5 - Производство основных видов продукции машиностроения
|
Показатель
|
Ед. изм.
|
2008
|
2009
|
2010
|
2011
|
Динамика, %
|
Абсолютный прирост
|
|
|
|
|
|
|
2009 к 2008 г.
|
2010 к 2009 г.
|
2011 к 2010 г.
|
2009 к 2008 г.
|
2010 к 2009 г.
|
2011 к 2010 г.
|
|
Электродвигатели переменного тока с высотой оси вращения
63-355 мм:
|
тыс. шт.
|
476
|
554
|
540
|
386
|
116,4
|
97,5
|
71,5
|
78
|
-14
|
-154
|
|
Металлорежущие станки
|
тыс. шт.
|
4,7
|
4,6
|
4,6
|
2,5
|
97,9
|
100,0
|
54,3
|
-0,1
|
0
|
-2,1
|
|
в том числе станки с программным числовым управлением
|
штук
|
156
|
159
|
199
|
139
|
101,9
|
125,2
|
69,8
|
3
|
40
|
-60
|
|
Кузнечно-прессовые машины
|
штук
|
261
|
234
|
310
|
186
|
89,7
|
132,5
|
60,0
|
-27
|
76
|
-124
|
|
Персональные ЭВМ
|
тыс. шт.
|
69,2
|
108,0
|
139,9
|
106,2
|
156,1
|
129,5
|
75,9
|
38,8
|
31,9
|
-33,7
|
|
Троллейбусы
|
штук
|
176
|
311
|
446
|
388
|
176,7
|
143,4
|
87,0
|
135
|
135
|
-58
|
|
Автобусы
|
штук
|
2104
|
2160
|
2196
|
1514
|
102,7
|
101,7
|
68,9
|
56
|
36
|
-682
|
|
Грузовые автомобили
|
тыс. шт.
|
23,2
|
25,5
|
26,3
|
11,5
|
109,9
|
103,1
|
43,7
|
2,3
|
0,8
|
-14,8
|
|
Тракторы
|
тыс. шт.
|
49,2
|
59,6
|
65,1
|
45,3
|
121,1
|
109,2
|
69,6
|
10,4
|
5,5
|
-19,8
|
|
Минитракторы
|
штук
|
388
|
430
|
631
|
939
|
110,8
|
146,7
|
148,8
|
42
|
201
|
308
|
|
Кормоуборочные комбайны
|
штук
|
340
|
295
|
423
|
376
|
86,8
|
143,4
|
88,9
|
-45
|
128
|
-47
|
|
Машины для внесения в почву органических удобрений
|
штук
|
507
|
893
|
1548
|
1466
|
176,1
|
173,3
|
94,7
|
386
|
655
|
-82
|
|
Автопоилки для крупного рогатого скота
|
тыс. шт.
|
45
|
77
|
45
|
24
|
171,1
|
58,4
|
53,3
|
32
|
-32
|
-21
|
|
Экскаваторы
|
штук
|
906
|
1841
|
2479
|
1049
|
203,2
|
134,7
|
42,3
|
935
|
638
|
-1430
|
|
Бульдозеры
|
штук
|
83
|
70
|
34
|
13
|
84,3
|
48,6
|
38,2
|
-13
|
-36
|
-21
|
|
Часы
|
млн. штук
|
0,9
|
0,7
|
0,7
|
0,7
|
77,8
|
100,0
|
100,0
|
-0,2
|
0
|
0
|
|
в том числе наручные
|
млн. штук
|
0,8
|
0,4
|
0,4
|
0,4
|
50,0
|
100,0
|
100,0
|
-0,4
|
0
|
0
|
|
Стальная эмалированная посуда
|
млн. штук
|
0,5
|
0,2
|
0,3
|
0,3
|
40,0
|
150,0
|
100,0
|
-0,3
|
0,1
|
0
|
|
Радиоприемные устройства
|
тыс. шт.
|
8
|
5
|
9
|
10
|
62,5
|
180,0
|
111,1
|
-3
|
4
|
1
|
|
Телевизоры
|
тыс. шт.
|
1067
|
702
|
717
|
352
|
65,8
|
102,1
|
49,1
|
-365
|
15
|
-365
|
|
в том числе цветного изображения
|
тыс. шт.
|
1067
|
702
|
717
|
352
|
65,8
|
102,1
|
49,1
|
-365
|
15
|
-365
|
|
Стиральные машины
|
тыс. шт.
|
12,7
|
163,3
|
216,5
|
236,4
|
1285,8
|
132,6
|
109,2
|
150,6
|
53,2
|
19,9
|
|
Холодильники и морозильники
|
тыс. шт.
|
1050
|
1072
|
1106
|
1007
|
102,1
|
103,2
|
91,0
|
22
|
34
|
-99
|
|
Электропылесосы
|
тыс. шт.
|
31,9
|
74,4
|
139,2
|
14,2
|
233,2
|
187,1
|
10,2
|
42,5
|
64,8
|
-125
|
|
Электроутюги
|
тыс. шт.
|
121
|
75
|
56
|
58
|
61,9
|
74,7
|
103,6
|
-46
|
-19
|
2
|
|
Мотоциклы
|
тыс. шт.
|
10
|
10
|
6
|
0,7
|
100,0
|
60,0
|
11,7
|
-4
|
-5,3
|
|
Велосипеды
|
тыс. шт.
|
458
|
374
|
250
|
130
|
81,7
|
66,8
|
52,0
|
-84
|
-124
|
-120
|
|
в том числе складные
|
тыс. шт.
|
73
|
40
|
30
|
13
|
54,8
|
75,0
|
43,3
|
-33
|
-10
|
-17
|
Таким образом, преобладающей продукцией в производстве отрасли
машиностроения и металлообработки в 2011 году является производство автобусов,
машин для внесения в почву органических удобрений, экскаваторов и холодильников
и морозильников. Но в 2011 году по сравнению с 2010 годом происходит снижение
выпуска этой продукции.
На снижение объемов производства продукции отрасли решающее воздействие
оказало значительное сокращение поставок в республику материально-сырьевых и
энергетических ресурсов, комплектующих изделий и полуфабрикатов, а в
последующем - нарастающие трудности со сбытом готовой продукции, обусловленные
потерей платежеспособных потребителей на внутреннем рынке, на рынках России и
других стран СНГ.
За последние годы в составе машиностроения снизилась доля продукции
автомобильного, тракторного и сельскохозяйственного машиностроения, а также
станкостроительной и инструментальной промышленности. Падение
конкурентоспособности продукции по ценовым параметрам повлекло существенное
снижение удельного веса выпуска технически прогрессивных, но дорогих видов
изделий: резко уменьшился выпуск станков с числовым программным управлением,
промышленных роботов, обрабатывающих центров, гибких производственных модулей и
систем.
Подводя итог, машиностроительная и металлообрабатывающие отрасли
переживают не самые лучшие времена в силу целого ряда причин. Среди которых на
лидирующих позициях стоят тяжелые экономические условия, созданные мировым
финансовым кризисом, а также ресурсная зависимость Беларуси от России.
Результат последнего - повышение цен на энергоресурсы, которые поднимают
стоимость белорусской продукции в разы. [31]
Несмотря на сохраняющиеся трудности, машиностроительная продукция в общем
объеме экспорта республики занимает лидирующее положение. Имеющийся
научно-технический и производственный потенциал отрасли позволяет значительно
увеличить выпуск продукции, пользующейся спросом на внутреннем и внешних
рынках.
Таким образом, экономическое содержание категории качества
обуславливается оценкой общественной полезности продукта. Мерой этой полезности
является общественно необходимое качество. Оно предопределяет достижение такого
уровня потребительских свойств продукции, который бы обеспечил удовлетворение
потребностей общества при наиболее рациональном использовании имеющихся в его
распоряжении материальных, финансовых и трудовых ресурсов. [21, c. 11]
Качество сегодня - главный критерий оценки продукции, работ, услуг; оно
определяет уровень жизни каждого человека и общества в целом. Качество
выступает в роли индикатора высокого стандарта или уровня совершенства, и не
случайно, производитель, рекламируя свою продукцию, говорит о её качестве.
Современное управление качеством выходит из положения, что деятельность
по управлению качеством не может быть эффективной после того, как продукция
произведена. Эта деятельность должна осуществляться в ходе производства
продукции. Важна также деятельность по обеспечению качества, которая
предшествует процессу производства. Управляющая система начинается с высшего
звена.
Глава 2.
Анализ организации
управления качеством продукции на РУП "Гомсельмаш"
2.1 Анализ технико-экономических показателей деятельности предприятия
Республиканское унитарное предприятие "Гомельский
завод сельскохозяйственного машиностроения" создано в 1930 году, основано
на государственной форме собственности, обладает правами юридического лица и
осуществляет свою деятельность в соответствии с Гражданским Кодексом Республики
Беларусь.
