|
№ п/п
|
Нагрузка
|
Подсчет
|
Нормативная нагрузка gn,
кН/м2
|
Расчетная нагрузка g,
КН/м2
|
|
1 1.1 1.2 1.4 1,5
|
Постоянная Металлочерепица Обрешетка Противоконденсатная пленка
Контробрешетка Стропильная нога
|
5∙10/103∙cos25
0,03∙0,1∙500∙10/
/103∙0,3∙cos25
0,05∙0,025∙500∙10/
/103∙0,3∙cos25
0.18∙0.05∙500∙10/103∙1∙cos25
|
0,055 0,055 0,5 0,023 0,05
|
0,074 0,074 0,675 0,031 0,067
|
|
|
Всего:
|
gn=0,683
|
g=0,921
|
|
2 2.1
|
Временная Снеговая (г. Мозырь)
|
Sn = 0,8∙1=0,8
|
0,8
|
1,28
|
|
|
Всего:
|
qn=1,883
|
q=2,201
|
Определение расчетных
усилий и прочностных характеристик
Определение усилий
возникающих в плите от расчетных и нормативных нагрузок
1. Конструктивная длина
панели Lk=5380 мм.
2. Расчетная длина панели L0=Lk-110/2-110/2=5380-55-55=5,270 м.
3. 
=
54,83кН∙м
. 
=
= 41,61 кН
Определяем геометрические
характеристики
1. Определяем геометрические
характеристики сечения. Сечение многопустотной панели приводим к эквивалентному
двутавровому профилю. Круглые отверстия заменяют квадратными с той же площадью,
моментом инерции и положением центра тяжести.
2. Высота эквивалентного квадрата h1=0,9∙d=0,9∙159=143 мм. Бетон растянутой зоны в работе не
участвует.
3. Определяем высоту сжатой полки
панели по формуле
h’f =
,
. проверяем условие 
=
=0,175>0,1; условие
выполняется, следовательно, в расчет
вводится вся ширина
полки b'f=1460 мм.
. Определяем расчетную
ширину ребра = b’f - n∙ h1, где n - количество пустот,
определяемое по формуле n=B/200=1500/200=7 пустот; b=1460-7∙143=
459 мм.
. Определяем рабочую
высоту сечения d=h-c=220-20=200 мм.
Определяем
характеристики прочности бетона и арматуры
Определяем необходимые
характеристики для бетона класса С30/37:
· Нормативное
сопротивление бетона осевому сжатию 
=30 МПа
· Нормативное
сопротивление бетона осевому растяжению 
=2 МПа (таб.
6.1СНБ5.03.01 -02);
· Коэффициент безопасности
по бетону 
=1,5;
· Расчётное сопротивление
бетона осевому сжатию 
=30/1.5=20 МПа;
· Расчётное сопротивление
бетона осевому растяжению
=
=2/1.5=1,3 МПа;
· Модуль упругости бетона
при марке по удобоукладываемости СЖ2 
=41∙103 МПа
(таб. СНБ 5.03.01-02);
Определяем необходимые
характеристики арматуры:
· В качестве
предварительно напрягаемой арматуры принимаем арматуру класса S800 
= 640 МПа
· Для продольной
ненапрягаемой арматуры класса S800
нормативное сопротивление 
= 640 МПа (таб. СНБ
5.03.01-02).
· Для поперечной арматуры
класса S500 расчётное сопротивление 
=333 МПа для сварного
каркаса из проволочной арматуры (таб. СНБ 5.03.01-02).
· Модуль упругости
арматуры всех классов ЕS=200∙103
МПа.
Расчет плиты по
нормальным сечениям (по деформационной модели)
1. Определяем положение нейтральной
оси, проверяем условие:
54,91 кН∙м
1∙20∙106∙1,46∙0,0385∙(0,2-0,5∙0,0385)=203,2
кН∙м
Условие выполняется,
нейтральная ось проходит в полке, сечение рассчитываем как прямоугольное
шириной b=b'f=1,46 м.
. 
0,047
. 
= 0,048
. 
. 
∙0,99)=0,401
. 
. 
1,38

здесь
. 
3,31 см2
Принимаем 2 стержней Ø 16 мм. Площадью As=4,02 см2.
Выполняем проверку правильности
подбора арматуры.
Определяем относительную высоту
сжатой зоны бетона:

0,044
8.1.
Определяем:
αm=
∙(1-0,5∙
)=0,044 (1-0,5∙0,044)=0,043
8.2. Определяем несущую способность
сечения

54,89 кН∙м
8.3. 

54,89 кН > 54,83 кН∙м
условие выполняется.
Расчет прочности по
наклонным сечениям
Для поперечного армирования
принимаем конструктивно сетки, устанавливаемые в приопорных четвертях пролета
панели = 0,25L.
Конструирование каркаса.
1.1. В зависимости от диаметра
продольной арматуры назначаем диаметр поперечной арматуры 8 мм.
1.2. По сортаменту принимаем
площадь двух поперечных стержней для поперечной арматуры равной 1,5 см2.
1.3. Назначаем расстояние между
поперечными стержнями вдоль элемента
а) на приопорных участках равным 110
мм.
б) в средней части пролета равным
300 мм.
Обеспечение прочности по
наклонной трещине
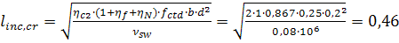
1. Определяем длину проекции
наиболее опасного наклонного сечения на продольную ось элемента
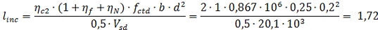
. Определяем величину
поперечной силы, воспринимаемой бетоном
3. Определяем
усилие в хомутах на единицу длины элемента для приопорного участка 
. Определяем
длину проекции опасной наклонной трещины на продольную ось элемента
. Определяем поперечную силу
воспринимаемую хомутами


=

= 263,4 кН
. 
= 
263,4 
= 283,78 кН
. Проверяем
условие 
41,61 кН
283,78 кН - условие выполняется.
Расчет прочности по
наклонной полосе между наклонными трещинами
1. Определяем
коэффициент 
по формуле 
. Определяем
коэффициент 
по формуле 
здесь 
; 
=0,00062
. Находим 
. Проверяем
условие 
; 
условие
выполняется
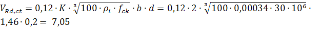
Проверяем необходимость
постановки поперечной арматуры по расчёту.
1. 
. 
0,00034
. 
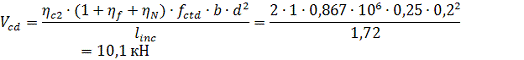
кН, но не менее
=151,84 кН. Принимаем
151,84 кН
4. 
Vsd > Vrd,ct:

> 151,84 кН.
Условие не выполняется,
следовательно, постановка поперечной арматуры не требуется
Расчет плиты на действие
изгибающего момента при подъеме и монтаже
Подъем и монтаж плиты осуществляется
за 4 монтажные петли, устанавливаемые в продольных ребрах. Расчет включает
подбор монтажной арматуры и определение диаметра монтажных петель. В качестве
расчетной схемы применяется двухконсольная балка. Расстояние между её опорами
принимается равным, расстоянию между петлями для монтажа плиты 0,6L.
1. Нагрузкой является собственный
вес плиты умноженный на коэффициент динамичности
Gсв=Gd,пл∙K∙b'f=4,025∙1,4∙1,46=8,23 кН/м2
2. Определяем отрицательный
изгибающий момент:

кН/м
3. Определяем
значение коэффициента α0:
4. Определяем значение
коэффициента ξ:

