Разработка системы автоматического регулирования
Разработка
системы автоматического регулирования
автоматический
регулирование частотный
Введение
Для осуществления автоматического управления
техническим процессом создается система, состоящая из управляемого объекта и
связанного с ним управляющего устройства. Как и всякое техническое сооружение,
система должна обладать конструктивной жесткостью и динамической прочностью.
Эти чисто механические термины в данном случаи несколько условны. Они означают,
что система должна выполнять заданные ей функции с требуемой точностью,
несмотря на инерционные свойства и неизбежные помехи. Пока объект обладает
достаточной жесткостью и динамической прочностью, потребности в автоматическом
регулировании не возникает.
Значение теории автоматического управления в
настоящее время переросло рамки только технических систем. Динамические
управляемые процессы имеют место в живых организмах, экономических и
организационных человеко-машинных системах.
В данном курсовом проекте разработана одна из
разновидностей систем автоматического управления - система автоматического
регулирования (САР), основная задача которой - установить соответствие между
заданием и рабочим параметром объекта управления и при постоянном во времени
задании поддерживать рабочий параметр объекта управления также постоянным
(алгоритм стабилизации). Носителем информации в данной САР является
электрическое напряжение. Исходным заданием к проекту служит математическое
описание объекта управления.
Проектирование велось с использованием пакетов
программ МВТУ 3.6, ТАУ-2 и Mathcad 14.
Определение характеристик объекта
управления
Необходимо определить и построить временные
характеристики объекта управления, амплитудную и фазовую частотные
характеристики и определить особые точки (нули и полюса передаточной функции).
Определение временных характеристик
Заданный объект управления
характеризуется передаточной функцией W(t), которая представляет собой
отношение изображения по Лапласу выходной величины 
к изображению входной величины 
, т.е.
В нашем случае передаточная функция
задана и имеет вид
где 
, 
, 
,
, 
, 
. Тогда, с учетом значений
Переходная характеристика является
откликом объекта управления на единичное ступенчатое воздействие 
- функцию Хевисайда.
Учитывая,
что 
определится:
Оригинал переходной функции 
Весовая характеристика является
откликом объекта управления на единичный импульс 
- функцию Дирака. Учитывая, что 
, 
определится:
Оригинал весовой функции 
:
Рис 1.1. Переходная и весовая характеристика
объекта управления
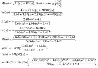
Определение частотных характеристик
Аналитические выражения для
частотных характеристик получены путём замены 
. Частотная передаточная функция в
общем виде представляет собой комплексное выражение от действительной
переменной 
:
где 
- вещественная составляющая;

- мнимая составляющая;

- модуль;

- аргумент.
Модуль и аргумент рассчитываются по
формулам
Амплитудно-частотная характеристика
(АЧХ) - зависимость модуля 
от частоты, а фазовая частотная
характеристика (ФЧХ) - зависимость аргумента 
от частоты.
Рис 1.2. АЧХ объекта управления
Логарифмические амплитудная и
фазовая частотные характеристики - это графики зависимостей 
и 
от логарифма частоты 
.
Рис. 1.3. ЛАЧХ и ЛФЧХ объекта
управления
Нули - это те значения 
, при которых значение 
обращается в ноль. Для определения
нулей необходимо приравнять передаточную функцию к нулю:
B мы видим, что нули
передаточной функции:
Полюса - это те значения 
, при которых знаменатель 
равен нулю. Для нахождения полюсов
необходимо приравнять знаменатель передаточной функции к нулю и найти корни
получившегося уравнения.
Как видно из рисунка одна из точек
лежит на мнимой оси, это означает, что система будет неустойчива.
Рис. 1.4. Особые точки передаточной
функции
Выбор закона регулирования
Структурная схема разрабатываемой системы
представлена на рис. 2.1.
Рис.
На рис. 2.1 приняты обозначения:

- передаточная функция регулятора;

- передаточная функция объекта
управления;

- задающее воздействие;

- ошибка (отклонение);

- управляющее воздействие;

- возмущающее воздействие;

