Разработка систем автоматического регулирования

  • Вид работы:
    Курсовая работа (т)
  • Предмет:
    Информатика, ВТ, телекоммуникации
  • Язык:
    Русский
    ,
    Формат файла:
    MS Word
    235,63 Кб
  • Опубликовано:
    2013-05-17
Вы можете узнать стоимость помощи в написании студенческой работы.
Помощь в написании работы, которую точно примут!

Разработка систем автоматического регулирования

Содержание

Введение

Задание на курсовую работу

Часть 1

Часть 2

Выполнение курсовой работы

Расчетная часть курсовой работы

Решениепреобразование корректирующих звеньев

Схематический чертеж фигуры

Структурная схема алгоритма изготовления шахматных фигур

Разработка программ обработки основания, предварительной обработки и чистовой обработки фигур

Введение

Основы теории управления - одна из дисциплин, образующих науку об управлении.

Эта наука в последние годы распространила свое влияние не только на системы управления технического характера (станки, роботы, самонаводящиеся ракеты, беспилотные самолеты, космические аппараты), но и на объекты производственного, экономического, биологического и социального характера.

Теория управления сформировалась из основ теории регулирования в первую очередь механическими, а затем электрическими объектами.

Две тысячи лет назад арабы снабдили поплавковым регулятором водяные часы. Точность хода часов повысилась за счет постоянства давления воды.

В 1675 году Гюйгенс встроил в часы маятниковый регулятор хода.

В 1765 году Ползунов в Барнауле применил поплавковый регулятор питания котла паровой машины.

В 1784 году Джеймс Уайт получил патент на центробежный регулятор скорости паровой машины.

Вскоре появились регуляторы с воздействием по производной братьев Симменсов, по нагрузке инженера Понселе, сервомоторы с жесткой обратной связью инженера Фарко, регуляторы с гибкой ОС, импульсные регуляторы, вибрационные электрические регуляторы и т.д.

Все эти практические новшества побуждали к проведению теоретических исследований. Вначале в теоретических исследованиях рассматривались лишь идеальные безынерционные регуляторы, затем стали учитываться их динамические свойства, но без учета инерционности объектов управления.

Серьезным прорывом в науке об управлении стали три работы:

работа Джона Максвелла “О регуляторах” (1866 г.),

две работы Вышнеградского “Об общей теории регуляторов” (1876г.) и “О регуляторах прямого действия” (1877 г.).

В этих работах авторы осуществили системный подход к проблеме, рассмотрев регулятор и объект управления как единую динамическую систему. Они перешли к исследованию малых колебаний в системе, впервые применили линеаризацию сложных нелинейных дифференциальных уравнений, описывающих системы регулирования, дав тем самым общий методологический подход к исследованию самых различных по конструкции и принципам действия системам автоматического регулирования (САР).

По предложению Максвелла Раус разработал алгоритм для оценки устойчивости САР по расположению корней характеристического уравнения на комплексной плоскости. Несколько позже Гурвиц вывел критерий устойчивости по детерминантам характеристического уравнения, что позволило определять устойчивость без решения уравнений высокого порядка.

Крупный вклад в теорию автоматического регулирования внес Н.Е. Жуковский, - автор труда “О прочности движения”. Этот труд является классическим для самолетостроителей.

В 20-ом веке теория автоматического регулирования формируется как общая дисциплина благодаря работам Толле (1905 г.), Тома (1914 г.), Штейна, Кулебакина (1926 г.), Лебедева, Боголюбова (1932 г.), Найквиста (1932 г.), Корнилова, Щегляева (1933 г.), Вознесенского (1922 - 1949 гг.), Михайлова (1938 г.), Боде (1946 г.) и других ученых.

Одно из важных направлений исследования устойчивости в нелинейных системах автоматического регулирования (САР) развивалось в работах Ляпунова (1896 г.), Лурье (1944 - 1951 гг.), Летова (1955 г.), Постникова (1944 г.), Айзермана (1949 г.), Попова (1959 г.).

Переходные процессы в САР с использованием фазовых пространств исследовались в работах Андронова (1930 - 1940 гг.), Емельянова (1960 г.).

Импульсные и релейные САР глубоко и всесторонне исследованы в работах Цыпкина. Цикл этих работ был удостоен Ленинской премии в 1960 г.

