Разработка датчиков ускорений или параметров вибрации
Курсовой проект
Тема
Разработка датчиков ускорений или
параметров вибрации
Введение
датчик сейсмический вибрационный схема
Устройство вибрационного перемещения включает подвижный механизм,
установленный между двумя параллельными поверхностями, и источник вибрационных
возмущений, перпендикулярных к поверхностям. Одна из параллельных поверхностей
выполнена упругой и на ней установлена инерционная масса. Подвижный механизм
состоит из двух фрикционных накладок с различными коэффициентами трения скольжения,
соединенных между собой пружиной растяжения и двумя наклонными рычагами,
шарнирно связанными одними концами между собой, а другими - с фрикционными
накладками.
Известны устройства вибрационного перемещения, в которых транспортирующий
орган связан с источником вибрационных возмущений, направленных перпендикулярно
к плоскости транспортирования и направлению транспортирования.
Недостатком данных устройств является сложность конструкции и низкая
скорость транспортирования.
Известны также устройства вибрационного перемещения, в которых
транспортирующий орган связан с источником продольных бегущих волн, а также с
дополнительным источником колебаний в вертикальном направлении с частотой,
отличной от частоты возбуждаемой продольной бегущей волны.
Недостатком данных устройств является сложность конструкции, низкая
скорость и нестабильность транспортирования.
Целью курсового проекта является изучение принципа действия датчиков
сейсмического типа, предназначенных для проведения исследований влияния
воздействий ускорений и вибрационных нагрузок на элементы радиоэлектронной
аппаратуры, приобрести навыки по разработке структурных и принципиальных схем
приборов, расчетов статических и динамических характеристик, правильного
оформления конструкторской документации.
Курсовой проект предназначен для закрепления и углубления знаний по
дисциплине «Приборы и методы исследований».
1. Гармонические колебания
датчик сейсмический вибрационный схема
Самыми простыми из существующих в природе колебательных движений являются
упругие прямолинейные колебания тела на пружине (Рисунок.1).
Рисунок
1 - Пример простейшего колебания.
Такая механическая система обладает одной степенью свободы. Если отвести
тело на некоторое расстояние от положения равновесия и отпустить, то пружина
вернет его в точку равновесия. Однако тело приобретет при этом определенную
кинетическую энергию, проскочит точку равновесия и деформирует пружину в
противоположном направлении. После этого скорость тела начнет уменьшаться, пока
оно не остановится в другой крайней позиции, откуда сжатая или растянутая
пружина опять начнет возвращать тело назад в положение равновесия. Такой
процесс будет повторяться вновь и вновь, при этом происходит непрерывное
перетекание энергии от тела (кинетическая энергия) к пружине (потенциальная
энергия) и обратно.
На Рисунке.1 представлен также график зависимости перемещения тела от
времени. Если бы в системе отсутствовало трение, то эти колебания продолжались
бы непрерывно и бесконечно долго с постоянными амплитудой и частотой. В
реальных механических системах такие идеальные гармонические движения не
встречаются. Любая реальная система обладает трением, которое приводит к
постепенному затуханию амплитуды и превращает энергию колебаний в тепло.
Простейшее гармоническое перемещение описывается следующими параметрами:
а) Т - период колебаний;
б) F - частота колебаний, = 1/Т.
Период - это интервал времени, который необходим для завершения одного
цикла колебания, то есть это время между двумя последовательными моментами
пересечения нулевой точки в одном направлении. В зависимости от быстроты
колебаний, период измеряют в секундах или миллисекундах.
Частота колебаний - величина обратная периоду, определяет количество
циклов колебания за период, она измеряется в герцах (1Гц= 1/секунду). Когда
рассматриваются вращающиеся машины, то частота основного колебания
соответствует частоте вращения, которая измеряется в об/мин (1/мин) и
определяется как:
w= F х
60,(1)
где F- частота в Гц, т.к. в минуте 60 секунд.
1.2 Уравнения колебаний
Если по вертикальной оси графика отложить положение (смещение) объекта,
испытывающего простые гармонические колебания, а по горизонтальной шкале- время
(см. Рисунке.1), то результатом будет синусоида, описываемая уравнением:
d=D sin(w t),(2)
где d-мгновенное смещение;максимальное смещение;
w =
2рF - угловая (циклическая) частота,
р=3,14.
Это та самая синусоидальная кривая, которая всем хорошо известна из
тригонометрии. Ее можно считать простейшей и основной временной реализацией
вибрации. В математике функция синуса описывает зависимость отношения катета к
гипотенузе от величины противолежащего угла. Синусоидальная кривая при таком
подходе является просто графиком синуса в зависимости от величины угла. В
теории вибраций синусоидальная волна также является функцией времени, однако
один цикл колебания иногда рассматривают также как изменение фазы на 360
градусов. Об этом мы еще поговорим подробнее при рассмотрении понятия фазы.
Упомянутая выше скорость движения определяет быстроту изменения положения
тела. Скорость (или быстрота) изменения некоторой величины относительно
времени, как известно из математики, определяется производной по времени:
v=dd/dt= wDcos(t),(3)
где n - мгновенная скорость.
Из этой формулы видно, что скорость при гармоническом колебании также
ведет себя по синусоидальному закону, однако, вследствие дифференцирования и
превращения синуса в косинус, скорость сдвинута по фазе на 90 (то есть на
четверть цикла) относительно смещения. Ускорение - это скорость изменения
скорости:
a=dv /dt= w-2 Dsin(wt),(4)
где а - мгновенное ускорение.
Следует отметить, что ускорение сдвинуто по фазе еще на 90 градусов, на
что указывает отрицательный синус (то есть на 180 градусов относительно
смещения).
Из приведенных уравнений видно, что скорость пропорциональна смещению,
умноженному на частоту, а ускорение - смещению, умноженному на квадрат частоты.
Это означает, что большие смещения на высоких частотах должны сопровождаться
очень большими скоростями и чрезвычайно большими ускорениями.
