Оценка конкурентоспособности товара и разработка стратегии маркетинга предприятия

  • Вид работы:
    Курсовая работа (т)
  • Предмет:
    Маркетинг
  • Язык:
    Русский
    ,
    Формат файла:
    MS Word
    180,75 Кб
  • Опубликовано:
    2013-08-22
Вы можете узнать стоимость помощи в написании студенческой работы.
Помощь в написании работы, которую точно примут!

Оценка конкурентоспособности товара и разработка стратегии маркетинга предприятия













Курсовая работа по дисциплине «Маркетинг»

на тему «Оценка конкурентоспособности товара и разработка стратегии маркетинга предприятия»

Содержание.

Введение

Глава I. Общие понятия конкуренции и оценки конкурентоспособности, услуги, формировании цены на нее

.1 Понятие конкурентоспособности, методика ее анализа

.2 Общее понятие услуги, формирование ценовой политики

Глава II. Разработка маркетинговой стратегии на примере маникюрного салона ООО « SPANail’s»

.1 Разработка миссии фирмы и стратегических (целевых) ориентиров

.2 Анализ и оценка внутренней среды деятельности

.3 Определение стратегии фирмы

Заключение

Список используемой литературы

Приложение 1

Введение.

Понятие «маркетинг» включает многие виды деятельности компании. Это вид человеческой деятельности, направленный на изучение потребностей людей, создание товаров и услуг под эти потребности, а это происходит на рынке, отличными от конкурентов способами удовлетворения потребностей людей. Это постоянный процесс, целью которого является анализ настоящего и потенциального рынков продукции, выпускаемой в настоящее время и в будущем, а также координация и планирование объёма выпускаемой продукции в условиях изменяющегося и развивающегося рынка. Маркетинг рассматривается как деловая активность, посредством которой поток товаров и услуг направлен от производителя к потребителю.

В данной курсовой работе приведены результаты исследования конкурентоспособности услуг для ООО «SPANail’s» и меры, которые необходимо принять для ее повышения.

В первой части курсовой работы рассмотрены теоретические аспекты конкурентоспособности продукции, такие как само понятие конкурентоспособности, методы ее расчета, а также общее понятие услуги и формирование ценовой политики.

Во второй части курсовой работы была разработана стратегия развития и повышения конкурентоспособности услуг для ООО «SPANail’s». Для определения стратегии была разработана миссия фирмы, ее философия, основные ценности и целевые ориентиры. Кроме этого были рассмотрены основные возможности и способы осуществления деятельности, желательный имидж организации.

В данной части приведены результаты исследования мнения потребителей об уровне конкурентоспособности услуг, предлагаемых ООО «SPANail’s». Для определения стратегических (целевых) ориентиров были выделены основные сегменты потребителей данной продукции, проведен анализ и оценка внутренней среды ООО «SPANail’s» и определена стратегия развития данной фирмы.




Глава I. Общие понятия конкуренции и оценки конкурентоспособности, услуги, формировании цены на нее

.1 Понятие конкурентоспособности, методика ее анализа

Под конкурентоспособностью подразумевается все то, что обеспечивает преимущество товару (услуге) на рынке, содействует его продвижению в условиях конкуренции.

Конкурентоспособность - свойство продукта (услуги), которое имеет определенную долю соответствующего релевантного рынка и характеризует степень соответствия функциональных, экономических, организационных и других характеристик объекта требованиям потребителя.

Основой для оценки конкурентоспособности товара (услуги) должно являться комплексное исследование рынка методами современного маркетинга, что позволит не просто определить некоторый абстрактный «базовый образец», но и правильно оценить место анализируемого объекта на данном рынке в сопоставлении с аналогичными оценками реальных и возможных субъектов рынка.

Конкурентоспособность - это важная рыночная категория, отражающая одно из важнейших свойств рынка - его конкурентность. При неизменных качественных характеристиках услуги его конкурентоспособность может изменяться в достаточно широких пределах, реагируя на различные факторы, определяемые конкурентной средой предприятия сферы услуг.

Проблема анализа и оценки конкурентоспособности услуги должна включать решение следующих проблем:

изучение запросов и предпочтений потенциальных покупателей;

организация мониторинга рынка с целью сбора информации об условиях сбыта услуги, фирмах и товарах-конкурентах;

разработка единой системы показателей качества товара (услуги), используемого как ее производителем, так и потребителем;

конструирование обобщенной модели исследуемой проблемы, в том числе формирование множества факторов, влияющих на конкурентоспособность, и определение их взаимосвязей;

формирование общих подходов к количественной оценке конкурентоспособности товара (услуги), разработка частных методов, алгоритмов и процедур решения задач, относящихся к данной проблеме;

Исследование конкурентоспособности ориентировано на изучение рыночной среды и позиции конкурентов.

Понятие «конкурент» весьма многослойно, предполагает как минимум несколько уровней широты его применения. Рассмотрим эти уровни последовательно для сферы услуг красоты.

Прежде всего, это другие учреждения (салоны), производящие такие же услуги, обеспечивающие аналогичные дополнительные услуги и назначающие те же цены.

Несколько более широким становится круг конкурентов, если в него включаются другие фирмы, причем не обязательно фирмы, оказывающие такие же услуги или услуги подобного класса, хотя и по другим ценам или с другими условиями их оказания. Так, крупные предприятия с развитой системой подготовки, переподготовки и повышения квалификации кадров могут оказывать услуги не только своим работникам, но и сторонним организациям и личностям.

Конкурентом также может быть признана любая фирма, производящая продукцию, которая позволяет удовлетворить те же потребности, что и наши услуги, в частности это могут быть производители средств по домашнему уходу за собой. К числу таких конкурентов, безусловно, относятся тематические образовательные каналы и передачи радио и телевидения, интернет курсы.

Опосредованное, но сильное влияние на конкурентную ситуацию на рынке услуг красоты оказывают и фирмы, которым удается с помощью своей продукции (чаще всего услуг) видоизменять потребность в услугах красоты и процессы удовлетворения этой потребности. В такой роли выступают фирмы - продавцы технологий, патентов и ноу-хау, а также фирмы, предлагающие в аренду («напрокат») менеджеров и других специалистов, уже обладающих нужными потребителю знаниями и умениями.

Наконец, в самом широком смысле конкурентами для услуг красоты, особенно в условиях фактического спада платежеспособного спроса, становятся любые фирмы, претендующие на бюджет потребителя.

Методика анализа конкурентоспособности продукции показана на рисунке 1.

Рис. 1. Разработка мер по повышению конкурентоспособности.