В последние годы область науки о теории управления внедрилась в биологические объекты, экономические и даже социальные системы. Широкое развитие получила отрасль науки об управлении, базирующаяся на применении в качестве регуляторов и решающих устройств современных ЭВМ и новейших программных продуктов. Благодаря ЭВМ появилась теория оптимального управления по различным критериям оптимальности (работы Понтрягина, Красовского, Винера, Калмана и др.).

Теория автоматического управления в области радиотехники сформировалась в науку под названием “Радиоавтоматика”.

В сложных системах типа живых организмов, организационных человеко-машинных экономических и социальных системах законы динамики не являются основными и определяющими само управление, но их влияние существенно, поэтому отказ от их учета приводит к неверным результатам, крупным экономическим потерям, авариям, социальным взрывам и катастрофам.

Весьма характерные в этом плане вопросы промышленной динамики рассмотрены в работе Дж. Форрестера “Индустриальная динамика” (1976 г.). Перевод на русский “Основы кибернетики предприятия”.

В настоящее время создаются сложные телекоммуникационные сети и сети ЭВМ для управления крупномасштабными системами. В ракетных войсках стратегического назначения, в войсках ПВО, в МВД, в банковских структурах, у энергетиков, у железнодорожников, в почтовой связи такие сети создаются или уже созданы.

В таких сложных системах роль ЭВМ, сетей взаимодействия и программ управления с помощью ЭВМ приобретает первостепенную роль.

Задание на курсовую работу

 

Часть 1

 

1.      Рассчитать параметры системы для осуществления автоматического слежения за объектом, перемещающимся в пространстве и излучающим электромагнитные волны;

Структурная схема:


РПУ- радиоприемное устройство

УР- угловой различитель

КЗ - корректирующее звено;

УМ - усилитель мощности;

ЭД - электродвигатель;

А - антенна;

φц - азимут цели;

φа - азимут главного лепестка антенны;

е - ошибка слежения за объектом;

МОС - местная обратная связь.

2.      Надо определить тип и параметры корректирующего звена и местной обратной связи обеспечивающие качественные показатели систем, численные значения которых определяются предпоследней N1=4 и последнее N0=6 цифрой зачетной книжки.

Исходные данные:


при значениях I и II производных изменения азимута во времени


1)      Параметры исходной части слежения

 

3.      После расчётов КЗ и МОС необходимо составить их функциональные схемы с указанием значений сопротивлений, ёмкости и коэффициентов усиления. Проверить запас устойчивости системы по фазе, усилению и определить фактический показатель колебательной системы Mф.

4.      Используя билинейное Z - преобразование рассчитать системные функции цифровых прототипов КЗ И МОС и составить их структурные схемы для реализации на ЭВМ.

Часть 2

Разработать алгоритм и программу управления для токарного станка с ЧПУ для изготовления шахматных фигур, параметры которых определяются предпоследней N1=9 и последней N0=6 цифрой зачетной книжки.

Тип и габариты фигуры выбираются из таблицы:

№ N0

Фигура

Высота

Диаметр



N 1- четн.

N 1- неч.

N 1- четн.

N 1- неч.

0 ;1

Пешка

50

40

20

18

2;3

Ладья

60

50

25

20

4;5

Слон

70

60

25

20

6;7

Ферзь

80

70

30

25

8;9

Король

90

80

30

25


Заготовка цилиндрической формы из дерева липы длиной 1400мм, диаметром 32 мм.

Выполнение курсовой работы

Расчетная часть курсовой работы

Теория:

Передаточная функция

Передаточной функцией системы называется отношение изображения по Лапласу выходного сигнала к изображению по Лапласу входного сигнала, т.е.:


Инерционное звено

В инерционном или апериодическом звене выходной сигнал связан с входным соотношением

,

откуда Y(p) = k X(p) - p T Y(p),

где Т - постоянная времени звена.

Передаточная функция инерционного звена:

 

.

Если в схеме на рис.1 вместо R2 конденсатор С, а вместо R1 включить резистор R (рис.1), то в соответствии с приведенными на рис.1 обозначениями получим

Рис. 1. Схема инерционного звена

u = u1 + u2, u1 = i R,

.

Тогда U(p) = U1(p) + U2(p) = I(p) R +  I(p).

По определению

(p) = .

После сокращения числителя и знаменателя на рС получим

(p) = ,

где Т = RC - постоянная времени.

Интегратор

В интеграторе выходной сигнал связан с входным соотношением:

 

,

откуда

где , ТИ - постоянная времени интегратора.

Передаточная функция интегратора:

.