Представьте, например, вибрирующий объект, который испытывает смещение 1
мм с частотой 100 Гц. Максимальная скорость такого колебания будет равна
смещению, умноженному на частоту:
v
=1х100=100 мм с.
Ускорение равно смещению, умноженному на квадрат частоты, или
а = 1 х (100)2 = 10000 мм с2 = 10 м с2 .
Ускорение свободного падения g равно 9,81м/с2. Поэтому в единицах g
полученное выше ускорение приблизительно равно10/9,811 g.
Теперь посмотрим, что произойдет, если мы увеличим частоту до 1000Гц:
v=1x1000=1000
мм с =1 м/с,
а = 1x (1000)2 = 1000000 мм /с2 = 1000 м/ с2 = 100 g
Таким образом, мы видим, что высокие частоты не могут сопровождаться
большими смещениями, поскольку возникающие в этом случае огромные ускорения
вызовут разрушение системы.
1.3 Динамика механических систем
Небольшое компактное тело, например кусочек мрамора, можно представить
как простую материальную точку. Если приложить к ней внешнюю силу, она придет в
движение, которое определяется законами Ньютона. В упрощенном виде, законы Ньютона
гласят, что покоящееся тело будет оставаться в покое, если на него не действует
внешняя сила. Если же к материальной точке приложена внешняя сила, то она
придет в движение с ускорением, пропорциональным этой силе. Большинство
механических систем является более сложными, чем простая материальная точка, и
они совсем не обязательно будут перемещаться под воздействием силы как единое
целое. Роторные машины не являются абсолютно твердыми и отдельные их узлы имеют
различные жесткости. Как мы увидим далее, их реакция на внешнее воздействие
зависит от природы самого воздействия и от динамических характеристик
механической конструкции, причем эту реакцию очень тяжело предсказать. Проблемы
моделирования и предсказания реакции конструкций на известное внешнее воздействие
решаются с помощью метода конечных элементов (МКЭ) и модального анализа. Здесь
мы не будем подробно останавливаться на них, так как они достаточно сложны,
однако для понимания сущности вибрационного анализа машин полезно рассмотреть,
как взаимодействуют между собой силы и конструкции.
1.4 Измерения амплитуды вибрации
Для описания и измерения механических вибраций используются следующие
понятия (рисунок 2):
Максимальная Амплитуда (Пик) - это максимальное отклонение от нулевой
точки, или от положения равновесия.
Размах (Пик-Пик) - это разница между положительным и отрицательным
пиками. Для синусоидального колебания размах в точности равен удвоенной пиковой
амплитуде, так как временная реализация в этом случае симметрична. Однако, как
мы скоро увидим, в общем случае это неверно.
Среднеквадратическое значение амплитуды (СКЗ) равно квадратному корню из
среднего квадрата амплитуды колебания. Для синусоидальной волны СКЗ в 1,41 раза
меньше пикового значение, однако, такое соотношение справедливо только для
данного случая.
СКЗ является важной характеристикой амплитуды вибрации. Для ее расчета
необходимо возвести в квадрат мгновенные значения амплитуды колебаний и
усреднить получившиеся величины по времени. Для получения правильного значения,
интервал усреднения должен быть не меньше одного периода колебания. После этого
извлекается квадратный корень и получается СКЗ.
Рисунок 2 - Вибрация.
СКЗ должно применяться во всех расчетах, относящихся к мощности и энергии
колебания. Например, сеть переменного тока 117В (речь идет о североамериканском
стандарте). 117 В - это среднеквадратичное значение напряжения, которое
применяется для расчета мощности (Вт), потребляемой включенными в сеть
приборами. Напомним еще раз, что для синусоидального сигнала (и только для
него) среднеквадратичная амплитуда равна 0,707хПик.
1.5 Понятие фазы
Фаза (Рисунок 3) есть мера относительного сдвига во времени двух
синусоидальных колебаний. Хотя по своей природе фаза является временной
разностью, ее почти всегда измеряют в угловых единицах (градусах или радианах),
которые представляют собой доли цикла колебания и, следовательно, не зависят от
точного значения его периода.
Рисунок 3 - Понятие фазы.
Разность фаз двух колебаний часто называют сдвигом фазы. Сдвиг фазы в 360
градусов представляет собой временную задержку на один цикл, или на один
период, что, по существу, означает полную синхронность колебаний. Разность фаз
в 90 градусов соответствует сдвигу колебаний на 1/4 цикла друг относительно
друга и т.д. Сдвиг фазы может быть положительным либо отрицательным, то есть
одна временная реализация может отставать от другой или, наоборот, опережать
ее.
Фазу можно также измерять по отношению к конкретному моменту времени.
Примером этого является фаза дисбалансовой компоненты ротора (тяжелого места),
взятая относительно положения какой-то его фиксированной точки (рисунок 4). Для
измерения этой величины необходимо сформировать прямоугольный импульс,
соответствующий определенной опорной точке на валу. Этот импульс может
генерироваться тахометром или любым другим магнитным или оптическим датчиком,
чувствительным к геометрическим или световым неоднородностям на роторе, и
называется иногда тахоимпульсом. Измеряя задержку (опережение) между
циклической последовательностью тахоимпульсов и вибрацией, вызванной
дисбалансом, мы тем самым определяем и их фазовый угол.
Рисунок 4 - Измерение фазы.
Фазовый угол может измеряться относительно опорной точки как в
направлении вращения, так и в направлении, противоположном вращению, т.е. либо
как фазовая задержка, либо как фазовое опережение. Различные производители
оборудования используют как тот, так и другой подходы.
1.6 Единицы измерения вибрации
Как мы уже видели, графиком смещения тела, испытывающего гармонические
колебания, является синусоида. Мы показали также, что и виброскорость в этом
случае подчиняется синусоидальному закону. Когда смещение максимально, скорость
равна нулю, так как в этом положении происходит изменение направления движения
тела. Отсюда следует, что временная реализация скорости будет сдвинута по фазе
на 90 градусов влево относительно временной реализации смещения. Другими
словами, скорость опережают по фазе смещение на 90 градусов.