= 0,00042
. Проверяем
условие 
,00042
0,52
6. Определяем требуемую площадь
монтажной арматуры:
Принимаем 4 стержня Ø 8 мм. Площадью As=2,0 см2
7. Требуемая площадь поперечного
сечения одной петли:
Принимаем петлю диаметром 10 мм.
Конструирование плиты
перекрытия
Многопустотная плита перекрытия
запроектирована в соответствии с рабочими чертежами, утвержденными РУП
«Стройтехнорм» от 03.09.2008 г.
Запроектирована плита ПТМ
54.15.22-8S1400-3w, с арматурой класса S500 и S800 и бетоном класса С30/37.
Принимаем преднапряженую арматуру в
количестве 2 штуки с Ø 16 мм.
По таблице определяем сетку С1,
которая принята для проектируемой плиты в количестве 2 штуки. Данная сетка
запроектирована из продольной рабочей арматуры Ø6 мм с шагом 110 мм. в центральной части плиты; и поперечной
арматуры Ø6
мм с шагом 300 мм.
В каталоге находим таблицу с
каркасами и принимаем каркас для проектируемой плиты С2 в количестве 2 штуки. с
продольными стержнями Ø6 мм. и поперечными стержнями Ø6 мм. с шагом 270 мм.
С1 и С2 расположенных на приопорных
участках в нижней и верхней части плиты соответственно.
Для поднятия и перемещения плиты
выполняются 4 монтажные петли Ø10 мм. из арматуры класса S240. Петли выполняются на расстоянии 365 мм. от торцов плиты.
2.2 Расчет брусковой
перемычки над оконным проемом
Исходные данные: 5-ти этажный 2-х
секционный жилой дом. Ширина оконного проема в свету: 1510 мм. Толщина стены:
590 мм. Расстояние между осями наружной и внутренней стены: 5,4 м. Перекрытие в
здании выполнено из сборных многопустотных панелей толщиной 220 мм. Пол:
дощатый. Класс бетона: С16/20. Класс продольной арматуры: S500. Класс поперечной арматуры: S400.
Подбор элементов
перемычки
Перемычка над оконным проемом
состоит из 4 элементов одинаковой ширины. На внутренний элемент перемычки
опираются панели перекрытия (несущая перемычка). Остальные элементы перемычки
несут нагрузку только от кладки (самонесущая).
Определяем минимальную длину
перемычек при минимальных размерах заделки концов в стену:
Для несущих: 250 мм.
Для самонесущих: 120 мм.
L1=1510+2∙250=2010 мм.
L2=1510+2∙120=1750
мм.
Принимаем 2 самонесущие перемычки
марки 2ПБ 16-2, и одну несущую марки 5ПБ 21-27.
Определение расчетных
усилий для несущей перемычки
Данная перемычка воспринимает
нагрузку от собственного веса перемычки, от плиты и от кладки высотой пояса от
2,175 до 3,540, что составляет 1,365 м.
1. Расчетная нагрузка на один погонный метр перемычки от собственной
массы: qсоб = b·h·ρ·γf·10/103=0,25∙0,22∙2500∙1,35∙10/103=1,4
Кн/м
2. Расчетная нагрузка от массы стены qст =1/4·t·h·ρ·γf =1/4∙0,25∙1,3∙2000∙1,35
·10/103=2,2 кН/м
3. Расчетная нагрузка от плиты qпл = q/2=7,02∙5,4/2 = 18,9 кН/м
4. Q= qсоб + qст + qпл =1,4 +2,2 + 18,9 =22,5
кН/м
5. Расчетная длина перемычки: L0 = (2070-1510)/2+1510=1790 мм.
6. 
=
9,0 кН∙м
7. 
=
= 20,1 кН
Определяем
характеристики прочности бетона и арматуры
Определяем необходимые
характеристики для бетона класса С16/20:
· Нормативное
сопротивление бетона осевому сжатию 
=16 МПа
· Нормативное
сопротивление бетона осевому растяжению 
=1,3 МПа (таб.
6.1СНБ5.03.01-02);
· Коэффициент безопасности
по бетону 
=1,5;
· Расчётное сопротивление
бетона осевому сжатию 
=10,67 МПа;
· Расчётное сопротивление
бетона осевому растяжению
==0,867 МПа;
· Модуль упругости бетона
при марке по удобоукладываемости СЖ2 
=38∙103 МПа
(таб. СНБ 5.03.01-02);
Определяем необходимые
характеристики арматуры:
· Для продольной
ненапрягаемой арматуры класса S500
нормативное сопротивление 
=435 МПа (таб. СНБ
5.03.01-02).
· 
= 0,9∙500/1,2=375
МПа.
· Для поперечной арматуры
класса S400 расчётное сопротивление 
=263 МПа для сварного
каркаса из проволочной арматуры (таб. СНБ 5.03.01-02).
· Модуль упругости
арматуры всех классов ЕS=200∙103
МПа.
Расчет перемычки на
прочность по нормальным сечениям

0,084

= 0,087
Проверяем условие 
. Условие выполняется.
. Определяем требуемую
площадь поперечного сечения продольной арматуры:
Принимаем 2 стержня Ø 10 мм. Площадью As = 1,6 см2
5. Выполняем проверку
правильности подбора арматуры.
.1. Определяем
относительную высоту сжатой зоны бетона:

0,13
.2. Определяем: αm=
∙(1-0,5∙
)=0,13 (1-0,5∙0,13)=0,121
5.3 Определяем несущую способность
сечения

12,9 кН∙м

>
12,9 кН∙м > 9,0 кН∙м
условие выполняется.
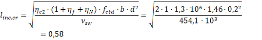
Обеспечение прочности по
наклонной трещине
Конструктивно принимаем поперечную
арматуру класса S400 Ø3 мм.
1. Действующая
поперечная сила равна: 
. Определяем
длину проекции наиболее опасного наклонного сечения на продольную ось элемента:
. Определяем величину
поперечной силы, воспринимаемой бетоном:
4. Определяем
усилие в хомутах на единицу длины элемента для приопорного участка: 
. Определяем
длину проекции опасной наклонной трещины на продольную ось элемента:

6. Определяем поперечную силу
воспринимаемую хомутами:


=

= 36,8 кН
. 
= 
36,8 = 46,9 кН
. Проверяем
условие: 
,1 кН
46,9 кН - условие
выполняется.
Расчет прочности по
наклонной полосе между наклонными трещинами
1. Определяем
коэффициент 
по формуле: 
. Определяем
коэффициент 
по формуле: 
здесь 
; 
=0,009
3. Находим