Оценка способности товара конкурировать производится путем сопоставления параметров анализируемой продукции с параметрами базы сравнения, так как конкурентоспособность товара или иного объекта - понятие относительное, т.е. о нем можно говорить только при сравнении с другим объектом. За базу сравнения принимается либо потребность покупателя, либо образец. Обычно образец - это аналогичный товар, имеющий максимальный объем продаж и наилучшую перспективу сбыта в будущем.

К техническим параметрам относят:

классификационные, определяющие принадлежность изделия к определенному техническому классу (например, объем двигателя);

конструктивные, отражающие технико-конструктивные решения, воплощенные в продукции (например, ремонтопригодность);

нормативные, показывающие соотношение продукции к стандартам, нормам, техническим условиям (могут принимать значение или 0, или 1);

эргономические параметры (соответствие рабочего места);

эстетические (соответствие моде, национальным традициям);

экологические;

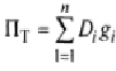
Для расчета конкурентоспособности товара по техническим параметрам (1-й этап) используют следующую формулу:

, где    

Di - коэффициент значимости параметра;- технический уровень оцениваемого изделия относительно товара-аналога (gi=Роцен/Pконк);- количество оцениваемых технических параметров;

Роцен - величина параметра оцениваемого изделия;конк - величина параметра изделия-аналога;

Если Пт > 1, то оцениваемое изделие по техническим характеристикам превосходит базовый образец.

Экономические параметры. Основным экономическим параметром является не цена продажи, а цена потребления, которую характеризуют следующие параметры:

транспортные затраты до места эксплуатации;

стоимость монтажа;

эксплуатационные расходы;

послегарантийный сервис;

утилизация после выработки ресурса;

В технически сложной продукции цена продажи должна составлять не более 20% от цены потребления.

Для расчета конкурентоспособности товара по экономическим параметрам (2-й этап) используют следующую формулу:

 ,где

Sпотр.оцен - цена потребления оцениваемого изделия;потр.конк - цена потребления изделия-аналога;

Если Пэ > 1, то оцениваемое изделие уступает по стоимостным характеристикам базовому образцу.

Для расчета интегрального индекса конкурентоспособности используется формула:

, где

Пт - индекс технической конкурентоспособности;

Пэ - индекс экономической конкурентоспособности;

Иногда параметры продукции не имеют физической меры. В этом случае для оценки этих характеристик используются методы оценки в баллах.

Другим методом оценки конкурентоспособности являются рейтинги (например, «Рейтинг устойчивости банков», «Рейтинг популярности фирменного имени»). Рейтинг - это инструмент оценки одного фигуранта рынка относительно другого. Точный рейтинг по определенным критериям - необходимая и важная информация для принятия финансовых и маркетинговых решений.

.2 Общее понятие услуги, формирование ценовой политики

Услуга - это продукт труда, выражающийся в материальной форме, полезном эффекте или удовлетворении, которые являются объектом купли-продажи.

Услуга - это изменение состояния чего-либо или единиц, потребляющих эти услуги. Услуга оказывается и потребляется одновременно. Вообще услуга - это изменение состояния потребляющей единицы в результате действия производителей. Причем услуги, как правило, оказываются по требованию потребителей и с их согласия. Бывают исключения, которые касаются в основном так называемых коллективных услуг.

Услуги бывают индивидуальными и коллективными:

Индивидуальные услуги потребляются отдельными институциональными единицами, например, домашними хозяйствами или предприятиями. Примером индивидуальной услуги являются нерыночные услуги здравоохранения и рыночные услуги бытового обслуживания или связи.

Коллективные услуги оказываются обществу в целом или группе институциональных единиц. Например, это услуги науки или обороны. В некоторых ситуациях непосредственное согласие на оказание такой услуги от всех членов общества может отсутствовать. Коллективные услуги по поддержанию общественного порядка могут не одобрять жулики, но их никто не собирается спрашивать об этом. Существует определенный механизм принятия общественных решений, и именно он определяет, в каких именно коллективных услугах нуждается общество в целом.

Как правило, услуга не имеет вещественного выражения, а её приобретение не приводит к получению чего-либо в собственность. В качестве услуг можно назвать банковскую деятельность, гостиничный бизнес, коммунальные услуги и пр.

Из определения услуги видно, что услуга, так же как и товар, является продуктом труда, но в отличие от товара этот продукт не всегда может быть выражен в материальной форме. Достаточно сравнить услугу по строительству дома с посещением врача или театра.

Кроме того, определяющим отличием услуги от товара является позиция покупателя по отношению к процессу труда и продукту труда, завершающему этот процесс.

Когда покупатель приобретает товар, его не интересует процесс труда, который уже в прошлом. Он может рассмотреть товар, потрогать, примерить, попробовать на вкус и на основе своих реальных ощущений сделать выбор.

Иное дело - услуга. Когда покупатель решает приобрести услугу, он еще не знает, что в действительности получит, так как в момент покупки продукт труда еще не существует. Покупатель отделен от продукта труда временем, что значительно усложняет задачу сбыта услуги.

Отсюда следуют выводы об особенностях маркетинга услуг, которые необходимо учитывать продавцу:

. Услуги неосязаемы в момент покупки. Пациент, пришедший на прием к врачу, не знает заранее результатов посещения. Покупатель вынужден просто верить продавцу на слово, когда последний продает ему лишь обещание сделать нечто, имеющее ценность для него. Ясно, что в этом случае продажа осложняется. Для того чтобы покупатель поверил, продавец должен придумать, как сделать услугу более осязаемой.Например, показать возможные результаты, полученные при осуществлении аналогичных услуг раньше, или дать адреса заказчиков услуг для того, чтобы потенциальный покупатель мог бы с ними связаться, посмотреть, что получили эти заказчики в результате выполнения услуг, спросить об их мнении и т. д. Иначе говоря, нужно проявить внимание и терпение к потенциальному покупателю и творческий подход.

. Непостоянство качества. Качество услуг может изменяться в широких пределах в зависимости от многих факторов. Например, на качество медицинских услуг может повлиять: состояние здоровья и расположение духа врача, характер посетителя, число посетителей, ожидающих приема врача, и т. д. Поэтому продавец услуги должен предпринять особые меры, обеспечивающие гарантию качества услуги. Эти меры могут быть внешними, направленными на клиента, когда ему, так или иначе, гарантируется качество предоставляемой услуги, и внутренними, когда с помощью системы внутренних экономических и организационных мероприятий сотрудники фирмы, предоставляющие услуги, становятся заинтересованными в высоком качестве предоставляемых услуг. Например, фирма, ставящая на автомобили противоугонные устройства, гарантирует клиенту, что в случае поломки устройства представители фирмы заменят это устройство в кратчайшее время.

