Особенности конкурентоспособности услуг предприятий розничной торговли на товарном рынке

  • Вид работы:
    Дипломная (ВКР)
  • Предмет:
    Маркетинг
  • Язык:
    Русский
    ,
    Формат файла:
    MS Word
    114,46 kb
  • Опубликовано:
    2012-01-20
Вы можете узнать стоимость помощи в написании студенческой работы.
Помощь в написании работы, которую точно примут!

Особенности конкурентоспособности услуг предприятий розничной торговли на товарном рынке

ФЕДЕРАЛЬНОЕ АГЕНТСТВО ПО ОБРАЗОВАНИЮ

ГОСУДАРСТВЕННОЕ ОБРАЗОВАТЕЛЬНОЕ УЧРЕЖДЕНИЕ ВЫСШЕГО ПРОФЕССИОНАЛЬНОГО ОБРАЗОВАНИЯ

«КРАСНОЯРСКИЙ ГОСУДАРСТВЕННЫЙ ТОРГОВО-ЭКОНОМИЧЕСКИЙ ИНСТИТУТ»








КУРСОВАЯ РАБОТА

по дисциплине «МАРКЕТИНГОВЫЕ ИСЛЕДОВАНИЯ В ТОРГОВЛЕ»











Минусинск 2011

Введение

В современных рыночных условиях торговля оказывает активное влияние на развитие экономики и рыночных процессов, содействует удовлетворению спроса населения на товары и услуги, улучшению качества жизни населения. В организациях розничной торговли завершается процесс кругооборота средств, вложенных в производство, происходит превращение товарной стоимости в денежную, создаётся экономическая основа для возобновления производства товаров и создаются стартовые возможности для нового цикла производства. Являясь источником поступления денежных средств, торговля тем самым формирует основы финансовой стабильности государства.

Вместе с тем, современный этап развития рыночных отношений в нашей стране характеризуется значительным ужесточением конкуренции между организациями сферы обращения. В настоящее время важнейшим фактором успеха деятельности фирмы становится её конкурентоспособность, а получение прибыли уже не может рассматриваться в качестве единственной цели и критерия успешности функционирования организации. Ведь конкурентоспособность является тем инструментом, который способствует повышению эффективности деятельности хозяйствующего субъекта на рынке и организация, поддерживающая на постоянной основе более высокий уровень конкурентоспособности, автоматически решает важную стратегическую задачу, связанную с обеспечением устойчивого высокого уровня прибыльности. Это обуславливает необходимость решения актуальной проблемы, связанной с обеспечением высокого уровня конкурентоспособности торговых компаний.

Теоретические вопросы, связанные с понятием конкурентоспособности нашли отражение в научных трудах отечественных и зарубежных исследователей. Однако общий анализ научной литературы по изучаемой проблеме показывает, что большинство трудов посвящено изучению конкурентоспособности, методов её оценки и путей повышения применительно к промышленным предприятиям. В то же время недостаточно разработанными остаются теоретические вопросы, связанные с проблемами конкурентоспособности организаций розничной торговли.

Объект: Конкурентоспособность услуг предприятий на товарном рынке.

Предмет: Конкурентоспособность услуг предприятий розничной торговли на товарном рынке.

Цель: Выявить особенности конкурентоспособности услуг предприятий розничной торговли на товарном рынке.

Задачи:

Проанализировать литературные источники по интересующему нас вопросу;

Раскрыть теоретические основы маркетингового исследования;

Рассмотреть метод экспертных оценок как база для оценки конкурентоспособности услуг предприятий торговли;

Проанализировать методику определения показателей и критериев для оценки конкурентоспособности услуг предприятий торговли;

Рассмотреть определение коэффициентов весомости показателей, применяемых для оценки конкурентоспособности услуг предприятий розничной торговли на товарном рынке;

Раскрыть оценку конкурентоспособности услуг предприятий розничной торговли на товарном рынке.

Глава 1. Теоретические основы маркетингового исследования

.1 Понятие и роль маркетингового исследования в деятельности предприятия

экспертный оценка конкурентоспособность торговля

Маркетинговое исследование - это любая исследовательская деятельность, обеспечивающая потребности маркетинга, то есть система сбора, обработки, сводки, анализа и прогнозирования данных, необходимых для конкретной маркетинговой деятельности. Таким образом, маркетинговое исследование выступает как начало и логическое завершение любого цикла маркетинговой деятельности предприятия. Цель проведения подобного исследования - уменьшение неопределенности, сопутствующей принятию маркетинговых решений.

В литературе сложилось представление, что любое маркетинговое исследование предполагает наличие двух взаимосвязанных частей: исследование конкретного рынка и собственных возможностей фирмы для выхода и закрепления позиций на рынке. Из этого следует, что исследование рынка - часть комплексного маркетингового исследования. Обязательные элементы маркетингового исследования следующие:

) исследования, для того, чтобы быть эффективными, должны носить систематический характер;

) при осуществлении маркетинговых исследований должен соблюдаться научный подход, базирующийся на объективности и точности;

) маркетинговые исследования могут быть применены к любой стороне маркетинга, требующей информации для принятия решений;

) исследование - многоступенчатый процесс, включающий сбор данных, регистрацию и анализ данных;

) данные могут поступать от самой фирмы, нейтральной организации или специалистов-исследователей.

Задача маркетинговых исследований заключается в оценке информационной потребности, предоставлении высококачественной информации для руководства компании с целью принятия решений в сфере маркетинга.

Систематические маркетинговые исследования позволяют получать информацию о контролируемых и неконтролируемых факторах среды и интересах различных групп, что повышает эффективность решений, принимаемых маркетологами. Маркетинговые исследования связывают предприятие с внешней средой, позволяя предприятию, а в особенности специалистам маркетинговой службы, ориентироваться на рынке и разрабатывать эффективные программы маркетинга, грамотно сочетающие все элементы «маркетинга-микса».

Маркетинговые исследования можно назвать коммуникационным каналом, связывающим предприятие с внешней средой. Коммуникационный канал обеспечивает функцию получения и передачи информации между потребителем и предприятием, а также степень эффективности стратегии маркетинга.

Официальное определение маркетинговых исследований, данное Американской ассоциацией маркетинга, подчеркивает их информационно-связующую роль. Функцией маркетинговых исследований является установление связи потребителей, клиентов и общества с маркетологом посредством информации, которая используется для установления и определения маркетинговых возможностей и проблем; выработки, совершенствования и оценки маркетинговых действий; мониторинга эффективности маркетинговых действий; улучшения понимания маркетинга как процесса.

Г. Черчилль по этому поводу пишет: Маркетинговые исследования являются функцией, которая связывает организацию с потребителями через информацию. Информация используется для выявления и определения возможностей и проблем маркетинга; разработки, уточнения, оценки и контроля исполнения маркетинговых мероприятий, совершенствования маркетинга как процесса. Данное определение указывает на то, что маркетинговые исследования выполняют три основные функции:

прогнозную - предназначается для предсказания дальнейшего развития событий;

описательную - сбор информации о явлениях и процессах, с дальнейшей характеристикой объёма и структуры этих явлений;

аналитическую - сбор информации о том, почему явление развивалось в данном направлении и именно такими темпами, почему достигло такого уровня, и какие факторы повлияли.

В целом исследования отвечают следующим трем целям:

Помощь в изучении - в обнаружении, описании, анализе, оценке и прогнозировании рыночных факторов и спроса.

Помощь в принятии решений - в определении наиболее подходящих маркетинговых инструментов и стратегий.

Помощь в контроле - в определении эффективности маркетинговых программ и оценке результатов.

Таким образом, маркетинговое исследование - это систематическое и объективное выявление, сбор, анализ, распространение и использование информации для повышения эффективности и решения маркетинговых проблем.