Предприятие создано для удовлетворения потребностей
сельского хозяйства в кормоуборочных и зерноуборочных комбайнах, прицепных
специализированных емкостях и других машинах и оборудовании, в запасных частях,
товарах народного потребления, в работах и услугах с высокими потребительскими
свойствами и качеством при минимальных затратах, увеличения вклада в ускорение
социально-экономического развития республики, объединения и обеспечения на этой
основе роста благосостояния трудового коллектива.
РУП "Гомсельмаш" является поставщиком
зерноуборочных и кормоуборочных машин, рынком сбыта которых являются страны
СНГ. Основные потребители продукции РУП "Гомсельмаш"
сельскохозяйственные предприятия Беларуси, России, Украины.
РУП "Гомсельмаш" принимает активное участие
в решении жизненно важной проблемы для Республики Беларусь - обеспечение
продовольственной безопасности страны путем модернизации и насыщения машинного
парка отечественных производителей сельскохозяйственной продукции. Созданные
конструкции зерно- и кормоуборочных машин нового поколения позволяют ежегодно
систематически проводить обновления основных фондов сельского хозяйства в стране.
Целью деятельности рассматриваемого предприятия
является хозяйственная деятельность, направленная на получение прибыли для
удовлетворения социальных и экономических интересов членов трудового коллектива
и интересов собственника имущества предприятия.
Перед РУП "Гомсельмаш" стоят задачи,
направленные, прежде всего, на выполнение важнейших параметров
социально-экономического развития, и, как следствие, на повышение
благосостояния работающих.
Местонахождение РУП "Гомсельмаш":Республика
Беларусь, 246033, г. Гомель, ул. Шоссейная,41.
Целью создания РУП "Гомсельмаш" является
удовлетворение потребителей сельского хозяйства в самоходных комбайнах и других
сельскохозяйственных машинах, запасных частях, товарах народного потребления,
работах и услугах с высокими потребительскими свойствами и качеством при
минимальных затратах увеличение вклада в ускорение социально-экономического
развития республики, объединения и обеспечение на этой основе благосостояния
всею коллектива.
Организационная структура является линейно-функциональной
и характеризуется тем, что во главе каждого структурного подразделения
находится руководитель. Роль функциональных служб зависит от масштабов
хозяйственной деятельности и структуры управления организацией в целом.
Функциональные службы осуществляют всю техническую подготовку производства;
подготавливают варианты решений вопросов, связанных c руководством процессом
производства.
Основными задачами РУП "Гомсельмаш"
являются:
·хозяйственная деятельность, направленная на получение
прибыли на удовлетворения социальных и экономических интересов членов трудового
коллективам интересов собственника имущества предприятия;
·изготовление продукции (оказание услуг, выполнение
работ) в точном соответствии с планом и заданиями предприятия;
·оказание платных услуг юридическим и физическим липам;
·выполнение сторонних заказов;
·внедрение в производство новейших достижений науки и
техники;
·выпуск продукции высокого качества, освоение
производства новых видов продукции;
- всемерное повышение производительности труда и
эффективности производства на основе максимального использования внутренних
резервов на снижения себестоимости продукции, полного использования
производственных мощностей, внедрения научной организации труда.
РУП "Гомсельмаш" осуществляет любые виды
производственной деятельности, еслиони не запрещены законодательными актами
Республики Беларусь и не противоречат целям деятельности, предусмотренным
уставом РУП "Гомсельмаш".
Отдельными видами деятельности, перечень которых
утверждается Советом Министров РБ, РУП "Гомсельмаш" занимается только
на основании специального разрешения (лицензии).
РУП "Гомсельмаш" обеспечивает выполнение
заданий согласно установленных количественным и качественным показателям.
Общая площадь, занимаемая РУП "Гомсельмаш"
составляет 65,7 га.В 2008-2010 годах продукция производства РУП
"Гомсельмаш" поставлялась в 22 страны мира, в 51 регион России.
Основными рынками сбыта продукции РУП "Гомсельмаш" являются
Беларусь, Россия, Украина, Казахстан, а также страны ближнего и дальнего
зарубежья, такие как Узбекистан, Таджикистан, Молдова, Литва, Латвия, Чехия,
Болгария, Сербия, Китай, Аргентина, Иран.
Все рынки сбыта продукции РУП "Гомсельмаш" по типу выбранной
стратегии делятся на две группы, где основной целью является:
– увеличение доли продаж техники: Беларусь, Россия, Украина,
Казахстан, Литва, Латвия, Китай;
– внедрение техники Узбекистан, Таджикистан, Чехия, Словакия,
Венгрия, Болгария, Аргентина, Иран и другие страны.
Показатели производственно-финансовой деятельности РУП
"Гомсельмаш" за 2008-2010 гг. приведены в таблице 2.1.
Таблица 2.1 - Показатели производственно-финансовой
деятельности РУП "Гомсельмаш" за 2008 - 2010 гг.
|
Показатели
|
2008 год
|
2009 год
|
2010 год
|
Абсолютное отклонение, (+/-)
|
Темп роста, %
|
|
|
|
|
2009 год от 2008 года
|
2010 год от 2009 года
|
2009 год к 2008 году
|
2010 год к 2009 году
|
|
Объем производства в действующих ценах, млн руб.
|
793877
|
1051884
|
1346140
|
258007
|
294256
|
132,5
|
128,0
|
|
Объем производства в сопоставимых ценах, млн руб.
|
971017
|
1145800
|
1346997
|
174783
|
201197
|
118,0
|
117,6
|
|
Затраты на производство продукции, млн руб.
|
763495
|
974203
|
1166673
|
210708
|
192470
|
127,6
|
119,8
|
|
Выручка от реализации (без налогов и отчислений), млн руб.
|
1181383
|
1427727
|
1761722
|
246344
|
333995
|
120,9
|
123,4
|
|
Полная себестоимость реализованной продукции, млн руб.
|
1100899
|
1332369
|
1588433
|
231470
|
256064
|
121,0
|
119,2
|
|
Прибыль от реализации продукции, млн руб.
|
80484
|
95358
|
173289
|
14874
|
77931
|
118,5
|
181,7
|
|
Прибыль организации, млн руб.
|
37236
|
26651
|
169152
|
-10585
|
142501
|
71,6
|
634,7
|
|
Среднегодовая стоимость основных производственных фондов,
млн руб.
|
1033898
|
1097137
|
1216822
|
63239
|
119685
|
106,1
|
110,9
|
|
Среднегодовая стоимость оборотных средств, млн руб
|
577360
|
868820
|
1150503
|
291460
|
281683
|
150,5
|
132,4
|
|
нормируемых
|
330960
|
460275
|
519037
|
129315
|
58762
|
139,1
|
112,8
|
|
Затраты на 1 р. произведенной продукции, р.
|
0,96
|
0,93
|
0,73
|
-0,03
|
-0,2
|
96,9
|
78,5
|
|
Затраты на 1 р. реализованной продукции, р.
|
0,93
|
0,93
|
0,66
|
0
|
-0,27
|
100,0
|
71,0
|
|
Рентабельность реализованной продукции, %
|
7,31
|
7,16
|
9,8
|
-0,15
|
2,64
|
97,9
|
136,9
|
|
Рентабельность производства, %
|
10,54
|
9,79
|
14,85
|
-0,75
|
5,06
|
92,9
|
151,7
|
|
Фондоотдача, р.
|
0,77
|
0,96
|
1,11
|
0,19
|
0,15
|
124,7
|
115,6
|
|
Коэффициент оборачиваемости оборотных средств
|
2,05
|
1,64
|
1,53
|
-0,41
|
-0,11
|
80,0
|
93,3
|
Примечание - Источник: собственная разработка на основания приложений А,
Б, В, Г
Из таблицы 2.1 видно, что объем производства в действующих ценах в 2009
году по сравнению с 2008 годом увеличился на 258007млнр. или 32,5% и составляет
1051884млнр., а в 2010 году на 294256 млн руб. или 28,0% по сравнению с 2009
годом, в сопоставимых ценах - увеличился на 158844 млн руб. или 18,0% в 2009
году и на 305346 млн руб. или 29,3% в 2010 году по сравнению с 2009 годом,
следовательно, объем роста производства увеличивает затраты на производство
продукции, которые возросли на 210708млнр. или 27,6% в 2009 году и на 192470
млн руб. или 19,8% в 2010 году. В результате роста объема производства
увеличивается и выручка от реализации в 2009 году по сравнению с 2008 годом и
составляет 1427727 млн руб. В 2011 году выручка возросла на 333995 млн руб. или
23,4%.