. Привязка к времени. Услугу очень часто невозможно перенести на другое время. Это также создает проблемы для организаций, предоставляющих услуги. Например, обеспечение транспортом в часы пик требует большего количества транспортных средств, чем в течение дня. Предоставление туристических услуг летом требует большего числа сотрудников туристических агентств, чем зимой, и т. д. В подобных случаях организации, предоставляющие услуги, прибегают к следующим мероприятиям: привлекают сотрудников на временную работу, дифференцируют цены в зависимости от времени предоставления услуг, организуют прием предварительных заказов, привлекают самого клиента к выполнению части работы и т. п.

. Привязка к человеку, предоставляющему услугу. Например, в то время как к одному врачу стоит большая очередь, к другому идет весьма малое число пациентов. Здесь нужно разобраться в причинах такого явления и, возможно, повысить имидж другого врача (если дело только в этом), предложить ему повысить квалификацию, улучшить отношение к пациентам, дифференцировать цену услуг в зависимости от того, кто ее предоставляет, организовать систему записи на прием и т. п.

. Возможность приспособления услуги к запросам конкретного клиента. Эта особенность услуги очень важна, так как выгодно отличает услугу от товара. Когда потребитель покупает товар, он имеет дело с готовым продуктом, который, за редким исключением, изменить нельзя. Когда потребитель покупает услугу, то весь процесс ее производства еще впереди и можно на него повлиять таким образом, чтобы приспособить услугу к индивидуальным запросам клиента. Это важное преимущество услуги необходимо всегда использовать для получения конкурентного преимущества, учитывая при этом, что будущее маркетинга не в массовости, а в индивидуализации. Здесь необходимо понять, что хочет конкретный клиент. Часто это бывает не просто. Поэтому в процессе производства услуги необходимо наладить хорошее взаимодействие с клиентом, показывать ему промежуточные результаты и учитывать его мнение.

Требования к услуге:

компетентность (фирма должна обладать требуемыми навыками и знаниями, чтобы оказать услугу);

приспособление к запросам клиента в процессе производства услуги;

надежность (фирма должна работать стабильно; выполнять принятые обязательства);

обеспечение постоянства качества внутри и вне фирмы;

отзывчивость (быстрый ответ на вопросы клиента, в том числе и на непривычные);

доступность (легкий и приятный контакт с сотрудниками фирмы);

понимание специфических потребностей клиента и стремление как можно лучше выполнить их, постоянно информируя клиента о проделанной работе;

коммуникация (фирма должна информировать клиентов о предлагаемых услугах на понятном им языке, уметь установить контакт с клиентом);

доверие (определяется репутацией фирмы, ее честностью);

безопасность (клиенты должны быть защищены от риска физического, финансового и морального);

обходительность (вежливость, уважительность, внимательность и дружелюбие персонала, умение слушать клиента и ценить его знания и опыт);

осязаемость (показ возможных результатов оказываемых услуг, знакомство с персоналом и т. д.);

взаимоувязка спроса и предложения по времени.

Устанавливая цену на услугу, руководство принимает одно из самых важных решений. Ценообразование является единственной рыночной стратегией, которая непосредственно приносит доход. Все другие переменные в рыночной структуре - реклама, подготовка услуги, распространение - требуют затрат. За последние годы экономическое и конкурентное давление привело к новым стратегиям в ценообразовании. В то же время практика ценообразования во многих компаниях остается интуитивной и рутинной. Часто устанавливают цену, определив объем затрат. Вместе с тем определение цен не является основным фактором в рыночной стратегии для сферы услуг. Сервисные фирмы должны быть активными в условиях постоянного давления растущей конкуренции.

Организациям, которые достигли успехов в установлении рыночных цен, удалось занять активную позицию в ценообразовании. Они смогли последовательно повышать или снижать цены без ответного воздействия со стороны конкурентов, а затем стать опережающей силой в области стратегии и тактики ценообразования.

Для обеспечения успеха в ценовой политике есть две основные предпосылки.

Во-первых, необходимо понимать, как работает цена. Из-за сложности ценообразования в условиях влияния поставщиков, продавцов, дистрибьюторов, конкурентов и потребителей, простые предписания традиционной микроэкономической теории не подходят для современной рыночной системы. Кроме того, компании, которые при определении цены ориентируются прежде всего на свои затраты, допускают серьезную ошибку.

Во-вторых, любому продавцу необходимо представлять, как потребитель воспримет цену и ее изменение. Цена играет две роли. Она используется как индикатор того, сколько должен заплатить покупатель, и как показатель качества услуги. Разница между ценами создает предпочтение для покупателя. Поэтому тот, кто устанавливает цену, обязан знать, как покупатель воспримет эту информацию. Более того, цена должна быть соизмерима с восприятием ценности этого товара покупателем. Пренебрежение этими основными принципами ведет к грубым ошибкам.

При установлении цены должны быть приняты во внимание шесть основных факторов:

Требования. Уровень требований на услуги ограничивает потолок, или максимальную цену, которая может быть установлена. Определение максимальной цены зависит от восприятия заказчиком ценности предложения продавца.

Затраты. Они ограничивают нижний уровень или минимум возможной цены. Для существующих услуг характерные затраты - это затраты на создание, маркетинг и распространение. Для новых услуг - это будущие прямые расходы на весь жизненный цикл услуги. Разница между тем, что хочет заплатить покупатель, и минимальными затратами и составляет пределы, в которых продавец, назначающий цену, может действовать по своему усмотрению.

Факторы конкуренции. Они могут сузить эти пределы, прежде всего в результате снижения потолка цен.

Общие прибыли. Нужно принять во внимание желаемый уровень прибыли. Обычно он отражает уровень риска в бизнесе и сказывается на увеличении минимальной цены, устанавливаемой на основе затрат.

Рыночные цели. Может ли цена использоваться для расширения продаж на выбранном рынке?

Правовые и юридические ограничения. Есть ли какие-нибудь юридические акты, влияющие на ценообразование?

В зависимости от вида услуги, характера требований и конкуренции разброс цен может быть относительно большим, или его может не быть. Тем не менее, и некоторые другие важные факторы следует принять к сведению при установлении цены.