4. Проверяем
условие: 
,
условие выполняется
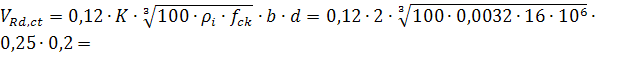
Проверяем необходимость
постановки поперечной арматуры по расчёту
5. 
. 
0,0032
. 
2,1 кН, но не менее 
=
=17,34 кН. Принимаем 
17,34 кН
. 
Vsd
< Vrd,ct: 20,1 < 17,34 кН. Условие не выполняется, следовательно
постановка поперечной арматуры требуется.
Конструирование
брусковой перемычки
В соответствии с заданием на
проектирование запроектирована брусковая перемычка марки 5ПБ21-27 с классом
бетона С16/20.
По расчету принимаем рабочую
продольную арматуру класса S500 Ø10 мм. в верхней
части перемычки и Ø10 мм. в нижней части.
Для совместной работы продольной
арматуры конструктивно принимаем поперечную арматуру класса S400 Ø3 мм. с шагом 110 мм. на приопорных участках и 340 мм. с средней
части перемычки.
3 Для поднятия и перемещения
перемычки устанавливаются 2 строповочные петли Ø9 мм. из арматуры класса S240. Петли располагаются на расстоянии 200 мм. от торцов
перемычки.
3. Организационно-технологическая часть
3.1 Технологическая
карта на устройство дощатого пола
Согласно заданию на дипломное проектирование
разработана технологическая карта на устройство дощатого пола для пятиэтажного
жилого дома.
Рабочими чертежами для выполнения
технологической карты являются чертежи пятиэтажного жилого дома в г. Мозырь.
Технологическая карта разработана с
учетом опыта ведения работ ведущих строительных организаций с применением
действующей в РБ нормативно-справочной литературы.
Благодаря разработанной
технологической карте сокращаются сроки производства работ, трудоемкость.
Технологическая карта разработана с
учетом охраны труда, техники безопасности и охраны окружающей среды.
Технологическая карта состоит из
следующих разделов:
.1.1 Область применения;
.1.2 Характеристики применяемых
материалов и изделий;
.1.3 Организация и технология
производства работ;
.1.4 Потребность в
материально-технических ресурсах;
.1.5 Контроль качества;
.1.6 Техника безопасности, охрана
труда и окружающей среды;
.1.7 Калькуляция и нормирование
затрат труда;
Литература, нормативные ссылки (см.
литературу).
3.1.1 Область применения
Технологическая карта
предусматривает технологию производства работ при устройстве дощатого пола с
использованием доски пола которую необходимо применять с сухим режимом
эксплуатации (комнаты, коридоры и прихожие).
В состав работ по устройству полов
входят:
- подготовительные работы;
основные работы.
Устройство дощатого пола
производится после завершения работ по:
заполнению и герметизации швов;
защите помещений от атмосферных
осадков и устройству кровли;
заделке и изоляции мест сопряжения
оконных и дверных блоков в проёмах;
остеклению оконных проёмов;
окраске и облицовке стен и потолков.
Покрытие пола должно выполнятся
после завершения строительно-монтажных, санитарно - технических,
электромонтажных и других видов работ, при производстве которых может быть повреждено
готовое покрытие пола (за исключением установки санитарно - технических
приборов и электротехнической арматуры).
Устройство полов из досок
рекомендуется осуществлять в конце зимнего отопительного сезона, чтобы доски
как следует, прилегли при укладке. В тёплый период года древесина впитывает
больше влаги из воздуха, доски настеленные летом за зиму, возможно,
рассохнутся, даже при условии плотного сплачивания, позднее между досками могут
образоваться щели.
Лаги должны опираться на
звукоизоляционный слой, который опирается на плиту перекрытия. Подбивка
деревянных клиньев под лаги для их выравнивания запрещается.
Технологическая карта
предусматривает выполнение работ в 1 смену при соблюдении условий производства
работ.
Режим труда принят из условия оптимального
темпа выполнения работ по устройству дощатого пола при рациональной организации
рабочих мест, чёткого распределения обязанностей между рабочими звена,
применения высокопроизводительного оборудования и инструмента.
Влажность материалов для устройства
покрытия из древесины должна быть не более:
% - для лаг и прокладок;
% - для досок покрытия.
Влажность основания для устройства
покрытия из древесины должна быть не более 5% для стяжки на основе цементного
вяжущего.
3.1.2 Характеристика
применяемых материалов и изделий
Деревянные лаги делают из досок
шириной 80-100 мм, толщиной 25 мм, нестроганых, главное, чтобы все они были
одного калибра. Поверхность, на которую укладываются лаги, должна быть
прогрунтована и предварительно очищена. Перед установкой лаги следует
обработать антисептиком.
Для устройства дощатого пола
применяют доски пола по СТБ 1074.
Для настила полов применяются
специальные фрезерованные доски. Доски имеют толщину 27 мм, ширину по лицевой
стороне 65 - 140 мм. Внизу у них выбирается углубление или продух 2 мм, он
способствует не только плотному примыканию каждой половицы к балкам и лагам, но
и обеспечивает надёжную вентиляцию.
Основным свойством минераловатного
утеплителя (минваты), отличающим её от других теплоизоляционных материалов,
является негорючесть в сочетании с высокой тепло - и звукоизолирующей
способностью, устойчивостью к температурным деформациям, негигроскопичностью,
химической и биологической стойкостью, экологичностью и лёгкостью выполнения
монтажа. По требованиям пожарной безопасности минераловатный утеплитель
(минвата), относится к классу негорючих материалов. Более того, минераловатный
утеплитель (минвата), эффективно препятствуют распространению пламени и
применяются в качестве противопожарной изоляции и огнезащиты.
Достоинствами деревянного плинтуса
являются экологическая чистота, долговечность, эстетичность, и прочность.
Плинтус выпускается шириной 25 мм, а также имеет высоту 50 мм и изготавливается
из цельных пиломатериалов.
Материалы и изделия которые подлежат
обязательной сертификации, должны иметь сертификат соответствия.
Импортируемые строительные материалы
и изделия, на которые отсутствует опыт применения и действующие на территории
Республики Беларусь ТНПА, должны иметь Техническое свидетельство
Минскстройархитектуры.
Материалы и изделия, подлежащие
гигиенической регистрации, должны иметь удостоверения о гигиенической
регистрации Министерства здравоохранения РБ.
Транспортирование материалов для
устройства пола осуществляется любым видом транспорта.
Хранение материалов для покрытия
пола должно осуществляться в вентилируемых закрытых, сухих и чистых помещениях.
Для предотвращения пожара на складе запрещается применение открытого огня и
курение.
3.1.3 Организация и
технология производства работ
До начала производства работ по
устройству дощатого пола следует:
- проверить наличие акта приёмки
предшествующих работ и состояние основания на соответствие требованиям СНБ
1.03.06;
осуществить операционный контроль
температуры окружающего воздуха, относительной влажности и влажности основания
в соответствии с требованиями СТБ 1483: Внутренняя температура воздуха должна
быть не ниже 10 °С. Влажность поверхности должна быть не более 18% - для лаг и
прокладок, 12% - для досок пола и ДВП. Влажность внутри помещения должно быть
60%;
измерить освещённость на месте
производства работ в соответствии с требованиями ГОСТ 12.1.046: Освещённость
должна быть не менее 100 лк;
- провести инструктаж работников по
технике безопасности, ознакомить их с проектом производства работ и настоящей
технологической картой, привязанной к конкретным объектам, используемым
механизмам, приспособлениям и применяемым напольным покрытиям;
- организовать места складирования
материалов;
- доставить в зону производства
работ необходимые механизмы, инструменты и приспособления.
Технологическая карта включает в
себя следующие работы:
- устройство паророизоляции;
устройство звукоизоляции;
устройство лаг;
устройство утеплителя;
тнастилка полов;
прибивка плинтусов.
Устройство пола из
досок.
Полы из досок устраивают на деревянных
лагах по железобетонным плитам перекрытий. Слои гидроизоляционных,
звукоизоляционных и теплоизоляционных материалов приняты из курсового проекта
№1 по ГиПЗ. Производственный процесс подготовки при устройстве полов состоит из
следующих технологических процессов:
входной контроль применяемых
материалов;
- обработка всех поверхностей лаг,
деревянных прокладок, укладываемых под лаги, досок (кроме лицевой поверхности)
антисептиками, указанными в проектной документации для предупреждения заражения
древесины жуками древоедами и домовым грибком.
Лаги должны опираться на плиты
перекрытия (через звукоизолирующие прокладки) всей нижней поверхностью, без
зазоров. Подбивка деревянных клиньев или подкладок под лаги для их выравнивания
или опирание лаг на деревянные подкладки запрещается.
Настилка чистого пола из досок
производиться в следующей последовательности:
необходимо выбрать доску достаточной
длины с ровными торцами, чтобы она перекрывала всю комнату с зазорами по торцам
в несколько миллиметров. Затем на расстоянии 10…15 мм от стены кладут первую
доску пазом к стене. Для соблюдения этого расстояния между доской и стеной
размещают калиброванные прокладки толщиной 10 или 15 мм.
Во внутренний угол гребня против
каждой лаги под углом забивают гвоздь. Каждую доску прибивают к лаге гвоздями,
длиной равной 2…2,5 толщины ее, т.е. доски толщиной 27 мм крепят гвоздями
длиной 60…70 мм. в количестве не менее 2 штук по ширине доски. Шляпки гвоздей
утапливают в древесину добойником на глубину 2-3 мм, чтобы не затупить струг при
окончательном строгании неровностей.
Укрепив первую доску, к ней
приставляют вторую таким образом, чтобы доска плотно села на место по всей
длине, и снова крепят гвоздями, забивая их сперва по крайним лагам, а затем
перемещаясь к центру доски.
Чтобы доски плотнее примыкали друг к
другу и между ними не было зазоров, их рекомендуется поджимать, начиная с
укладки второй доски.
Сплачивают доски сжимами следующим
образом. После укладки у стены первой доски и крепления ее к лагам, кладут
рядом с ней 10…15 досок, соединяя их вплотную так, чтобы гребни вошли в пазы.
Затем ставят сжимы на таком расстоянии от последней доски, чтобы между сжимом и
доской можно было узкими сторонами уложить клинья. Сплачивание производят не
менее чем двумя сжимами, а доски длиной более 4 м - тремя. Установив все сжимы
и клинья, постепенно, начиная от одного сжима к другому, молотком забивают
клинья так, чтобы доски соединялись между собой плотно, без зазоров. После
сплачивания досок в пласть под углом забивают гвозди, а затем добойником
втапливают шляпки.
Несколько последних досок приходится
укладывать не поджимая, так как в оставшемся промежутке у стены сжимы не
поместится. В этом случае 2-4 доски укладываются свободно, а примыкающую к
стене забивают с помощью топора или молотка через деревянную прокладку.
Чтобы не повредить стену, к ней
приставляют листы фанеры. Когда доска буде осажена на место, между фанерой и
доской забивают клинья, которые подожмут последние доски для крепления их
гвоздями.
После чего необходимо убрать клинья.
Стыки досок по окончании настилки пристрагивают, чтобы они были ровными и
находились в одной плоскости с уровнем насланного пола.
Щели между полом и стенами закрывают
плинтусами - профилированными рейками простой или сложной формы. Плотнее
прилегают к стенам и полу плинтусы с пазами или скосами, однако в этом случае
вентиляция дощатого покрытия будет нарушена, для циркуляции воздуха потребуется
устраивать в полу вентиляционные решётки. Поэтому намного удобнее применять
плинтусы с нащельниками. Чаще других используется плинтусы, выполненные из
древесины хвойных пород деревьев.
Здание разбито на 1 захватку. За
захватку принят пол первого этажа. Технологическая карта разработана для пола
первого этажа.
Подсчёт объёмов работ
|
Наименование процессов
|
Единицы измерения
|
Количество
|
Формула, эскиз, обоснование
|
|
Устройство дощатого покрытия
|
100 м2
|
4,74
|
Дипломные чертежи
|
|
Устройство плинтусов
|
100 м
|
4,78
|
РСН 8.03.111-2010
|
Работы по устройству дощатого пола
ведёт комплексная бригада.
Состав бригады:
Плотник 3 разряда - 5 человек (П)
Плотник 4 разряда - 5 человек (П)
.1.4 Потребность в
материально-технических ресурсах
Ведомость потребности в материалах
при производстве устройства полов составляется в зависимости от вида
используемых материалов и используемого оборудования.
Таблица 6. Потребность материалов и
изделий
|
Наименование материала
|
Марка
|
Единицы измерения
|
Количество
|
|
Толь
|
ТГ-350
|
м2
|
99,54
|
|
Лаги
|
Деревянные, антисептированные, Тип II.
|
m3
|
3,88
|
|
Доска для покрытия полов
|
Доски для покрытия полов, антисептироваиные, Тип ДМ-27 толщиной
27 мм, шириной без гребня от 64 до 100 мм.
|
m3
|
13,65
|
|
Плинтус
|
Тип ПЛ-2, размером 19x54 мм
|
м
|
478,74
|
|
Утеплитель
|
Минераловатные плиты
|
м2
|
488,22
|
|
Гвозди для плинтуса
|
Строительные
|
т
|
0,00141
|
|
Гвозди для доски пола
|
Строительные
|
т
|
0,00948
|
Таблица 7. Потребность в машинах,
инструментах и приспособлениях
|
Наименование
|
Тип, марка, ГОСТ
|
Назначение
|
Количество
|
|
Машина распиловочная
|
Тип ИЭ-690А
|
Для распиловки древесины
|
1
|
|
Электрическая машина
|
Тип СО - 97А
|
Для стрижки деревянных полов
|
1
|
|
Электрорубанок
|
Тип ИЭ-701Б
|
Для строжки дерева
|
1
|
|
Сжим
|
-
|
Сплачивание деревянных полов
|
3
|
|
Ножовка по дереву
|
ГОСТ 26215-84
|
Прирезка деревянных деталей
|
1
|
|
Топор строительный
|
-
|
Рубка, теска древесины
|
1
|
|
Молоток плотничный
|
Тип МПЛ ГОСТ 11042
|
Ударные операции
|
2
|
|
Пила поперечная двуручная по дереву
|
-
|
Распиловка древесины
|
1
|
|
Клещи строительные, лом гвоздодёр
|
-
|
Выдёргивание гвоздей
|
1
|
|
Киянка прямоугольная
|
-
|
Сдвижка деталей
|
2
|
|
Набор стамесок плоских столярных
|
ГОСТ 1184
|
Долбление древесины
|
2
|
|
Рубанок
|
-
|
Строгание древесины
|
1
|
|
Коловорот и свёрла к нему
|
Тип КТ
|
Механическое сверление отверстий
|
1
|
|
Долото столярное
|
ГОСТ 1185
|
Для вырубки углублений в древесине
|
2
|
Транспортная задача
Для перевозки материалов требуемых
при укладке деревянного пола принимаем грузовое транспортное средство марки ЗИЛ
- 131Г грузоподъёмностью 8т.
Определяем кол-во рейсов:

6,31
Принимаем 7 рейсов
Kгр=3,35/8=0,42
Определяем
производительность транспортного средства: П=qтр.n.kгр=8
7
0,42=23,52 т/смену
Определяем грузопоток: Q= qгр
n=3,35
6,31=21,14т
Рассчитываем необходимое
количество машин:
Ответ: для перевозки
деревянных изделий нам требуется 2 автомобиля.
Таблица 8. Расход материалов
|
Наим.
|
Ед. изм.
|
Объём
|
Толь
|
Лаги
|
Доска для покрытия
|
|
|
|
Ед. Изм
|
Норм на ед
|
Всего
|
Ед. изм.
|
Норм, на ед.
|
Всего
|
Ед. изм.
|
Норм, на ед.
|
Всего
|
|
Укладка лаг
|
100 м2
|
4,74
|
м2
|
21
|
99,54
|
м3
|
0,82
|
3,88
|
|
|
|
|
Дощатое покрытие
|
100 м
|
|
|
|
|
|
|
|
м
|
2,88
|
13,65
|
Таблица 9. Расход материалов
|
Наим.
|
Ед. изм
|
Объём
|
Плинтус
|
Гвозди для плинтуса
|
|
|
|
Ед. изм
|
Норм, на ед.
|
Всего
|
Ед. изм.
|
Норм на ед.
|
Всего
|
|
Устройство плинтусов
|
100 м
|
4,74
|
м
|
101
|
478,74
|
т
|
0,0003
|
0,00142
|
|
Устройство утеплителя
|
|
|
|
|
|
|
|
|
3.1.5 Контроль качества
Дощатые полы устраивают из досок
шириной 74 - 124 мм, имеющих влажность не более 12%. Все доски должны быть
обработаны антисептиком с тыльной стороны и по кромкам. В процессе настилки
полов контролируют: влажность и сортность досок; их длину и толщину; наличие
антисептирующего покрытия: размер зазора между первой и второй стеной;
количество одновременно сплачиваемых досок; размер зазора между сплачиваемыми
досками; правильность гвоздевого крепления досок к лагам.
При выполнении дощатых полов
запрещается:
· подбивать
деревянные клинья под лаги для их выравнивания;
· устраивать полы в
смежных помещениях с разницей уровней;
· оставлять уступы
между кромками смежных элементов.
.1.6 Техника
безопасности, охрана труда и окружающей среды
Работы по устройству дощатого пола,
необходимо производить с соблюдением требований ТКП 45-1.03-40, ТКП 45-1.03-44,
межотраслевых общих правил по охране труда, утвержденных постановлением
Минтруда и социальной защиты Республики Беларусь от 3 июня 2003 года №70,
инструкции по охране труда для работников соответствующих профессий, ГШБ РБ
2.09, ПБМи П, ПЭУ, а также в соответствии с проектом производства работ и
данной технологической картой.
Перед началом работ, где имеется или
может возникнуть производственная опасность, ответственному исполнителю работ
необходимо выдать наряд-допуск на производство работ повышенной опасности.
Наряд-допуск выдаётся на срок, необходимый для выполнения заданного объёма
работ. В случае изменения условий производства работ, наряд-допуск аннулируется
и возобновление работ разрешается только после выдачи нового наряда-допуска.
В выполнению работ допускаются лица
не моложе 18 лет, прошедшие медицинскую комиссию без противопоказаний в
соответствии с требованиями Минздрава Республики Беларусь, имеющие
профессиональные навыки, прошедшие обучение безопасным методам и приёмам труда
и получившие соответствующие удостоверения.
Все работающие должны пройти
инструктаж по безопасности труда в соответствии с требованиями ГОСТ 12.0.004 и
ознакомлены с рабочими чертежами, ГШР и данной технологической картой.
К управлению механизмами допускаются
лица, имеющие соответствующую специальность, изучившие требования паспортов и
инструкций и имеющие соответствующие удостоверения на право управления
машинами.
Рабочие и линейные ИТР должны быть
обеспечены спецодеждой, спецобувью, респираторами типа «Лепесток» по ГОСТ
12.4.068, очками по ГОСТ 12.4.013 и другими средствами индивидуальной зашиты,
соответствующими ГОСТ 12.4.011 (СТ СЭВ 1086), согласно Правилам обеспечения
работников средствами Индивидуальной защиты, утверждённых постановлением
Минтруда Республики Беларусь от 28 мая 1999 года №67.
Зоны постоянно действующих опасных
производственных факторов, во избежание доступа посторонних лиц, должны иметь
защитные (предохранительные) ограждения, удовлетворяющие требованиям ГОСТ
12.4.059. Опасные зоны должны быть обозначены знаками безопасности и надписями
установленной формы.
При производстве работ по устройству
полов в указанных опасных зонах следует осуществлять организационно-технические
мероприятия, обеспечивающие безопасность работающих.
Все территориально обособленные
участки должны быть обеспечены телефонной связью или радиосвязью.
При производстве работ по устройству
полов необходимо соблюдать требования ГОСТ 12.3.022 и предусматривать
технологическую последовательность производственных операций, чтобы предыдущая
операция не являлась источником производственной опасности при выполнении
последующих.
Освещённость на участке выполнения
работ по устройству полов на всех уровнях рабочей поверхности должна быть не
менее 100 лк, мест немеханизированной разгрузки материалов - не менее 20 лк,
подходов к рабочим местам - 50 лк.
Светильники общего освещения,
присоединённые к источнику питания (электросети) напряжение 127 и 220 В должны
устанавливаться на высоте не менее 2,5 м от уровня пола. При высоте подвеса
менее 2,5 м светильники должны подсоединяться к сети напряжением не выше 42 В.
При работах в особо опасных условиях
должны применяться переносные светильники напряжением не выше 12 В.
В качестве источника питания
напряжением до 42 В следует применять понижающие трансформаторы, машинные
преобразователи, генераторы, аккумуляторные батареи. Не допускается применять
для указанных целей автотрансформаторы.
Участки работ, рабочие места,
проезды и проходы к ним в тёмное время суток должны быть освещены в
соответствии с ГОСТ 12.1.046.
Освещённость должна быть
равномерной, без слепящего действия осветительных приборов на работающих.
Производство работ в неосвещённых местах не допускается.
Проезды, проходы и рабочие места
необходимо регулярно очищать и не загромождать.
Проходы с уклоном более 20° должны
быть оборудованы трапами или лестницами с ограждениями.
Ширина проходов к рабочим местам и
на рабочих местах должна быть не менее 0,6 м, а высота проходов в свету - не
менее 1,8 м.
Рабочие места и проходы к ним на
высоте 1,3 ми более и расстоянии менее 2 м от границы перепада по высоте должны
быть ограждены временными ограждениями в соответствии с требованиями ГОСТ
12.4.059.
Организация рабочих мест должна
учитывать особенность технологического процесса, безопасность обслуживания
средств механизации, минимальное использование ручного труда, обеспечение
безопасной эвакуации работающих в случае аварийной ситуации и исключать
нахождение лиц, не участвующих в рабочем процессе.
Примыкание материалов, на которые
отсутствует указания по применению, инструкция по технике безопасности и
пожарной безопасности, не допускается.
При сухой очистке поверхностей,
связанной с выделением пыли, а также при механизированном способе распила
покрытий дощатого пола необходимо пользоваться респираторами и защитными
очками.
Безопасность процесса эксплуатации