Корректирующее звено с отставанием по фазе

Схема корректирующего звена с отставанием по фазе приведена на рис. 1. Сигналом u2(t) в этом звене является напряжение на цепи R2 С.

По определению

 

,

где .

С учетом


имеем

.

Удобнее это выражение представить в виде:

 

,

где Т = R2 C,

.

Рис. 2. Схема корректирующего звена с отставанием по фазе

Дифференцирующая цепь

Схема дифференцирующей цепи приведена ниже. Изображение по Лапласу напряжений на элементах схемы

С(p) = ZС(p) I(p),

тогда с учетом (4.4) получим:

 


По определению

 

.

Умножив числитель и знаменатель на рС, получим:

 

,

где T = RC - постоянная времени RC-цепи.

Этой передаточной функции соответствует дифференциальное уравнение, следующее из соотношения:

,

откуда .

Здесь y(t)=uR(t), x(t)=u(t).

АЧХ и ФЧХ

Амплитудно-частотной характеристикой (АЧХ) называется зависимость модуля ККП от частоты

 


Фазочастотной характеристикой (ФЧХ) называется зависимость аргумента ККП от частоты

 

 

Логарифмические АЧХ и ФЧХ

Логарифмическая АЧХ (ЛАЧХ) определяется выражением

 


При этом по оси абсцисс в линейном масштабе откладывается не частота w, а логарифм частоты. Чаще всего используются логарифмы по основанию 2, log2w или по основанию 10, lgw. В первом случае шкала называется октавной, а во втором случае декадной.

Логарифмическая ФЧХ (ЛФЧХ) строится так: по оси ординат откладывается значение j(w), а по оси абсцисс в линейном масштабе откладывается логарифм частот log2w или lgw.

 

Решение

) Так как в исходную часть схемы следящей системы входят четыре инерционных звена и интегратор, а гарантированно-устойчивой замкнутая система будет только при двух инерционных звеньях, поэтому дополнительно понадобится два корректирующих звена. Для упрощения расчетов возьмём эти звенья с одинаковыми параметрами, передаточная функция которых имеет вид:


необходимо определить kкз, T1 и T2.

С учетом корректирующих звеньев передаточная функция разомкнутой системы имеет вид:


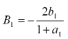
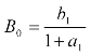
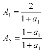
Коэффициенты ошибок по положению, скорости и ускорению равны:

,

где b1 - коэффициент при первой степени p знаменателя;- коэффициент при первой степени p числителя.

 


Получим первое уравнение из системы 2-х уравнений, решив которую найдем T1 и T2


Второе соотношение определим из ЛАЧХ разомкнутой системы. Сначала определим запас устойчивости по фазе:

 

Затем найдем частоту среза разомкнутой системы:

 


Проверяем условие:

,

если это условие выполняется, то частота среза ЛАЧХ разомкнутой системы будет определятся только интегратором и двумя корректирующими звеньями по отставанию.

Построим ЛАЧХ разомкнутой системы. Т.к. в состав системы включены 2 корректирующих звена с отставанием по фазе, то, кроме частоты среза, требуется отметить по оси абсцисс частоты сопряжения корректирующих звеньев:


ЛАЧХ интегратора, входящего в состав системы, представляет собой прямую с наклоном -20 дБ/дек на всей частотной области, одно корректирующее звено имеет наклон -20 дБ/дек на участке (ω1, ω2),при двух КЗ с одинаковыми параметрами их ЛАЧХ суммируются (наклон - 40 дБ/дек). Результирующая ЛАЧХ получается геометрическим сложением всех ЛАЧХ устройств, входящих в САУ. На участке (ω1, ω2) наклон ЛАЧХ получается -60 дБ/дек.

Рис.3 ЛАЧХ разомкнутой системы автоматического управления

До частоты w1 ЛАЧХ системы определяется только интегратором:

)

На участке :

)

На участке ()

) ,

т.к. =0, то после подстановки первого и третьего выражения во второе получим:

 / 20

 =>

Второе соотношение имеет вид:

.

Решаем систему уравнений:

,

решив систему, получим следующие значения:

Находим ЛАЧХ

 

 

Если T1 - T2 > 0, то имеем корректирующие звенья с отставанием по фазе.

) Первое корректирующее звено включим после углового различителя, в состав этого звена включим усилитель.


Необходимо рассчитать параметры этой схемы:


В этой формуле неизвестным является R, поэтому полагаем R = 1 ÷ 5 кОм. Выбираем R = 1 кОм.