Один из наиболее важных факторов в определении цены - это спрос. Точнее, речь идет об объеме услуги, которую покупатели хотят приобрести по определенной цене, то есть о спросе на эту услугу. Существует как основная теория установления цены, так и несколько важных аналитических концепций для практических решений в этой области. Некоторые из них следующие:

Теория поведения покупателя. Цена влияет на выбор покупателя, так как для него является индикатором стоимости услуги. Покупатель хочет получить максимальное удовлетворение в пределах своих финансовых возможностей. Один из источников информации для покупателя - цена. Другие источники не всегда доступны. Неизвестная информация вводит заказчика в заблуждение по поводу возможности получения требуемого удовлетворения при покупке услуги. Итак, покупатель может использовать цену в качестве показателя, как стоимости услуги, так и качества.

Эластичность цен. Возможность устанавливать уровень цен в зависимости от меры отношений между ценой и изменяющимся спросом на услугу. Когда спрос падает из-за повышения цены, эластичность отрицательная.

Эластичность дохода. Служит для измерения взаимосвязи между доходом и изменяющимся спросом на услугу. Если спрос расширяется при росте дохода, то эластичность положительная.

Эластичность смежных цен. Служит мерой влияния изменения цены другой услуги на спрос на данную услугу. Если эти взаимосвязи отрицательные, то обе услуги пользуются спросом. Если эти взаимосвязи положительные, то для обеих требуются изменения. Эластичность смежных цен также используется в качестве меры эффективности изменения цены конкурентами.

Решения по ценообразованию принимаются под влиянием того фактора, что обычно есть несколько потребителей, которые могут заплатить больше установленной цены за данную услугу. В основном это означает, что установленная цена может быть ниже, чем оценивают значение этой услуги некоторые потребители. Разница между ценой, которую они готовы заплатить, и ценой, которую они платят в действительности, называется добавкой потребителя к цене.

По существу, добавка потребителя - это то, что потребитель получает при обмене денег на услугу. Ценность пользы (что получает потребитель) минус ценность обмена (цена) - разница положительная. Ценность пользы всегда превышает ценность обмена просто потому, что то, сколько потребители заплатили бы, должно быть больше того, сколько они действительно платят. Иначе они бы не приняли участия в обмене.

Важным здесь является то, что цена, по которой происходит обмен, не эквивалентна ценности, поскольку часто является предполагаемой. Общее желание заплатить должно учитывать собственно ценность обмена и добавку к цене за услуги.

Эта недавно разработанная концепция становится важным вкладом в определение цены. Вместо того чтобы концентрировать свое внимание на затратах при определении цены, лучше определить, какую ценность представляет собой данная услуга для потребителя.

Оптимальной считается цена услуги, которая установлена с учетом значимости данной услуги для покупателя. Восприятие услуги покупателем играет ключевую роль на рынке услуг. Восприятие обычно включает процесс распределения по категориям. Когда покупатель должен заплатить цену, отличающуюся от той, которую он заплатил в прошлый раз, он должен решить, является ли эта разница существенной. Если он решит, что порядок цен не изменился, он, возможно, будет действовать, как и в прошлый раз. Наоборот, если разница воспринята как довольно существенная, то покупатель может посчитать, что вновь предоставляемая услуга отличается от предоставляемой прежде и сделать свой выбор на основе цены.

Покупатель принимает решение о покупке услуги в два этапа. Сначала он оценивает значимость предложения. Затем решает, сделать ли покупку. Не исключено также, что он отложит покупку до получения исчерпывающей информации.

Выбор покупателя зависит от восприятия качества или своей выгоды по отношению к цене. Покупая, он соотносит ожидаемое качество с убытком, связанным с необходимостью заплатить за него.

Должна быть достигнута эквивалентность цены и качества услуги, которая будет служить интересам дела. Действительно, в большинстве публикаций отмечается, что качество товара или услуги может стать мощным преимуществом в конкурентной борьбе. Если покупатель знает, что цена и качество взаимосвязаны на рынке услуг, он, скорее всего, воспримет цену как показатель качества. Если он знает, что цена не соответствует уровню качества, он будет использовать другие показатели для оценки качества.

Компания должна многое сделать, прежде чем установить цены на услуги, представляемые на рынке. С учетом специфики услуги цены зависят от типа потенциальных покупателей. Если разные потребители приобретают разное количество услуг, то должен ли продавец предложить скидку? Компания должна также решить вопрос, делать ли скидку, если покупатель платит вперед, если да, то когда делать эту скидку и какой она должна быть. Обычно компания оказывает много услуг, и ответы на эти вопросы должны быть даны применительно к каждой услуге.

Одна из самых интересных и трудных задач - определение цены на новую услугу. Эти решения обычно принимаются при наличии очень небольшой информации о потребностях, затратах, конкуренции и других переменных величинах, которые могут повлиять на успех. Одни услуги не пользовались успехом у потребителей потому, что не давали того, что они ждали от них, или потому, что услуги не были предложены в нужное время и в нужном месте. Другие - потому что имели неправильную цену - слишком низкую или слишком высокую. Трудность определения цены на новую услугу состоит в том, что когда услуга получит широкое применение, она будет устаревать значительно быстрее.

Ключом к установлению цены на новый товар или новую услугу является учет чувствительности цены к спросу и росту прибыли, а также к затратам на производство товара или услуги. При этом главное - определить, почему товар или услуга заслуживают внимания покупателей, а не сколько они стоят продавцу. Здесь важно учесть, как взаимосвязаны цена на развивающийся вид услуги и восприятие покупателем пользы от этой услуги по сравнению с затратами на ее покупку и с выбором, который есть у покупателя.

Две альтернативные стратегии могут быть выбраны компанией относительно восприятия покупателем услуги. Некоторые виды услуг доказывают, что их развитие действительно направлено на удовлетворение потребностей клиентов. Для таких услуг в период их рыночной разработки может быть выбрана стратегия высоких цен в сочетании с высокими затратами на рекламу при следующих условиях:

Уровень продаж услуги ожидается менее чувствительным к цене на ранней стадии, чем на стадии, когда она полностью «созреет» и появятся конкуренты.

Установление высокой цены на новую услугу - это эффективное средство для разделения рынка на сегменты по различным потребностям. Изначально высокая цена дает возможность получить высокие доходы с рынка, который относительно не чувствителен к ценам.

Политика скольжения является более надежной с учетом того, что мы не знаем гибкости спроса; в период стадии исследования мы можем отказаться от установленной первоначально высокой цены.

Высокая цена может дать больший объем продаж, чем низкая начальная цена. При таких условиях скользящая цена дает возможность выделить средства для финансирования завоевания компанией более обширного сегмента рынка.

Существует определенное ограничение возможностей покупателя.

Существует высокий избыток потребителей на эту услугу.