Вспомнив, что ускорение - это скорость изменения скорости, легко, по
аналогии с предыдущим, понять, что ускорение объекта, испытывающего
гармонического колебания, также синусоидально и равно нулю, когда скорость
максимальна. И наоборот, когда скорость равна нулю, ускорение максимально
(скорость изменяется наиболее быстро в этот момент). Таким образом, ускорение
опережает по фазе скорость на 90 градусов. Эти соотношения приведены на рисунке
5.
Рисунок 5 - Основные соотношения.
Существует еще один вибрационный параметр, а именно, быстрота изменения
ускорения, называемая резкостью (jerk).
Резкость - это то внезапное прекращение замедления в момент остановки,
которое вы ощущаете, когда тормозите на автомобиле, не отпуская педаль тормоза.
В измерении этой величины заинтересованы, например, производители лифтов,
потому что пассажиры лифтов чувствительны именно к изменению ускорения.
1.7 Единица измерения амплитуды
В англоязычных странах вибросмещение обычно измеряют в миллидюймах
(1/1000 дюйма; 1 дюйм = 2,54 см), и по традиции применяют значение
"peak-to-peak" (размах). В европейских странах принята международная
система единиц и вибросмещение измеряют в микрометрах (мкм).
Виброскорость обычно измеряют в м/с или в мм/с, в англоязычных странах -
дюйм/с (ips). При измерении виброскорости используются как СКЗ, так и пиковое
значения. В некоторых странах, например, в США, в силу давней традиции, пиковое
значение является более употребительным.
Виброускорение обычно измеряют в единицах g СКЗ (g - ускорение свободного
падения). В действительности g не является системной единицей - это просто то
ускорение, которое мы испытываем, находясь на Земле. Стандартными единицами
измерения ускорения являются м/с2, а в англоязычных странах - дюйм/c2.
1g=9.81м/с2.
Процесс преобразования смещения в скорость или скорости в ускорение
эквивалентен математической операции дифференцирования. Обратное преобразование
ускорения в скорость и скорости в смещение называется интегрированием. Сегодня
можно проводить эти операции внутри самих измерительных приборов и легко
переходить от параметров измерения к другим.
На практике, однако, дифференцирование приводит к росту шумовой
составляющей сигнала, и поэтому оно редко применяется. Интегрирование,
напротив, может быть осуществлено с высокой точностью с помощью простых
электрических цепей. Это является одной из причин, почему акселерометры сегодня
стали основными датчиками вибрации: их выходной сигнал можно легко подвергнуть
однократному или двухкратному интегрированию и получить либо скорость, либо смещение.
Интегрирование, однако, непригодно для сигналов с очень низкой частотой (ниже 1
Гц), так как в этой области уровни паразитного шума чрезвычайно увеличиваются и
точность интегрирования падает. Большинство имеющихся на рынке интеграторов
правильно работают на частотах выше 1 Гц, что достаточно почти для всех
приложений, связанных с вибрациями. Смещение, скорость и ускорение
Как отмечалось выше, вибрационный сигнал смещения на определенной частоте
может быть преобразован в скорость посредством дифференцирования.
Дифференцирование сопровождается умножением амплитуды на частоту, поэтому
амплитуда виброскорости на определенной частоте пропорциональна смещению,
умноженному на эту частоту. При фиксированном смещении, скорость будет
удваиваться с удвоением частоты, а если частота увеличится в десять раз, то и
скорость умножится на десять.
Чтобы получить из скорости ускорение, необходимо еще одно
дифференцирование, а, значит, и еще одно умножение на частоту. Поэтому,
ускорение при фиксированном смещении будет пропорционально квадрату частоты.
Проиллюстрируем это на следующем примере: вы без труда можете махать
рукой, отводя ее вперед и назад на 30 см, делая один цикл в одну секунду, т.е.
с частотой 1 Гц. Вероятно, вы сможете осуществлять движения с такой амплитудой
в 5 или 6 раз быстрее, то есть с частотой 5-6 Гц. Однако представьте себе,
насколько быстро должна двигаться ваша рука, чтобы проходить туда и обратно то
же самое расстояние с частотой 100 Гц или 1000 Гц.
А теперь представьте себе, какую силу вам придется приложить для этого.
По второму закону Ньютона, сила равна массе, умноженной на ускорение. Поэтому
при заданном смещении сила также пропорциональна квадрату частоты. Именно по
этой причине мы никогда не сталкиваемся с процессами, где большие ускорения
сопровождаются большими смещениями. На практике просто не существует таких
огромных сил, которые требуются для этого, а если бы они нашлись, то были бы
крайне разрушительны.
Исходя из этих простых рассуждений, легко понять, что одни и те же
вибрационные данные, представленные в виде графиков смещения, скорости или
ускорения будут выглядеть по-разному. На графике смещения будет усилена
низкочастотная область, а на графике ускорения - высокочастотная при ослаблении
низкочастотной.
Величины смещения, скорости и ускорения в стандартных международных
единицах связаны следующими уравнениями:
На
приведенном рисунке один и тот же вибрационный сигнал представлен в виде
виброперемещения, виброскорости и виброускорения.
Рисунок
6 - Виброперемещение, виброскорость и виброускорение
Обратите
внимание, что график смещения очень трудно анализировать на высоких частотах,
зато высокие частоты хорошо видны на графике ускорения. Кривая скорости
наиболее равномерно по частоте среди этих трех. Это типично для большинства
роторных машин, однако в некоторых ситуациях самыми равномерными являются
кривые смещения или ускорения. Лучше всего выбирать такие единицы измерения,
для которых частотная кривая выглядит наиболее плоской: тем самым
обеспечивается максимум визуальной информации для наблюдателя. Для диагностики
машин наиболее часто применяет виброскорость.