Отсюда,

Решаем систему уравнений:

,

где С задаём в пределах от 10 до 10000 мкФ. Отсюда R1 и R2, равны:

Второе звено включим по схеме с обратной связью охватывающей звенья с нестабильными параметрами: усилитель мощности, электродвигатель и антенна. Такое включение повысит стабильность параметров охваченных обратной связью.

Передаточная функция МОС определяется по формуле:

,

где Wкз2 - передаточная функция второго корректирующего звена без усилителя, W2 - передаточная функция звеньев охваченных обратной связью.

Поскольку, частота среза меньше частоты сопряжения, то можно пренебречь слагаемыми:


Подставим в исходную формулу и получим:

,

отсюда


Передаточная функция тахогенератора:


Он должен преобразовать механический сигнал поворота антенны в электрический. Это реализуется с помощью дифцепочки:



Схема МОС реализуется последовательным соединением тахогенератора, дифцепи с постоянной времени

= R2 C

и усилителя с передаточной функцией:


Определим параметры схемы МОС:


Передаточная функция МОС равна:

,

тогда получаем:

.

Из этого уравнения выражаем kус:


Полагаем, что Rм = R, тогда:

,

отсюда

Фактические запасы устойчивости системы по амплитуде и фазе по точным ЛАЧХ и ЛФЧХ. Точное выражение для ЛФЧХ разомкнутой системы выглядит следующим образом:

2 корректирующих звена               РПУ, УР, УМ

Графическое представление ЛФЧХ:


Полагаем, что два корректирующих звена включены последовательно (поскольку МОС была эквивалентно пересчитана).

Точное выражение для ЛАЧХ представляется в следующем виде:

интегратор                       2 корректирующих звена

Графическое представление ЛАЧХ:


Графическое представление ЛАЧХ и ЛФЧХ:


Определим частоту на которой р равняется -π:


тогда

Определим частоту на которой р равняется нулю:


тогда

Согласно ЛАЧХ и ЛФЧХ определили, что меньше , что свидетельствует об устойчивости системы.

Запас устойчивости по фазе определяется след. образом:


Запас устойчивости по усилению определяется:


Запас устойчивости по колебательности (фактический) определяется:

преобразование корректирующих звеньев

автоматический слежение управление станок

Для перехода к цифровым прототипам КЗ и МОС воспользуемся формулой билинейного Z - преобразования


Построим цифровую реализацию корректирующего звена, передаточная функция которого имеет вид:


Найдем TД - период дискретизации:

,

где FД - частота дискретизации

По теореме Котельникова-Найквиста:

FД>2Fmax Fmax=(1.5÷2)Fn,где

, - полоса пропускания замкнутой системы.


Получим


Умножим числитель и знаменатель на , получим:


Обозначим

.


Тогда выражение будет иметь вид:


Чтобы получить , поделим числитель и знаменатель дроби на , получим:


Сделаем замену:

,

где


Этому выражению соответствует следующая схема рекурсивного цифрового звена первого порядка:

Рис.4 Схема цифрового звена 1-го порядка

Далее аналогично построим цифровой прототип для МОС. Период дискретизации оставим тем же.

Произведём билинейное z-преобразование для местной обратной связи:


Обозначим:

  

Получили звено второго порядка, составим схему звена, для этого перейдем к разностным уравнениям:


Рис.5 Схема цифрового звена 2-го порядка


Схематический чертеж фигуры

Рис. 6 Схематический чертеж фигуры


Структурная схема алгоритма изготовления шахматных фигур

Описание:

Блок 1: Установка заготовки в патрон (в ручную).

Блок 2: Зажим заготовки патроном и платформой 3, замена резца.

Блок 3: Программа обработки основания фигуры.

Блок 4: Зажим заготовки платформой 2 и замена резца.

Блок 5: Программа предварительной обработки фигуры.

Блок 6: Программа чистовой обработки фигуры и её обрезка.

Блок 7: Разжим заготовки.

Блок 8: Продвижение заготовки платформой 3 и зажим ее патроном.

Блок 9: Условие выхода из цикла. Да, если заготовка закончилась, в противном случае - нет.