Полная себестоимость реализованной продукции увеличилась на 231470 млн
руб., т.е. на 21% в 2009 году по сравнению с 2008 годом и на 256064 млн руб.
или 19,2%. Данные изменения привели к росту прибыли от реализации в
размере14874 млн руб. в 2009 году по сравнению с 2008 годом и в большей степени
в 2010 году на 77931 млн руб. или 81,7%, в то время как прибыль организации
засчет операционных и внереализационных доходов и расходов значительно
сократилась в размере 10585млнр. (на 28,7%) в 2009 году, однако в 2010 году
увеличилась более, чем в пять раз, или на 142501 млн руб..
Среднегодовая стоимость как основных производственных фондов, так и
оборотных средств увеличилась в 2009 году на 63239 млн руб. и на 291460 млн
руб. соответственно, в 2010 году на 11968 млн руб. и 281683 млн руб. Рост
стоимости основных производственных фондов произошел как в результате
приобретения новых, так и переоценки проводимой РУП "Гомсельмаш".
Затраты на 1 р. произведенной продукции сократились в
2009 году по сравнению с 2008 годом на 0,03 и равны 0,93р. и сократились в 2010
году по сравнению с 2009 годом на 0,2 р., что связано с увеличением объема
производства, и следовательно распределением условно-постоянных расходов на
больший объем продукции.
Затраты на 1 р. реализованной продукции в 2009 году по
отношению к предыдущему году не изменились и составляют 0,93 р. и сократились
на 0,27 р. в 2010 году. Рентабельность реализованной продукции в 2009 году
сократилась на 0,15, рентабельность производства - на 0,75%, что свидетельствует
о снижении эффективности деятельности РУП "Гомсельмаш". Однако, в
2010 году показатели рентабельности увеличиваются по сравнению с 2008-2009
годом, что благоприятно сказывается на деятельности организации.
Увеличение фондоотдачи положительно отражается на объеме производства.
Снижение коэффициента оборачиваемости оборотных средств на 0,41 и 0,11 в
2009-2010 гг. носит негативный характер и увеличивает продолжительность оборота
оборотных средств в днях.
.2 Анализ организации управления качеством продукции
В связи с ориентацией на повышение удовлетворенности потребителей, а
также с потребностью в демонстрации своей способности поставлять продукцию,
отвечающую требованиям потребителей и применяемым обязательным требованиям,
система качества КС УКП РУП "Гомсельмаш" усовершенствована в 2007
году до уровня системы менеджмента качества в соответствии с требованиями СТБ
ISO 9001.
Концепция процесса, предполагающая, что всякая работа выполняется как
процесс, является определяющей в СМК РУП "Гомсельмаш". Эта концепция
заменила элементный подход, применяемый ранее. Теперь СМК РУП
"Гомсельмаш" является системой взаимодействующих идентифицированных
процессов с обеспечением их менеджмента.
СМК РУП "Гомсельмаш" разработана, задокументирована, внедрена и
поддерживается в рабочем состоянии. РУП "Гомсельмаш" постоянно
осуществляет деятельность по улучшению ее результативности в соответствии с СТП
1.30.
В СМК РУП "Гомсельмаш" определены процессы в соответствии со
структурой РУП "Гомсельмаш" в зависимости от имеющихся ресурсов,
занимаемого современного рынка, а также владельцы процессов (см. таблицу 2.11).
Порядок определения процессов СМК обуславливается комплексом работ по
достижению целей в области качества, при этом цели процессов определяют исходя
из политики руководства РУП "Гомсельмаш". Определены
последовательность и взаимодействие процессов, которое нашло отражение в
"Модели системы менеджмента качества РУП "Гомсельмаш", а также в
СТП описывающий процессы во входных и выходных данных, кроме этого описано взаимодействие
в положениях о подразделениях, что позволяет использовать преимущество
процессного подхода, состоящее в непрерывности управления, которое
обеспечивается на стыке между отдельными процессами в рамках системы процессов.
Принимаются меры, необходимые для достижения запланированных результатов
процессов и их постоянного улучшения в виде осуществления мониторинга и
управления процессами, проведения анализа результативности процессов с
принятием корректирующих и предупреждающих действий по улучшению.
Таблица 2.2 - Перечень процессов СМК РУП "Гомсельмаш"
|
№
|
Наименование
|
Обозначение СТП
|
Владелец
|
|
1
|
Планирование, анализ и контроль деятельности предприятия
|
СТП П 1.7-2007
|
Директор
|
|
2
|
Управление персоналом
|
СТП П 1.9-2007
|
Директор
|
|
3
|
Управление оборудованием
|
СТП П 1.13-2007
|
Главный инженер
|
|
4
|
Реализация готовой продукции
|
СТП П 1.17-2007
|
Директор
|
|
5
|
Постановка новых видов продукции на производство
|
СТП П 1.18-2007
|
Главный инженер
|
|
6
|
Управление закупками
|
СТП П 1.19-2007
|
Директор
|
|
7
|
Планирование производства
|
СТП П 1.20-2007
|
Заместитель директора по производству
|
|
8
|
Производство продукции
|
СТП П 1.21-2008
|
Заместитель директора по производству
|
Документация СМК РУП "Гомсельмаш" включает в себя:
документально оформленные Политику и цели в области качества;
руководство по качеству;
- стандарты предприятия, включая записи, разработанные в соответствии с
требованиям СТБ ISO 9001;
- документированные записи.
На рисунке 2.1 представлена иерархия документации СМК РУП
"Гомсельмаш".
Руководство по качеству является основополагающим документом СМК РУП
"Гомсельмаш" в соответствии с требованиями СТП 1.01.
Руководство по качеству разработано ведущим инженером по качеству и
согласовано с членами высшего руководства РУП "Гомсельмаш" (высшее
руководство РУП "Гомсельмаш" директор, главный инженер, заместитель
директора по техническим вопросам, заместитель директора по производству).
Ответственность за организацию разработки, согласования, утверждения,
введения в действие, актуализацию руководства по качеству несет ведущий инженер
по качеству.
Руководство по качеству вводится в действие приказом директора РУП
"Гомсельмаш", а также утверждается его личной подписью.
Оригинал руководства по качеству хранится в кабинете ведущего инженера по
качеству.
Рисунок 2.1 - Иерархия документации СМК РУП "Гомсельмаш"
Регистрируемые копии (РК) выдаются в подразделения организации ведущим
инженером по качеству, согласно журнала учета СТП, РК. Статус рабочего
экземпляра отражается на титульном листе РК путем проставления в правом нижнем
углу штампа "Рабочий экземпляр №__". Номера экземпляров проставляются
ВИК согласно регистрации РК. С подлинника РК тиражируется необходимое
количество рабочих экземпляров. За сохранность регистрируемых копий в
подразделениях организации отвечают лица, ответственные за документацию.
Внесение изменений в руководство по качеству производится в соответствии
с СТП 1.01. Руководство по качеству является собственностью РУП
"Гомсельмаш" и без получения разрешения высшего руководства не может
быть передано сторонним организациям.
Осуществляемая в организации деятельность по обеспечению качества
продукции и повышению удовлетворенности потребителей координируется высшим
руководством, которое возглавляет директор РУП "Гомсельмаш".
Приказом директора в организации назначается представитель высшего
руководства уполномоченный по качеству по СМК.
Директор предприятия несет ответственность за:
реализацию политики руководства РУП "Гомсельмаш";
достижение установленных целей в области качества;
обеспечение ресурсами;
анализ СМК РУП "Гомсельмаш";
организацию деятельности постоянного улучшения СМК.
Политика руководства РУП "Гомсельмаш" соответствует целям,
которые официально сформулированы высшим руководством и заверены подписью
директора РУП "Гомсельмаш". Она включает в себя обязательства
соответствовать требованиям СТБ ISO 9001. Политика является исходным документом
для установки целей в области качества. Проект политики в области качества
разрабатывает ведущий инженер по качеству под руководством представителя
руководства ответственного за систему менеджмента качества с учетом
рекомендаций директора.
Ведущий инженер по качеству оформляет проект Политики и направляет для
согласования и выдачи предложений руководству. ПРОСМК (главный инженер)
анализирует замечания и предложения по проекту, а ведущий инженер по качеству
вносит изменения. Ведущий инженер по качеству готовит проект приказа о введении
в действие политики и доведении ее до каждого сотрудника РУП "Гомсельмаш".
Проект приказа с одобренным руководством экземпляром политики
представляется директору на подпись. Подписанная директором РУП
"Гомсельмаш" Политика вводится в действие с числа, указанного в
приказе. Идентификацией Политики является дата ее утверждения.