машин должна обеспечиваться: использованием машин в соответствии с проектом
производства работ, содержанием решения по выбору типа машин и места их
установки в соответствии с требованиями ГОСТ 12.3.033.
К управлению, техническому
обслуживанию и ремонту машины допускаются лица, прошедшие обучение по ГОСТ
12.0.004 и имеющие право на выполнение работы, соответствующей их квалификации.
При выполнении работ по устройству
полов рабочий должен выполнять только ту работу, которая ему поручена, строго
соблюдая правила техники безопасности.
Клеящие мастики и грунтовки,
содержащие легколетучие и токсичные органические растворители необходимо
хранить в герметически закрытой таре в тёмном помещении приспособленном для
хранения легковоспламеняющихся веществ. Материалы должны быть расположены на
расстоянии не менее 5 м от приборов водяного отопления.
Резку и подтеску изделий следует
производить в рукавицах и защитных очках.
Электрооборудование, которым
пользуются рабочие, должно быть заземлено, а все вращающиеся части закрыты
кожухами.
Все участки хранения, приготовления
и применения материалов должны быть обеспечены первичными средствами
пожаротушения. При определении видов и количества средств следует
руководствоваться Правилами пожарной безопасности ППБ РБ 2.09.
Во время пожаротушения следует
соблюдать особые предосторожности, так как при сгорании многие материалы могут
выделять газы, способные вызвать отравление. Поэтому рабочие, принимающие
участие в тушении пожара, должны пользоваться шланговыми противогазами или
кислородно-изолирующими приборами.
В процессе выполнения работ не
должен наноситься ущерб окружающей среде.
Должны быть организованы сбор и
утилизация отходов в соответствии с требованиями нормативных документов.
Отходы должны вывозиться в места,
согласованные с санэпидемстанцией.
Руководители предприятий, линейные
ИТР должны:
осуществлять систематический
контроль за соблюдением действующего законодательства, норм, инструкций,
приказов, указаний в области охраны окружающей среды при выполнении
строительных и ремонтных работ;
включать в программы обучение всех
категорий рабочих и ИТР вопросы по охране окружающей среды и организовать
проведение этой учёбы.
По окончании работ необходимо
привести в порядок рабочее место, убрать инструменты, отключить
электропроводную сеть.
3.1.7 Нормативные ссылки
СНБ 1.03.06-04 «Устройство полов.
Производство работ»
СНБ 2.04.05-98 «Естественное и
искусственное освещение»
ТКП 45-1.03-161-2009 «Организация
строительного производства»
ТКП 45-1.03-44-2006 (02250)
«Безопасность труда в строительстве. Строительное производство»
РДС 1.03.02-2003 «Технологическая
документация при производстве строительно-монтажных работ. Состав, порядок
разработки, согласования и утверждения технологических карт»
СТБ 1074-97 «Детали профильные из
древесины и древесных материалов для строительства. Технические условия»
СТБ 1306-2002 «Строительство.
Входной контроль продукции. Основные положения»
СТБ 1483-2004 «Строительство.
Устройство полов. Номенклатура контролируемых показателей качества. Контроль
качества работ»
ГОСТ 12.0.004-90 «ССБТ. Организация
обучения безопасности труда. Общие положения»
ГОСТ 12.1.005-88 «ССБТ. Общие
санитарно-гигиенические требования к воздуху рабочей зоны»
ГОСТ 12.1.046-85 «ССБТ.
Строительство. Нормы освещения строительных площадок»
ГОСТ 12.3.002-75 «ССБТ. Процессы
производственные. Общие требования безопасности»
ГОСТ 12.3.033-84 «ССБТ. Строительные
машины. Общие требования безопасности при эксплуатации»
ГОСТ 12.4.010-75 «ССБТ. Средства
индивидуальной защиты. Рукавицы специальные. Технические условия»
ГОСТ 12.4.011-89 «ССБТ. Средства
защиты работающих. Общие требования и классификация»
ГОСТ 12.4.013-85 «ССБТ. Очки
защитные. Общие технические условия»
ГОСТ 12.4.041-89 «Средства
индивидуальной зашиты органов дыхания фильтрующие. Общие технические
требования»
ГОСТ 12.4.100-80 «Комбинезоны
мужские для защиты от нетоксичной пыли, механические воздействия и общих
производственных загрязнений. Технические условия»
ГОСТ 112-78 «Термометры
метеорологические стеклянные. Технические условия»
ГОСТ 166-89 «Штангенциркули.
Технические условия»
ГОСТ 427-75 «Линейки измерительные
металлические. Технические условия»
ГОСТ 1184-80 «Стамески плоские и
полукрылые. Технические условия»
ГОСТ 7516-82 «Изделия из древесины и
древесных материалов»
ГОСТ 7502-89 «Рулетки измерительные
металлические. Технические условия»
ГОСТ 8026-75 «Линейки поверочные.
Технические условия»
ГОСТ 15612-85 «Изделия из древесины
и древесных материалов. Методы
определения параметров шероховатости
поверхности»
ГОСТ 16588-91 «Пилопродукция и
деревянные детали. Методы определения
влажности»
ГОСТ 21718-84 «Материалы
строительные. Диэлькометрический метод измерения влажности»
ГОСТ 26433.2-94 «Система обеспечения
точности геометрических параметров в строительстве. Правила выполнения
измерений параметров зданий и сооружений»
PCТ Беларуси 916-92 «Рукавицы и перчатки хозяйственные. Общие
технические условия».
.1.8 Калькуляция и
нормирование затрат труда
Таблица 11. Калькуляция и
нормирование затрат труда
|
№
|
Обоснование
|
Наим. работ
|
Ед. изм.
|
Объём
|
Н. ср. чел. ч.
|
Состав
|
|
|
|
|
|
|
Спец
|
Разр.
|
Кол-во
|
|
1
|
§Е 11-12-3
|
Устр-во лаг
|
100м2
|
4,74
|
39,35
|
П1 П2
|
4 3
|
2 2
|
|
2
|
§Е 11-9-1
|
Устр-во утеплителя
|
100м2
|
4,74
|
31,52
|
П1 П2
|
4 3
|
1 1
|
|
3
|
§Е 11-33-1
|
Дощатый пол
|
100м2
|
4,74
|
66,84
|
П1 П2
|
4 3
|
2 2
|
|
4
|
§Е 11-39-1
|
Устр-во плинтуса
|
100 м
|
4,78
|
9,35
|
П1 П2
|
4 3
|
1 1
|
|
|
|
|
|
|
|
|
|
ТЭП см. лист формата А1.
Вн = 474/697,4 = 0,68 м2
3.2 Проектирование
календарного плана
.2.1 Краткая
характеристика объекта и условия осуществления строительства
Пятиэтажный двухсекционный жилой дом
в г. Мозырь. Здание имеет размеры в осях 13,9 x 48,95 м. с высотой этажа 2,8 м. Строительство ведется на
застраиваемой территории. Здание имеет прямоугольную форму в плане. Рельеф
местности спокойный, грунт песок, грунтовые воды отсуствуют. Завоз материалов
осуществляется автотранспортом по существующим дорогам. Расстояние транспортировки
15 километров, средняя скорость движения транспорта 50 км/час. Начало
строительства 1 марта. Продолжительность строительства 196,5 дней.
.2.2 Выбор номенклатуры
работ
Подготовительные период.
Земляные работы:
планировка площадки;
разработка грунта экскаватором;
доработка грунта вручную;
обратная засыпка;
уплотнение грунта.
Работы ниже отметки 0.000:
монтаж фундаментных плит;
монтаж фундаментных блоков;
устройство крылец;
устройство вертикальной
гидроизоляции;
устройство горизонтальной
гидроизоляции.
монтаж плит перекрытия
Работы выше отметки 0.000:
кладка наружных стен толщиной 380 мм
из блоков ПГС
облицовка наружных стен блоками ПГС