1.2 Процедуры проведения и основные направления

Для того чтобы принимать обоснованные решения на рынке труда, необходимо располагать достоверной, обстоятельной и своевременной информацией. Систематический сбор, отражение и анализ данных, составляют содержание маркетинговых исследований.

Осуществление маркетинга на рынке предполагает последовательное проведение ряда операций, составляющих содержание его процедур.

Рис. 1 - Структура и последовательность процесса маркетинговых исследований

Исходным пунктом маркетинга выступает постановка его цели - формирование предмета маркетингового исследования (например, оценка того, почему происходит рост текучести кадров на отдельных предприятиях или падает престиж отдельных профессий, чем обосновано обострение проблемы спроса на отдельные виды специалистов и др.). Без четкого обоснования проблемы исследования в ходе его осуществления можно собрать ненужную и дорогостоящую информацию. Поэтому качественное выполнение этой операции ориентирует на сбор и анализ конкретной информации, пригодной для принятия соответствующего решения на рынке труда.

После формирования цели маркетингового исследования осуществляется выдвижение гипотезы, на основе которой строится модель развития рынка труда или его сегментов. Гипотеза определяет общее направление научного поиска и является главным интрументом, с помощью которого структурируется последующий процесс исследования. Различают несколько видов гипотез:

. Описательные или классификационные гипотезы, которые включают:

структурные гипотезы, т.е. предположения о структуре объекта;

функциональные гипотезы, т.е. предложения о степени тесноты связей между элементами объекта или между данным объектом и другими.

. Объяснительные гипотезы, т.е. предположения о причинно-следственных связях в изучаемом объекте.

При выдвижении гипотезы необходимо учесть, что она не должна содержать понятий, которые эмпирические не определены (не операционализированы); не может основываться на так называемых оценочных суждениях (тема, мало, много, хорошо, плохо и т.п.), должна быть сформулирована так, чтобы ее можно было проверить. Проверка осуществляется с точки зрения ее формально-логической правильности и на истинность.

Процедуры выдвижения и проверки гипотез базируются на моделях нескольких типов:

. Описательные (или так называемые логико-лингвистические модели предназначены для выявления связей, их объяснения или прогнозирования). Они базируются в основном, на методах временного, сравнительного анализа.

. Модели принятия решения разрабатываются для оценки различных вариантов и выбора наилучшего из них. Они базируются на методах математического программирования, статистического моделирования, теории игр и др.

В зависимости от поставленных целей исследования, разработанной модели и видов проводимых исследований формируется информационная база маркетинговых исследований. Такой дисциплинирующий подход позволяет избежать нерационального расходования средств, затрачиваемых на получение необходимой информации, не имеющей отношения к конкретной проблеме, требующей решения. Объем данных, с которыми можно столкнуться, потенциально столь велик, что нередко могут возникать ситуации, при которых практически невозможно обработать всю полученную информацию и выделить из нее данные, необходимые для принятия правильных решений.

Работа по информационному обеспечению маркетинга проводится с использованием средств вычислительной техники и программных продуктов, позволяющих накапливать и хранить информацию и осуществлять определенные аналитические операции. Это позволяет упорядочить поток информации, поступающих как из внешних, так и из внутренних источников.

Таким образом, маркетинговые исследования являются интегральной частью потока информации, который необходим для принятия соответствующих решений. В рамках исследований, проводимых западными специалистами, он получил название маркетинговой информационной системы (МИС). МИС определяется как совокупность процедур и методов, разработанных для создания, анализа и распространения информации для опережающих маркетинговых решений на регулярной постоянной основе. Основное назначение данной системы - осуществление постоянного сбора информации из внешних и внутренних источников, ее обработка и представление лицам, осуществляющих управление маркетинговой деятельностью. МИС является также банком данных, где хранится маркетинговая информация.

Элементами системы маркетинговой информации выступают люди, средства вычислительной техники, программные продукты, позволяющие накапливать, обрабатывать и хранить информацию и определяющие процедуры, и технологию работы с информативными процессами. Их взаимодействие создает упорядоченный поток получаемой информации.

Успешность работы по сбору данных зависит от того, как изучены различные методы сбора информации, какие выбраны наиболее подходящие из них для конкретного исследования, отвечающие ее целям, как точно определены источники получения информации. Кроме того, должен выбираться (а в случае отсутствия разрабатывается) исследовательский инструментарий, с помощью которого собираются необходимые данные.

Методы сбора информации и разработка исследовательского инструментария (таблиц, форм, матриц, анкет, бланков и др.) определяются содержанием конкретного анализа, и зависит от основных источников получения информации. Последние формируют так называемые вторичные и первичные данные.

Вторичная информация (или косвенные данные) - это готовые данные (статистика опубликованных результатов, а также собственных исследований, проведенных исследований, проведенных ранее с другими целями). Для ее получения не нужны дополнительные исследования. Формирование базы данных на ее основе достаточно оперативно. Кроме того, они часто имеют несколько источников информации, что позволяет выявлять различные подходы, сопоставить данные. Основными источниками вторичной информации выступают внешние опубликованные правительственные и неправительственные результаты, статистические данные, а также внутренние - результаты собственных разработок. В число таких данных могут входить демографические показатели; статистические базовые данные экономической деятельности в разрезе страны, региона и отдельных предприятий; данные государственной статистики по текучести кадров, безработице, высвобождению, миграции, показатели службы занятости, правоохранительных и образовательных структур и т.п.

Получение первичных данных происходит на основе различных методов: наблюдения; опроса и анкетирования; групповых дискуссий; обзоров. Выбор конкретного метода определяется целями исследования, объемом и степенью достоверности требуемой первичной информации, а также с учетом бюджета средств, отпускаемых на данные цели.

Основные направления маркетинговых исследований в теории маркетинга разделяют на две основных группы в зависимости от предмета исследования:

Исследования микросреды (рынок) - исследования внутренних условий и механизмов функционирования предприятия\организации\компании. То есть это исследования непосредственного окружения предпринимателя, системы в которой он действует - потребителей, конкурентов, торговли, поставщиков, посредников по сбытовой деятельности и прочих партнеров по бизнесу

Исследования макросреды (экономическая ситуация в стране) - исследования внешних условий.

1.3 Способы организации, оценка эффективности, оформление результатов


Рис. 2 - Концепция проведения маркетингового исследования

Рис. 3 - Процесс проведения маркетингового исследования

Рис. 4 - Типовая схема поэтапного проведения маркетингового исследования

Для обработки полученных данных в результате маркетингового исследования используются различные методы количественного и качественного измерения. Количественные измерения и оценки связаны с экономико-статистическими и экономико-математическими методами обработки данных (трендовый, корреляционный и регрессионный анализ и др.).

Качественные исследования не позволяют получить статистические данные. Они выявляют лишь отношение потребителей к чему-либо (потребительским свойствам нового товара, упаковке и др.); восприятие, основанное на знаниях или эмоциях, предпочтение (например, относительно определенных марок товаров и т.п.). Поэтому способы измерения количественных показателей отличны от количественных измерений.

Качественные измерения и оценки основываются на методах одномерного и многомерного шкалирования. Одномерные методы шкалирования используются для «измерений в одном направлении», т.е. когда исследователь заранее знает, на базе каких качественных характеристик проводится сопоставление или дается оценка.

Итогом проведенного маркетингового исследования является разработка выводов и рекомендаций. Они должны непосредственно вытекать из результатов разработки, быть аргументированными и достоверными, направленными на решение исследуемых проблем.

Результаты маркетингового исследования могут быть представлены в виде либо краткого общедоступного изложения существа исследования, либо полного научного отчета. В нем в систематизированной и наглядной форме излагается схема исследования, и содержатся детально обоснованные выводы и рекомендации.