Использование низких цен - это вторая стратегия для установления цены на новую услугу. Несмотря на многие преимущества, политика скольжения приемлема не для всех видов новых услуг. Использование низких цен в самом начале как способ захвата более широкого рынка реально при следующих условиях:

Возможность обеспечения существенной экономии затрат при работе с большими объемами.

Услуга сталкивается с угрозой сильных потенциальных конкурентов сразу после периода представления услуги на рынке. Поэтому сильная позиция на рынке становится одной из первоочередных задач в период представления услуги.

Нет покупателей, желающих заплатить высокую цену за услугу.

Поскольку такая политика ценообразования может быть проведена на любой стадии жизненного цикла услуги, эта стратегия всегда должна быть проверена перед тем, как новая услуга будет представлена на рынке. Иногда переход к политике низких цен может спасти услугу от «смерти» после того, как на рынке были получены высокие доходы.

Цена, определенная с учетом значимости услуги для потребителя, может дать возможность предотвратить ошибку установления неоправданно высокой цены. Установление цены для получения прибыли без восприятия ее потребителем часто сводит на нет попытки обеспечения преимуществ над конкурентами и возможности установить цену выше среднего уровня рыночных цен. Наряду с политикой и тактикой ценообразования существует ряд задач, которые нужно решить для установления цены:

Согласование целей. Не все цели ценообразования могут совпадать. Например, стремление увеличить объемы продаж, получить наличные средства и прибыль могут вести к разным целям в политике ценообразования. Несмотря на противоречия, компании часто стараются достичь все эти цели одновременно. Поэтому необходимо четко сформулировать задачи, требующие своего первоочередного решения, и выделить из них главные. При этом каждый, кто имеет дело с ценообразованием на любом уровне организации, должен понимать необходимость согласования этих задач.

Программа исследования цен. Недостаток данных в области ценообразования нередко приводит к выработке необоснованных стратегий. Для того чтобы избежать этого, необходимо разработать и осуществить программу исследования цен, в которой как минимум надо разработать обоснованную классификацию затрат и определить, как соотносит потребитель цену с качеством и значимостью услуги. Такой подход необходим для того, чтобы понять, как изменение и существующая разница цен влияют на стоимость и объем услуг.

Поддержание обратной связи и контроль. Важно, чтобы компания убедилась в том, что принятая ею политика ценообразования соответствует общей рыночной стратегии фирмы. Часто цены устанавливаются исходя из финансовых интересов компании и игнорируют влияние потребностей покупателя. Более того, такая политика имеет тенденцию преувеличения аспектов затрат при установлении цены. Покупателя обычно не интересует, сколько стоит продавцу оказание данной услуги. Его больше интересует взаимосвязь цены и значимости услуги. Обратная связь дает информацию о такой взаимосвязи.

Тщательный анализ. При выборе стратегии ценообразования компания, оказывающая услуги, должна провести тщательный анализ целей организации, затрат на оказание специфических услуг, предложений и затрат конкурентов, значения этой услуги для потребителя. На каждую услугу должна быть установлена цена с учетом ее специфики и присущего ей места среди всех услуг, которые оказывает компания.

Глава II. Разработка маркетинговой стратегии на примере маникюрного салона ООО « SPANail’s»

.1 Разработка миссии фирмы и стратегических (целевых) ориентиров

Философия ООО «SPANail’s» сводится к тому, что женщину можно сравнить с бриллиантом, сияющим разными гранями. Одной из этих граней является руки женщины. Красивые руки - это качественный и модный маникюр, и именно такой предлагает салон «SPANail’s».

ООО «SPANail’s» предлагает услуги по SPA маникюру. Основная деятельность направлена на профессиональный уход за руками, предложение огромного выбора услуг по маникюру, массажу рук, покрытию ногтей.

Основной целью деятельности ООО «SPANail’s» в долгосрочной перспективе является расширение сети салонов, добиться увеличения прибыли, повышение квалификации сотрудников. Для достижения этих целей необходима высокая конкурентоспособность, как самих услуг, так и предприятия в целом.

За пять лет работы фирма ООО «SPANail’s» проделала путь от человека, оказывающего услуги маникюра на дому, до сети салонов, имеющих большой штат сотрудников. В настоящее время сильной стороной организации является высокое качество услуг и сильная организация производственного процесса.

Желаемый имидж ООО «SPANail’s» содержит такие компоненты, как высокое качество предлагаемых услуг, их соответствие мировым и российским тенденциям моды. Четкая ассоциация услуг «SPANail’s» с качеством и стилем.

Основной целевой группой ООО «SPANail’s» являются женщины, ухаживающие за собой и трепетно относящиеся к своей внешности, род их занятий не имеет особого значения, это могут быть как домохозяйки, так и деловые женщины.

ООО «SPANail’s» провело маркетинговое исследование с целью выявления таких факторов, как качество предлагаемых услуг и степень удовлетворенности потребителей данным уровнем качества, уровень обслуживания клиентов в салоне ООО «SPANail’s» и возможные пути повышения уровня конкурентоспособности предлагаемых услуг.

Исследование проводилось по анкете разработанной автором настоящей курсовой работы. Образец анкеты приведен в Приложении 1. В течение одной рабочей недели (с понедельника по воскресенье) проводился опрос всех клиентов салона «SPANail’s». Результаты опроса показали следующее:

Было опрошено 53 женщины в возрасте от 17 до 65 лет, среди них: женщины в возрасте от 17 до 30 лет - 16 (30,2%), от 30 до 40 лет - 28 (52,8%), от 40 до 50 лет - 7 (13,2%), и старше 50 лет - 2 (3,8%). Социальный статус опрошенных следующий: управляющих высшего звена 5 человек (9,4%), управляющих среднего звена - 18 человек (34,0%), служащих по найму - 26 человек (49,1%), домохозяек - 4 человека (7,5%). По уровню доходов опрошенные разделились на три группы:

среднемесячный доход от 5 до 10 тыс. руб. - 6 человек (22,6%);

среднемесячный доход от 10 до 25 тыс. руб. - 35 человек (66,1%);

среднемесячный доход свыше 25 тыс. руб. - 12 человек (11,3%).

Большинство опрошенных женщин (38 - 71,7%) являются постоянными клиентами салона «SPANail’s». Они обращались к услугам в данном салоне два или более раз (вопрос анкеты № 1).

Опрашиваемых просили оценить уровень обслуживания в салоне «SPANail’s» в целом и по таким параметрам как уровень качества, уровень ассортимента, уровень цен и уровень работы персонала (вопросы анкеты № 2, 4, 6, 8, 10). Оценка проводилась по трехбалльной шкале со следующей градацией: высокий уровень, средний, и низкий. Результаты ответов на эти вопросы сведены в таблицу 1.