толщиной 200 мм
кладка внутренних стен толщиной 380
мм из газосиликатных блоков
кладка перегородок толщиной 100 мм
из газосиликатных блоков
кладка перегородок толщиной 120 мм
из керамического кирпича
монтаж лестничных площадок и маршей
монтаж плит перекрытия и покрытия
монтаж кровли из черепицы
Отделочные работы:
заполнение дверных проёмов
заполнение оконных проёмов
устройство наружной штукатурки
оштукатуривание цоколя
устройство внутренней штукатурки
облицовка стен глазурованной плиткой
окраска фасада
окраска стен
окраска потолков
обойные работы
устройство линолеумных полов
устройство керамических полов
устройство цементных полов
Работы спеццикла:
сантехнические
энергоснабжение
благоустройство
прочие
.2.3 Подсчёт объёмов
работ
Объемы работ необходимы для
определения механоемкости и трудоемкости, выбора машин и механизмов,
определение сроков строительства, составления сметы.
Таблица 12. Подсчет объемов работ
|
№
|
Наименование работ
|
Объёмы
|
Формулы, обоснование работ
|
|
|
Ед. изм.
|
Кол-во
|
|
|
1
|
2
|
3
|
4
|
5
|
|
1.
|
Подготовительный период
|
Месяцы дни
|
11
|
СНиП, норма продолжения строительства
|
|
2.
|
Земляные работы
|
|
|
|
|
2.1.
|
Планировка площадки
|
1000 м²
|
1,800
|
Fпл=
А*Б= 30*60=1800 м²
|
|
2.2.
|
Разработка грунта экскаватором
|
1000 м³
|
1,750
|
Vк=Нк/6
(F1+F2+4F0)=1750 м³
|
|
2.3.
|
Разработка грунта в отвал
|
1000 м³
|
0,544
|
Vотв=Vобщ - Vтр=544,4 м³
|
|
2.4.
|
Разработка грунта на транспортировку
|
1000 м³
|
1,205
|
Vтр=Vф+Vфб+Vподв=1205,6 м³
|
|
2.5.
|
Доработка грунта вручную
|
100 м³
|
0,95
|
Vдор=
а1*в1*h дор=95 м³
|
|
2.6.
|
Обратная засыпка
|
1000 м³
|
0,531
|
Vобр.з=Vотв / Кор=531 м³
|
|
2.7.
|
Уплотнение грунта
|
100 м³
|
5,311
|
Vупл=Vобр.з
|
|
3.
|
Монтаж нулевого цикла
|
|
|
|
|
3.1.
|
Монтаж фундаментных плит
|
|
|
|
|
3.1.1.
|
Массой до 1,5 т
|
100 шт
|
0,61
|
По рабочим чертежам
|
|
3.1.2.
|
Массой до 3,5 т
|
100 шт
|
0,82
|
По рабочим чертежам
|
|
3.2.
|
Монтаж фундаментных блоков
|
|
|
|
|
3.2.1.
|
Массой до 1,5 т
|
100 шт
|
2,35
|
По рабочим чертежам
|
|
3.3.
|
Устройство вертикальной гидроизоляции
|
100 м²
|
1.97
|
Fв=Р*h (по рабочим чертежам)
|
|
3.4.
|
Устройство горизонтальной гидроизоляции
|
100 м²
|
1,3
|
Fг=∑l* a (по рабочим
чертежам)
|
|
3.5.
|
Монтаж плит перекрытий
|
100 шт
|
0,72
|
По рабочим чертежам
|
|
3.6.
|
Монтаж перемычек перекрытий
|
100 шт
|
0,72
|
По рабочим чертежам
|
|
3.7.
|
Монтаж лестн. площадки
|
100 шт
|
0,02
|
По рабочим чертежам
|
|
3.8.
|
Монтаж лестничного марша
|
100 шт
|
0,02
|
По рабочим чертежам
|
|
3.9.
|
Устройство крылец
|
м²
|
12
|
Fк=a*b
|
|
3.10.
|
Устройство полов
|
|
|
|
|
3.10.1
|
Уплотнение щебнем грунта
|
100 м²
|
5,73
|
По рабочим чертежам
|
|
3.10.2
|
Бетонная подготовка
|
м³
|
114,6
|
По рабочим чертежам
|
|
3.10.3
|
Бетонное покрытие
|
100 м²
|
5,73
|
По рабочим чертежам
|
|
4.
|
Работы выше 0.000
|
|
|
|
|
4.1.
|
Кладка наружных стен 380 мм
|
м³
|
578,46
|
Vн.с.
= (Fст - Fо - Fд) × а
|
|
4.2.
|
Облицовка наружных стен ПГС толщиной 200 мм
|
м³
|
304,38
|
Vн.с.
= Fст - (Fо
- Fд) × а
|
|
4.3.
|
Клака внутренних стен 380 мм
|
м³
|
500,51
|
V в.с.
= (Fст - Fдв) ×
а
|
|
4.4.
|
Кладка перегородок 100 мм
|
100 м²
|
16,58
|
Fпер=
Fст.об. - Fдв.
|
|
4.5.
|
Монтаж плит перекрытия
|
100 шт
|
2,88
|
По рабочим чертежам
|
|
4.6.
|
Монтаж перемычек перекрытии
|
100 шт
|
3,6
|
По рабочим чертежам
|
|
4.7.
|
Монтаж плит покрытия
|
100 шт
|
0,72
|
По рабочим чертежам
|
|
4.8.
|
Монтаж лестничной площадки
|
100 шт
|
0,16
|
По рабочим чертежам
|
|
4.9.
|
Монтаж лестничного марша
|
100 шт
|
0,16
|
По рабочим чертежам
|
|
4.10.
|
Заполнение оконных проемов
|
100 м²
|
3,54
|
По рабочим чертежам
|
|
4.11.
|
100 м²
|
6,15
|
По рабочим чертежам
|
|
4.12.
|
Монтаж козырька
|
100 шт
|
0,02
|
По рабочим чертежам
|
|
4.13.
|
Монтаж балконных плит
|
100 шт
|
0,60
|
По рабочим чертежам
|
|
5.
|
Устройство кровли
|
|
|
|
|
5.1.
|
Устройство стропил
|
м³
|
7
|
По рабочим чертежам
|
|
5.2.
|
Устройство пароизоляции
|
100 м²
|
5,92
|
По рабочим чертежам
|
|
5.3.
|
Устройство минерал ватных плит
|
100 м²
|
5,92
|
По рабочим чертежам
|
|
5.4
|
Устройство цементной сцяжки
|
100 м²
|
5,92
|
По рабочим чертежам
|
|
5.5.
|
Устройство покрытия из металочерепицы
|
100 м²
|
7,14
|
Fкр=F*К
|
|
6.
|
Отделка
|
|
|
|
|
6.1.
|
Наружная штукатурка
|
100 м²
|
16,27
|
F=a*b
|
|
6.2.
|
Наружная окраска акрилом
|
100 м²
|
16,27
|
F=a*b
|
|
6.3.
|
Устройство внутренней штукатурки
|
100 м²
|
62,40
|
По рабочим чертежам
|
|
6.4.
|
Окраска акрилом потолков
|
100 м²
|
25,57
|
По рабочим чертежам
|
|
6.5.
|
Окраска известковыми красками потолка
|
100 м²
|
2,61
|
По рабочим чертежам
|
|
6.6.
|
Облицовка керамическими плитками стен
|
100 м²
|
9,25
|
По рабочим чертежам
|
|
6.7.
|
Оклейка обоями
стен и перегородок
|
100 м²
|
58,57
|
По рабочим чертежам
|
|
6.8.
|
Акр. окр. стен
|
100 м²
|
3,62
|
По рабочим чертежам
|
|
6.9
|
Устройство половой керамической плитки
|
100 м²
|
3,96
|
По рабочим чертежам
|
|
6.10
|
Устройство деревянного пола
|
100 м²
|
4,74
|
По рабочим чертежам
|
|
6.11
|
Устройство полов из линолеума
|
100 м²
|
18,95
|
По рабочим чертежам
|
|
7.
|
Работы спец. цикла
|
|
|
|
|
7.1.
|
Сантех. работы
|
%
|
7
|
|
|
7.2.
|
Электромонтажные
|
%
|
6
|
|
|
7.3.
|
Благоустройство территории
|
%
|
5
|
|
|
7.4.
|
Прочие работы
|
%
|
9
|
|
|
|
|
|
|
|
|
.2.4 Выбор машин и
механизмов
Выбор бульдозера.
Бульдозер выполняет срезку
плодородного слоя грунта, планировку площадки и обратную засыпку.
Fср=1800 м²,
Fпл=1800 м²,
Vобр.з.=531 м³.
Т.к. грунт - песок относится к II группе выполнение работ
возможно бульдозерами ДЗ-18 или ДЗ-42. Окончательный выбор производим на
основании технико-экономического сравнения.
Таблица 13
|
Марка бульдозера
|
Марка трактора
|
Длинна отвала, мм
|
Высота отвала, мм
|
Тип отвала
|
Стоимость маш. смены.
|
|
ДЗ - 18
|
Т - 100
|
3,97
|
1
|
Поворотный
|
24110
|
|
ДЗ - 42
|
ДК - 75
|
2,56
|
0,81
|
Неповоротный
|
19430
|
Таблица 14
|
Марка бульдозера
|
Наименование работ
|
Объём
|
Нормы времени
|
Стоимость м.см.
|
|
|
Ед.изм.
|
Кол-во
|
На ед.
|
Всего м.час.
|
Всего м.см.
|
|
|
ДЗ-18
|
Срезка растительного слоя
|
1000 м²
|
1,8
|
0,69
|
1,24
|
0,15
|
24110
|
|
Планировка площадки
|
1000 м²
|
1,8
|
0,24
|
0,43
|
0,05
|
24110
|
|
Обратная засыпка
|
100 м³
|
0,531
|
0,38
|
0,20
|
0,03
|
24110
|
|
|
|
|
|
|
|
Всего
|
|
ДЗ-42
|
Срезка растительного слоя
|
1000 м²
|
1,8
|
0,84
|
1,51
|
0,18
|
19430
|
|
Планировка площадки
|
1000 м²
|
1,8
|
0,35
|
0,63
|
0,08
|
19430
|
|
Обратная засыпка
|
100 м³
|
0,531
|
0,43
|
0,23
|
0,03
|
19430
|
|
|
|
|
|
|
|
Всего
|
|
|
|
|
|
|
|
|
|
На основании технико-экономического
сравнения принимаем бульдозер ДЗ-18.
Выбор экскаватора.
Экскаватор необходим для разработки