1.8 Сложная вибрация
Вибрация есть движение, вызванное колебательной силой. У линейной механической
системы частота вибрации совпадает с частотой возбуждающей силы. Если в системе
одновременно действуют несколько возбуждающих сил с разными частотами, то
результирующая вибрация будет суммой вибраций на каждой частоте. При этих
условиях результирующая временная реализация колебания уже не будет
синусоидальной и может оказаться очень сложной.
На рисунке 7 высоко- и низкочастотная вибрации накладываются друг на
друга и образуют сложную временную реализацию. В простых случаях, подобных
этому, достаточно легко определить частоты и амплитуды отдельных компонент,
анализируя форму временного графика (временную реализацию) сигнала, однако
большинство вибрационных сигналов значительно сложнее, и их гораздо труднее
интерпретировать. Для типичной роторной машины часто весьма сложно извлечь
необходимую информацию о ее внутреннем состоянии и работе, изучая лишь
временные реализации вибрации, хотя в некоторых случаях анализ последних
является достаточно мощным инструментом, о чем мы поговорим далее в разделе о мониторинге
вибраций машин.
Рисунок 7. Сложная вибрация.
1.9 Энергия и мощность
Для возбуждения вибрации необходимо затратить энергию. В случае вибрации
машин эта энергия генерируется двигателем самой машины. Таким источником
энергии может быть сеть переменного тока, двигатель внутреннего сгорания,
паровая турбина и т.д. В физике энергия определяется как способность совершать
работу, а механическая работа есть произведение силы на расстояние, на котором
действовала эта сила. Единица измерения энергии и работы в международной
системе (СИ) - Джоуль. Один Джоуль эквивалентен силе в один Ньютон, действующей
на расстоянии в один метр.
Доля энергии машины, приходящаяся на вибрацию, обычно не очень велика, по
сравнению с полной энергией, необходимой для работы машины.
Мощность есть работа, выполняемая в единицу времени, или энергия,
затрачиваемая в единицу времени. В системе СИ мощность измеряется в Ваттах, или
в Джоулях в секунду. Мощность в одну лошадиную силу эквивалентна 746 Ваттам.
Мощность вибрации пропорциональна квадрату амплитуды колебаний (аналогично,
электрическая мощность пропорциональна квадрату напряжения или тока).
В соответствии с законом сохранения энергии, энергия не может возникать
из ничего или исчезать в никуда: она переходит из одной формы в другую. Энергия
вибраций механической системы постепенно диссипирует (то есть переходит) в
тепло.
При анализе вибрации более или менее сложного механизма полезно
рассмотреть источники вибрационной энергии и пути, по которым эта энергия
передается внутри машины. Энергия всегда движется от источника вибрации к
поглотителю, в котором она превращается в тепло. Иногда этот путь может быть
очень коротким, однако в других ситуациях энергия может пропутешествовать на
большие расстояния, прежде чем поглотится.
Важнейшим поглотителем энергии машины является трение. Различают трение
скольжения и вязкое трение. Трение скольжение возникает вследствие
относительного перемещения различных частей машины друг относительно друга.
Вязкое трение создается, например, пленкой масляной смазки в подшипнике
скольжения. Если трение внутри машины мало, то ее вибрация обычно велика, т.к.
из-за отсутствия поглощения энергия вибраций накапливается. Например, машины с
подшипниками качения, называемыми иногда антифрикционными, обычно вибрируют
сильнее, чем машины с подшипниками скольжения, в которых смазка действует как
значительный поглотитель энергии. Поглощением энергии вибраций вследствие
трения объясняется также применение в авиации заклепок вместо сварных
соединений: клепаные соединения испытывают небольшие перемещения друг
относительно друга, благодаря чему поглощается энергия вибраций. Тем самым
предотвращается развитие вибрации до разрушительных уровней. Подобные
конструкции называют сильно демпфированными. Демпфирование - это, по существу,
мера поглощения энергии вибраций.
.10 Собственные частоты
Любая механическая конструкция может быть представлена в виде системы
пружин, масс и демпферов (рисунок 8). Демпферы поглощают энергию, а массы и
пружины - нет. Как мы видели в предыдущем разделе, масса и пружина образуют
систему, которая имеет резонанс на характерной для нее собственной частоте.
Если подобной системе сообщить энергию (например, толкнуть массу или оттянуть
пружину), то она начнет колебаться с собственной частотой, а амплитуда вибрации
будет зависеть от мощности источника энергии и от поглощения этой энергии, т.е.
демпфирования, присущего самой системе. Собственная частота идеальной системы
масса-пружина без демпфирования дается соотношением:
(5)
где Fn - Собственная частота;- коэффициент упругости (жесткость)
пружины;- масса.
Рисунок 8 - Пример системы.
Отсюда следует, что с увеличением жесткости пружины увеличивается и
собственная частота, а с увеличением массы собственная частота падает. Если
система обладает демпфированием, а это так для всех реальных физических систем,
то собственная частота будет несколько ниже рассчитанного по приведенной выше
формуле значения и будет зависеть от величины демпфирования.
Множество систем пружина-масса-демпфер (то есть простейших осцилляторов),
которыми можно моделировать поведение механической конструкции, называют
степенями свободы. Энергия вибраций машины распределяется между этими степенями
свободы в зависимости от их собственных частот и демпфирования, а также в
зависимости от частоты источника энергии. Поэтому вибрационная энергия никогда
не распределена равномерно по всей машине. Например, в машине с
электродвигателем главным источником вибраций является остаточный дисбаланс
ротора двигателя. Это приводит к заметным уровням вибрации на подшипниках
двигателя. Однако если одна из собственных частот машины близка к оборотной
частоте ротора, то ее вибрации могут быть велики и на довольно большом удалении
от двигателя. Этот факт необходимо учитывать при оценке вибрации машины: точка
с максимальным уровнем вибрации не обязательно располагается рядом с источником
возбуждения. Вибрационная энергия часто перемещается на большие расстояния,
например, по трубам, и может вызвать настоящее опустошение при встрече с
удаленной конструкцией, чья собственная частота близка к частоте источника.