Политика в области качества доводится до сведения всех сотрудников
предприятия посредством размещения на информационных стендах, в кабинетах, на
совещаниях и собраниях в структурных подразделениях. При приеме на работу
проводится ознакомление вновь принимаемого работника с Политикой в области
качества. Доведение Политики предусматривает ее разъяснение, обеспечение
понимания и поддержки на всех уровнях.
Доведение Политики осуществляется поэтапно:
этап - доведение Политики до руководства и руководителей подразделений.
Ответственные: директор и представитель руководства, ответственный за систему
менеджмента качества - главный инженер.
этап - доведение Политики до всех сотрудников РУП "Гомсельмаш".
Ответственные: руководители подразделений.
Высшее руководство один раз в год анализирует СМК РУП
"Гомсельмаш".
Анализ производится с целью обеспечения постоянной пригодности,
адекватности и результативности СМК.
Пригодность СМК определяется на основании результатов достижения
установленных целей организации. Если цели организации достигнуты, то СМК
признается пригодной. Вывод о достижении целей делается руководителем
организации по результатам мониторинга СМК за полугодие, отчета "Анализ
СМК за год".
Адекватность СМК определяется уполномоченным по качеству на основании
результатов проведенных внутренних и внешних аудитов (за год). Заключение об
СМК ее условие адекватности делается при отсутствии более двух значительных
(существенных) несоответствий по результатам внутренних аудитов или внешних
более одного значительных (существенных) несоответствий.
Ответственность за проведение анализа СМК РУП "Гомсельмаш"
несет представитель высшего руководства по СМК.
Директор РУП "Гомсельмаш" регулярно (ежегодно) проводит
совещания по функционированию СМК РУП "Гомсельмаш", на которых рассматривается
и утверждается протоколом анализ СМК.
Решения протокола, принятые на основании вышеуказанного анализа СМК,
предусматривают действия по: повышению результативности СМК и ее процессов;
улучшению продукции согласно требованиям потребителей; потребности в ресурсах.
На РУП "Гомсельмаш" организован контроль, необходимый для
подтверждения того, что закупленная продукция соответствует установленным
требованиям (входной контроль), который осуществляют ОТК в соответствии с СТП П
1.19
На РУП "Гомсельмаш" поддерживается порядок по идентификации
продукции на всех стадиях жизненного цикла продукции.
Материально-технические ресурсы поступают на склады центральный,
инструментальный, склад металла согласно товаро-транспортной накладной, на
основании которой кладовщик выписывает приходный ордер, выдача в цех
материально-технических ресурсов со складов производится кладовщиком склада
согласно заборной карточке.
Входной контроль давальческого сырья поступившего на завод производится
ОТК в соответствии с требованиями СТП П 1.19.
В случае обнаружения несоответствия поступивших материалов,
предоставляемых потребителем, ответственный за входной контроль РУП
"Гомсельмаш" регистрирует эти данные в соответствии с требованиями
СТП П 1.19 и сообщает начальнику ОМиС об обнаруженном несоответствии при
входном контроле. Начальник ОМиС в двухдневный срок информирует потребителя и
согласовывает письменно (почте, факсу) разрешение на изготовление изделия или
замену давальческого материала. Если РУП "Гомсельмаш" и потребитель,
предоставляющий свои материалы, предполагают верификацию на своем предприятии,
то РУП "Гомсельмаш" указывает это в договоре.
РУП "Гомсельмаш" контролирует информацию об удовлетворенности
потребителей. С этой целью регулярно (каждый квартал и один раз в год) заместитель
начальника ОМиС проводит оценку удовлетворенности потребителей.
Оценка удовлетворенности потребителей основывается на анализе информации,
связанной с потребителем. Объективность оценки удовлетворенности потребителей
обеспечивается эффективностью применяемых методов сбора и анализа информации.
Основными этапами выполнения работ по оценке удовлетворенности
потребителя являются: планирование работ по оценке удовлетворенности
потребителей; определение и идентификация потребителей; определение источников
информации, методов и периодичности оценки удовлетворенности потребителей;
анкетирование (интервьюирование); обобщение данных об удовлетворенности
потребителей; обработка результатов балльной оценки; анализ данных по
удовлетворенности потребителей.
Каждый из процессов СМК имеет оценочные показатели, предназначенные для
оценки степени достижения цели процесса.
В случае получения неудовлетворительных результатов по степени достижения
целей процесса владелец процесса организует работу по принятию корректирующих действий.
На РУП "Гомсельмаш" необходимые виды контроля, испытаний и
записей по качеству продукции описаны в стандартах предприятия.
Основными целями и задачами контроля качества и испытаний продукции в
процессе производства являются:
обеспечение выпуска продукции, соответствующей требованиям ГОСТ, ТУ,
конструкторской и технологической документации;
поддержание качества продукции на уровне, удовлетворяющем требования
потребителей;
предупреждение брака на всех стадиях производства.
Контролируемые параметры и методы контроля при проведении испытаний новой
продукции осуществляются в соответствии с разработанной программой СТП П 1.18.
Окончательный контроль и испытания продукции обеспечивают гарантию соответствия
установленным требованиям СТП П 1.21.
Ответственность за проведение контроля в процессе производства несет
начальник ОТК.
С целью гарантии того, что продукция, не соответствующая установленным
требованиям, не может быть непреднамеренно использована или поставлена
потребителю на РУП "Гомсельмаш" разработан и поддерживается в рабочем
состоянии стандарт предприятия по управлению несоответствующей продукцией.
Общая процедура управления несоответствующей продукцией, в том числе и
при верификации закупленных материалов и комплектующих, изложена в СТП 1.27 и
включает в себя:
а) выявление брака, отделение его от годной продукции и изоляция;
- документальное оформление и классификация брака;
- составление актов о браке;
- проведение анализа видов и причин возникновения брака и уведомление о
браке заинтересованных служб;
б) оформление корешка предупреждения о браке, имеющую разовые
незначительные отступления от требований нормативной и технической
документации;
в) изоляцию несоответствующей продукции в четко определенных местах.
Изолированная продукция рассортировывается, при этом принимается одно из
следующих решений:
- продукция подлежит исправлению и дальнейшему использованию;
- продукция не подлежит исправлению или дальнейшему использованию и
подлежит утилизации.
На начальника ОТК возлагается общее руководство по координации действий
структурных подразделений, осуществляющих управление несоответствующей
продукцией.
Анализ данных о несоответствующей продукции проводят с целью определения
общей картины состояния дел с возникновением несоответствующей продукции и проведения
действий по уменьшению случаев их возникновения.
Начальник ОТК ежеквартально до 10 числа месяца следующего за отчетным
проводит анализ причин выпуска внутризаводской несоответствующей продукции на
основании "Журнала регистрации актов и предупреждений о браке" и
предоставляет директору.
Анализ причин выпуска несоответствующей продукции, поставляемой
потребителю в гарантийный срок эксплуатации, начальник ОТК выполняет ежемесячно
согласно "Журнала регистрации жалоб и предложений на выпускаемую продукцию"
с разработкой мероприятий по их устранению и предоставляет директору до 10
числа каждого месяца.
Для подтверждения пригодности и результативности СМК на РУП
"Гомсельмаш" организован сбор и анализ данных, мониторинг
деятельности по процессам проводится ежемесячно начальником ПЭО и ежеквартально
владельцем процесса.
Отдел технического контроля (ОТК) является самостоятельным структурным
подразделением РУП "Гомсельмаш" и подчиняется непосредственно
директору предприятия.
Структура и штаты отдела утверждаются директором РУП
"Гомсельмаш" по представлению начальника ОТК.
Организационная структура ОТК РУП "Гомсельмаш" представлена на
рисунке 2.2.
Рисунок 2.2 - Организационная структура ОТК РУП "Гомсельмаш"
Работники отдела технического контроля состоят в штате ОТК, подчиняются
начальнику ОТК и в своей работе не зависимы от цехов и других отделов РУП
"Гомсельмаш".
Все распоряжения руководства предприятия, относящиеся к вопросам качества
продукции и деятельности ОТК, осуществляются только через начальника ОТК.
Систему взаимоотношений ОТК с другими подразделениями РУП
"Гомсельмаш" представим в таблице 2.3.
Таблица 2.3 - Система взаимоотношений ОТК с другими подразделениями РУП
"Гомсельмаш"
|
Наименование подразделения
|
Наименование документа
|
|
Получает документы от подразделения, указанного в графе 1
|
Отправляет документы подразделению, указанному в графе 1
|
|
Главный инженер
|
|
Отчет о выполнении работы по ремонту и техническому
диагностированию грузоподъемных кранов.
|
|
Отдел главного механика
|
Заявка на проведение диагностирования
|
|
|
Начальник цехов РУП "Гомсельмаш"
|
|
Корешок предупреждения о браке, акт о браке.
|
|
Начальник цехов РУП "Гомсельмаш"
|
|
Протокол совещания "День качества".