- рабочий параметр.
В разрабатываемой системе реализован
принцип замкнутого управления (управления по ошибке или по отклонению). Суть
этого принципа состоит в том, что на вход регулятора поступает сигнал ошибки 
, который представляет собой
разность задающего воздействия 
и рабочего параметра 
. В зависимости от ошибки регулятор
вырабатывает управляющий сигнал 
, который поступает на
исполнительные элементы объекта управления. Для выбора наилучшего закона
регулирования необходимо исследовать работу системы при различных регуляторах.
Проведем исследование САР с помощью приложения МВТУ 3.6 в соответствии со
схемой приведенной на рис. 2.2.
Рис. 2.2. Схема исследования САР
Рис. 2.3. Схема макроблока
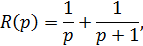
Передаточная функция ИД регулятора имеет вид:
Определим передаточных функций системы с
ИД-регулятором.
а) Передаточная функция САР по каналу управления
Передаточная функция системы по
каналу управления - 
- это отношение изображения
рабочего параметра к изображению задающего воздействия:
получим выражение:
б) Передаточная функция САР по
каналу возмущения
Передаточная функция системы по
каналу возмущения - 
- это отношение изображения
рабочего параметра к изображению возмущающего воздействия:
получим выражение:
в) Передаточная функция САР по
ошибке
Передаточная функция системы по
ошибке - 
- это отношение изображения ошибки
к изображению задающего воздействия:
получим выражение:
г) Передаточная функция разомкнутой системы
Передаточная функция разомкнутой
системы - 
- это отношение изображения сигнала
в точке разрыва (в районе элемента сравнения) к изображению задающего
воздействия:
получим выражение:
Выбор оптимальных параметров
регулятора
Как было отмечено ранее, оптимизация САР
проводилась в программе «МВТУ 3.6». Подбор оптимальных параметров регулятора
производим путём вычисления интегральных оценок при изменении параметров:
§ интеграл от модуля ошибки:
§ интеграл от квадрата ошибки:
В результате исследований получаем
оптимальное значение для ИД-регулятора 
, 
и 
, тогда передаточная функция
регулятора примет вид:
а) по каналу управления
б) по каналу возмущения
г) разомкнутая система
Корневые годографы при изменении
параметров 
и 
ИД-регулятора приведены на рис 3.1,
3.2 и 3.3, соответственно.
Рис. 3.1. Корневой годограф САР с
ИД-регулятором при 
, 
и 
изменяющемся от 0 до 1 c шагом 0.2
Рис. 3.2. Корневой годограф САР с
ИД-регулятором при 
, 
и 
изменяющемся от 0 до 1 c шагом 0.2
Рис. 3.3. Корневой годограф САР с
ИД-регулятором при 
, 
и 
изменяющемся от 0 до 1 c шагом 0.2
Построение временных и частотных
характеристик САР. Определение временных характеристик САР
Переходная характеристика является
откликом системы на единичное ступенчатое воздействие 
- функцию Хевисайда. Учитывая, что 
определится:
Оригинал переходной функции 
Кривая ошибки - это разность
задающего воздействия и выходного параметра. Для переходной характеристики она
определится:
Рис.
Рис. 4.1. Переходная характеристика
САР и кривая ошибки
Весовая характеристика является
откликом системы на единичный импульс 
- функцию Дирака. Учитывая, что 
, 
определится:
Оригинал переходной функции 
.

Рис. 4.2. Импульсная характеристика САР и кривая
ошибки
Определение частотных характеристик
САР
Частотные характеристики - это
формулы и графики, характеризующие реакцию системы на синусоидальное входное
воздействие в установившемся режиме. Аналитические выражения для частотных
характеристик получены путём замены 
. Частотная передаточная функция в
общем виде представляет собой комплексное выражение от действительной
переменной 
:
где 
- вещественная составляющая;

- мнимая составляющая;

- модуль;