Таблица 1.

Оцениваемый параметр

Количество ответов, %


высокий

средний

низкий

Общий уровень обслуживания

73,6

26,4

-

Уровень качества товара

81,1

18,9

-

Уровень удовлетворительности ассортимента

18,1

81,9

-

Уровень цен

35,8

64,2

-

Уровень работы персонала

90,6

9,4

-


Анализ таблицы 1 показывает, что ни один из оцениваемых факторов не получил отрицательной оценки («низкий уровень»). Удовлетворительную оценку, соответствующую в анкете уровню «средний» получили такие факторы как уровень удовлетворительности ассортимента (81,9% потребителей), уровень цен (35,8%) и общий уровень обслуживания (26,4%).

Отметим, что большинство опрошенных оценили общий уровень обслуживания в салоне «SPANail’s» как достаточно высокий - 73,6%. Уровень качества услуг, предлагаемых в салоне «SPANail’s», большинство клиентов оценивает как «высокий» - 81,1%.

Так же высокую оценку получил уровень работы персонала салона «SPANail’s»: оценку «высокий» поставили 90,6% гостей. Уровень цен в салоне «SPANail’s» был оценен большинством потребителей как «средний» - 64,2%, и даже «высокий» уровень цен воспринимается большинством потребителей как соответствующий качеству услуг.

Из всех оцениваемых факторов наименьшие оценки получил такой параметр, как уровень удовлетворительности ассортимента. Большинство опрошенных оценили ассортимент услуг салона «SPANail’s» как «средний» (81,9%). Это говорит о том, что работа по повышению конкурентоспособности услуг должна вестись, в первую очередь, в направлении расширения ассортимента и приведение его в соответствие с запросами потребителей.

На вопрос анкеты № 3 «Что наиболее приемлемо для Вас в салоне «SPANail’s» большинство опрошенных (58,5%) проранжировали приведенные ответы следующим образом:

Качество предлагаемых услуг - 4;

Наличие необходимой услуги, лака нужного цвета, и т.д. - 1;

Приемлемый уровень цен на услуги - 2;

Вежливость и общительность персонала - 3.

По результатам опроса для 56,4% респондентов наиболее приемлемым в салоне «SPANail’s» является качество предлагаемых услуг. Для 27,3% респондентов наиболее приемлем такой фактор, как вежливость и общительность персонала. Приемлемый уровень цен на услуги салона выделили 12,1% респондентов.

На вопрос анкеты № 5, - «Какой стиль в маникюре для Вас наиболее приемлемый?» были получены следующие ответы:

Долговременное покрытие - 85%;

Нейларт - 5,6%;

Классический - 9,4%.

Анализ вопроса показывает, что абсолютное большинство гостей салона «SPANail’s» предпочитают делать долговременное покрытие (Shellac, Gelish) (85%). На нейларт (характеризующийся яркой росписью ногтей) и классический маникюр пришлось 5,6 и 9,4% соответственно. Это говорит о том, что наиболее перспективным направлением развития ассортимента является развитие и модернизация долговременного покрытия для маникюра.

Ответы на вопрос анкеты № 7, - «На какие параметры Вы обращаете наибольшее внимание при выборе салона?», ответы распределились следующим образом:

Наибольшее внимание при выборе салона на профессионализм персонала качество услуг 25,3% респондентов, на долговременность результата - 11,2%, на соответствие модным тенденциям - 57,2% и на выбор цветовой гаммы - 6,3%.

В ходе опроса было проанализировано мнение гостей о составляющих высокого качества обслуживания. Были выделены такие составляющие как опрятный внешний вид мастера, его вежливость и общительность, компетентная помощь при выборе услуги и быстрота обслуживания.

Анализ этого вопроса показывает, что большинство клиентов придают решающее значение при оценке уровня работы персонала таким параметрам как вежливость и общительность мастера (41,5%) и компетентная помощь при выборе услуги (28,3%). Опрятный внешний вид мастера и быстроту обслуживания выделили 13,2% и 17,0% соответственно.


.2 Анализ и оценка внутренней среды деятельности

На конкурентоспособность предприятия и его продукции оказывает немаловажное значение внутренняя среда. Она определяет ресурсы и возможности развития данного предприятия и увеличения конкурентоспособности его продукции. Рассмотрим более детально внутреннюю среду ООО «SPANail’s».

К факторам оценки внутренней среды фирмы традиционно относятся:

. Организационные факторы (организационная структура, формы контроля, информационная связь подразделений и т.д.).

. Производственные факторы (качество оборудования, себестоимость, снабжение сырьем и т.д.).

. Маркетинговые факторы (известность марки, полнота ассортимента, организация распределения, квалификация персонала и т.д.).

Организационная структура ООО «SPANail’s» представлена на рисунке 2.

Рисунок 2. Организационная схема ООО «SPANail’s».

Анализ рисунка 2 показывает, что организационная схема ООО «SPANail’s» является функционально обоснованной. Основными подразделениями являются менеджер по работе с персоналом, менеджер по работе с клиентами и отдел службы маркетинга. Причем функции этих отделов тесно взаимосвязаны.

Так от менеджера по работе с персоналом завит соблюдение мастерами своих должностных обязанностей, в то время как  менеджер по работе с клиентами заботится об удовольствие гостей, а следовательно, и высокой оценки салона. Отдел службы маркетинга, разбитый по сегментам, объединяет и в то же время стимулирует работу менеджеров для получения наилучших финансовых результатов. Именно он отвечает за такие важные аспекты работы предприятия как: исследование рынка, планирование ассортимента, стимуляция сбыта, планирование сервиса.

На конкурентоспособность фирмы оказывают большое влияние такие факторы, как менеджмент, производство и качество услуг, сбыт, маркетинг, инновационность фирмы и ее кадровый потенциал.

Менеджмент ООО «SPANail’s» достаточно хорошо организован. Структура управления иерархическая: исполнители подчиняются менеджерам (или управляющим) определенной структурой. Менеджеры подчиняются непосредственно директору. Связь между подразделениями осуществляется на уровне менеджеров, которые корректируют деятельность своих подчиненных в зависимости от полученной из других подразделений информации.

Оказание услуг маникюра организовано следующим образом: отдел исследования рынка, после проведения анализа и убедившись в целесообразности внесения новшеств, оповещает менеджеров о «моде» на новую процедуру, менеджер по работе с персоналом проводит выбор мастеров, квалификация которых позволяет ее выполнять, либо отправляет работников на обучение, менеджер по работе с клиентами оповещает гостей о возможности получить в салоне «SPANail’s» новую услугу.

