Динамическое программирование и дифференциальное и интегральное исчисление в образах
МИНИСТЕРСТВО СЕЛЬСКОГО ХОЗЯЙСТВА
РОССИЙСКОЙ ФЕДЕРАЦИИ
ФЕДЕРАЛЬНОЕ ГОСУДАРСТВЕННОЕ БЮДЖЕТНОЕ
ОБЩЕОБРАЗОВАТЕЛЬНОЕ УЧРЕЖДЕНИЕ ВПО «РЯЗАНСКИЙ ГОСУДАРСТВЕННЫЙ
АГРОТЕХНОЛОГИЧЕСКИЙ УНИВЕРСИТЕТ ИМЕНИ П.А. КОСТЫЧЕВА»
Кафедра высшей математике
КУРСОВАЯ РАБОТА
По высшей математике
на тему: «Динамическое
программирование и дифференциальное и интегральное исчисление в образах»
ВЫПОЛНИЛ: студент группы №22
Экономического факультета специальности
«Экономика и управление на предприятии АПК»
#76410
ПРОВЕРИЛ:
Шумбасова Е.И
Рязань - 2012
Содержание
Введение
. Динамическое программирование
.1 Задачи оптимального управления и ее разновидности
.2 Метод динамического программирования
.3 Вычислительные аспекты динамического программирования
.4 Прикладные задачи
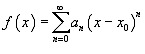
. Дифференциальное и интегральное исчисление в образах
.1 Функции
.2 Последовательности
.3 Ряды
. Задачи
.1 Линейное программирование
.1.1 Симплекс метод
.1.2 Графический метод
.2 Транспортная задача
.3 Модель-Леонтьева
.4 Задачи на повторение
Заключение
Список использованной литературы
Введение
Мы изучали курс высшей математике на протяжении двух лет. В начале курса
была поставлена цель, познакомиться со всеми разделами высшей математики, а
также научились применять их на практике при решении конкретных задач, ведь
общий курс является фундаментом математического образования специалиста.
Высшая математика является ступенью в будущее и помогает открыть много
нового и интересного. С помощью различных формул, расчетов мы можем составить
схемы строительства зданий, современной техники и даже больших городов.
Получив знания по курсу высшей математики, хороший специалист всегда
очень точно просчитывает все свои действия, а только потом выдает самый точный
результат.
Передо мной стояли следующие задачи:
1) Изучить такой раздел высшей математики, как линейная алгебра и
аналитическая геометрия.
2) Изучить интегральное и дифференциальное исчисление.
) Изучить теорию вероятности и уметь применять их формулы для
конкретных задач.
) Научиться решать экономические задачи различного типа
разнообразными способами, симплекс-методом, с помощью модели Леонтьева, методом
северо-западного угла и методом минимизирования затрат с использованием циклов
пересчета и многое другое.
) Научиться пользовать практической и теоретической литературой.
Цель моей курсовой работы изучить такие два важных раздела как, метод
динамического программирования и дифференциальное и интегральное исчисление.
Для достижения поставленной цели курсовой работы необходимо решить следующие
задачи:
1) Задачи оптимального управления и ее разновидности
2) Вычислительные аспекты динамического программирования
3) Рассмотреть подробнее примеры данной темы
) Изучить функции
) Рассмотреть последовательно и ряды.
1. Динамическое программирование
.1 Задачи оптимальности и их разновидности
Вся математика изначально и многие ее разделы впоследствии - в том числе
и ДП - своим происхождением и развитием обязаны именно практической,
хозяйственной, экономической жизни общества. Выйдя из самих ее основ и
неоднократно пройдя классический цикл «от живого созерцания к абстрактному
мышлению и от него к практике», развив в себе мощные количественные методы
анализа, математика не может не найти эффективные приложения в самых различных
сферах человеческой деятельности. Данное обстоятельство подчеркивает, в
частности, неправомерность острого противопоставления математики и реального
мира, равно как теории и практики вообще.
Динамическое программирование есть поэтапное планирование многошагового
процесса, при котором на каждом этапе оптимизируется только один шаг.
Управление на каждом шаге должно выбираться с учетом всех его последствий
в будущем. Динамическое программирование - это планирование дальновидное, с
учетом перспективы. Это не близорукое планирование «вслепую» на один шаг.
Напротив, управление нa
каждом шаге выбирается исходя из интересов операции в целом.
Проиллюстрируем принцнп «дальновидного» планирования на примерах.
Пусть, например, планируется работа группы разнородных промышленных
предприятий на период времени Т лет и конечной задачей является получение
максимального объема продукции некоторого класса С товаров широкого
потребления.
В начале периода имеется определенный запас средств производства (машин,
оборудования), с помощью которого можно начать производство товаров этого
класса.
«Шагом» или «этапом» процесса планирования является хозяйственный год.
Пусть нам предстоит выбор решения на закупку сырья, машин и распределение
средств по предприятиям на первый год. При «близоруком» поэтапном планировании
мы приняли бы решение: вложить максимальное количество средств в закупку сырья
и пустить имеющиеся машины на полную мощность, стремясь к максимальному объему
продукции класса С к концу первого же года.