Явление совпадения частоты возбуждающей силы с собственной частотой
называется резонансом. При резонансе система имеет колебания на собственной
частоте и имеет большой размах колебаний. При резонансе колебания системы
сдвинуты по фазе на 90 градусов относительно колебаний возбуждающей силы.
В дорезонансной зоне (частота возбуждающей силы меньше собственной
частоты) сдвига фаз между колебаниями системы и возбуждающей силы нет. Система
движется с частотой возбуждающей силы.
В зоне после резонанса колебания системы и возбуждающей силы находятся в
противофазе (сдвинуты относительно друг друга на 180 градусов). Резонансные
усиления амплитуды отсутствуют. При росте частоты возбуждения амплитуда
вибрации снижается, однако разность фаз в 180 градусов сохраняется для всех
частот выше резонансной.
.11 Линейные и нелинейные системы
Для понимания механизма передачи вибраций внутри машины важно усвоить
понятие линейности и то, что понимают под линейной или нелинейной системами. До
сих пор мы пользовались термином линейный лишь применительно к шкалам амплитуды
и частоты. Однако этот термин применяют также для описания поведения любых
систем, имеющих вход и выход. Системой мы называем здесь любое устройство или
конструкцию, которые могут воспринимать возбуждение в какой-либо форме (вход) и
давать на него соответствующий отклик (выход). В качестве примера можно
привести магнитофоны и усилители, преобразующие электрические сигналы, или
механические конструкции, где на входе мы имеем возбуждающую силу, а на выходе
- вибросмещение, скорость и ускорение.
Систему называют линейной, если она удовлетворяет двум следующим
критериям:
Если вход х вызывает в системе выход X, то вход 2х даст выход 2Х. Иными
словами, выход линейной системы пропорционален ее входу.
Если вход х дает выход X, а вход у - выход Y, то вход х+у даст выход X+Y.
Иными словами, линейная система обрабатывает два одновременных входных сигнала
независимо друг от друга, причем они не взаимодействуют между собой внутри нее.
Отсюда следует, в частности, что линейная система не дает на выходе сигнал с
частотами, отсутствовавшими во входных сигналах (рисунок 9).
Линейная
система
Нелинейная
система
Рисунок 9 - Системы.
Обратите внимание, что эти критерии отнюдь не требуют, чтобы выход был
аналоговым или сходным по своей природе со входом. Например, на входе может
быть электрический ток, а на выходе - температура. В случае механических
конструкций, в частности, машин, мы будем рассматривать в качестве входа
вибрационную силу, а в качестве выхода - саму измеряемую вибрацию.
.12 Резонанс
Резонансом называют такое состояние системы, при котором частота
возбуждения близка к собственной частоте конструкции, то есть частоте
колебаний, которые будет совершать эта система, будучи предоставлена самой себе
после выведения из состояния равновесия. Обычно механические конструкции имеют
множество собственных частот. В случае резонанса уровень вибрации может стать
очень высоким и привести к быстрому разрушению конструкции.
Резонанс проявляется в спектре в виде пика, положение которого остается
постоянным при изменении скорости машины. Этот пик может быть очень узким или,
наоборот, широким, в зависимости от эффективного демпфирования конструкции на
данной частоте.
Для того, чтобы определить, имеет ли машина резонансы, можно выполнить
один из следующих тестов:
Тест-удар (bump test) - По машине ударяют чем-нибудь тяжелым, например,
киянкой, записывая при этом вибрационные данные. Если машина имеет резонансы,
то в ее затухающей вибрации выделятся собственные частоты.
Разгон или Выбег - машину включают (или отключают) и одновременно снимают
вибрационные данные и показания тахометра. Когда обороты машины приблизятся к
собственной частоте конструкции, на временной реализации вибрации появятся
сильные максимумы.
Тест с вариацией скорости - скорость машины меняют в широком диапазоне
(если это возможно), снимая данные вибрации и показания тахометра. Полученные
данные затем интерпретируют так же, как в предыдущем тесте. На рисунке 10
приведена идеализированная кривая механического резонансного отклика. Поведение
резонирующей системы под воздействием внешней силы, очень интересно и немного
противоречит бытовой интуиции. Оно строго зависит от частоты возбуждения. Если
эта частота ниже собственной (то есть располагается слева от пика), то вся
система будет вести себя подобно пружине, в которой смещение пропорционально
силе. В простейшем осцилляторе, состоящем из пружины и массы, именно пружина
будет определять отклик на возбуждение такой силой. В этой частотной области
поведение конструкции будет совпадать с обыденной интуицией, откликаясь на
большую силу большим смещением, причем смещение будет находиться в фазе с
силой.
В области справа от собственной частоты ситуация другая. Здесь масса
играет определяющую роль, и вся система реагирует на силу, грубо говоря, так,
как это делала бы материальная точка. Это означает, что пропорциональным
приложенной силе будет ускорение, а амплитуда смещения будет относительно
неизменной с изменением частоты.
Рисунок 10 - Кривая механического резонансного отклика.
Если частота внешней силы в точности совпадает с резонансом, то система
будет вести себя совершенно по-другому. В этом случае реакции массы и пружины
взаимоуничтожатся, и сила будет видеть только демпфирование, или трение,
системы. Если система является слабо демпфированной, то внешнее воздействие
будет подобно толканию воздуха. Когда вы пробуете его толкнуть, он легко и
невесомо уступает вам. Следовательно, на резонансной частоте вы не сможете
приложить к системе большую силу, а если попытаетесь это сделать, то амплитуда
вибрации достигнет очень больших значений. Именно демпфирование управляет
движением резонансной системы на собственной частоте.
На собственной частоте сдвиг фазы (фазовый угол) между источником
возбуждения и откликом конструкции всегда составляет 90 градусов.
У машин с длинными роторами, например, турбин, собственные частоты
называют критическими скоростями. Необходимо следить, чтобы в рабочем режиме
таких машин их скорости не совпадали с критическими.