Мероприятия "День
качества".
|
|
Директор РУП "Гомсельмаш"
|
|
Справка об анализе несоответствующей продукции.
|
|
Технический отдел
|
Технологический процесс на продукцию
|
|
|
Управление производства сбыта и маркетинга продукции
|
План выпуска готовой продукции
|
|
Проблемой управления СМК РУП "Гомсельмаш" в отделе технического
контроля является не хватка компьютерной техники, в результате чего обработка
документов осуществляется вручную, а из этого вытекает длительность
документооборота.
.3 Анализ динамики качества продукции предприятия
Анализ данных о несоответствующей продукции проводят с целью определения
общей картины состояния дел с возникновением несоответствующей продукции и
проведения действий по уменьшению случаев их возникновения.
Начальник ОТК ежеквартально до 10 числа месяца следующего за отчетным
проводит анализ причин выпуска внутризаводской несоответствующей продукции на
основании "Журнала регистрации актов и предупреждений о браке" и
предоставляет директору.
Анализ причин выпуска несоответствующей продукции, поставляемой
потребителю в гарантийный срок эксплуатации, начальник ОТК выполняет ежемесячно
согласно "Журнала регистрации жалоб и предложений на выпускаемую
продукцию" с разработкой мероприятий по их устранению и предоставляет
директору до 10 числа каждого месяца.
Заказчикам отправлены анкеты оценки удовлетворенности потребителей по
следующим критериям: технические характеристики; качество изготовления;
ассортимент выпускаемой заводом продукции; цена; форма оплаты; сроки поставки; условия
поставки; упаковка; послепродажное обслуживание; сервис при обслуживании
клиентов; компетентность сотрудников завода; доверие к изготовителю.
В результате обработки результатов в соответствии со стандартом
предприятия СМК СТП П 1.17-2007 "Реализация готовой продукции",
средняя бальная оценка удовлетворенности потребителей за 2008 - 2010 года
отражена в таблице 2.4.
Таблица 2.4 - Средняя бальная оценка удовлетворенности потребителей
|
Год
|
Баллы
|
|
За 2008 год
|
18
|
|
За 2009 год
|
20
|
|
За 2010 год
|
20,7
|
Таким образом, необходимо ежеквартально осуществлять контроль за
количеством сообщений по качеству поставляемой продукции включая претензии и
рекламации.
При среднем балле удовлетворенности потребителей в 2008 году 15 £ 18< 20 - качество продукции
оценивается потребителем как хорошее, при среднем балле удовлетворенности
потребителей 20 ³ 20 - качество продукции, изготовленной за 2009 год оценивается
потребителем как отличное, при среднем балле удовлетворенности потребителей
20,7 ³ 20 - качество продукции, изготовленной
за 2010 год оценивается потребителем как отличное, согласно СТП П 1.17-2007.
Данные о результативности процессов СМК за 2008 - 2010 гг. представим в
таблице 2.5.
экономический качество продукция менеджмент
Таблица 2.5 - Данные о результативности процессов СМК за 2008 - 2010 гг.
|
Процесс
|
Наименование
|
Владелец процесса
|
Оценка результативности по процессу (в баллах)
|
|
|
|
2008 год
|
2009 год
|
2010 год
|
|
СТП П 1.7-2007
|
Планирование, анализ и контроль деятельности предприятия
|
Директор
|
193,9
|
153,6
|
176
|
|
СТП П 1.9-2007
|
Управление персоналом
|
Директор
|
140
|
98,6
|
103
|
|
СТП П 1.13-2007
|
Управление оборудованием
|
Главный инженер
|
99,6
|
100
|
189,3
|
|
СТП П 1.17-2007
|
Реализация готовой продукции
|
Директор
|
71,94
|
101,4
|
94,1
|
|
СТП П 1.18-2007
|
Постановка новых видов продукции на производство
|
Зам. директора по техническим вопросам
|
305
|
151,6
|
300,7
|
|
СТП П 1.19-2007
|
Управление закупками
|
Директор
|
100
|
100
|
99,6
|
|
СТП П 1.20-2007
|
Планирование производства
|
Зам. директора по производству
|
94,4
|
93
|
98,1
|
|
СТП П 1.21-2007
|
Производство продукции
|
Зам. директора по производству
|
102,7
|
86,7
|
87,6
|
Таким образом, в 2008 году процессы результативны, наибольшая
результативность у процесса СТП П 1.18-2007 "Постановка новых видов
продукции на производство", процессы с наименьшей результативность СТП П
1.17-2007"Реализация готовой продукции" и СТП П 1.20-2007
"Планирование производства" проверить внутренним аудитом 2 раза за
год, начальнику ОМиС и зам. директору по производству разработать мероприятия
для выполнения показателей по процессу.
В 2009 году процессы результативны, наибольшая результативность у
процесса СТП П 1.7-2007 "Планирование, анализ и контроль деятельности
предприятия", процессы с наименьшей результативность СТП П
1.21-2007"Производство продукции ЦРСМ" и СТП П 1.21-2007 "Производство
продукции МСЦ" проверить внутренним аудитом 2 раза за год, начальнику ОМиС
и зам. директору по производству разработать мероприятия для выполнения
показателей по процессу.
В 2010 году процессы результативны, наибольшая результативность у
процесса СТП П 1.18-2007 "Постановка новых видов продукции на
производство", процессы с наименьшей результативность СТП П
1.21-2008"Производство продукции ЦРСМ" и СТП П 1.21-2008
"Планирование производства" проверить внутренним аудитом 2 раза за
год, начальнику ОМиС и зам. директору по производству разработать мероприятия
для выполнения показателей по процессу.
Проанализируем причины выпуска несоответствующей продукции поставленной
потребителям с помощью данных представленных в таблице 2.6.
Таблица 2.6 - Анализ причин выпуска несоответствующей основной продукции
поставленной потребителям за 2007-2010 гг.
|
Год
|
№ п/п
|
Содержание
|
Причина выпуска несоответствующей продукции
|
Ответственный исполнитель,
|
|
2007
|
1.
|
Подборщик ПЗ-3,4-2
|
Не соблюдены правила эксплуатации. Не осуществлен
своевременный контроль при проведении регулировки.
|
ОТК
|
|
2008
|
2.
|
Подборщик ПЗ-3,4-2
|
Низкое качество подшипника.
|
ОТК
|
|
3.
|
Приспособление для уборки рапса ПР-7
|
Конструктивная недоработка тех.документации на механизм
подвески поворота.
|
ОТК
|
|
2009
|
4.
|
Приспособление для уборки рапса ПР-7
|
Нарушены требования правил руководства по эксплуатации.
|
С/х предприятие.
|
|
5.
|
Подборщик ПЗ-3,4-2
|
Нарушен тех.процесс термообработки.
|
нач.ОТК Самбук М.В., зам.директора по новой технике Навныко
В.Н.
|
|
6.
|
Косилка-плющилка КПР-9
|
Низкое качество комплектующих (блок управления).
|
КСУП "Малиновка-Агро", Лоевский район
|
|
7.
|
Подборщик ПЗ-3,4-3
|
Низкое качество изготовленных цилиндров.
|
нач.ОТК Самбук М.В., нач.ОМТС Борисенко В.Т.
|
|
8.
|
Косилка-плющилка КПР-4.2
|
Отсутствие смазки в подшипнике электродвигателя.
|
нач.ОТК Самбук М.В., нач.ОМТС Борисенко В.Т.
|
|
2010
|
9.
|
Подборщик ПЗ-3,4-2
|
халатное отношение работников сборочного участка при сборке
|
начальник ОТК М.В.Самбук, начальник цеха А.А.Афанасьев
|
|
10.
|
Подборщик ПЗ-3,4-3
|
Хозяйством не соблюдены требования "Руководства по
эксплуатации" плуга.
|
Начальник ОТК М.В.Самбук
|
|
11.
|
Подборщик ПЗ-3,4-2
|
Низкое качество закупленных цилиндров.
|
начальник ОТК М.В.Самбук, нач. ОМТС В.Т.Борисенко
|
|
12.
|
Косилка-плющилка КПР-9
|
работники хозяйства слабо обучены правилам эксплуатации машины
|
начальник ОТК М.В.Самбук, гл.энергетик А.П.Мельник
|
Таким образом, основной несоответствующей продукцией поставленной
потребителям за 2007-2010 гг. является подборщик ПЗ-3,4-2 и ПЗ-3,4-3,
косилка-плющилка КПР-9 и приспособление для уборки рапса ПР-7. Основными
причинами выпуска несоответствия этой продукции стали нарушения требования
правил руководства по эксплуатации, не в полной мере проведено обучение
обслуживающего персонала и халатное отношение работников сборочного участка при
сборке. Ответственными за исправление несоответствий являются заместитель
директора по новой технике Навныко В.Н., начальник ОТК Самбук М.В. и начальник
цеха МСЦ Соловьян С.А.