Ассортимент услуг, предлагаемых ООО «SPANail’s», по большей части состоит из услуг SPA ухода за руками и маникюра с качественным покрытием ногтей лаком. Обновление ассортимента косметики происходит один раз в сезон (четыре раза в год). Как показало маркетинговое исследование, такой ассортимент не может полностью удовлетворить запросы клиентов.

Инновационность фирмы достаточно высока. Руководство ООО «SPANail’s» предпочитает придерживаться методов, проверенных временем, но по мере появления инновационных процедур на рынке, вводит новые услуги.  Кадровый потенциал ООО «SPANail’s» высокий. Среди мастеров SPA маникюра преобладают специалисты высокой квалификации.

Таким образом, после рассмотрения всех факторов внутренней среды деятельности ООО «SPANail’s» можно сделать вывод о финансовой устойчивости данного предприятия, имеющего достаточные ресурсы для развития и представляющего определенный интерес для потенциальных инвесторов.

.3 Определение стратегии фирмы

Стратегические альтернативы развития фирмы определяются на основе SWOT-анализа. Результатом совместной оценки возможностей фирмы и возможностей внешней среды является одна или несколько стратегий деятельности, на основе которых разрабатываются количественные задания (цели) по каждому подразделению или каждому виду товаров (услуг), которые заносятся в план маркетинга.

Процедура SWOT-анализа сводится к выделению сильных и слабых сторон в деятельности самой фирмы, и к выделению возможностей и угроз во внешней среде деятельности. При этом на первоначальном этапе отмечаются абсолютно все положительные и отрицательные факторы, влияющие на деятельность фирмы, а на заключительном этапе выделяются только самые основные факторы, оказывающие решительное влияние.

На основании этих решающих факторов определяется стратегия развития фирмы. При этом важно учитывать, чтобы выбранная стратегия развития удовлетворяла всех участников коммерческого процесса. Общая форма SWOT-анализа представлена на рисунке 3.

Рисунок 3. Общая форма SWOT-анализа

Анализ возможностей и угроз внешней среды выделил следующие факторы:

Возможность появления на рынке прямых конкурентов с аналогичной продукцией;

Изменение моды, смещение интересов потребителей в сторону других видов услуг;

Усложнение законодательства, увеличение налогов;

Подорожание материалов, сложности с их поставкой.

Таким образом, процедура SWOT-анализа для ООО «SPANail’s» будет выглядеть следующим образом (рисунок 4):

Рисунок 4. Схема SWOT-анализа для ООО «SPANail’s».

Анализ рисунка 4 показывает, что основной возможностью для ООО «SPANail’s», основанной на сильных сторонах фирмы и возможностях внешней среды, является расширение ассортимента услуг и круга потребителей. Для этого необходимо увеличение разнообразия и частоты обновления ассортимента и совершенствование организационной структуры ООО «SPANail’s», что позволит компенсировать слабые стороны внутренней среды деятельности данной организации.

Основной угрозой со стороны внешней среды является появление фирм-конкурентов, предлагающих аналогичные услуги. Для компенсации этой угрозы необходимо усиление имиджа фирмы и даже создание бренда салона. Основной проблемой при этом становится отсутствие капитальных финансовых вливаний для интенсивного развития. Эта проблема может быть решена путем привлечения инвесторов или заемного капитала.

В результате SWOT-анализа необходимо выбрать стратегию развития фирмы, максимально соответствующую целям ООО «SPANail’s», возможностям ее внутренней и внешней среды деятельности. Текущей стратегией для данной фирмы является стратегия, которую можно условно назвать «оборонительной». При данной стратегии основной целью деятельности фирмы является удержание достигнутых показателей на достигнутом уровне.

Кроме текущей стратегии руководству ООО «SPANail’s» были предложены еще два варианта стратегий развития. Стратегия «гибкого реагирования» предполагает реагирование на изменение ситуации во внешней среде и компенсацию угроз за счет сильных сторон внутренней среды деятельности организации. Стратегия «активного развития» требует максимальной активности от руководства ООО «SPANail’s» как в плане развития производства, так и в плане организации сбыта и продвижения. Данная стратегия связана с риском и требует довольно больших финансовых вложений, но вместе с тем эта стратегия дает самые большие возможности для развития фирмы и максимизации прибыли.

Проведем оценку соответствия данных стратегий по различным критериям. Оценка соответствия выбранных стратегий проводилась по пятибалльной системе, где 5 - самый высокий уровень соответствия, а 1 - самый низкий уровень соответствия. Таким образом, стратегия, набравшая больше всего баллов по всем критериям оценки, является наиболее привлекательной для данной фирмы. Результаты оценки соответствия выбранной стратегии приводятся в таблице 5.

Таблица 5.

Критерии оценки

Предлагаемые пути деятельности (стратегии)


Текущая стратегия (оборонительная)

Стратегия 1 (гибкое реагирование)

Стратегия 2 (активное развитие)

Решение основной проблемы (задачи)

3

2

5

Соответствие результатам SWOT-анализа

4

3

4

Степень соответствия:




Финансы;

5

4

3

Организационная структура;

4

4

4

Технология;

5

3

5

Законодательство;

5

5

5

Экология.

5

5

Степень приемлемости:




Работниками предприятия;

3

2

5

Государством;

5

5

5

Общественностью

5

5

5

Соответствие имиджу фирмы

3

2

5

Итого:

47

40

51


Анализ таблицы 5 показывает, что для решения основной задачи ООО «SPANail’s» больше всего подходит стратегия № 2. Основной целью данной фирмы является расширение производства и выход с регионального рынка на общероссийский. Ни оборонительная стратегия, ни стратегия гибкого реагирования не могут обеспечить решение этой задачи.

Результатам SWOT-анализа более всего соответствуют текущая стратегия и стратегия № 2, но ни одна из этих стратегий не получила максимально высокой оценки, потому что текущая стратегия не использует полностью всех возможностей внутренней и внешней среды, а для максимального соответствия стратегии № 2 необходимо изменение некоторых параметров внутренней среды деятельности ООО «SPANail’s».

Стратегия развития № 1 получила низкие оценки по параметрам степени соответствия технологии услуг и степени приемлемости работниками предприятия. Это связано с тем, что реагирование на запросы рынка может потребовать быстрого изменения технологии, а это не всегда возможно. Для работников салона отсутствие стабильности в работе является стрессовым фактором. Кроме того, стратегия № 1 слабо соответствует имиджу ООО «SPANail’s» как относительно молодой, но динамично развивающейся фирмы.