Тест-удар - это хороший способ найти собственные частоты машины или
конструкции. Ударное тестирование является упрощенной формой измерения
подвижности, при которой не используется динамометрический молоток, и поэтому
величина прилагаемой силы не определяется. Получающаяся в результате кривая не
будет корректной в точном смысле. Однако пики этой кривой будут соответствовать
истинным значениям собственных частот, что обычно достаточно для оценки
вибрации машины (рисунок 11).
Рисунок 11 - Ударное тестирование.
Проведение Тест-удара с помощью БПФ анализатора чрезвычайно просто. Если
анализатор обладает встроенной функцией отрицательной задержки, то ее триггер
устанавливают на величину порядка 10% длины временной записи. Затем по машине
вблизи места расположения акселерометра ударяют тяжелым инструментом с
достаточно мягкой поверхностью. Для удара можно использовать стандартный
измерительный молоток или кусок дерева. Масса молотка должна составлять около
10% массы испытываемой машины или конструкции. Если это возможно, временное
окно БПФ анализатора должно быть экспоненциальным, чтобы обеспечить нулевой
уровень сигнала в конце временной записи.
Слева приведена типичная кривая отклика на удар (рисунок 12). При
отсутствии в анализаторе функции задержки запуска может быть использована
немного другая методика. В этом случае выбирается окно Ханна и задаются 8 или
10 усреднений. Затем запускают процесс измерений, а одновременно хаотически
ударяя молотком до тех пор, пока анализатор не закончит измерения. Плотность
ударов должна быть равномерно распределена во времени, чтобы частота их
повторения не появилась в спектре. Если используется трехосевой акселерометр,
то будут записываться собственные частоты по всем трем осям.
Рисунок 12 - Кривая отклика.
В этом случае для возбуждения всех мод колебаний убедитесь, что удары
наносятся под 45 градусов ко всем осям чувствительности акселерометра.
1.14 Частотный анализ
Чтобы обойти ограничения анализа во временной области, обычно на практике
применяют частотный, или спектральный, анализ вибрационного сигнала. Если
временная реализация есть график во временной области , то спектр - это график
в частотной области. Спектральный анализ эквивалентен преобразованию сигнала из
временной области в частотную. Частота и время связаны друг с другом следующей
зависимостью:
Время= 1/ЧастотаЧастота= 1/Время(6)
Временная реализация вибрации несет в себе большое количество информации,
которая для невооруженного глаза незаметна. Часть этой информации может
приходиться на очень слабые компоненты, величина которых может быть меньше, чем
толщина линии графика. Тем не менее подобные слабые компоненты могут быть важны
для выявления развивающихся неисправностей в машине, например, дефектов подшипников.
Сама суть диагностики и обслуживания по состоянию, заключается в раннем
обнаружении зарождающихся неисправностей, поэтому, необходимо обращать внимание
и на чрезвычайно малые уровни вибрационного сигнала.
На приведенном спектре рисунка 13 очень слабая компонента представляет
небольшую развивающуюся неисправность в подшипнике, и она осталась бы
незамеченной, если бы мы анализировали сигнал во временной области, то есть
ориентировались на общий уровень вибрации. Поскольку СКЗ - это просто общий уровень
колебания в широком частотном диапазоне, поэтому небольшое возмущение на
подшипниковой частоте может остаться незамеченным в изменении уровня СКЗ, хотя
для диагностики это возмущение очень важно.
Рисунок 13 - Временное и частотное представление.
.15 Логарифмическая частотная шкала
До сих пор мы рассматривали только один тип частотного анализа, в котором
частотная шкала была линейной. Такой подход применим в том случае, когда
частотное разрешение постоянно во всем частотном диапазоне, что характерно для
так называемого узкополосного анализа, или анализа в полосах частот с
постоянной абсолютной шириной. Именно такой анализ выполняют, например,
БПФ-анализаторы.
Существуют ситуации, когда нужно провести частотный анализ, но
узкополосный подход не обеспечивает представление данных в наиболее удобной
форме. Например, когда изучается неблагоприятное воздействие акустического шума
на организм человека. Человеческий слух реагирует не столько на сами частоты,
сколько на их соотношения. Частота звука определяется по высоте тона,
воспринимаемого слушателем, причем изменение частоты в два раза воспринимается
как изменение тона на одну октаву, независимо от того, каковы точные значения
частот. Например, изменение частоты звука со 100 Гц до 200 Гц соответствует
увеличению высоты на одну октаву, но и увеличение с 1000 до 2000 Гц также есть
сдвиг на одну октаву. Этот эффект настолько точно воспроизводится в широком
частотном диапазоне, что удобно определить октаву, как полосу частот, у которой
верхняя частота в два раза выше нижней, хотя в обыденной жизни октава есть лишь
субъективная мера изменения звука.
Подводя итог, можно сказать, что ухо воспринимает изменение частоты
пропорционально ее логарифму, а не самой частоте. Поэтому разумно выбирать для
частотной оси акустических спектров логарифмическую шкалу (рисунок 14), что и
делается почти повсеместно. Например, частотные характеристики акустического
оборудования всегда даются производителями в виде графиков с логарифмической
частотной осью. При осуществлении частотного анализа звука также принято
использовать логарифмический частотный масштаб.
Рисунок 14 - Логарифмическая частотная шкала.
.16 Октавный и 1/3-октавный анализ
Октава представляет собой настолько важный частотный интервал для
человеческого слуха, что анализ в так называемых октавных полосах утвердился в
качестве стандартного типа акустических измерений. На рисунке 15 показан
типичный октавный спектр, в котором используются значения центральных частот в
соответствии с международными стандартами ISO. Ширина каждой октавной полосы
равна приблизительно 70% ее центральной частоты. Иными словами, ширина
анализируемых полос увеличивается пропорционально их центральным частотам. По
вертикальной оси октавного спектра обычно откладывают уровень в дБ
Важным преимуществом анализа в полосах частот с постоянной относительной
шириной является возможность представления на едином графике очень широкого
частотного диапазона с достаточно узким разрешением на низких частотах.