котлована и траншеи.
Vвотвал=544 м³.
Vтрансп=1205 м³.
Т.к. грунт - песок относится к I группе на основании объёмов и
группы грунта возможны использования экскаваторов марки ЭО - 5015А или ЭО -
4121
Таблица 15
|
Экскаватор
|
Марка
|
Ёмкость ковша
|
Глубина копания
|
Радиус копания
|
Высота выгрузки
|
Стоимость мащ. смены
|
|
Одноковшовый на гусеничном ходу
|
ЭО5015А
|
0,5
|
4,5
|
7,3
|
3,9
|
26200
|
|
ЭО-4121
|
0,65
|
5,8
|
9
|
5
|
28300
|
Таблица 16
|
Марка экскаватора
|
Наименование работ.
|
Объёмы
|
Норма времени
|
Стоимость маш. см. руб
|
Стоимость Всего
|
|
|
Ед. изм.
|
Кол-во
|
Маш. часы
|
Маш. см. Всего
|
|
|
|
|
|
|
На ед.
|
Всего
|
|
|
|
|
ЭО5015А
|
В отвал
|
100 м³
|
5,44
|
2,2
|
11,97
|
1,49
|
26200
|
39038
|
|
Трансп.
|
100 м³
|
12,05
|
2,8
|
33,74
|
4,27
|
26200
|
111874
|
|
|
|
|
|
|
|
Всего
|
150912
|
|
ЭО-4121
|
В отвал
|
100 м³
|
5,44
|
1,8
|
9,79
|
1,22
|
28300
|
34526
|
|
Трансп.
|
100 м³
|
12,05
|
2,1
|
25,31
|
3,16
|
28300
|
89428
|
|
|
|
|
|
|
|
Всего
|
123954
|
На основании технико-экономического
сравнения принимаем экскаватор ЭО-4121.
Выбор крана для монтажа
нулевого цикла и выше отметки 0.000.
В1=А/2+Д+С
С=mh+400
m - для песка = 1
С=1·1,64+0,4=2,04 м.
Д - принимается = 1,35 м.
А = 6 метров.
В1=6/2+1,35+2,04=6,39 м.
Определяем требуемую
грузоподъёмность при монтаже плит покрытия:
Qпл=тэл+ттп=3,35+0,03=3,38 т.
Определяем требуемую высоту подъёма
стрелы:
hстр=hо+h+hз+hэл+hтп=1,45+13,92+0,5+0,22+1,5=17,59 м.
Определяем требуемый вылет стрелы:
L = B1+0,2+b+l+b2=6,39+0,2+1,41+14,88+0,98=23,86 м
Таблица 17. Подбор крана
|
Н кр, м.
|
L,
м.
|
Q,
т.
|
|
Требуемые параметры
|
17,59
|
23,86
|
3,38
|
|
Паспортные параметры
|
24,2
|
25
|
3,5
|
По полученным параметрам подбираем
нужный нам кран.
Принимаем кран башенный КБ-403.
3.2.5 Подсчет
трудоемкости и механоемкости работ
Разработка календарного
плана.
Календарный план служит для контроля
за строительством, завозом материалов, очередности выполнения работ.
График движения рабочих.
Показывает ежедневную потребность
трудовых ресурсов, характеризующуюся
Кнер=
=
=1,3
Nср=
=
=24
График завоза и расхода
материалов.
Служит для своевременной Служит для
своевременной поставки, контроля и расхода материалов. Материалы завозятся за 1
день до начала работ, автомобильное расстояние транспортировки S=15 км, V=50 км/ч.
Для бетонных работ бетон завозится
автобетоносмесителем в день выполнения работ.
График движения машин и
механизмов.
Служит для своевременной заявки
механизмов и поставки механизмов на строительный объект, показывает количество
машино-смен работы механизмов.
Технико-экономические
показатели.
Кпрод=Тф / Тн= 196,5/197= 0,99 ≤1
Ксовм=(t1+t2+t3+tn-1)/Тф= 481/196,5 =2,45
Ксм=(t1а1+t2а2+t3а3+tn-1аn-1)/(t1+t2+t3+tn-1)= 592,5/481 =1,2
Кнер = Nmax/Nср = 32/24 = 1,3
Nср = Qф / Тф = 4765,81/196,5=24
Транспортная задача
Исходные данные:
Количество фундаментных
плит - 143, средняя масса одной плиты - 1,57 тон, количество смен - 1,
количество дней транспортировки - 1, L=15
км,
ср=50
км/час, tп1=3 минуты, tр1=3
минуты, tм=2 минуты.
Решение:
Принимаем для перевозки
МАЗ 504А с полуприцепом УПР1212 грузоподъемностью 12 тон.
Определяем количество
плит, перевозимое за 1 рейс
/1,57=7,64 = 7
элементов.
Тогда gгр = 7·1,57= 11 тон.
Кгр. = 11/12 = 0,917
Время погрузки машины
tп= tп1•7 tр = tр1•7
tп=3•7=21 минут tр = 3•7=21 минут
tм=2 минуты
n=
n=
=6
Принимаем 6 рейсов
П= gгр•n• Кгр.
П=12•7•0,917=77,03 тон в
смену
m=
=
=1,45
Q=143•1,57=224,51
тон - грузопоток
Ответ для перевозки
фундаментных плит нам потребуется 2 машины.
3.3 Проектирование
стройгенплана
.3.1 Расчет бытовых
помещений
Определение численности
инженерно-технических работников.
Nитр = Nmax*8% = 32*0,08=2,56 - принимаем 3 человека.
Определение численности Младшего
обслуживающего персонала
Nмоп = Nmax * 2% = 32*0,02 = 0,64 - принимаем 1 человека.
Определение численности практикантов
Определение численности мужчин.
Nмуж. = Nmax * 80% = 32 * 0,8 = 25,6 - принимаем 26 мужчин.
Определение численности женщин.
Nжен. = Nmax - Nмуж. = 32 - 26 = 6 - принимаем 6 женщины.
Общее количество рабочих.
Nобщ. = Nmax+Nитр+Nмоп+Nпркт. = 32+3+1+2 = 38 человек.
Таблица 18. Подбор бытовых
помещений.
|
Наименование помещений
|
Кол-во работающих
|
% польз
|
Кол-во польз
|
Площадь
|
Тип
|
|
|
|
|
Ед
|
Всего
|
|
|
1) Кон-ра ИТР 2) Гардеробная для мужчин 3) для женщин 4) Душевая
5) Столовая 6) Уборная
|
3 26 6 38 38 38
|
100 100 100 80 80 100
|
3 26 6 31 31 38
|
5 0,7 0,7 0,5 1 0,1
|
15 18,2 4,2 15,5 31 3,8
|
Передвижная Передвижная Передвижная Контейнерная Контейнерная
Биотуалет
|
3.3.2 Складирование
материалов
Ведомость расчёта складских
помещений.
Qзап = (Qобщ*a*n)/Т*К
где Qзап - запас хранящихся материалов
Qобщ - общее количество необходимого материала
Т - количество дней потребления
a = 1.1, коэф. неравномерности поступления
n - количество дней запаса
К = 1.2 - коэф. неравномерности
потребления
Fпол = Qзап/q
Fобщ = Fпол/β
q - норма складирования материалов на 1 м2
Таблица 19. Расчет складских
помещений.
|
Материалы
|
Ед. изм.
|
Q
общ
|
Т, дни
|
Q
общ/Т
|
n
|
α
|
К
|
Q
зап
|
g
|
F
пол
|
β
|
F
общ
|
Размеры
|
|
Дверные блоки
|
м2
|
615
|
8
|
76,9
|
1
|
1,1
|
1,2
|
70,5
|
25
|
2,8
|
0,8
|
3,5
|
2х2
|
|
Плиты перекрытия
|
м3
|
160
|
4
|
40
|
1
|
1,1
|
1,2
|
36,7
|
1.2
|
30,6
|
0,8
|
38,25
|
8х5
|
|
Линолеум
|
М2
|
1895
|
6
|
315,8
|
1
|
1,1
|
1,2
|
289,5
|
24
|
12
|
0,8
|
15
|
3х5
|
|
Оконные блоки
|
м2
|
354
|
3
|
118
|
1
|
1,1
|
1,2
|
108,2
|
25
|
4.3
|
0,8
|
5,4
|
3х2
|
|
Кирпич
|
тыс. ш
|
11,2
|
5,7
|
1,9
|
1
|
1,1
|
1,2
|
1.8
|
0,7
|
2,6
|
0,8
|
3,2
|
2x2
|
В связи с тем, что площадка для
складирования ограничена и имеет небольшую площадь, материалы завозятся на
каждый этаж раздельно, что позволяет уместить все основные материалы и
конструкции. Размеры площадок для складирования принимаем 2х2; 8х5; 3х5;
3х2; 2x2; соответственно.
3.3.3 Расчет временного
водоснабжения
Водопровод на строительной площадке
расходуется на производственные нужды, хозяйственные нужды и пожарные нужды.
Расход воды считается на самый напряжённый момент во время строительства.
Таблица 20. Расход воды
|
Наименование работ
|
Ед. изм.
|
V
|
Колич. дней
|
V
в смену
|
Удельный расход воды
|
|
Приготовление смеси для стяжки Внутренняя штукатурка стен
Заправка автотранспорта Итого
|
м³ м 2 шт.
|
35,7 4370
|
6 36
|
5,95 121,4
|
210 5 400
|
Впр. =
=
=0,117
л/сек.
Вхоз. =
=0,045
л/сек.
Вдуш. =
=0,34
л/сек
Врасчетное =
1,25*(Впр+Вхоз+Вдуш) = 1,25 (0,117+0,026+0,12) = 0,63 л/сек
Д = 
23,2 мм. Принимаем
диаметр равный 25 мм.
Принимаем трубу для
пожарного гидранта диаметром 100 от существующих сетей.
3.3.4 Расчет
электропотребления
Энергия идет на
освещение внутри бытовок, на освещение строительной площадки напряжением 220
вольт.