Глава 2. Метод экспертных оценок как база для оценки конкурентоспособности услуг предприятий торговли

.1 Содержание метода, варианты опросов, требования к экспертам

Методы экспертных оценок применяются как для количественного измерения событий в настоящем, так и для целей прогнозирования.

Предполагается, что эксперт основывает свое суждение на группе причинных факторов, действующих в рамках определенного сценария, оценивая вероятность их реализации и их вероятное влияние на изучаемый показатель, например уровень спроса. При этом данная казуальная структура неразрывно связана с личностью эксперта, так что другой эксперт, поставленный перед той же проблемой, может, используя ту же информацию, прийти к другим выводам.

Единодушие большинства экспертов не всегда является критерием достоверности оценок. Отсюда вытекает необходимость тщательного отбора экспертов. Дело в том, что при обсуждении многих вопросов, особенно нестандартных, например связанных с прогнозированием рыночной ситуации в нестабильных политико-экономических условиях, должны участвовать эксперты высокой квалификации. Прогнозы, составленные «средними» экспертами, будут основаны в лучшем случае на традиционных, привычных оценках, тогда как высококвалифицированные специалисты обнаружат и оценят скрытые факторы.

Используя экспертные оценки, предполагают, что при решении проблем в условиях неопределенности мнение группы экспертов надежнее, чем мнение отдельного эксперта, т.е. что две группы одинаково компетентных экспертов с большей вероятностью дадут аналогичные ответы, чем два эксперта. Предполагается также, что совокупность индивидуальных ответов экспертов должна включать «истинный» ответ.

Зачастую оценки экспертов не обладают достаточной устойчивостью, т.е. эксперт может одни и те же события при нескольких повторных экспертизах оценить по-разному. Чем устойчивее оценки, тем больше можно им доверять. Однако на практике повторная экспертиза вследствие организационных и финансовых трудностей применяется крайне редко.

Достоверность оценок можно повысить следующим образом. Нужно проанализировать данные о расхождениях экспертных оценок и их действительных значений, найденных в процессе реализации событий, и сделать соответствующие переоценки компетентности экспертов. В частности, поставив оплату труда экспертов в прямую зависимость от уровня их компетентности. Экспертов, обладающих низкой компетентностью, в дальнейшем не привлекать к проводимым экспертизам.

Наличие способа точного определения достоверности априорных оценок по существу предполагает знание истинных оценок, что одновременно исключает необходимость их определения.

При нахождении оценок экспертным путем помимо погрешности, вносимой недостатком информации о событиях и недостаточной компетентностью экспертов, возможна и погрешность совсем иного рода, обусловленная заинтересованностью экспертов в результатах оценки, что обязательно скажется на их достоверности. Наличие такого рода погрешности может значительно искажать оценки, вследствие чего необходимо предусмотреть соответствующие меры для устранения погрешности.

Одним из показателей, характеризующих пригодность эксперта, является степень его надежности. Под степенью надежности понимается относительная частота случаев, когда он приписывал более высокую вероятность тем событиям, которые впоследствии реализовывались. На этом основании считается, что чем чаще эксперт оказывался прав, тем выше его авторитет. Однако необходимо иметь в виду, что могут существовать обстоятельства, когда эксперт, несведущий в данном вопросе, дает правильный ответ с высокой степенью вероятности.

Применяются как индивидуальные, так и групповые (коллективные) экспертные опросы. Основными целями использования индивидуальных экспертных оценок являются:

прогнозирование хода развития событий и явлений в будущем, а также оценка их в настоящем (количественная и качественная оценка вероятности реализации определенного события в будущем, прогнозирование характеристик рынка и направлений их развития, определение целей и стратегий маркетинговой деятельности, ранжирование различных объектов и т.д.);

анализ и обобщение результатов, представленных другими экспертами;

составление сценариев;

выдача заключений на работу других специалистов или организаций (рецензии, отзывы, экспертизы и т.д.).

Отдельный эксперт в раде случаев может быть очень полезен как источник информации и как советник для руководителей, принимающих решения.

Даже в том случае, если работа выполнена одним экспертом, она может по существу обобщить мнения многих людей и дать крайне полезные исходные данные для анализа.

К числу групповых экспертных опросов относятся:

открытое обсуждение поставленных вопросов с последующим открытым или закрытым голосованием;

закрытое обсуждение с последующим закрытым голосованием или заполнением анкет экспертного опроса;

свободные высказывания без обсуждения и голосования. Групповые экспертные оценки могут быть получены при опросе экспертов как одной специальности, так и разных. В последнем случае экспертная оценка часто носит характер деловой игры.

Опыт показал, что традиционные методы обсуждения поставленных перед группой экспертов вопросов, относящиеся к первому типу экспертных опросов, до достижения определенного согласия между ними или до выработки общей позиции не являются наилучшими методами использования группы экспертов. Эти методы обсуждения страдают рядом недостатков, таких, как взаимное влияние мнений экспертов и нежелание участников обсуждения отказываться от точек зрения, ранее высказанных публично. Поэтому на практике при подготовке решений по широкому кругу вопросов находят все большее распространение второй и третий типы групповых экспертных оценок.

Второй тип групповых экспертных оценок можно подразделить на две категории: экспертный опрос, проводимый в один тур путем одноразового заполнения анкет, и проводимый в несколько туров путем многократного заполнения анкет экспертами с целью последовательного уточнения оценок.

Для отбора экспертов необходимо, во-первых, сформулировать критерии отбора (ответить на вопрос «Кто может выступать в качестве эксперта по данной проблеме?»), во-вторых, определить процедуры отбора (ответить на вопрос «Как установить соответствие эксперта необходимым требованиям?»). В качестве основных критериев отбора можно назвать следующие:

. Уровень компетентности эксперта в данной предметной области, показателями которого в совокупности являются:

уровень и профиль образования,

профиль работы (связь с данной предметной областью),

опыт работы по профилю (общий стаж работы по профилю и стаж работы непосредственно в данной предметной области),

уровень решаемых проблем (соответствие занимаемой должности характеру и уровню возникшей проблемы),

количество и качество ранее выполненных экспертиз, например, сбывшиеся прогнозы.

. Степень объективности и беспристрастности эксперта при анализе и оценке явлений в данной предметной области (незаинтересованность эксперта в принятии определенного решения).

. Умение работать в команде (это особенно важно для группового экспертного опроса), т.е.:

коммуникативные навыки,

способность к совместному творчеству,

гибкость ума и «незашоренность» взгляда,

нонконформизм.

При оценивании экспертов по названным критериям и выборе экспертов могут использоваться следующие процедуры:

. Самооценка экспертов по объективным параметрам.

. Взаимная оценка экспертов.

. Оценка экспертов независимыми специалистами.

. Оценка уровня компетентности экспертов с учетом качества ранее проведенных экспертиз (данная оценка производится самой исследовательской командой на основе анализа ретроспективных данных о работе эксперта).

Наиболее предпочтительным является отбор экспертов на основе независимой квалифицированной оценки с поправкой на качество ранее сделанных экспертиз.

Маркетинговый анализ и прогнозирование с помощью экспертов имеют как несомненные достоинства, так и достаточно ощутимые «узкие места». Среди достоинств следует особенно подчеркнуть возможность получения уникальной информации, которая не может быть почерпнута ни из каких других источников. Проблемы же экспертных опросов заключаются в следующем:

. Сложность организации экспертизы: отбора экспертов в достаточном количестве и «качестве» и проведения опроса.

. Сложность формирования окончательной экспертизы: согласования полученных данных, их анализа и интерпретации.

. Возможная субъективность экспертов: эксперты могут находиться в плену своих представлений и неохотно пересматривать свою точку зрения, даже если она неправильная.