Конечно, при этом страдает разрешение на высоких частотах, однако это не
вызывает проблем в некоторых приложениях, например, при отыскании
неисправностей в машинах.
Для диагностики машин узкополосные спектры (с постоянной абсолютной шириной
полосы) очень полезны для обнаружения высокочастотных гармоник и боковых полос,
однако для обнаружения многих простых неисправностей машин такое высокое
разрешение часто не требуется. Оказывается, что спектры виброскорости (рисунок
15) большинства машин спадают на высоких частотах, и поэтому спектры с
постоянной относительной шириной полосы являются, обычно, более однородными в
широком частотном диапазоне, Это означает, что подобные спектры позволяют лучше
использовать динамический диапазон приборов. Третьоктавные спектры достаточно
узки при низких частотах, что позволяет выявить первые несколько гармоник
оборотной частоты, и могут эффективно использоваться для обнаружения
неисправностей с помощью построения трендов.
Рисунок 15 - Спектры виброскорости.
Однако использование спектров с постоянной относительной шириной полосы
при вибродиагностики не очень широко принято в промышленности.
2. Задание к
курсовому проекту
1) Рассчитать параметры датчика по заданным входным возмущающим
воздействиям.
) Выбрать тип преобразователя перемещения в электрический сигнал.
) Рассчитать стабилизированный блок питания, работающий от напряжения 220
В. Допустимые отклонения питающего напряжения + 10%, минус 15% от номинального
значения.
) Выходной сигнал датчика должен быть стандартный унифицированный 0 - 5
мА или RS232.
) Допустимая погрешность не более ± 5%.
) Диапазон изменения температуры окружающей среды -50° ¸ +60°
Варианты задания представлены в таблице 1.
Таблица 1 - Варианты заданий по теме 1
|
№
|
Измеряемая величина
|
Измеряемый Диапазон, мм
|
Диапазон Частот,F Гц
|
Напряжение питания, В
|
Максимальная перегрузка
|
Минимальная чувствительность, мА/мм
|
|
14
|
Вибрационное перемещение
|
0,15
|
50¸150
|
25
|
3-кратная
|
35
|
2.1 Расчет схемы датчика вибрационного перемещения
Для расчета я выбрала схему датчика с инерционной
массой и демпфером. Такого типа датчики получили наибольшее распространение,
так как они не требуют связи с неподвижной опорой.
Перемещение преобразуется в электрический сигнал с
помощью любого типа датчика перемещения, например, реостатного.
На рисунке 1 приведена схема ДУ с инерционной массой.
Перемещение системы вызывает появление инерционных усилий, пропорциональных
ускорению:
Рисунок 16 - Расчетная схема датчика с инерционной массой
Обозначим:
x - перемещение корпуса, м;
у- перемещение массы относительно корпуса, м;
С - гибкость пружины, м/н;
R- коэффициент вязкого трения демпфера, Н×сек/м;
М- масса, кг; (1 З (ньютон) =0,102
кг = 1 кг×м/сек2).
Согласно графику, показанному на рисунке 17, задаемся
коэффициентом демпфирования Kd
=3,14 и y/x = 1,2.
Зададимся
отношением 
, тогда
собственная частота будет равна:
где:
- частота, заданная по условию.
Согласно этим данным и перегрузке рассчитываем
значение y:
y=1.2*x*3=0.15*10
- 3 *1.2*3=0.54 мм
Рисунок 17 - Частотные характеристики датчика вибрационных перемещений
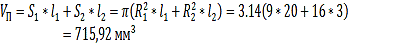
.2 Расчет параметров инерционной массы
Инерционная масса представлена в виде металлического
куба, соединенного с поршнем демпфирующего элемента. Рассчитаем массу исходя из
формулы:
где:
-
плотность металла (используем сталь,
);
V - объем
инерционной массы (определяется суммой объемов куба, и поршня).
Пусть
длина ребра куба а=20 мм, тогда объем Vк=8000мм3
, поршень выполнен в виде стержня, радиусом R1=3мм,
длиной l1=20мм и круглой пластины, диаметром D2=8мм,
высотой h2=3мм. тогда суммарный объем поршня будет равен:
где:
-площадь основания стержня;
-длина
стержня;
-площадь
основания пластины;
l2-высота
пластины.
Суммарный
объем инерционной массы 

. Тогда
масса детали будет равна:
.3
Расчет параметров демпфера
Жидкостные и воздушные демпферы
применяются в виде цилиндров с поршнем, либо наполняют жидкостью всю внутреннюю
полость датчика.
Для цилиндра с поршнем коэффициент вязкого
трения определяется из соотношения:
где К0 - постоянный коэффициент, (К0 » 1);
м0 - вязкость среды в кг×сек/м2;
lП - длина поршня, м;
SП - площадь поршня в м2;
S0 - площадь щели и
отверстий в поршне в м2.
В
качестве демпфирующей жидкости будем использовать глицерин (коэффициент
вязкости м0=1480 кг×сек/м2
), длину поршня (высоту цилиндра демпфера) примем
равной h=3мм, радиус пластины поршня R=4мм, тогда
площадь:
Приняв значения SП = SП = 50,24·10-6 м2, lП =2*10-3 м, рассчитаем
площадь щели и отверстий в поршне S0:
Для осуществления площади S0=1,487*10-6м2 сделаем 4 отверстия R0=0,34 мм, D0=0.68
мм
.4 Расчет параметров пружины
Для цилиндрической пружины, работающей на
сжатие/растяжение жесткость рассчитывается по формуле:
где:G -
модуль сдвига;
d - диаметр проволоки;
n - количество витков;
R - радиус пружины.
Исходя из формулы расчета жесткости и произвольно
задаваясь некоторыми параметрами, рассчитаем жесткость пружины. Пусть d=1,2мм, радиус пружины R=5 мм, число витков n=3, модуль сдвига для пружинной стали
составляет G=78500МПа.