Проанализируем причины выпуска внутризаводской несоответствующей
продукции поставленной потребителям с помощью данных представленных в таблице
2.7.
Таблица 2.7 - Анализ причин выпуска внутризаводской несоответствующей
основной продукции за 2008-2010 гг.
|
Содержание
|
Причина выпуска несоответствующей продукции
|
Мероприятия предупреждающие выпуск несоответствующей
продукции
|
Ответственный исполнитель
|
|
Не соблюдение технологии термообработки. 1.Ось ИПР
1331.04.00.00 2.Ось 9031.00.047
|
Не соблюдение технологического процесса и не обеспеченность
технологической оснасткой. Охлаждающая среда не соответствует технологическому
процессу.
|
Корешок предупреждения о браке №№ 47, 49
|
Скоморох С.Ф., Бачура В.Н., Судас А.А.
|
|
Отклонение по диаметру. 1.Фланец КГ 07.110.6.013
2.Кронштейн 9363.71.000 3.Втулка ППЛ 05.00.060 4.Втулка ППЛ 05.000.062
|
Халатное отношение, невнимательность со стороны
исполнителей. Пониженный контроль мастеров.
|
Корешок предупреждения о браке №№ 48, 50, 53 54, 58, 63, 65
|
Нач.цеха Соловьян С.А., Скоморох С.Ф., Савостеев С.П,
Бачура В.Н., Судас А.А., ОТК.
|
|
Не выдержаны катеты сварных швов, наплывы, брызги, не
качественная покраска: 1.Секции линейные ПКАБ 02.1.110.03.08.000 СБ
|
Не соблюдение тех.процесса на сварку. Не соблюдение
технологических параметров сварки (наплывы, брызги). Халатное отношение,
отсутствие контроля со стороны руководства цеха.
|
Корешок предупреждения о браке №№ 1
|
Савин А.В., Качан П.Г., Кицук А.Н.
|
|
Наличие заусенцев. 1.Втулка ПЧО 05.02.001 2.Болт ПЧЛ
8Н.07.008 3.Гайка ПЧЛ 8Н 08.00.014
|
Небрежное отношение к выполнению своих обязанностей.
Отсутствие разъяснительной работы со стороны руководства цеха.
|
Корешок предупреждения о браке №№ 32, 33, 44
|
Мастер участка, Соловьян С.А., Скоморох С.Ф., Савостеев
С.П, Бачура В.Н., Судас А.А.
|
|
Термообработка. 1.Болт ПЧЛ 8М 07.00.008
|
Не выдержана температура нагрева и охлаждающей среды.
|
Корешок предупреждения о браке №50
|
Соловьян С.А., Бачура В.Н., Скоморох С.Ф.
|
|
Качество сварных соединений: 1.Измельчитель Г7-ФИР 2.Шнек
загрузочный ДБ-5
|
Халатное отношение, Невнимательность со стороны
исполнителей, Пониженный контроль мастеров.
|
Корешок предупреждения о браке №№ 11,12
|
Жур Р.В Савин А.В.
|
Таким образом, основными работами, по которым наблюдается внутризаводское
несоответствие продукции за 2008-2010 гг. является отклонение от линейных
размеров, отклонение по диаметру, наличие заусенцев и не соблюдение технологии термообработки.
Основными причинами выпуска несоответствия этой продукции стали халатное
отношение, невнимательность со стороны исполнителей, пониженный контроль
мастеров и небрежное отношение к выполнению своих обязанностей. Данные о полученных претензиях, рекламациях и замечаниях на
продукцию со стороны заказчика и других заинтересованных сторон представим в
таблице 2.8. За 2010г. поступило 38 претензий со
стороны заказчика на продукцию, большая часть претензий связана с качеством
покупных изделий, не соблюдением правил эксплуатации хозяйствами.
Таблица 2.8 - Данные о полученных претензиях, рекламациях и замечаниях на
продукцию со стороны заказчика и других заинтересованных сторон.
|
Год
|
Количество претензий
|
|
За 2008 год
|
5
|
|
За 2009 год
|
48
|
|
За 2010 год
|
38
|
За 2009 год было освоено 4 новых вида изделия. Поступило 48 претензий со
стороны заказчика на вновь освоенную продукцию, большинство претензий связано с
качеством покупных изделий, не соблюдением правил эксплуатации хозяйствами. За
2008 год со стороны заказчика было получено пять претензий по изготовлению
несоответствующей продукции. Подводя итог ко
второй главе можно сделать вывод о том, что основными проблемами на РУП
"Гомсельмаш" является не своевременное оформление и предоставление
документации по СТП, низкое качество закупаемых материально-технических
ресурсов, неквалифицированный персонал, проведение аудита осуществляется в
неполной мере, достигнутый уровень балансовой прибыли не достаточный для
полноценного развития производства и обновления основных производственных
фондов завода.
Глава 3.
Совершенствования
управления качеством продукции на РУП "Гомсельмаш"
3.1 Внедрение системы премирования за качество продукции
К решению задачи повышения качества продукции на РУП
"Гомсельмаш" необходимо подходить через создание у работников
мотивов, внутренних стремлений, желания повысить качество продукции. Последняя
достигается разработкой и внедрением системы премирования за повышение качества
продукции. Вышеназванная система станет стержнем комплекса мероприятий по
повышению качества продукции.
При создании системы премирования необходимо большое внимание уделить
блоку материальных стимулов. Для этого необходимо пересмотреть систему оплаты
труда и премирования, а именно:
премирование должно быть привязано к какому либо совокупному
показателю качества;
премирование должно быть дифференцировано, т.е. ориентироваться
нужно не только на общий результат, но и на индивидуальный;
нельзя премировать в обязательном порядке, ведь в противном
случае стимулирующая роль премирования снижается.
Часто получается, что материальное стимулирование идет по нескольким
каналам, за одни и те же достижения. Этого следует избегать и предусмотреть в
данном случае сочетание материальных и моральных стимулов.
Основная причина брака это недобросовестное отношение рабочих и
исполнителей к своим обязанностям, несоблюдение технологий, несоответствие
применяемого материала, некачественное выполнение работы, неритмичность
производства. Существенно ввести на производстве систему материальных стимулов
и штрафов. Введение штрафов эффективно с двух точек зрения:
это дополнительный мотивационный стимул к качественной работе. Боясь
суммарного взыскания, работники будут более старательно следить за качеством
своей работы. Применяя данную мотивационную политику важно чётко определить
сумму карательных штрафов. Штраф не должен быть чрезмерно малым, потому что он
не будет значим для работника. Не должен быть чрезмерно большим (например, вся
заработная плата), иначе подобные санкции приведут к уходу работников. Штраф за
брак должен быть соизмерим с количеством ущерба.
это правильно с экономической и правовой точки зрения. Работник должен
компенсировать ущерб, который был причинён предприятию его непрофессионализмом.
При подобной политике вред от брака стремится к нулю.
Если брак в производстве допущен по вине работника, то с работника
необходимо удержать стоимость бракованной продукции.
Так же работника можно премировать, по итогам месяца, если в течении
календарного месяца в его работе не было допущено брака.
Порядок и условия премирования работников РУП "Гомсельмаш"
определяются в Положениях о:
премировании за основные результаты финансово-хозяйственной деятельности
(размер премии 2, 5 и 10% тарифной ставки рабочего, должностного оклада
служащего);
вознаграждении по итогам годовой работы (в размере 100% среднемесячной
заработной платы каждого работника);
- вознаграждении в связи с юбилейными датами работников РУП
"Гомсельмаш" (в зависимости от стажа работы);
вознаграждении в связи с юбилейной датой предприятия.
Основными источниками выплаты премии являются:
фонд заработной платы, включаемый в себестоимость продукции, товаров
(работ, услуг), учитываемый при ценообразовании и налогообложении;
прибыль, остающаяся в распоряжении организации после налогообложения.
Существующие системы премирования работников на РУП
"Гомсельмаш" не в полной мере способствуют повышению
конкурентоспособности выпускаемой продукции. К недостаткам действующих систем
стимулирования можно отнести: отсутствие системы показателей, оценивающих
качество производимых работ и их влияние на конкурентоспособность продукции;
отсутствие экономической связи результатов труда работников по повышению
конкурентоспособности продукции с размерами их материального поощрения.