Разработка программ обработки основания, предварительной обработки и чистовой обработки фигур

Теория

1. Структурная схема токарного станка с ЧПУ и назначение блоков

Рис. 7 Структурная схема токарного станка с ЧПУ

На платформе 1 (Пл. 1) укреплены резцы Р1, Р2, Р3. Она может перемещаться в пространстве с заданной скоростью и поворачиваться вокруг оси по часовой и против часовой стрелки на заданный угол. Платформы 2 и 3 служат для зажима заготовки с торцов и могут перемещаться влево и вправо вдоль оси х от патрона до стопоров 2 и 3 соответственно. Патрон может зажимать и разжимать заготовку и вращать её вокруг оси x по часовой и против часовой стрелки с заданной угловой скоростью. Платформы и патрон приводятся в движение исполнительными механизмами, состоящими из электродвигателей с редукторами в виде шестерёнчатых или червячных передач. Шестерёнчатые передачи позволяют изменять скорость вращения, а червячные передачи преобразуют вращательное движение в поступательное.

Датчики совместно с измерительным контроллерами контролируют пространственные координаты платформ, направление и скорость вращения патрона, а также угол поворота Пл. 1, усилия при зажатии заготовки патроном и Пл. 2 и Пл. 3 и передают эти данные в цифровых кодах в управляющую ЭВМ.

Алгоритмические языки программирования

Общие сведения

Роботы, манипуляторы и станки с числовым программным управлением (ЧПУ) являются частными случаями цифровых систем управления.

Для описания процессов обработки деталей на станках с ЧПУ, для программирования работы роботов - манипуляторов применяются алгоритмические языки специального назначения.

Эти языки обеспечивают формально - словесный способ описания процесса обработки.

Написанная на этих языках управляющая программа состоит из последовательности операторов и разрабатывается по следующим этапам:

1. На чертеже детали указывается система координат.

. Каждому геометрическому объекту (точке, прямой, окружности, контуру, поверхности) ставится в соответствии номер.

. С помощью макрокоманд рассчитываются координаты движения обрабатывающих инструментов или других объектов.

. На основе рассчитанных координат задается последовательность технологических команд обработки.

Последняя процедура обычно программируется совместно с технологами, так как процесс обработки должен удовлетворять определенным требованиям технологического процесса.

Операторы определения геометрических объектов

Ниже перечислены основные операторы этой группы.

Операторы определения точки:

1) pm = pj - совпадает с точкой pj.

) pm = x0, y0 - имеет декартовы координаты x0,y0.

) pm = cj - находится в центре окружности j.

4) pm = lj, lk - находится на пересечение прямых j, k.

) pm = pj, dx0, dy0 - смещена от точки j на dx0 и dy0.

6) pm = pj, ipk - расположена симметрично точке j относительно точки k.

) pm = pj,ilk - расположена симметрично точке j относительно прямой k

) pm = r0, u0 - в полярных координатах r0,u0 относительно центра координат.

) pm = pj, r0, u0 - в полярных координатах r0,u0 относительно точки j.

и т.д. всего 16 разновидностей операторов.

Операторы определения прямой:

1) lm = lj - совпадает с прямой.

) lm = x0, y0 - отсекает по осям координат отрезки x0, y0.

3) lm = pj, x0, y0 - то же с центром координат в точке j.

) lm = pj, pk - проходит через точки j и k.

) lm = y0 - параллельна оси x на расстоянии y0.

) lm = x0 - параллельна оси y на расстоянии x0.

) lm = pj, lk - параллельна прямой k, проходящую через точку j и т. д.

Всего 18 разновидностей операторов.

Операторы определения окружности :

1) cm = cj - совпадает с окружностью j.

) cm = x0, y0, r0 - имеет центр с координатами x0, y0, радиус r0.

) cm = x0, y0, r0 - имеет центр в точке j, радиус r0.

4) cm = cj, dx0, dy0 - центр смещен на dx0, dy0.

5) cm = cj, r0 - центр совпадает с окружностью cj, радиус r0.

) cm = pj, pk - центр в точке j, точка k на окружности.

) cm = pj, lk - центр в точке j, касается с прямой k.

) cm = pj, pk, pn - проходит по трем известным точкам и т.д.

Всего 18 разновидностей операторов.

Операторы движения инструмента вдоль линии

Операторы движения инструмента вдоль линии в общем виде можно представить следующим образом:i = < спецификация движения >,

где i - индекс, характеризующий движение объекта (платформы, резца, фрезы, механической руки и т.д.)

При i = 0 осуществляется быстрое перемещение объекта в заданную точку по кратчайшему пути - по прямой. Это движение еще называется позиционированием.