. Возможное влияние на результат выбранной формы проведения экспертного опроса (при открытом опросе высока опасность конформизма).

. Высокая стоимость проведения опроса, т.к. высока как оплата труда экспертов, так и расходы на организацию, и проведение экспертизы.

В связи с дороговизной и сложностью проведения экспертного опроса выбор этого метода должен быть строго оправданным. Имеет смысл привлекать экспертов только для решения нетривиальных масштабных задач, для которых требуется получение независимой, объективной оценки ситуации, а также для выработки решений, которые не могут быть получены никаким другим способом.

2.2 Определение коэффициента согласия экспертов

При использовании экспертных методов (рангов и др.) мнения экспертов часто совпадают не полностью. Поэтому необходимо количественно оценивать меру согласованности мнений экспертов и определение причин несовпадения суждений. Мера согласованности, естественно, определяется на основе статистических данных всей группы экспертов.

Для оценки меры согласованности мнений экспертов используются, как правило, коэффициенты конкордации - дисперсионный и энтропийный.

Дисперсионный коэффициент конкордации принимает значения от 0 до 1. При 0 - нет согласованности между мнениями экспертов, при 1 - согласованность полная. Если дисперсионный коэффициент конкордации больше 0,5, то обычно согласованность считается достаточной.

Энтропийный коэффициент конкордации (иначе его называют коэффициентом согласия) также изменяется от 0 до 1 и также при большей величине коэффициента согласия - большая мера согласованности.

В случаях, когда мнения экспертов различаются незначительно, то указанные выше коэффициенты примерно дают одинаковую меру согласованности. Однако, если имеются существенные различия в мнениях экспертов, то величины коэффициентов будут существенно отличаться. Таким образом, совместный анализ коэффициентов позволяет объективно определить меру согласованности мнений экспертов.

Применение всех рассмотренных экспертных методов, несмотря на их недостатки, показывает их эффективность при исследованиях и проектировании.

К разновидности экспертного метода можно отнести социологический, который основывается на опросе, сборе и анализе мнений респондентов (например, фактических или потенциальных потребителей). Такой опрос и сбор мнений производится обычно в письменной форме - распространением анкет или устно (на конференциях, аукционах, выставках, в учебных заведениях и т.п.). При использовании этого метода также следует применять научно-обоснованные способы опроса, математические принципы сбора и обработки информации.

Обработка экспертных и социологических данных и расчеты мер согласованности требуют трудоемких вычислений. Поэтому следует шире использовать при проведении сбора и обработке результатов экспертной и социологической информации компьютерную технику. Возможности для этого есть, так как автоматизация проведения и обработки результатов подобного рода данных стала предметом создания ряда продуктов программного обеспечения.

Методики оценки уровня конкурентоспособности товара довольно широко известны и при необходимости применяются без особых затруднений. Однако до настоящего времени не существует разработанной методики оценки уровня конкурентоспособности предприятия, позволяющей четко и оперативно определять конкурентные позиции одного предприятия на товарном рынке по сравнению с другими. Мнения ученых в отношении терминологии конкурентоспособности весьма расходятся, поэтому до настоящего времени не существует даже общепризнанного понятия «конкурентоспособность предприятия». Отсутствует приемлемый набор показателей, который может быть положен в основу методики определения конкурентоспособности предприятия.

Возможным подходом к оценке уровня конкурентоспособности предприятия является применение аналитического и/или графического способов. Первый требует построения матрицы конкурентоспособности (таблица 1), второй - многоугольника конкурентоспособности (рис. 5).

Таблица 1 - Матрица конкурентоспособности предприятий

Синтезирующий фактор конкурентоспособности

Усредненная экспертная оценка

Ранг фактора

Интегрированный факторный показатель


предприятие


предприятия


№1

№2


№1

№2

Товар






Положение на рынке






Сбыт






Продвижение товара






Производство






Суммарная оценка






Коэффициент конкурентоспособности






Рис. 5 - Многоугольник конкурентоспособности

Предприятию, имеющему наибольший уровень конкурентоспособности, будет соответствовать многоугольник с максимальной площадью. Если проводить оси, на которых отражаются уровни значений каждого из исследуемых факторов под равными между собой углами, то достаточно легко можно рассчитать площадь каждого многоугольника по формуле:

=1/2sin360°/n(a1j·anj+Saij·ai+1y),

где aij - значение i-гo интегрированного факторного показателя по j-му предприятию, i =1,5; j=l,3; - количество анализируемых факторов конкурентоспособности, n=5.

Конкурентоспособность предложения определяет так называемую текущую конкурентоспособность предприятия. Для современных маркетинговых рынков свойственна конкуренция не самого товара, а того, чем он дополнительно снабжен в виде упаковки, услуг, рекламы, консультаций для клиентов, финансирования, особенностей поставки, услуг по складированию и прочих ценимых людьми вещами.

Понятие «предложение товара» существенно расширяет рамки учитываемых при анализе конкурентоспособности факторов, определяющих окончательный выбор покупателя. Предложение, таким образом, включает в себя продукт, цену и сопутствующие услуги, т.е. то, что определяет полезность (выгодность) приобретения для клиента.

Система показателей качества обслуживания покупателей на предприятиях розничной торговли (таблица 2).

Таблица 2 - Показатели качества обслуживания покупателей на предприятиях розничной торговли

Показатель

Способ оценки

Устойчивость и широта ассортимента

Коэффициент стабильности данного товара за определенный отрезок времени

Соблюдение технологии обслуживания покупателей

Соответствие фактической технологии обслуживания нормативам определенного типа магазина (коэффициент соответствия)

Издержки потребления

Средний объем затрат времени покупателей на ожидание обслуживания в часы пик (мин.)

Активность продажи товаров, профессиональное мастерство работников, обслуживающих покупателей

Уровень профессионального мастерства работников секций, отдела, смены, установленный на основе роста оценки профессиональной подготовки продавцов и материалов аттестации

Организация торговой рекламы и информации

Качество оформления витрин, выкладки товаров, наличие аннотаций на товары, правильное оформление ценников, информации

Предоставление покупателям услуг

Количество видов торговых и других услуг, оказываемых покупателям, и их соответствие предусмотренным стандартам предприятия

Завершенность покупки

Доля покупателей, совершивших покупки в общей численности покупателей, проявивших интерес к товару (за определенный отрезок времени)

Качество обслуживания, по мнению покупателей

Оценка качества торгового обслуживания по результатам опроса покупателей


Для повышения качества торгового обслуживания существенное значение имеет использование разнообразных и качественных услуг.

Глава 4. Определение коэффициентов весомости показателей, применяемых для оценки конкурентоспособности услуг предприятий розничной торговли на товарном рынке

.1 Выбор экспертов и проведение процедуры опроса по методу «Дельфи»

Другие названия метода: «Дельфийский метод», «Метод дельфийского оракула».

Авторы метода: О. Холмер, Т. Гордон и др. (США), 50-е годы XX в.

Цель метода - получение согласованной информации высокой степени достоверности от группы экспертов, т.е. повышение степени достоверности коллективных экспертных оценок.

При разработке метода была сделана попытка устранить противоречие, возникающее при организации работы группы экспертов. Так, если опрашивать их независимо друг от друга, то возможны отклонения в очень больших пределах, а если позволить экспертам взаимодействовать, обмениваться мнениями в процессе работы, то это может привести к появлению оценок, навязанных авторитетом коллег.

В методе «Дельфи» осуществляется процедура, обеспечивающая обмен информацией о доводах и ответах, без непосредственного взаимодействия экспертов друг с другом. Прямые дискуссии экспертов заменяются индивидуальными опросами, проходящими по определенной программе в несколько этапов. Метод «Дельфи» позволяет уменьшить влияние присущего экспертам конформизма, боязни спора с авторитетами, устранить возможные конфликтные ситуации, атмосферу эмоционального дискомфорта. Считается, что метод «Дельфи» наиболее применим, если к работе привлекаются эксперты, компетентные не по всей проблеме, а по ее различным составляющим.

