Линейная алгебра и аналитическая геометрия

  • Вид работы:
    Контрольная работа
  • Предмет:
    Математика
  • Язык:
    Русский
    ,
    Формат файла:
    MS Word
    564,13 Кб
  • Опубликовано:
    2013-11-18
Вы можете узнать стоимость помощи в написании студенческой работы.
Помощь в написании работы, которую точно примут!

Линейная алгебра и аналитическая геометрия

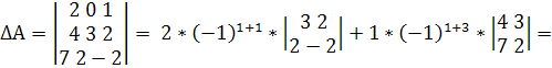
Вычислить определители матриц:

А. По определению.

Б. Разложение определителя по элементам 1-ой строки.

В. Разложение определителя по элементам 3-го столбца.

Г. Разложение определителя по элементам строки (столбца) с общим не нулевым элементом.

Д. Метод приведения к треугольному виду.

 

Решение:.   По определению:

 ,

 

33.

Ответ:

,

 

 

 

Ответ:

Б. Разложение определителя по элементам 1-ой строки:

,

 

,

Ответ:

,

 

 

,

Ответ:

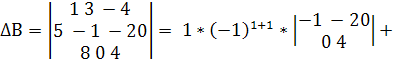
В. Разложение определителя по элементам 3-го столбца:

,

 

,

Ответ:

,

 

 

,

Ответ:

Г. Разложение определителя по элементам строки (столбца) с общим не нулевым элементом:

,

 = 1

Ответ:

,

 

Ответ:

Д. Метод приведения к треугольному виду:

,

 

 

Ответ:

,

 

 

Ответ:

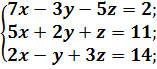
Задание 17.1.

Решить систему уравнений:

А. Методом Крамера.

Б. Методом Жордана-Гауса.

В. Матричным методом.

 

Решение:

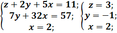
А. Метод Крамера:

 

 

 

 

 

 

 

 

 


Ответ: (x = 2, y = 1, z = 3);

Б. Метод Жордана-Гауса:

 

 


Ответ: (x = 2, y = 1, z = 3);

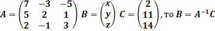
В. Матричный метод:

По теореме Кронекера-Копелли для того, что бы система линейных алгебраических уравнений имела решение, необходимо, что бы ранг основной матрицы

 

и ранг расширенной матрицы

 

были равны.

Так как rang|A|=3 равен rang|B|=3 и равен количеству неизвестных n=3, то система имеет единственное решение. Если ввести матричные обозначения

 

Найдем обратную матрицу A-1. Для этого допишем справа единичную матрицу и при помощи элементарных преобразований приведем основную матрицу к единичному виду:

 

 

Обратная матрица имеет вид:

 

Для нахождения матрицы X умножим обратную матрицу А-1 на матрицу С

 

Ответ: (x = 2, y = 1, z = 3);

Задание №13.1

Вариант №1.

Пирамида ABCD задана координатами своих вершин:(-1;-2;0), B(-4;3;-1), C(4;-4;0), D(1;-2;4).

Найти:

А. Координати векторов AB, AC, AD;

Б. Длины ребер AB, AC, AD;

В. Координати τ.I, λ=AI:IB=1:5;

Г. Угол между ребрами AC, AD;

Д. Площадь грани ABC;

Е. Объем пирамиды;

Решение:

А. Координаты векторов AB, AC, AD

Положим, что А=А1, В=А2, С=А3 и D=A4. Тогда координаты векторов находим по формуле:

X = xj- xi; Y = yj- yi; Z = zj- zi

здесь X,Y,Z координаты вектора; xi, yi, zi- координаты точки Аi; xj, yj, zj- координаты точки Аj;

Например, для вектора A1A2

X = x2 - x1; Y = y2 - y1; Z = z2 - z1

X = -4-(-1); Y = 3-(-2); Z = -1-01A2(-3;5;-1)1A3(5;-2;0);1A4(2;0;4) .

Ответ: AB(-3;5;-1), AC(5;-2;0), AD(2;0;4).

Б. Длины ребер AB, AC, AD:

Положим: A(xA,yA,zA)=A(-1;-2;0), B(xB,yB,zB)=B(-4;3;-1), C(xC,yC,zC)=C(4;-4;0), D(xD,yD,zD)=D(1;-2;4)

Вычислим длины ребер:

 

;

 

 

 

 

Ответ: 5,916, 5,385.