При дальновидном планировании, напротив, будут предусмотрены мероприятия,
обеспечивающие пополнение машинного парка по мере его изнашивания. С учетом
таких капиталовложений объем продукции основного товара С первый год будет
меньше, чем мог бы быть, но зато будет обеспечена возможность расширения
производства в последующие годы.
Возьмем другой пример. Процесс планирования в шахматной игре тоже
распадется на отдельные шаги (ходы). Допустим, что фигуры условно оценены тем
или другим числом очков соответственно своей важности; беря фигуру, мы
выигрываем это число очков, а отдавая - проигрываем.
Разумно ли будет, продумывая шахматную партию на несколько шагов вперед,
всегда стремиться к тому, чтобы на каждом шаге выигрывать максимальное число
очков? Очевидно, нет. Такое, например, решение, как «пожертвовать фигуру»,
никогда не может быть выгодно с узкой точки зрения одного-единственного хода,
но может быть выгодно с точки зрения партии в целом.
Так обстоит дело и в любой области практики. Планируя многоэтапную
операцию, мы должны выбирать управление на каждом шаге, исходя не из узких интересов
именно этого шага, а из более широких интересов операции в целом, и далеко не
всегда эти две точки зрения совпадают.
Общее правило: в процессе поэтапного планирования управление на каждом
шаге должно приниматься с учетом будущего. Однако из этого правила есть
исключение. Среди всех шагов существует один, который может планироваться
попросту, без «оглядки на будущее». Какой это шаг? Очевидно, последний. Этот
последний шаг, единственный из всех, можно планировать так, чтобы он как
таковой приносил наибольшую выгоду.
Спланировав оптимальным образом этот последний шаг, можно к нему
«пристраивать» предпоследний, к этому в свою очередь предпредпоследний и т. д.
Поэтому процесс динамического программирования всегда разворачивается в
обратном по времени направлении: не от начала к концу, а от конца к началу.
Раньше всего планируется последний шаг. А как его спланировать, если мы не
знаем, чем кончился предпоследний? Очевидно, нужно сделать разные предположения
о том, чем кончился предпоследний шаг, и для каждого из них выбрать управление
на последнем.
Такое оптимальное управление, выбранное при определенном условии о том,
чем кончился предыдущий шаг, мы будем называть условным оптимальным
управлением.
Принцип динамического программирования требует нахождения на каждом шаге
условного оптимального управления для любого из возможных исходов
предшествующего шага.
Продемонстрируем схему такой процедуры. Пусть планируетсят-шаговая
операция, и неизвестно, чем кончился (т-1)-й шаг. Сделаем об этом ряд «гипотез»
или «предположений». Эти гипотезы мы обозначим:
S(1)(m-1) , S(2)(m-1)
,,, S(j)m-1
Оговоримся, что буквой S(j)m-1 не обязательно обозначается одно число: это может быть и
группа чисел, характеризующих исход (m-1)-го шага, .а может быть и просто качественное состояние той физической
системы, в которой протекает управляемый процесс.
Найдем для каждого из предположений условное оптимальное управление на
последнем (m-м) шаге. Это будет то из всех
возможных управленийUm, при котором
достигается максимально возможное значение выигрыша на последнем шаге.
Предположим, что для каждого из предположений условное оптимальное
управлениеUm на последнем шаге найдено:
U*m (S(1)m-1) ; U*m (S(2)m-1); U*m (S(j)m-1)
Это означает, что последний шаг спланирован для любого исхода предпоследнего.
Перейдем к планированию следующего от конца, предпоследнего шага. Снова
сделаем ряд гипотез о том, чем кончился предпредпоследний ((m - 2)-й) шаг:
Поставим вопрос: как нужно выбирать для каждой из этих гипотез условное
оптимальное управление на (m-1)-м
шаге?
Очевидно, его нужно выбирать так, чтобы оно, сов-местно с уже выбранным
управлением на последнем шаге, обеспечивало максимальное значение критерия W на двух последних шагах.
Другими словами, для каждой из гипотез нужно найти такое условное оптимальное
управление на (m-1)-м шаге
U*m-1 (Sm-2)
чтобы оно, в совокупности с уже найденным условным оптимальным
управлениемU*m(Sm-1), давало
максимально возможный выигрыш на двух последних шагах.
Очевидно, к (т- 1)-му шагу таким же точно способом может быть присоединен
(m - 2)-й и т. д. вплоть до самого
последнего (от конца) 1-го шага, с которого процесс начинается.
Первый шаг, в отличие от всех других, планируется несколько иначе. Так
как мы обычно знаем, с чего начинается процесс, то нам уже не требуется делать
гипотезы о том, в каком состоянии мы приступаем к первому шагу. Это состояние
нам известно. Поэтому, учитывая, что все последующие шаги (2-й, 3-й и т. д.)
уже спланированы (условно), нам остается просто спланировать первый шаг так,
чтобы он был оптимальным с учетом всех управлений, уже принятых наилучшим
образом на всех последующих шагах.
Принцип, положенный в основу построения такого решения (искать всегда
оптимальное продолжение процесса относительно того состояния которое достигнуто
в данный момент), часто называют принципом оптимальности.