Последовательность проведения экспертизы по методу «Дельфи»:

формирование постоянной рабочей группы, обеспечивающей сбор и обобщение мнений экспертов;

выбор необходимого для исследования количества и состава экспертов;

составление анкеты, в которой указываются основной и вспомогательный вопросы, условия проведения экспертизы;

проведение опросов экспертов согласно определенной методике;

обобщение экспертных заключений и выдача рекомендаций по исследуемой проблеме.

В соответствии с методом «Дельфи» группа экспертов должна включать 10-15 специалистов в данной области. Компетентность экспертов определяется путем анкетирования, анализом уровня реферирования (количества ссылок на работы данного специалиста), использованием листов самооценки.

Вопросы формулируются таким образом, что ответы на них обязательно должны даваться в количественной форме. Собранные ответы подвергаются статистической обработке. Полученные обобщенные ответы рассылаются каждому эксперту с просьбой пересмотреть и уточнить свое заключение, если он сочтет необходимым. Эта процедура должна повторяться несколько раз. Основные этапы опроса экспертов:

. Уточнение объекта опроса (модель объекта, список параметров модели, формулировка вопросов, состав группы экспертов) и получение новых мнений, рекомендаций, путей нового подхода к решаемой проблеме. На данном этапе используются вопросы открытого типа (качественные). Цель данного этапа - собрать всю объективную информацию об исследуемом объекте, процессе либо ситуации и выделить наиболее существенные характеристики и ограничения.

. Вероятностная оценка рабочей модели, ее характеристика, факторы, влияющие на нее и т.п. На этом этапе, как правило, получают от эксперта всю информацию, необходимую для выработки решения, но эта информация в ряде случаев не может быть использована из-за несогласованности экспертных оценок.

. Согласование оценок экспертов. В отличие от предыдущих этот этап может повторяться несколько раз, пока не будет достигнута достаточная согласованность мнений группы экспертов.

После каждого этапа производится сбор, статистическая обработка и анализ результатов опроса. Ответы группируются по признакам, производится упорядочение полученных оценок. Затем находятся медиана и размах - величина, измеряющая на числовой шкале расстояние, в пределах которого берутся оценки. Этот интервал содержит 50% всех оценок; он не включает в себя 25% самых высоких и 25% самых низких оценок (такой тип деления шкалы называется делением с помощью квартилей).

Перед каждым последующим этапом экспертов информируют о результатах предыдущего и в случае выхода их оценок за величину принятого размаха предлагают обосновать свое мнение (анонимно). С полученными данными знакомят всех экспертов и предлагают им пересмотреть, а при необходимости и исправить предыдущие ответы.

Результаты опроса обрабатываются и вновь доводятся до сведения всей группы экспертов с последующим пересмотром оценок. На практике достаточно, как правило, трех этапов для получения хорошо согласованных оценок экспертов.

4.2 Расчет коэффициентов весомости показателей

Коэффициент весомости - это показатель, характеризующий степень значимости отдельного показателя в общей сумме.

Коэффициенты весомости должны учитываться для всех показателей качества, ассортиментной характеристики и цены. Необходимость этого обусловлена неодинаковой степенью значимости данных показателей для различных товаров, а также для потребителей различных социальных групп. Так, для обеспеченных потребителей товаров особого спроса (ювелирных, меховых, одежно-обувных товаров, автомашин) наибольшую значимость имеют качество и престижность товарной марки, наименьшую - цена. Для малоимущих потребителей, наоборот, значимость цены выше, чем престижность товарной марки и даже качества. Поэтому для первых при оценке конкурентоспособности коэффициент весомости комплексного показателя качества может быть оценен 0,5, ассортиментной характеристики - 0,3, а цены - 0,2; для вторых - соответственно 0,3, 0,2 и 0,5.

Однако более достоверные коэффициенты весомости по каждому из указанных показателей, а также по единичным показателям качества должны определяться экспертным методом, в частности групповым опросом экспертов. При этом эксперты должны установить коэффициенты весомости первого и второго порядка.

К коэффициентам весомости первого порядка (К) относятся показатели, отражающие степень значимости индексов конкурентоспособности по показателям качества, ассортиментной характеристики и цены. Коэффициенты весомости второго порядка (К) представлены показателями, характеризующими степень значимости единичных показателей качества. При необходимости такие же коэффициенты могут быть определены для отдельных элементов ассортиментной характеристики товаров, выраженных с помощью балльной оценки. Однако при определении рангов ассортиментной принадлежности товаров необходимость введения для нее коэффициентов весомости отпадает, так как при ранжировании учитывается и степень значимости.

После оценки коэффициентов весомости и действительных значений показателей качества рассчитывается индекс конкурентоспособности анализируемого и базового товаров-конкурентов, применяя метод парного сравнения.

Глава 5. Оценка конкурентоспособности услуг предприятий розничной торговли на товарном рынке

.1 Выбор предприятий для оценки конкурентоспособности. Анализ качества предложения

Маркетинговый подход к определению конкурентоспособности предложения предприятия предполагает, что предложение конкурентоспособно, если оно имеет на данном потребительском сегменте одну или более потребительских характеристик, лучших, чем у товаров-аналогов (и данные характеристики признаются потребителями наиболее значимыми). Индикатором актуальности потребительской характеристики может являться, например, статистика вопросов покупателей, задаваемых при приобретении продукта. Потребители заинтересованы не в абсолютно лучшем по всем характеристикам продукте, а в том, который удачно сочетает качества, наиболее востребованные на данном сегменте рынка, и часто готовы поступиться отдельными характеристиками продукта ради улучшения других.

Все большее значение приобретают условия авансирования при покупке, скидки к цене, условия платежа и поставки, срок гарантийных обязательств, развитость сервисных сетей, качество и стоимость послегарантийного обслуживания. А условия эксплуатации и сервисного обслуживания для товаров длительного пользования становятся определяющими.

Для оценки предложения продукта целесообразно, прежде всего, выявить перечень характеристик, определяющих его значимость для потребителя целевого сегмента. Необходимо установить, для кого предназначен товар, когда и в каких ситуациях товар используется, насколько велико количество потенциальных потребителей и какие характеристики их интересуют в первую очередь. Эти вопросы обычно решаются в ходе процедуры сегментирования рынка и выбора стратегии позиционирования предприятия. Выявляемые характеристики принципиально не зависят от возможностей только одного отдельного производителя. Они являются отраслевыми и определяются текущими возможностями всей отрасли и, возможно, некоторым влиянием смежных отраслей. Кроме того, значимость указанных характеристик в большинстве случаев определяется их субъективным восприятием потребителем. Поэтому весьма важным является описание характеристик конкурентоспособности в терминах, которые отражают эту значимость для целевого потребителя, причем как на стадии выбора товара, так и в процессе пользования.

Перечень характеристик позволяет сформировать систему требований, предъявляемых целевыми покупателями к качеству предложения рассматриваемого продукта. Такая система требований является основой для сравнительной оценки предложений различных предприятий. Методы многокритериальной оптимизации позволяют сформировать интегральный показатель, отображающий вектор характеристик в скалярную величину, удобную для сравнения.

5.2 Анализ качества обслуживания

Проблема качества обслуживания постоянно волнует покупателей и продавцов по вполне закономерным причинам. Растет материальное благосостояние людей среднего класса, повышается их культурный уровень, выделился слой довольно зажиточных людей, и в этих условиях вполне естественно желание покупателей приобретать необходимые, качественные товары при качественном обслуживании. Кроме того, качество торгового обслуживания является инструментом в конкурентной борьбе. Поэтому в условиях рыночной конкуренции большое значение уделяется качеству торгового обслуживания, так как от него зависит эффективная торговая деятельность любого предприятия, основным показателем которой является размер прибыли.

