Синтез линейных систем модальным методом

  • Вид работы:
    Практическое задание
  • Предмет:
    Информатика, ВТ, телекоммуникации
  • Язык:
    Русский
    ,
    Формат файла:
    MS Word
    156,21 Кб
  • Опубликовано:
    2014-02-28
Вы можете узнать стоимость помощи в написании студенческой работы.
Помощь в написании работы, которую точно примут!

Синтез линейных систем модальным методом

МИНИСТЕРСТВО ОБРАЗОВАНИЯ И НАУКИ РОССИЙСКОЙ ФЕДЕРАЦИИ

НОВОСИБИРСКИЙ ГОСУДАРСТВЕННЫЙ ТЕХНИЧЕСКИЙ УНИВЕРСИТЕТ

Кафедра автоматики






Лабораторная работа

"Синтез линейных систем модальным методом"













НОВОСИБИРСК 2013

1. Моделирование объекта управления

управление модальный регулятор корректирующий

Рис. 1 - модель ОУ

Рис. 2 - график переходного процесса ОУ

tпп=60 с, σ= ((1.71-1)/1)*100%=71%

2. Синтез эталонной модели

Рис. 3 - переходный процесс эталонной модели ОУ

tпп=7 с, σ= ((1.08-1)/1)*100%=8%

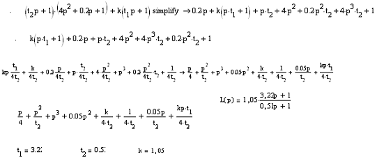
. Расчёт параметров динамического звена L(p)


4. Наблюдатель (модель и звено L(p))

Рис. 4 - модель ОУ с корректирующим звеном

Ym(0)=-2, y’m(0)=0(0)=y’m(0)=-1

Рис. 5 - графики переходных процессов с начальными условиями

Ym(0)=0, y’m(0)=0

tпп=6 с, σ= ((1.07-1)/1)*100%=7%

Ym(0)=-2, y’m(0)=0

tпп=14 с, σ= ((1.8-1)/1)*100%=80%

Ym(0)=-1, y’m(0)=-1

tпп=12 с, σ= ((1.25-1)/1)*100%=25%

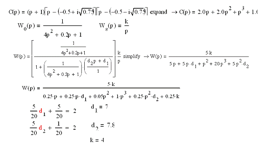
. Расчёт параметров регулятора

Похожие работы на - Синтез линейных систем модальным методом

 

Не нашли материал для своей работы?
Поможем написать уникальную работу
Без плагиата!
Без нейросетей!