Тогда гибкость будет равна:
Введем постоянные времени:
.5 Определение характера поведения рассчитанного звена
Рассчитанное выше звено может являться либо колебательным либо
апериодическим. Определим характер движения звена. Уравнение движения
инерционной массы запишется в виде:

или
в операторной форме:

Решив уравнение относительно у, получаем:
Введя постоянные времени

и 
где:M -
инерционная масса;
R - коэффициент вязкого трения демпфера;
C - гибкость пружины
будем иметь:
или, так как
то:
Найденные постоянные времени необходимо подставить в
знаменатель получившегося уравнения, и решить уравнение следующего вида:
После подстановки получим:
Имеем простейшее квадратное уравнение. Находим
дискриминант:
Дискриминант больше нуля (D > 0)
=> Уравнение имеет 2 вещественных решения, следовательно перед нами апериодическое звено и его
движение имеет затухающий характер, что и требовалось получить.
.6 Определение времени затухания колебаний
где:R -
коэффициент сопротивления (в данном случае коэффициент трения демпфера);
m - инерционная масса.
Время затухания (успокоения) есть величина обратная
коэффициенту затухания, то есть:
Период колебаний системы определяется из формулы:
где: f -
частота колебаний заданная по условию.
Время успокоения системы на порядок меньше периода
колебаний, из этого следует, что после внешнего воздействия система придет в
стабильное состояние к моменту следующего колебания, что и требовалось
получить.
3.
Выбор преобразователя перемещения
В качестве преобразователя перемещения в электрический
сигнал был выбран емкостной преобразователь.
Конструктивно преобразователь представляет собой полый
металлический цилиндр, внутри которого размещена печатная плата кварцевого
автогенератора. На одном торце цилиндра расположена металлическая пластина,
соединенная винтом с частотозадающей цепью генератора (ножкой кварцевого
резонатора). Эта пластина изолирована от корпуса и является первой обкладкой
емкостного преобразователя перемещений. Второй обкладкой является поверхность
контролируемого объекта, соединенная с общей шиной схемы (землей). Изменение
зазора между обкладками преобразуется в девиацию частоты, которая позволяет оценить
состояние объекта.
Рисунок 8 - Емкостной датчик линейного перемещения
ДЛП-02
Технические характеристики датчика представлены в
таблице 4.
Таблица 4. Технические
характеристики емкостного преобразователя ДЛП-02
|
Диапазон измерения, мм
|
0-1мм
|
|
Основная погрешность , %
|
0.25; 0.5
|
|
Диапазон рабочих температур, `С
|
-30 ... +60
|
|
Дополнительная температурная погрешность “0” и шкалы, %/`С
|
0.05
|
|
Минимальная и максимальная длина датчика в рабочем
положении, мм
|
22 28
|
|
Полный вес датчика, г
|
5.8
|
|
Вес подвижной части датчика, г
|
2.5
|
|
Напряжение питания, В
|
±5
|
|
Выходной сигнал, В
|
от 0-±2
|
Питание датчика вибрационных перемещений будет
осуществляться от внешнего стабилизированного блока питания 25В, выполненного
на основе трансформатора типа ТП1. Особенностью данного трансформатора является
низкое напряжение вторичных обмоток, что позволяет использовать данную марку
для питания полупроводниковых схем. Данный трансформатор работает от сети 220В,
50Гц.
4.
Разработка компоновочной схемы устройства
Компоновочная схема датчика ускорений приведена на
листе 1 Габаритные размеры определены в соответствии с размерами основных
составляющих частей устройства. Во избежание провисания пружины и перекоса
поршня демпфера, инерционную массу необходимо установить на металлические
уголки с прослойкой из капролона графитизированного. Установка преобразователя
перемещения и электронного блока производится на крепления, которые
припаиваются к основанию корпуса датчика. Крепление цилиндра демпфера также производится
при помощи пайки.
Заключение
Известны устройства вибрационного перемещения, в которых транспортирующий
орган связан с источником вибрационных возмущений, направленных перпендикулярно
к плоскости транспортирования и направлению транспортирования.
Устройства вибрационного перемещения, в которых транспортирующий орган
связан с источником продольных бегущих волн, а также с дополнительным
источником колебаний в вертикальном направлении с частотой, отличной от частоты
возбуждаемой продольной бегущей волны
В ходе выполнения курсового проекта изучила принцип действия датчиков
сейсмического типа, предназначенных для проведения исследований влияния
воздействий ускорений и вибрационных нагрузок на элементы радиоэлектронной
аппаратуры. Были приобретены навыки по разработке структурных и принципиальных
схем приборов, расчетов статических и динамических характеристик, правильного
оформления конструкторской документации.
Цель и задачи курсового проекта были полностью выполнены.
Список использованных источников
1 Юрченко В.В. Методическое пособие по курсовому
проектированию по дисциплине «Методы и средства измерений». - Караганда, 2003г.
2 Веселовский О.Н., Браслмский
Л.М. Основы электротехники и электротехнические устройства радиоэлектронной
аппаратуры.- М., 2000.
3 Виглеб Г. Датчики: устройство и применение. - М.:
Мир, 1989г. - 192с.
4 Боровский В.П. Справочник по схемотехнике для
радиолюбителя. Киев: Техника, 1987г. - 425с.
Осипович Л.А. Датчики физических величин. - М.:
Машиностроение, 1979г. - 159с.
Сидоров И.Н. Малогабаритные трансформаторы и
дроссели. - М.: Радио и связь, 1985г. - 416с.
7 Алиев И.И.
Электротехнический справочник. М.: РадиоСофт, 2002г. - 383с.
8 Руководство по
проектированию элементов и систем автоматики под ред. Б.Н. Петрова.
9 Мирский Г. Я., радиоэлектронные измерения, 3 изд.,
М., 1975.
10 Алейников А.Ф., Цапенко М.П., Гридчин
В.А. Датчики. Перспективные направления развития. - Новосибирск: Издательство
НГТУ, 2001г. - 176с.
11 Бриндли К. Измерительные преобразователи. - М.:
Энергоатомиздат, 1991г. - 143с.