Г. Угол между ребрами AC, AD:

 

=

Ответ:

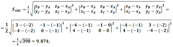
Д. Площадь грани ABC:


Ответ: .

Е. Объем пирамиды:

 

 

Ответ:

Задание №18.1

Вариант №1.

Даны координаты точек А(4;-5), В(9;1), С(5;-1).

Найти:

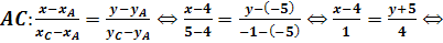
А) Уравнение прямой AB, AC;

Б) Уравнение высоты CD;

Г) Угол CAB;

Д) Координати середин сторон треугольника;

Е) Уравнение биссектрисы внутреннего угла А;

Ж) Уравнение медианы, которая проходит через вершину А.

Решение:

А) Уравнение прямой AB, AC:

 

;

 

;

В) Уравнение прямой, которая проходит через точку В паралельно прямой АС AC:

Находим угловой коэффициент:

 

 

Г) Угол CAB:

 

 

Д) Координати середин сторон треугольника:

Найдем точки пересечения медиан со сторонами. Пусть A1, B1, C1 - точки пересечения медиан проведенных из вершин А, В и С соответственно, со сторонами ВС, АС и АВ соответственно. Тогда:

 

 

 

 

 

 

Е) Уравнение биссектрисы внутреннего угла А:

 

 

 

 

 

 

Ж) Уравнение медианы, которая проходит через вершину А:

 

 

Задание №55.1

Вариант №1.

Задано уравнение эллипса .

Найти:

А) Центр;

Б) Вершини;

В) Полуоси;

Г) Фокусы;

Д) Эксцентриситет;

Е) Уравнение директрис.

Решение:

А) Центр:

Так как уравнение эллипса является каноническим, то координаты центра эллипса совпадают с началом координат.

Ответ: (0, 0);

Б) вершины:

Так как a2=144, а b2=25, то a=12, b=5. Следовательно вершины эллипса А(-12, 0), В(12, 0), С(0, -5), D(0, 5).

В) Полуоси:

Ответ: а=12, b=5.

Г) Фокусы:

Так как фокусы F1 и F2 это точки лежащие по обе стороны от центра на расстоянии , то координаты фокусов будут иметь вид F1(-c, 0), F2(c, 0), имеем:

определитель матрица уравнение эллипс

, отсюда1(-10.9087, 0), F2(10.9087, 0).

Д) Эксцентриситет:

 

Е) Уравнение директрис: Если взята каноническая для данной крий прямоугольная система координат, то уравнение директрис d1, d2 (соответствующих фокусам F1, F2) будет соответственно

 

 

Ответ: (13,2004, - 13,2004).

Література

1. Бубняк Т.И. Высшая математика : Учебное пособие. - М.: " Новый мир -2000 ", 2006

. Валеев К.Г. , Джалладова И.А. Высшая математика : Учеб. пособие: В двух ч. - М. КНЭУ 2002 .

. Высшая математика : Сборник задач В 2 ч. / Под общ . ред П.П. Овчинников - 2 - е изд . - К. : Техника , 2004 .

. Высшая математика : Сборник задач : Учеб. пособие / Под ред . В.П. Дубовика , И.И. Юрика . - М. , 2003 .

. Сборник задач по линейной алгебре и аналитической геометрии / Руданский Ю.К. , Костобий П.П. и др.- г Львов : " Бескет Бит ", 2002.

. Компьютерная дискретная математика : Учебник / М.Ф. Бондаренко , Н.В. Белоус , А.Г.Руткас . - Харьков : "Компания СМ ИТ ", 2004.

. Овчинников П.П. , Михайленко В.М. . Высшая математика : Учебник . В 2 ч. - 3 - е изд. - К. :Техника , 2004 .

. Руданский Ю.К. , Костобий П.П. и др. . Линейная алгебра и аналитическая геометрия : Учеб. учебник - М.: " Бескет Бит ", 2002. - 262 с

10 . Шкиль Н.И. Математический анализ: Учебник : В 2 ч. Ч. 1 . - 3 - е изд. - М.: Высшая школа .. , 2005 .

. Шкиль М . И. М атематические анализ: Учебник : В 2 ч. Ч. 2 . - 3 - е изд. - М.: Высшая школа .. , 2005 . - 510 с .

Похожие работы на - Линейная алгебра и аналитическая геометрия

 

Не нашли материал для своей работы?
Поможем написать уникальную работу
Без плагиата!
Без нейросетей!