Торговое обслуживание - это, с одной стороны, обслуживание потребителей, предоставление услуг, непосредственно направленных от человека к человеку, а с другой - это обслуживание материального характера, которое направлено не на человека, а на перемещение предметов (товаров) и косвенно воздействует на население, как на потребителей в целом, так и конкретно на каждого человека.

Эти формы торгового обслуживания имеют моральное содержание и моральное влияние, поскольку непосредственно касаются людей.

Торговое обслуживание начинается для покупателей, входящих в торговый зал, с улыбки продавца, чистоты и порядка, изобилия товаров в магазине. Покупателю приятно, когда для него созданы красивый экстерьер и интерьер, организован сервис дополнительных услуг и т.д.

Торговое обслуживание включает в себя такие понятия, как «качество торгового обслуживания», «культура торговли», «культура обслуживания», «уровень обслуживания», в основе которых лежит забота о покупателе. Ему должна быть предоставлена возможность с наименьшими затратами времени и наибольшими удобствами приобрести в магазине необходимые товары. Качество торгового обслуживания находится в полной зависимости от достигнутого уровня производства предметов потребления в стране и имеющихся ресурсов для его удовлетворения; оно выражается в количестве и качестве товаров, условиях их приобретения, затратах времени покупателей и качестве услуг, культуре обслуживания.

Большинство ученых, оценивая качество торгового обслуживания, рассматривают его, исходя из затрат времени на приобретение товаров и условий, в которых покупатель совершает покупку. Качество торгового обслуживания, по их мнению, определяется или как «минимальное время, затраченное на приобретение товаров, и комфорт обслуживания», или как «целый комплекс торгового обслуживания от формирования потребностей на изделие до окончательной подготовки его потребителю», или как «оптимизация затрат для покупателей и для сферы обслуживания».

Под качеством торгового обслуживания нами подразумевается создание на конкретном торговом предприятии наиболее благоприятных условий для выбора и приобретения товаров населением и оказание предусмотренных услуг. Качество торгового обслуживания зависит от уровня культуры торгового персонала, от степени его профессионализма, знания персоналом магазинов психологии покупателей.

Для повышения качества торгового обслуживания существенное значение имеет использование разнообразных и качественных услуг. Качество торгового обслуживания как характеристика деятельности отдельного предприятия оценивается следующей системой показателей:

Устойчивость и широта ассортимента товаров. Покупатели предпочитают посещать магазины, предоставляющие ему самый широкий ассортимент товаров, расположенные по пути движения покупательских потоков. Продовольственные товары, как правило, приобретаются по дороге домой. Это обстоятельство следует учитывать при определении ассортиментного перечня в магазинах различной специализации. От устойчивости и полноты ассортимента во многом зависит время, которое затрачивается покупателем для приобретения необходимого товара. Полнота и стабильность ассортимента способствуют популярности магазина, росту сбыта, валовых доходов и прибыли.

Соблюдение технологии обслуживания покупателей, предусмотренной согласно типу, стандарту, лицензией и т.д. Основополагающими требованиями рациональной технологии торгового обслуживания являются: своевременность приемки товаров, тщательность подготовки их к продаже, рациональность размещения в соответствии с особенностями товаров, пополняемость товарного запаса в соответствии со спросом покупателей, соблюдение условий хранения и продажи товаров, организация доставки товаров покупателю.

Издержки потребления отражают затраты времени покупателя на приобретение товара. Их можно классифицировать следующим образом: затраты времени на дорогу в магазин и обратно; затраты времени на повторное посещение магазина или других магазинов в случае отсутствия необходимого товара; затраты времени на ожидание, ознакомление, с товаром и его отбор; расчет за покупку и получение выбранного товара.

Чем шире ассортимент, тем больше времени занимает ознакомление и выбор товара. Вместе с тем по мере изучения технических средств рекламы и организационных форм показа товара, а также повышения качества консультаций время, затрачиваемое на выбор товара, уменьшается. Множество конфликтных ситуаций возникает из-за длительного пребывания покупателей в очередях. Как показывают исследования, люди, находясь в очередях более пяти минут, становятся раздражительными, а те, кто не имеет запаса времени, покидают магазин, не совершив нужной покупки. В результате покупатель теряет время, а магазин доходы, что снижает прибыльность магазина.

Активность продажи товаров, профессиональное мастерство работников. Здесь следует оценить знание продавцом товара, его полезности; знание правил эксплуатации товара и способов его потребления; тонкое понимание психологии покупателей; искусство демонстрации и предложения товаров; умение рекламировать товар и предложить сопутствующие и взаимозаменяемые товары; скорость обслуживания; вежливость и уважение по отношению к покупателю.

Организация торговой рекламы и информации, которые помогают покупателю выбрать товар или услугу, ориентироваться в торговом зале. Информация о правилах продажи товаров, их размещении, ценах, полезности, получение необходимой покупателю консультации оказывают помощь покупателю не только в выборе товаров, но и способствуют сокращению издержек потребления.

Предоставление покупателям дополнительных услуг.

Завершенность покупки, которая напрямую связана с уровнем сервисного обслуживания.

Мнение покупателей об уровне торгового обслуживания. Это обобщающий показатель. Оценка осуществляется путем опросов покупателей, периодичность которых определяется типом магазина и целью опроса. Качество торгового обслуживания как характеристика деятельности отдельного предприятия определяется как система показателей.

Зарубежные источники исследования качества обслуживания покупателей выделяют покупательский сервис как третий элемент торговли - микс, входящий в управление магазином, - это набор действий и программ, направленных на улучшение процесса совершения покупки. В них мы встречаем социологическое исследование, по которому 81% торговых фирм согласны с утверждением, что важнейшим элементом розничной торговли является высокий уровень обслуживания покупателей.

Спрос на высококачественный покупательский сервис постоянно растет. Покупатели предпочитают совершать покупки в приятной, спокойной и беззаботной атмосфере и не имеют времени на длительные поиски товара. Высокий уровень сервиса торговых предприятий позволяет им достичь устойчивых конкурентных преимуществ. Высококлассное обслуживание позволяет увеличить число лояльных покупателей, когда потребители становятся постоянными посетителями магазина, что положительно влияет на имидж фирмы. Если обратиться к долгосрочной перспективе, то высокий уровень сервиса неожиданно оборачивается уменьшением издержек магазина. Так, по оценке Института потребительского сервиса, приобретение нового покупателя обходится в пять раз дороже, чем заключение повторных сделок с постоянными клиентами, т.е. удовлетворение потребностей постоянных покупателей, увеличение объема продаж лояльным клиентам требуют существенно меньших затрат, чем привлечение потенциальных потребителей.

При оценке сервиса в розничной торговле покупатели сравнивают свое восприятие предоставленных им услуг с тем, что они ожидали увидеть. Если желания и действительность совпадают, они испытывают удовлетворение. Если сервис оказывается хуже или требования покупателей возрастают, а уровень сервиса остается неизменным, то общий уровень удовлетворенности покупателей снижается и покупатели испытывают разочарование.

Определяющее влияние на восприятие покупателями уровня обслуживания оказывает фактическое качество услуг со стороны сотрудников магазина.

Во многих ситуациях покупатели не нуждаются в предлагаемых магазином услугах. Они приняли решение о покупке конкретной вещи, и их единственная цель - быстрее найти нужный товар и заплатить за него. В таких случаях магазин должен обеспечить доступ «целеустремленного» покупателя к плану-схеме торговых залов и установить на его пути к нужному отделу знаки с указателями, информацию и сократить время оформления покупки.