Таким образом, по результатам проведения SWOT-анализа и сравнения альтернативных стратегий развития, наиболее перспективной признана стратегия активного развития ООО «SPANail’s». Данная стратегия подразумевает привлечение дополнительных финансовых ресурсов, совершенствование внутренних ресурсов фирмы и дает максимальные возможности для достижения ООО «SPANail’s» ее основных стратегических целей.

Заключение

Маркетинг - совокупность всех видов предпринимательской деятельности, обеспечивающей продвижение товаров и услуг от производителей к потребителям, а также изучение положения, предпочтений и установок потребителей и систематическое использование этой информации для создания новых потребительских товаров и услуг.

Маркетинговая деятельность включает в себя: планирование ассортимента продукции; ценообразование, т.е. определение цены, которую покупатель должен будет заплатить, чтобы получить данный товар; транспортировку, т.е. оптимальные способы доставки товаров потребителю; хранение и складирование продукции; оптовую торговлю - продажу товаров кому-либо, кроме конечных потребителей; рекламу - безличную форму общения с потребителями через средства массовой информации, включая телевидение, радио, газеты, журналы, почту, Интернет, транзитные автотранспортные средства и рекламные щиты; маркетинговые исследования - систематический сбор и анализ данных для принятия сбытовых решений. Совокупность указанных видов деятельности может быть названа маркетингом. Соответственно, интеграция всех этих действий в единый процесс называется маркетинговой программой.

Успех фирмы зависит от многих факторов - правильно выбранной стратегии, преданных своему делу служащих, хороших информационных систем, умелой реализации планов. Однако преуспевающие компании всех уровней имеют один общий признак - они ориентированы на потребителя и потому уделяют максимум внимания маркетингу. Все эти компании объединяет желание понять и удовлетворить потребности покупателя.

Таким образом, подводя итог данной работы, можно смело сказать о том, что все поставленные задачи были выполнены. Я полноценно ознакомилась с выбранной услугой, определила миссию и цель предприятия, разработала для нее маркетинговую стратегию, провела маркетинговые исследования.






Список используемой литературы

Белявский И. Маркетинговое исследование: информация, анализ, прогноз. - М.: Финансы и статистика, 2008.

Белявский И., Кулагина Г., Коротков А. Статистика рынка товаров и услуг / Под общ. ред. И. Белявского. - М.: Финансы и статистика, 2005.

Бронникова Т.С., Чернявский А.Г. «Маркетинг»: Учебное пособие. - М.: «Издательство ПРИОР», 2010.

Вествуд Дж. Маркетинговый план. - СПб.: Питер, 2010

Герчикова И.Н. Маркетинг: организация, технология. М.: Высшая школа, 2008.

Годин А.М. Маркетинг /Учебно - методическое пособие. - М.: Издательский Дом «Дашков и К», 2009.

Котлер Ф. и др. Основы маркетинга. 2-е. европ. изд. - М.: Вильяме, 2011.

Прикладной маркетинг или самоучитель игры в маркетинг «Сфера малого и среднего бизнеса». - Москва - Санкт - Петербург: «Герда» 2000.

Попов С. Внешнеэкономическая деятельность фирмы. Особенности менеджмента и маркетинга: Учебное пособие - 3 - изд., доп. - М.: Ось - 89, 200

Портер М. Международная конкуренция / пер. с англ. - М.: Международные отношения, 2011.

Феоктистова Е.М. Краснюк И.Н. Маркетинг: теория и практика. М.: Высшая школа, 2007.

Философова Т.Г. Конкуренция и конкурентоспособность: учеб. пособие для студентов вузов / Т.Г. Философова, В.А. Быков; под ред. Т.Г. Философовой. - М.: ЮНИТИ-ДАНА, 2007.

Приложение 1

Уважаемые гости!

ООО «SPANail’s» проводит маркетинговое исследование по вопросам уровня обслуживания и качества услуг. Ответьте, пожалуйста, на приведенные ниже вопросы. Заранее благодарим Вас за сотрудничество!

. Сколько раз Вы обращались к услугам салона «SPANail’s»?

 В первый раз;

 Два и более раз.

. Оцените, пожалуйста, уровень обслуживания в салоне «SPANail’s»:

 Высокий;

 Средний;

 Низкий.

. Что наиболее приемлемо для Вас в салоне «SPANail’s» (ответы проранжировать от 1 - наименее приемлемо до 4 - наиболее приемлемо)?

Качество предлагаемых услуг ___;

Наличие определенных услуг ___;

Приемлемый уровень цен на услуги ___;

Вежливость и общительность персонала ___.

. Оцените, пожалуйста, уровень качества услуг в салоне «SPANail’s»:

 Высокий;

 Средний;

 Низкий.

. Какой стиль маникюра для Вас наиболее приемлемый?

 Классический;

 Нейларт;

 Долговременное покрытие.

. Оцените, пожалуйста, уровень удовлетворительности ассортимента услуг в салоне «SPANail’s»:

 Высокий;

 Средний;

 Низкий.

Качество услуги  ___;

Долговременность процедуры  ___;

Внешний фактор (цвет лака и т.д.)  ___;

Соответствие модным тенденциям, стиль ___.

. Оцените, пожалуйста, уровень цен на услуги в салоне «SPANail’s»:

 Высокий;

 Средний;

 Низкий.

. По каким параметрам Вы оцениваете работу персонала магазина «SPANail’s» (проранжировать от 1 - менее важно до 4 - более важно)?

Опрятный внешний вид мастера ___;

Вежливость и общительность мастера ___;

Компетентная помощь при выборе процедуры ___;

Быстрота обслуживания ___.

. Оцените, пожалуйста, уровень работы персонала в салоне «SPANail’s»:

 Высокий;

 Средний;

 Низкий.

. Сведения о респонденте:

Пол:  женский;  мужской.

. Возраст:  от 17 до 30 лет;  от 30 до 40 лет;

 от 40 до 50 лет;  старше 50 лет.

конкурентоспособность стратегия маркетинг услуга

13. Социальное положение:

 Высшее управленческое звено;

 Средний управленческий персонал;

 Служащий по найму;

 Домохозяйка;

. Среднемесячный доход:

 От 5 до 10 тыс. руб.;

 От 10 до 25 тыс. руб.;

 Свыше 25 тыс. руб.

Похожие работы на - Оценка конкурентоспособности товара и разработка стратегии маркетинга предприятия

 

Не нашли материал для своей работы?
Поможем написать уникальную работу
Без плагиата!
Без нейросетей!