Силовая энергия
напряжением в 380 вольт рассчитана на кран, растворомешалку и
электроинструменты.
Таблица 21. Расчет
временного электропотребления
|
Потребители
|
Ед. изм.
|
Количество
|
Удельная мощность КВт
|
Общая мощность, КВт
|
|
Силовая электроэнергия Башенный кран КБ-403 Сварочный аппарат
Растворомешалка СО46А Электроинструмент Итого силовой электроэнергии
|
Шт. Шт. Шт. Шт
|
1 1 1 4
|
77,6 20 1,5 3
|
77,6 20 1,5 12 Σ=111,1
|
|
Внутреннее освещение Контора ИТР Бытовые помещения Итого
внутреннего освещения
|
100м2 100м2
|
0,172 1,184
|
1,5 1,2
|
0,258 1,141 Σ=1,399
|
|
Наружное освещение Освещение каменно-монтажных работ Освещение
открытых складов Освещение проходов и проездов Охранное освещение Итого
наружное освещение
|
1000м2 1000м2 1000 м 1000 м
|
0,372 0,116 0,063 258
|
2,4 1,0 5,0 2,0
|
0,895 0,116 0,317 0,516 1,844
|
Р = 1,1 (
+К3*ΣРов+ΣРон)
Р = 1,1 (
)
= 122Кв.
Принимаем трансформатор
ТМ - 180 (Ртр = 180КВт.).
3.3.5 ТЭП стройгенплана
Таблица 22. ТЭП стройгенплана
|
Наименование показателя
|
Ед. изм.
|
Вид показателя
|
|
Общая площадь строительства
|
м2
|
5753,5
|
|
Длина временных дорог
|
км
|
0,064
|
|
Длина временного ограждения
|
км
|
0,307
|
|
Длина временных силовых линий
|
км
|
0,073
|
|
Длина линий временного освещения
|
км
|
0,296
|
|
Длина временного водопровода
|
км
|
0,078
|
|
Площадь временных зданий
|
м2
|
144,19
|
|
К1 = Sздан
/ Sзастр
∙ 100%
|
%
|
12,8
|
|
К2 = Fбыт
/ Sздан
∙ 100%
|
%
|
19,6
|
Список источников
1. Аханов, В.С. Справочник строителя / В.С. Аханов, Г.А.
Ткаченко. - 6-е изд., доп. и перераб. - Ростов-на-Дону, 2004. - 480 с.: ил.
2. Барабанщиков, Ю.Г. Строительные материалы и изделия:
учебник / Ю.Г. Барабанщиков. - М., 2008. - 368 с. - (Среднее профессиональное
образование).
. Белецкий, Б.Ф. Технология и механизация строительного
производства: учебник / Б.Ф. Белецкий. - 2-е изд., перераб. и доп. -
Ростов-на-Дону, 2003. - 752 с.: ил.
. Берлинов, М.В. Основания и фундаменты: учебник / М.В.
Берлинов. - 3-е изд., стер. - М., 1999. - 319 с.: ил.
. Берлинов, М.В. Расчет оснований и фундаментов: учебник /
М.В. Берлинов, Б.А. Ягупов. - 2-е изд., перераб. и доп. - М., 2004. - 272 с.:
ил.
. Буга, П.Г. Гражданские, промышленные и
сельско-хозяйственные здания: учебник / П.Г. Буга. - 3-е изд., стер. - М.,
2005. - 351 с.: ил.
. Ганенко, А.П. Оформление текстовых и графических
материалов при подготовке дипломных проектов, курсовых и письменных
экзаменационных работ (требования ЕСКД): учеб. пособие / А.П. Ганенко,
Ю.В.милованов, М.И. Лапсарь. - М., 2000. - 352 с.
. Георгиевский, О.В. Единые требования по выполнению
строительных чертежей / О.В. Георгиевский. - М., 2004. - 144 с.: ил.
. Георгиевский, О.В. Художественно-графическое оформление
архитектурно-строительных чертежей: учеб. пособие / О.В. Георгиевский. - М.,
2004. - 80 с.
. Гришук, Т.В. Строительные материалы и изделия: учеб.
пособие / Т.В. Гришук. - Мн., 2004. - 312 с.: ил.
. Данилов, Н.Н. Технология и организация строительного
производства: учебник / Н.Н. Данилов, С.Н. Булгаков, М.П. Зимин. - М., 1988. -
752 с.
. Зинева, Л.А. Справочник инженера-строителя: расход
материалов на общестроительные и отделочные работы / Л.А. Зинева. -
Ростов-на-Дону, 2002. - 544 с.
. Киреева, Ю.И. Строительные материалы и изделия: учеб.
пособие / Ю.И. Киреева. - Мн., 1998. - 192 с.: ил.
. Кирнев, А.Д. Организация строительного производства:
курсовое и дипломное проектирование: учеб. пособие / А.Д. Кирнев. -
Ростов-на-Дону, 2006. - 672 с.: ил.
. Комков, В.А. Техническая эксплуатация зданий и
сооружений: учебник / В.А. Комков, С.И. Рощина, Н.С. Тимахова. - М., 2005. -
288 с.
. Короев, Ю.И. Черчение для строителей: учебник / Ю.И.
Короев. - 5-е изд., стер. - М., 1998. - 256 с.
. Кровля. Современные материалы и технология: учебник /В.И.
Теличенко, В.Ф. Касьянов, С.Д. Сокова, Ю.Н. Доможилов. - М., 2005. - 328 с.
. Куликов, О.Н. Охрана труда в строительстве: учебник /
О.Н. Куликов, Е.И. Ролин. - М., 2002. - 288 с.
. Любарский, А.Д. Технология и организация строительного
производства. Охрана труда: учебник / А.Д. Любарский. - 2-е из., перераб. и
доп. - М., 1991. - 304 с.
. Маилян, Р.Л. Строительные конструкции: учеб. пособие /
Р.Л. Маилян, Д.Р. Маилян, Ю.А. Веселев. - Ростов-на-Дону, 2004. - 880 с.: ил.
. Материаловедение: отделочные строительные работы: учебник
/ В.А. Смирнов, Б.А. Ефимов, О.В. Кульков и др. - М., 2002. - 288 с.
. Новицкий, О.В. Современные лестницы: проектирование,
изготовление, монтаж / О.В. Новицкий. - М., 2005. - 88 с.: ил.
. Основин, В.Н. Справочник по строительным материалам и
изделиям / В.Н. Основин, Л.В. Шуляков, Д.С. Дубяго. - Ростов-на-Дону, 2005. -
443 с.: ил.
. Основин, В.Н. Строительные материалы и изделия: учеб.
пособие / В.Н. Основин, Л.В. Шуляков. - Мн., 2008. - 224 с. - ил. - (ССУЗ).
. Пилягин, А.В. Проектирование оснований и фундаментов
зданий и сооружений: учеб. пособие / А.В. Пилягин. - М., 2006. - 248 с.
. Попов, Н.Н. Железобетонные и каменные конструкции: учеб.
пособие / Н.Н. Попов, М. Чарыев. - М., 1996. - 255 с.: ил.
. Ржецкая, Л.М. Гражданские и промышленные здания: курсовое
проектирование: учеб. - метод. пособие / Л.М. Ржецкая, Т.П. Макогон; под ред.
Л.М. Ржецкой. - Мн., 2002. - 96 с.: ил.
. Рыбьев, И.А. Строительное материаловедение: учеб. пособие
/ И.А. Рыбьев. - М., 2003. - 701 с.: ил.
. Сборник инструкций по охране труда для работников общих
профессий и видов работ / сост. С.А. Михаловский, Г.Е. Сидюкевич. - Мн., 2002.
- 376 с.
. Сетков, В.И. Строительные конструкции: расчет и
проектирование: учебник / В.И. Сетков, Е.П. Сербин. - М., 2005. - 448 с.
. Сокол, Т.С. Охрана труда: учеб. пособие / Т.С. Сокол; под
ред. Н.В. Овчинниковой. - Мн., 2005. - 304 с.: ил.
. Соколов, Г.К. Технология и организация строительного
производства: учебник / Г.К. Соколов. - М., 2002. - 528 с.: ил.
. Стаценко, А.С. Технология и организация строительного
производства: учеб. пособие / А.С. Стаценко, А.И. Тамкович. - Мн., 2000. - 367
с.: ил.
. Сугробов, Н.П. Строительная экология: учеб. пособие /
Н.П. Сугробов, В.В. Фролов. - М., 2004. - 416 с.
. Теплоизоляционные материалы и конструкции: учебник / Ю.Л.
Бобров, Е.Г. Овчаренко, Б.М. Шойхет, Е.Ю. Петухова. - М., 2003. - 268 с.: ил. -
(Среднее профессиональное образование).
. Филимонов, Б.П. Отделочные работы. Современные материалы
и новые технологии: учеб. пособие / Б.П. Филимонов. - М., 2004. - 176 с.: ил.
. Челноков, А.А. Охрана труда: учеб. пособие /А.А.
Челноков, Л.Ф. Ющенко. - Мн., 2006. - 463 с.
. Шерешевский, И.А. Конструирование гражданских зданий /
И.А. Шерешевский. - изд. стер. - М., 2007. - 176 с.: ил.
. Яковлев, Р.Н. Новые методы строительства: технология ТИСЭ
/ Р.Н. Яковлев. - М., 2003. - 480 с.
дом теплотехнический плита проектирование