При i = 1 осуществляется перемещение инструмента по прямой с заданной скоростью.

При i = 2 осуществляется движение инструмента по заданной дуге окружности по часовой стрелке.

При i = 3 осуществляется движение инструмента по заданной дуге окружности против часовой стрелки.

Вспомогательные операторы

К вспомогательным относятся операторы, которые задают параметры обрабатывающих инструментов, особенности генерации кодов движения инструментов, точку начала движения, а также параметры черновой и чистовой обработки поверхности деталей.

Приведем некоторые примеры вспомогательных операторов:

% GENER (k) - этот оператор задает генерацию кодов движения инструмента в абсолютных координатах при k = 0 или в приращениях координат при k = 1.

% CUTTER (d) - этот оператор задает диаметр фрезы d в мм для фрезерных станков или расстояние от центра платформы до конца резца для токарного СЧПУ.

% FROM (p, z) - этот оператор задает точку начала движения инструмента, где p - номер точки, соответствующей центру платформы с координатами (x, y), на которой крепится резец, z - исходная координата z (высота подъема) резца или оси вращения фрезы. Для токарных станков обычно z = 0.

% THICK (t) - этот оператор задает припуск на чистовую обработку поверхности после черновой, где t - величина припуска в мм.

Вспомогательные операторы находятся обычно в начале программы или макрокоманды.

Разработка программы обработки основания фигуры

Точка p1 имеет координаты х = 0 и у = 0.

Точка p5 - координаты центра окружности с радиусом r0.

Точка p3 имеет координаты (0,-15), а точка p4 имеет координаты (0,-16).

Определим радиус окружности и координаты точки p5, для этого воспользуемся теоремой Пифагора:

02 = (-15)2 + (r0 - 2)2 = 225 + r02 - 4 r0 + 4

r0 = 2290 = 57,25,

соответственно, точка p5 имеет координаты (-55,25, 0).

Выполним схематичный чертеж основания фигуры:


Тогда программа для обработки основания фигуры будет иметь следующий вид:

<Программа обработки основания фигуры>

% GENER (0)

; ввод информации о геометрических объектах

p1 = x 0, y 02 = x 2, y 03 = x 0, y -154 = x 0, y -16

p5 = x -53,25, y 0

; p6 координаты точки начального положения платформы 16 = x - 200, y - 300

с1 = p5, r 57,25

; обработка основания фигуры

% CUTTER (100)

% FROM (6, 100)0 = p11 = p2

m2 = p2, c1, p31 = p4

; возврат платформы 1 в точку p6

Разработка программы предварительной обработки поверхности фигуры

Выполним схематичный чертеж, предназначенный для предварительной обработки фигуры:


<Программа предварительной обработки поверхности фигуры>

% GENER (0)

; ввод информации о геометрических объектах

p1 = x 0, y -162 = x 0, y -153 = x 80, y -154 = x 80, y -16

p5 = x 14, y -96 = x 80, y -9

; p7 координаты точки начального положения платформы 17 = x -200, y -300

; черновая обработка фигуры

% CUTTER (100)

% FROM (7, 0)0 = p11 = p21 = p30 = p40 = p21 = p51 = p6

; возврат платформы 1 в точку p7

Разработка программы чистовой обработки поверхности фигуры

Выполним схематичный чертеж, для чистовой обработки фигуры:

<Программа чистовой обработки поверхности фигуры>

% GENER (0)

; ввод информации о геометрических объектах

p1 = x 0, y -152 = x 14, y -93 = x 20, y -154 = x 25, y -55 = x 35, y -56 = x 40, y -87 = x 42, y -88 = x44, y -8

p9 = x 50, y -5

p10 = x 55, y -511 = x 60, y -512 = x 65, y -513 = x 80, y -514 = x 80, y 01 = p3, r 102 = p7, r 23 = p11, r 5

; p15 координаты точки начального положения платформы 115 = x -200, y -300

; чистовая обработка и обрезка фигуры

% CUTTER (100)

% FROM (15,0)0 = p11 = p22 = p2, с1, p41 = p51 = p63 = p6, c2, p81 = p9

m1 = p103 = p10, c3, p121 = p13

; обрезка фигуры1 = p14

; возврат платформы 1 в точку p15

Похожие работы на - Разработка систем автоматического регулирования

 

Не нашли материал для своей работы?
Поможем написать уникальную работу
Без плагиата!
Без нейросетей!