Основные положения управления качеством касаются сферы промышленного производства. Однако особенности услуг и специфика деятельности сервисных организаций, в том числе и предприятий розничной торговли, лежат в основе разработанного подхода, выделяющего управление качеством услуг в сферу, не связанную с управлением осязаемыми продуктами:

потребителям труднее определить качество услуг, чем качество товаров;

качество услуги является результатом сравнения ожиданий потребителя и реального уровня предоставления услуги;

оценка качества услуги происходит как на основании результата, так и процесса предоставления услуги.

Из этих трех положений видно, что ключевым моментом определения качества услуг являются мнение покупателя, его удовлетворение и восприятие полученной услуги. Именно эта предпосылка лежит в основе распространенных в настоящее время концепций определения качества услуг. В соответствии с этим большинство ученых сходятся во мнении, что в случае услуг нельзя говорить об объективном качестве, а лишь воспринятом (потребителем).

5.3 Определение среднего индекса цен. Расчет конкурентоспособности

Существует несколько методик оценки конкурентоспособности, применяемых в практике работы предприятий или предлагаемых некоторыми авторами как научные разработки.

. Методика оценки конкурентоспособности товаров по объему их продаж. Сущность этой методики основана на косвенном измерении конкурентоспособности по объему продаж. При этом делается предположение, что объем продаж конкурентных товаров, свидетельствует о потребительских предпочтениях и поэтому может служить критерием конкурентоспособности. Кроме того, маркетинговые службы торговых организаций используют и другие косвенные показатели конкурентоспособности: уровень реализации и скорость розничной продажи.

Единственным достоинством этой методики является относительная простота и доступность. К недостаткам относится невозможность применения для оценки межфирменных товаров-конкурентов, так как отсутствуют достоверные данные об объеме продаж конкретных товаров у фирм-конкурентов. Поэтому сфера применения этой методики ограничена внутрифирменной конкуренцией товаров. К тому же ее достоверность невелика, так как массовость продаж может объясняться не сильной конкурентоспособностью товаров, а - слабой конкурентной средой и отсутствием или недостаточностью товаров-конкурентов.

. Определение комплексного показателя конкурентоспособности по методике Долинской М.Г. и Соловьевой И.Н. согласно которой расчет конкурентоспособности осуществляется через несколько последовательных операций.

.1. Определение единичных показателей конкурентоспособности (q.) как отношение величины 1-го параметра для анализируемого товара (Р) к величине 1-го параметра базового образца (Р10).


.2. Из формул (1) и (2) выбирается та, согласно которой рост показателя соответствует улучшению параметра показателей. Далее рассчитывают групповые показатели (индексы) конкурентоспособности (Imn), которые характеризуют соответствие товара потребности в нем.

 (3)

где п - число технических параметров, участвующих в оценке;- вес г-го параметра в общем наборе;- единичный показатель по г-му техническому параметру;- групповой показатель конкурентоспособности по потребительским параметрам не должен превышать 100%.

.3. Расчет уровня конкурентоспособности (К) с помощью групповых показателей по одной группе параметров:

(4)

где Imn (1), Imn (2) - показатели конкурентоспособности |для первого и второго товаров-конкурентов.

.4. Расчет групповых показателей конкурентоспособности по экономическим критериям, которые характеризуются через затраты потребителя на приобретение, послепродажную деятельность и эксплуатацию (потребление) товара в течение всего срока службы (годности).

.5. Определение интегрального показателя конкурентоспособности (К) товара по отношению к образцу (базовому товару) по формуле:

(5)

где С - групповой показатель конкурентоспособности по экономическим параметрам.

Достоинством указанной методики является комплексный подход при оценке конкурентоспособности, а недостатком - отсутствие учета степени значимости разных потребительских и экономических параметров.

. Методика оценки интеграционного показателя уровня конкурентоспособности предложена Андреевой О.Д. и предусматривает следующие операции.

.1. Расчет цены потребления (ЦП), которая складывается из цены рынка и расходов, связанных с эксплуатацией изделия в период его жизнедеятельности:

ЦП = Ц1+Р2+С3+С4+С5+Р6+Р7+Р8+О9+С10+С11 (6)

где Ц1 - цена рынка;

Р2 - расходы на транспортировку;

С3 - стоимость установки;

С4 - стоимость хранения;

С5 - стоимость технической информации и прочей документации;- расходы по обслуживанию изделия;

Р7 - расходы на топливо и электроэнергию;- расходы на ремонт;

О9 - оплата налогов, таможенных расходов и сборов;

С10 - стоимость страхования;

С11 - стоимость утилизации.

.2. Расчет показателя конкурентоспособности (К):


где Q - качество товара;

С - качество послепродажного обслуживания или сервиса.

.3. Определение уровня конкурентоспособности как относительного показателя, отражающего отличие анализируемого товара от товара-конкурента по степени удовлетворения конкретной общественной потребности.

Все параметры, характеризующие уровень конкурентоспособности, Андреева О.Д. подразделяет на три группы: нормативные (патентная чистота, соответствие стандартам и нормам), технические и экономические. Учет нормативных параметров предлагается обеспечить путем введения специального показателя, который соответствует обязательным нормам и стандартам (при соответствии показатель равен 1, при несоответствии - 0). Общий показатель по нормативным параметрам (Iнп) представляет собой произведение частных показателей по каждому из них. Если хотя бы один из параметров будет равен 0, Iнп = 0, что свидетельствует о не конкурентоспособности товаров.

Достоинством этой методики является учет трех важнейших параметров (критериев) конкурентоспособности: качества товаров и послепродажного обслуживания, а также цены потребления. К недостаткам относится сокращение области применения указанного способа до оценки только товаров, обладающих разной ценой потребления. Однако ранее отмечалось, что не все товары обладают ею (например, многие продукты питания).

. В связи с тем, что ранее предложенные методики оценки конкурентоспособности, основанные на измерениях по шкале отношений и расчетном методе, наряду с достоинствами имеют и определенные недостатки, рассмотрим четвертую комплексную методику оценки конкурентоспособности товаров. При ее разработке были учтены достоинства изложенных второй и третьей методик, а также основные принципы (комплексность, относительность) и показатели (качество, ассортимент, цена), характеризующие конкурентоспособность.

. Расчет интегрального индекса конкурентоспособности товаров осуществляется в несколько этапов.

.1. Расчет единичных индексов конкурентоспособности по показателям качества, выбранным на втором этапе (операция 2.1).

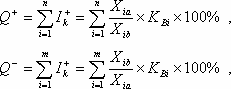
(8)

где lк+ - единичный индекс конкурентоспособности по каждому выбранному показателю, улучшающему качество и увеличивающему конкурентные преимущества;.к- - единичный индекс конкурентоспособности по каждому выбранному показателю качества, снижающему качество и отражающему слабые стороны товара;- действительное значение 1-го показателя качества анализируемого товара;

Хib - действительное значение показателя качества базового товара-конкурента;

КBi - коэффициент весомости 1-го показателя качества.

.2. Расчет группового индекса по показателям (n), улучшающим качество и усиливающим конкурентные преимущества товаров (Q+), и группового индекса по показателям (m), снижающим качество и составляющим слабые стороны товара (Q -).

(9)

Обобщенный групповой индекс по показателям качества товаров-конкурентов (Q) определяется как сумма Q+ и Q -.

= Q+ + Q -(10)

.3. Расчет индекса конкурентоспособности по ассортиментным характеристикам товаров, определяющим степень их привлекательности по сравнению с товаром-конкурентом (Ia).