- аргумент.Графики АЧХ, ФЧХ и ЛАЧХ
исследуемой САР, получены при помощи программы «МВТУ 3.6» и представлены на
рис. 4.3 и 4.4, соответственно.
Рис 4.3. АЧХ системы автоматического
регулирования
Рис.
Рис. 4.4. ЛАЧХ и ЛФЧХ системы автоматического
регулирования
Оценка устойчивости по критерию
Найквиста
Устойчивость - это свойство системы возвращаться
в исходное состояние после вывода её из этого состояния и прекращения действия
возмущения.
Если амплитудно-фазовая частотная
характеристика разомкнутой системы при изменении частоты от 
до 
не охватывает точку с координатами 
, то замкнутая система является
устойчивой.
Для построения АФЧХ необходима
частотная передаточная функция разомкнутой системы:
АФЧХ разомкнутой системы приведена
на рис. 5.1.
Как видно из графика, АФЧХ не
охватывает точку 
, поэтому замкнутая система является
устойчивой.
Рис. 5.1. Кривая Найквиста (АФЧХ
разомкнутой системы)
Запас устойчивости по амплитуде
показывает, насколько можно увеличить коэффициент передачи при сохранении
устойчивости, в данном случае он равен 
.
Запас устойчивости по фазе -
определяет возможность включения в контур управления реактивных элементов не
нарушающих устойчивость системы. Для данной САР запас устойчивости по фазе
равен 
.
Оценки качества САР
Оценки качества являются числовыми
характеристиками, которые определяют статические и динамические параметры
системы, точность и быстродействие.
Рис. 6.1. Нахождение оценок качества
по переходной характеристике САР
Динамические оценки
Время нарастания - время достижения
переходной функцией первый раз нового установившегося значения:
Время достижения первого максимума:
Время регулирования - это
длительность динамического режима:
Относительное перерегулирование -
максимальное отклонение регулируемой величины от установившегося значения,
выраженное в процентах:
Относительное перерегулирование
лежит в допустимых пределах (меньше 20%).
Статические оценки
Коэффициент астатизма:
где 
- заданная величина на входе 
Интегральные оценки
Линейная интегральная оценка -
интеграл от ошибки за время регулирования:
Квадратичная интегральная оценка -
интеграл от квадрата ошибки за время регулирования:
Разработка принципиальных схем
устройства сравнения и регулятора
В соответствии с полученными в ходе
моделирования законами регулирования и их оптимальными параметрами разработаем
принципиальную схему регулятора и устройства сравнения на базе операционных
усилителей.
Разработка принципиальной схемы
устройства сравнения
Устройство сравнения представляет собой
вычитающее устройство на операционном усилителе. Принципиальная схема данного
устройства представлена на рисунке 7.1. Произведём расчёт данного устройства.
Рис. 7.1. Принципиальная схема
вычитающего устройства
Величина выходного напряжения
определяется по формуле:
При одинаковых номиналах
сопротивлений выходное напряжение равно:
Примем номиналы резисторов 
. В качестве элемента DA1 выберем
операционный усилитель серии К140УД1Б со следующими параметрами:
Разработка принципиальной схемы
ИД-регулятора
ИД - регулятор можно реализовать параллельным
соединением И и Д - регуляторов. Интегральный регулятор представлен на рисунке
7.1.
Коэффициент усиления такой схемы определяется по
формуле:
Рассчитаем необходимые сопротивления.
Рис. 7.2. Принципиальная схема И-регулятора
В нашем случае, 
. Тогда, приняв 
, получаем:
Рассмотрим дифференциальный регулятор. Д -
регулятор имеет следующую передаточную функцию:
Такой передаточной функции соответствует схема
представленная на рис. 7.2.
Рис. 7.2. Принципиальная схема Д - регулятора
Так как:
Для регулятора примем:
тогда для

, 
получаем:

Рис. 7.3. Принципиальная схема сумматора
Для данной схемы:
Необходимо, чтобы 
, это значит, что 
. Примем 
Для создания устройств регуляторов и
сумматора используем низкопотребляющий двухканальный операционный усилитель
LM358 (КР1040УД1) с параметрами:
Заключение
В данной курсовой работе была спроектирована
система автоматического регулирования. Был подобран регулятор к заданному
объекту управления и найдены его оптимальные параметры, обеспечивающие
наименьшее время регулирования. Была проведена оценка устойчивости и качества
САР. Основные результаты, полученные в ходе выполнения курсовой работы,
представлены в табл. 1.
Таблица 1. Результаты курсовой работы
|
Передаточная
функция объекта управления
|
|
|
Тип
регулятора
|
Интегрально-дифференциальный
(ИД)
|
|
Передаточная
функция регулятора
|
|
|
Запас
устойчивости по амплитуде
|
|
|
Запас
устойчивости по фазе
|
|
|
Время
нарастания
|
|
|
Время
регулирования
|
|
|
Перерегулирование
|
|
|
Коэффициент
астатизма
|
|
|
Линейная
интегральная оценка
|
|
|
Квадратичная
интегральная оценка
|
|
Литература
.Доронин
И.С., Теория автоматического регулирования: сборник лабораторных работ. -
Хабаровск: ДВГУПС, 2011г
.Бесекерский
В.А., Попов Е.П.: Теория систем автоматического управления. - М: Изд-во
«Профессия» ,2003г.
.Малячин
Ю.А., 180 аналоговых микросхем (справочник). - М: Изд-во «Патриот», 1993г.
.Доронин
С.В., Теория автоматического управления и регулирования: Учебное пособие. -
Хабаровск: ДВГУПС, 2005г.
.Малай
Г.П., Проектирование систем автоматического регулирования на персональном
компьютере: Задание на курсовой проект с методическими указаниями. - Хабаровск:
ДВГУПС, 1998г.