С целью устранения недостатков существующих систем стимулирования и
усиления заинтересованности у работников предприятия в повышении
конкурентоспособности продукции предлагается:
работников маркетинговой службы - премировать за перевыполнение плана по
реализации продукции и увеличению прибыли;
инженеров - премировать за повышение качества продукции по сравнению с
планом в результате совершенствования ее конструкции;
технологов - премировать за снижение себестоимости продукции по сравнению
с планом в результате совершенствования технологии ее изготовления;
- рабочих - премировать за отсутствие брака и выполнение плана по
производству новых изделий;
контролеров - премировать за отсутствие рекламаций, полученных в
результате не соответствия изготовленной продукции конструкторской документации
или наличия производственного брака;
всех работников предприятия - премировать за выполнение плана по
реализации продукции в стоимостном выражении.
Но основная заработная плата не может в полной мере обеспечить
заинтересованность работников в повышении качества производимой продукции и
дополняется системой премий.
Но ни одно типовое Положение о премировании не содержит исчерпывающих мер
по премированию рабочих за качество продукции, так как нельзя предусмотреть
всех условий производства и возможностей отдельного предприятия.
Рекомендуется установить премии рабочим за основные результаты
финансово-хозяйственной деятельности в размере премии 10, 15 и 20% тарифной
ставки рабочего, должностного оклада служащего; управляющим цеха, подразделения
за повышение качества продукции по сравнению с этим же периодом прошлого года в
целом по предприятию за счет фонда материального поощрения выплачивать 5 %
месячного оклада, что не предусмотрено на рассматриваемом предприятии.
Универсальных правил разработки системы стимулирования, конечно, не
существует, но есть некоторые определенные подходы, учет которых позволит
сделать ее наиболее оптимальным.
Многочисленное исследование показывает, что порог чувствительности для
стимулирующих выплат равен 10%, поэтому показатели, оцененные менее чем в 10%
премиальных выплат, неэффективны для стимулирования. В определенных условиях
можно наблюдать даже обратный эффект;
Стимулирование повышения качества продукции играет важную роль для
обеспечения выпуска высококачественной, конкурентоспособной продукции,
увеличении отгрузки на экспорт. В данном случае основными показателями
премирования работников могут быть:
бездефектное изготовление продукции и сдача ее с первого предъявления;
отсутствие возвратов продукции от ОТК, цехов - смежников, организаций -
смежников;
соблюдение стандартов и технических условий;
недопущение брака и обеспечение требуемого уровня качества выпускаемой
продукции;
повышение удельного веса продукции высокого качества;
соблюдение параметров технологического режима;
отсутствие претензий на продукцию со стороны потребителей;
выполнение и перевыполнение плана по качеству (сортности) продукции.
Кроме того, на РУП "Гомсельмаш" является целесообразным
изменение положения по частичному лишению премии, которые рассмотрим в таблице
3.1.
Таблица 3.1 - Изменение положения по частичному
лишению премии
|
Причина
|
процент получения работником премии от суммы ежемесячной
премии
|
Последствия для предприятия
|
Эффективность
|
|
нарушение технологических режимов, инструкций, что привело
к снижению качества продукции, порче материалов, поломок инструмента,
приспособлений и оборудования
|
40 %
|
Каждое из перечисленных нарушений ведет к сбою в работе
оборудования предприятия, цеха, что связано с убытками деятельности которого,
из чего процент взыскания (лишения) части премии способствует покрытию
убытков и профилактике нарушений
|
60 %
|
|
аварию механизмов, машин, оборудования в результате
нарушения правил эксплуатации и ухода за ними
|
0 %
|
|
100 %
|
|
нарушение правил по технике безопасности, охране труда,
противопожарных и санитарных правил
|
60 %
|
|
40 %
|
|
опоздание на работу, преждевременный уход с работы,
самовольное оставление рабочего места менее чем на 3 часа
|
80 %
|
|
20 %
|
|
невыполнение распоряжений мастера (начальника цеха,
технологической службы, службы ОТК)
|
70 %
|
|
30 %
|
|
низкое качество работы, выпуск брака
|
60 %
|
|
40 %
|
|
неудовлетворительную оценку за чистоту и культуру
производства на рабочем месте
|
80 %
|
|
20 %
|
В данном пункте курсовой работы рассмотрено множество мероприятий по
совершенствованию системы премирования и депремирования. Целесообразным
является поэтапное внедрение каждого и главное, чтобы улучшения отразилось на
каждом работнике, а также являлось доступным для понимания, что будет
стимулировать работника.
Поскольку депремирование является стимулом для роста чистой прибыли, и
является фактором снижения затрат на производство. Рассчитаем экономическую
эффективность внедряемого мероприятия.
Нарушение работниками технологического процесса, влекущее к снижению
качества, приводит к увеличению расходов на устранение брака, возобновление
производственного процесса.
Депремирование позволит улучшить качество труда работников и
компенсировать расходы завода на устранение замечаний.
Прямой расчет экономического эффекта не всегда возможен, поскольку нельзя
предугадать число случаев депремирования и их размер, однако внедрение жесткой
системы позволит дисциплинировать работников.
Однако приведем пример суммы депремирования. Если заработная плата
составляет 5000 000 руб., а премия составляет 20%, то сумма снижения премии
составит: 5000000 * 20 / 100 * 0,6 = 600 000 руб.
Таким образом, рассматриваемые мероприятия сократят расходы на оплату
труда, будут стимулировать работника к совершенствованию трудовой деятельности
и главное - оплате труда каждого работника по индивидуальным показателям труда.
3.2 Повышение квалификации работников отдела технического контроля
Немало важную роль в деятельности предприятия играет персонал. Поскольку
от его навыков, знаний и умений зависит доходность предприятия.
Повышение квалификации - это обязательный процесс, направленный на
углубление, расширение и обновление профессиональных знаний, умений и навыков,
заканчивающийся выдачей документов установленного образца.
Повышение квалификации рабочих кадров имеет своей целью улучшение технико-экономических
показателей их работы за счет более глубокого понимания технологических
процессов, прочного овладения технико-экономическими знаниями, повышения уровня
профессиональных навыков и умений, овладения передовыми методами труда.
Основным направлением по повышению уровня профессиональной подготовки
кадров является повышение квалификации персонала.
На предприятии наблюдается недостаточная обеспеченность специалистами.
Ведь в современных экономических условиях для успешного функционирования
предприятия нужны постоянные инвестиции в совершенствование подготовки кадров,
которое в первую очередь, на мой взгляд, включает совершенствование
квалификации.
Среди форм повышения квалификации различают следующие:
организованная форма повышения квалификации представлена
высшими, средними специальными учебными заведениями, центрами по повышению
квалификации. Здесь обучение, как правило, осуществляется по специальным
программам.
Неорганизованная форма, когда работники самостоятельно повышают свою
квалификацию посредством изучения специальной, справочной, нормативной
литературы и документации. Они сами определяют, в какой отрасли испытывают
недостаток знаний, и пытаются путем самостоятельного чтения восполнить этот
пробел.
В данной курсовой работе внимание будет сосредоточено на инвестиции в
повышение квалификации специалистов. Причинами необходимости внедрения этого
мероприятия является изменение происходящие во внешней среде предприятия,
потребность в высококвалифицированных специалистах, умеющих быстро принимать верные
решения, правильно оценивать ситуацию.
Проведем расчет экономической эффективности совершенствования системы
управления качеством на РУП "Гомсельмаш" в результате проведения
обучения 5-ти специалистов предприятия по программе
В целях совершенствования менеджмента качества РУП "Гомсельмаш"
необходимо уделить больше внимания квалификационному уровню работников,
поскольку именно от своевременного получения полной и достоверной информации о
качестве продукции, состоянии оборудования и технологического процесса зависит
производство продукции в соответствии с требованиями стандартов и технических
условий.
Для повышения квалификации производственных рабочих потребуется направить
их на специальные курсы. После окончания курсов контролеры ОТК будут работать
более эффективно, применяя на практике, полученные на курсах повышения
квалификации знания, что приведет к снижению брака, поэтому планируется их
материально поощрить, увеличив им заработную плату на 10 %.
Затраты по мероприятию составят:
) стоимость курсов для 5 производственных рабочих:
360 тыс. руб. * 5 = 1800 тыс. руб.;
2) повышение заработной платы работникам на 10%:
2150 тыс. руб.*0,1*12*5=12900 тыс. руб.
Итого затрат за год составило 14700 тыс. руб. (1800 тыс. руб. + 12900
тыс. руб.)
По предположительной оценке специалистов в результате внедрения данного
мероприятия коэффициент дефектности снизится на 3 % (применение на практике
полученных знаний на курсах повышения квалификации, производственными рабочими
приведет к снижению брака) и предприятие будет экономить до 2 % чистой прибыли
(за 2010 г. она составила 104307 млн. руб.). Следовательно, экономия чистой
прибыли составит 2086 млн. руб. (104307 млн. руб. *0,02).