При ранжировании ассортиментной принадлежности товаров и установлении рангов анализируемого (Ra) и базового (Rb) товара расчет производится по формуле:

(11)

При балльной оценке привлекательности торговой марки и/или страны происхождения Ra и Rb выражаются соответственно в баллах.

.4. Расчет индекса конкурентоспособности по экономическим показателям (I).

(12)

где Сa и Сb - цены на анализируемый и базовый товары.

.5. Расчет интегрального индекса конкурентоспособности (IK) анализируемого товара по отношению к базовому:

(13)

где Квк - коэффициент весомости качества;

Ква - коэффициент весомости ассортиментной характеристики;

Квс - коэффициент весомости цены.

Приведенная формула расчета интегрального уровня конкурентоспособности отличается от ранее предложенных тем, что в ней степень значимости каждого выбранного показателя конкурентоспособности учитывается путем определения соответствующих коэффициентов весомости. Рассчитанные интегральные индексы конкурентоспособности нескольких анализируемых товаров могут быть использованы для определения их конкурентных преимуществ (КП) по разности индексов конкурентоспособности.

КП = IK1, - IK2(14)

Можно определить и коэффициент конкурентного преимущества:

(15)

Коэффициент конкурентного преимущества - относительный показатель, характеризующий степень привлекательности для потребителей одного анализируемого товара по отношению к другому.

Заключение

Проведенный анализ литературных источников по интересующему нас вопросу, позволяет сделать следующие выводы:

Определяющим признаком современной экономики является обмен товаров на деньги. Путь от производства товара до его применения или использования привел к формированию функции торговли. Первоначально под маркетингом понималось не что иное, как продажа товаров, т.е. выполнение функции распределения. Сегодня маркетинг понимается шире и служит использованию преимуществ конкуренции.

Для успешного сбыта предприятию оптовой торговли необходимо знать желания и потребности покупателя. Чем точнее и обширнее информация, тем лучше можно узнать потребности покупателей и, соответственно, тем лучше провести планирование и снизить риск на рынке.

Исследователь рынка занимается изучением вопросов положения предприятия или товара на рынке (развития конъюнктуры по отраслям).

Маркетинговое исследование - это систематическое и объективное выявление, сбор, анализ, распространение и использование информации для повышения эффективности и решения маркетинговых проблем. Маркетинговые исследования связывают предприятие с внешней средой, позволяя предприятию, а в особенности специалистам маркетинговой службы, ориентироваться на рынке и разрабатывать эффективные программы маркетинга, грамотно сочетающие все элементы «маркетинга-микса».

Основные направления маркетинговых исследований в теории маркетинга разделяют на две основных группы в зависимости от предмета исследования: исследования микросреды (рынок) - исследования внутренних условий и механизмов функционирования предприятия\организации\компании; исследования макросреды (экономическая ситуация в стране) - исследования внешних условий.

Для обработки полученных данных в результате маркетингового исследования используются различные методы количественного и качественного измерения. Итогом проведенного маркетингового исследования является разработка выводов и рекомендаций.

Методы экспертных оценок применяются как для количественного измерения событий в настоящем, так и для целей прогнозирования. Применяются как индивидуальные, так и групповые (коллективные) экспертные опросы. Для отбора экспертов необходимо, во-первых, сформулировать критерии отбора (ответить на вопрос «Кто может выступать в качестве эксперта по данной проблеме?»), во-вторых, определить процедуры отбора (ответить на вопрос «Как установить соответствие эксперта необходимым требованиям?»). Для оценки меры согласованности мнений экспертов используются, как правило, коэффициенты конкордации - дисперсионный и энтропийный.

Возможным подходом к оценке уровня конкурентоспособности предприятия является применение аналитического и/или графического способов. Первый требует построения матрицы конкурентоспособности, второй - многоугольника конкурентоспособности.

В методе «Дельфи» осуществляется процедура, обеспечивающая обмен информацией о доводах и ответах, без непосредственного взаимодействия экспертов друг с другом. Последовательность проведения экспертизы по методу «Дельфи»: формирование постоянной рабочей группы, обеспечивающей сбор и обобщение мнений экспертов; выбор необходимого для исследования количества и состава экспертов; составление анкеты, в которой указываются основной и вспомогательный вопросы, условия проведения экспертизы; проведение опросов экспертов согласно определенной методике; обобщение экспертных заключений и выдача рекомендаций по исследуемой проблеме.

В соответствии с методом «Дельфи» группа экспертов должна включать 10-15 специалистов в данной области. Компетентность экспертов определяется путем анкетирования, анализом уровня реферирования (количества ссылок на работы данного специалиста), использованием листов самооценки.

Коэффициент весомости - это показатель, характеризующий степень значимости отдельного показателя в общей сумме. Коэффициенты весомости должны учитываться для всех показателей качества, ассортиментной характеристики и цены. К коэффициентам весомости первого порядка (К) относятся показатели, отражающие степень значимости индексов конкурентоспособности по показателям качества, ассортиментной характеристики и цены. Коэффициенты весомости второго порядка (К) представлены показателями, характеризующими степень значимости единичных показателей качества. При необходимости такие же коэффициенты могут быть определены для отдельных элементов ассортиментной характеристики товаров, выраженных с помощью балльной оценки.

Рассмотренная оценка конкурентоспособности предприятий розничной торговли на товарном рынке является инструментом оценки эффективности хозяйственной деятельности, применение которого возможно как в теоретических исследованиях, так и в практике экономического анализа.

Библиографический список

1.    Валигурский Д.И. Организация предпринимательской деятельности. - М.: Дашков и Ко, 2005 - 737 с.

2.      Гордон Я.Х. Целевая конкуренция / Пер. с англ. С. Жильцов, И.Малкова, Е.Федорова. - М.: Вершина, 2006. - 368 с.

.        Дойль П. Маркетинг-менеджмент и стратегии. 3-е изд. / Пер. с англ. Ю.Н. Катуревского. - СПб.: Питер, 2002 - 544 с.

.        Забелин П.В. Основы стратегического управления. - М.: Маркетинг, 1997. - 195 с.

.        Котлер Ф. Маркетинг менеджмент - СПб: Питер, 2000. - 752 с.

.        Ланкастер Д., Джоббер Д. Продажа и управление сбытом / Пер с англ. Л.В. Измаиловой - М.: Амалфея, 1999. - 384с.

.        Ламбен Ж.Ж. Стратегический маркетинг. Европейская перспектива. - СПб.: Наука, 1996. - 547 с.

.        Малых В.В. Управление маркетингом торговой фирмы. - М.: «Экзамен», 2000. - 192 с.

.        Моррисон Д. Маркетинг со скоростью мысли. - М.: ЭКСМО-Пресс, 2002. - 448 с.

.        Ноздрева Р.Б., Крылова Г.Д. Маркетинг: Учебник, практикум и учебно-методический комплекс по маркетингу. - М.: Юрист, 2000. - 568 с.

.        Никишкин В.В., Цветкова А.Б. Особенности комплекса маркетинга в торговых предприятиях // Маркетинг в России и за рубежом. - 2008.- №6. - С.38-41.

.        Нижальская Н.И. Методические основы оценки и обеспечения конкурентоспособности торговой организации: автореферат дис. канд. экон. наук. - Новосибирск, 2007. - 20 c.

.        Портер М. Конкуренция. - М.: Вильямс, 2005. - 608 с.

.        Романов А.Н., Корлюгов Ю.Ю. Маркетинг. - М.: Банки и биржи, ЮНИТИ, 2006. - 560 с

.        Эванс Дж., Р.Берман Б. Маркетинг. - М.: Сирин, 2002. - 308 с.

Похожие работы на - Особенности конкурентоспособности услуг предприятий розничной торговли на товарном рынке

 

Не нашли материал для своей работы?
Поможем написать уникальную работу
Без плагиата!
Без нейросетей!