Таблица 3.1 - Оценка повышение квалификации производственных работников
|
Показатели
|
Ед. изм.
|
До
|
После
|
Изменение показателей
|
|
Среднемесячная заработная плата 1 производственного
рабочего
|
тыс. руб.
|
2150
|
2365
|
215
|
|
Чистая прибыль
|
млн. руб.
|
104307
|
106378,3
|
2071,3
|
Таким образом, дополнительная чистая прибыль от внедрения данного
мероприятия составит приблизительно 2071,3 млн. руб. (2086 - 14,7).
.3 Повышение качества продукции предприятия путем применения системы
бизнес-моделирования Business Studio при организации и проведении аудитов
системы менеджмента
В соответствии с требованиями международного стандарта ИСО 9001:2008 СМК
должна быть задокументирована, а вся документация должна поддерживаться в
актуальном состоянии.
Внутренние аудиты проводятся через запланированные интервалы с целью
определения того, что СМК РУП "Гомсельмаш":
а) соответствует запланированным мероприятиям, соответствует требованиям
СТБ ISO 9001 и функционирует в соответствии с требованиями стандартов
предприятия;
б) эффективно внедрена и поддерживается в рабочем состоянии.
Деятельность по проведению внутреннего аудита планируется с учетом
статуса и важности процессов, подлежащих аудиту, а также результатов предыдущих
аудитов. План проведения внутренних аудитов утверждается директором. Этот план
доводится до сведения проверяемых подразделений.
Мониторинг программы аудита осуществляет главный инженер-уполномоченный
по качеству.
Документы по внутреннему аудиту (протоколы аудита, отчеты по аудиту)
хранятся у ведущего инженера по качеству в соответствии с процедурой хранения
записей.
На РУП "Гомсельмаш" было выявлено не своевременное оформление и
предоставление документации по СТП. Решить эту проблему поможет автоматизация
системы менеджмента качества.
Инструментарии сбора информации, заложенные в стандарты ИСО,
многочисленны. И лучшим методом упорядочения процесса анализа информации и
реализации одного из принципов менеджмента качества - "принятие решений,
основанное на фактах" - является автоматизация системы менеджмента
качества. Самый распространенный вид автоматизации - автоматизация
документооборота организации.
Каждой группе специалистов определяют массивы документации, необходимой
для работы и права доступа, корректировки и заполнения документов.
Второй по распространению автоматизации блок СМК - это внутренние аудиты;
и степень автоматизации процесса аудита зависит от задач, которые хочет решать
организация при анализе результатов внутренних аудитов.
Основные задачи, решаемые при автоматизации информации о внутренних
аудитах СМК следующие:
формирование отчетов об аудитах;
равномерная загрузка внутренних аудиторов (формирование графика аудитов с
учетом загруженности внутренних аудиторов);
ведение реестра и оценки компетентности внутренних аудиторов;
мониторинг выполнения корректирующих действий;
автоматическое формирование плана корректирующих действий;
автоматическая подготовка анализа частоты возникновения однотипных
несоответствий по подразделениям, элементам стандарта, должностям и
направлениям деятельности;
автоматическое формирование годового (полугодового) отчета по результатам
внутренних аудитов для анализа со стороны руководства с диаграммами
возникновения несоответствий по элементам стандарта, подразделениям,
направлениям деятельности.
Для сокращения временных затрат на организацию и оформление документации
по проведению внутренних аудитов целесообразно использовать программные
продукты, позволяющие максимально автоматизировать процесс документирования
поведения внутренних проверок.
Автоматизация позволяет экономить время при оформлении документов по
внутренним проверкам, но дополнительная ее ценность заключается в том, что
создается электронный банк данных по проведенным внутренним аудитам, что
позволяет автоматически формировать отчеты в заданных временных рамках: по
количеству и содержанию несоответствий по определенному подразделению, по
определенному разделу стандарта, по определенному аудитору и т.д. Впоследствии
полученная информация может представляться в виде диаграмм и создавать базу для
проведения анализа по результатам внутренних аудитов в организации.
Также, там, где инфраструктура организации позволяет это сделать,
возможно установление системы оповещения по электронной почте или внутренней
сети об истечении сроков разработки и реализации корректирующих действий как
для аудитируемых подразделений, так и для аудиторов.
Главной целью данной услуги является оказание помощи предприятиям в
работах по автоматизации и моделированию бизнеса в целях разработки и внедрению
надежной и результативной системы менеджмента качества в соответствии с
требованиями стандартов МС ИСО 9001:2008, ГОСТ Р ИСО 9001:2008.
Система бизнес-моделирования Business Studio разработана специально для
поддержки полного цикла проектирования эффективной системы управления качеством
- "Проектирование - Формирование регламентирующих документов - Доведения
регламентов до исполнителей - Контроль и мониторинг показателей -
Оптимизация".
В системе бизнес-моделирования Business Studio автоматизированы такие
наиболее трудоемкие этапы разработки, внедрения СМК и поддержания ее в
работоспособном состоянии как:
разработка целей в области качества;
описание основных и вспомогательных процессов;
разработка показателей процессов;
разработка документации СМК;
ознакомление персонала с документацией;
поддержание документации СМК в актуальном состоянии;
сбор результатов измерений;
планирование и проведение внутренних аудитов;
анализ данных;
разработка корректирующих и предупреждающих действий и устранение
несоответствий;
улучшение;
подготовка к сертификации и сертификация.
Комплекс консультационных услуг компании включает:
обучение программному продукту Business Studio;
консультирование при моделировании бизнес-процессов и разработке
документированных процедур в Business Studio;
выполнение определенных этапов работ по моделированию и созданию
регламентирующей документации в Business Studio.
Использование Business Studio (таблицу 3.2) для автоматизации системы
управления и моделирования бизнес-процессов позволяет оптимизировать затраты на
разработку и внедрение СМК, сократить время производственного цикла за счет
эффективного использования ресурсов и хорошо спланированных и эффективных
процессов.
Таблица 3.2 - Пример основных результатов и эффектов от использования
системы Business Studio
|
Результаты использования
|
Эффекты
|
|
- система целей и показателей (BSC/KPI)
|
- достижение стратегических целей организации
|
|
- формализованные бизнес-процессы
|
- повышение управляемости и прозрачности
|
|
- распределенные полномочия и ответственность между
руководителями и подразделениями
|
- увеличение производительности труда исполнителей
|
|
- подробные инструкции для исполнителей
|
- сокращение потерь и убытков от неправильных действий
сотрудников до 100%
|
|
пакет регламентирующей документации
|
- минимизация времени обучения новых сотрудников
|
|
- оптимизированная штатная численность сотрудников
|
- снижение зависимости от "ключевых" сотрудников,
разгрузка Топ-менеджеров от "текучки" и предоставление им
возможности заниматься стратегическими задачами
|
|
- СМК в рабочем состоянии
|
- снижение трудоемкости работ по проектированию и
актуализации системы управления в 2-3 раза
) расходы на приобретение системы бизнес-моделирования Business Studio -
8 850 170 бел руб.,
) расходы по установке системы - 2 500 800 бел руб.,
) расходы, связанные с обучением персонала (найма специалиста для
проведения инструктажа) - 1 461 500 бел руб.
) приобретение четырёх компьютеров (стоимость одного компьютера 2 900 000
руб.) - 11 920 000 руб.
З = 11 920 000 + 8 850 170 + 2 500 800 + 1 461 500 = 24 732 470 бел руб.
где З - общая сумма затрат на систему.
В отделе технического контроля на предприятии работает 6 контролеров.
Целесообразно сократить двух контролеров при внедрении системы
"Business Studio", так как данная система имеет все функции для
работы в ОТК.
Таким образом, с помощью этой программы тот же объем работ могут
выполнять меньшее число контролеров, что позволит высвободить 2 рабочих места.
Рассчитаем, какую сумму сэкономим за год на заработной плате:
ЭГод = 2* 12 * 2150 000 + 12*2150 000*0,35 + 12 * 2150 000*0,05 =
51600000 + 9030000 + 1290000 = 61920000 бел. руб.
где 35% - отчисления в фонд социальной защиты;
% - отчисления в фонд занятости и ЧАЭС.
Как показала практика, использование этого программного продукта
позволяет:
увеличить производительность труда аудитору не менее чем на 25-50%;
уменьшить время обработки одного документа более чем на 75%;
сократить время на создание нового документа на 20-30% (благодаря
быстроте поиска и наличию прототипов);
снизить трудоемкость работ при организации и актуализации системы
управления аудитом в 2-3 раза.
Таким образом, внедрение системы "Business Studio"
Похожие работы на - Анализ организации управления качеством продукции на предприятии 'Гомсельмаш'
|