.2 Метод динамического программирования и его основные этапы
Рассмотренный принцип оптимальности лежит в основе метода ДП 1 решения
задач управления многошаговыми процессами. Метод ДП включает три основных этапа:
) предварительный этап;
) этап условной оптимизации;
) этап безусловной оптимизации.
Изложим содержание этих этапов, имея в виду задачу ДП на поиск максимума.
Предварительный этап проводится с целью уменьшения вычислительной работы
на последующем этапе решения и, по существу, заключается в нахождении всех
допустимых значений управлений щ и фазовых переменных Xi (т. е. фактически
областей определения функций Bi(xi) или, в более сложных случаях,
множеств, содержащих эти области определения). Иными словами, на данном этапе
отбрасываются все заведомо неподходящие, нереализуемые значения фазовых и
управляющих переменных. Проводится предварительный этап в естественном порядке
от первого шага к последнему: i=1,2,...,N, а опираются соответствующие расчеты
на уравнение процесса хi =
fi(xi-1,ui).Данный этап особенно удобен при табличном способе задания
функций, фигурирующих в условии задачи.
Этап условной оптимизации заключается в непосредственном вычислении
функций Беллмана Bi(xi) и проводится, как и предписывает
принцип оптимальности, в обратном порядке от последнего шага к первому: i =
N,N-1,..., 2,1. Расчет проводится следующим образом. Для последнего шага при i
= N с учетом условия BN(XN) = 0 принцип оптимальности Беллмана принимает
следующий наиболее простой вид:
(xn-1)=maxuN{zN(xN-1,uN)}
Иначе говоря, при планировании последнего шага нет необходимости
учитывать прогноз на будущее. При этом для каждого допустимого значения
аргумента xN-1 (определенного на предварительном
этапе) максимум достигается при некотором управлении uN=uN(xN-1) Вычисленная функцияBn-1(xN-1) позволяет перейти к предшествующему шагу приi = N - 1 и снова применить принцип
оптимальности - он уже не будет иметь столь простую форму записи. Продолжая
аналогичным образом, завершим данный этап вычислением функций B0(x0) и ui(x0) после прохождения первого шага при
i = 1.
Этап безусловной оптимизации проводится с целью окончательного вычисления
оптимального значения задачиZ* и
построения оптимального управления
(u1* и2*…uN*) и оптимальной траектории x0* , x1* …xN*. Проводится Данный этап в
естественном порядке от первого шага к последнему:i - 1, 2,..., N. Построение оптимального решения начинается с
определения оптимального значения задачи Z* и оптимального начального состояния Xq. Если начальное состояние определено
однозначно, то оптимальное значение задачи Z* равно Bо(x0); Приэтом принимаем x0*= x0. Если же начальное состояние не определено однозначно, а
принимает значения из некоторого множества начальных состояний Хо,
то.оптимальное значение задачи Z*
вычисляется по формуле
Z* = mах{B0(x0)}.
x0€X0
В этом случае в качестве принимаем то значение переменной x0*, при котором данный максимум
достигается (таких значений может быть одно или несколько).
При построении оптимального управления и оптимальной траектории
используются функции Ui(xi-i), вычисленные на этапе условной оптимизации. На первом шаге
при i=1, используя уже известное значение x0*, находим:
u1* = u1(x0*),х1* = f1(x0*,u1*)
На втором шаге приi = 2,
используя вычисленное находим:.
u2* = u2(x1*),х2* = f2(x1*,u2*)
Продолжая аналогично, получим на последнем шаге при i = N:
uN* = un(xn-1*),хn* = fn(xn-1*,un*)
Таким образом полностью определяются оптимальное решение
(u1* и2*…uN*) и оптимальная траекторияx0* , x1* …xN*. системы. Отметим, что и
оптимальное решение, и оптимальная траектория могут быть определены
неоднозначно. Важно заметить, что функции Беллмана Bi(xi) не участвуют в
построении оптимального решения задачи и, следовательно, не требуют длительного
хранения в памяти при реализации метода ДП на ЭВМ.
Порядок расчетов в методе ДП может быть проиллюстрирован следующей
схемой, в которой точками обозначены состояния системы.
|
Этапы метода ДП
|
Номера шагов процесса 12 ... N
|
|
Предварительный
|
● → ● → ● → …→ ●
→● ↓ ● ←
● ← ●← … ←●←● ↓ ● →
● → ●→ … → ●→ ●
|
|
Условной оптимизации
|
|
|
Безусловной оптимизации
|
|
Тем самым, в ходе решения задачи методом ДП весь многошаговый процесс
просчитывается три раза в переменных направлениях. Отметим следующие основные
достоинства метода ДП: - сравнительная простота и однотипность расчетов, что
является удобным для алгоритмизации и программирования задач при их решении на
ЭВМ;
— снижение трудоемкости решения задач за счет более полного использования
свойств управляемых систем;
— отсутствие специальных ограничений на природу, характер и свойства
функций f и z. Они, например, могут не являться линейными, выпуклыми,
непрерывными, дифференцируемыми, и могут быть заданы как таблично, так и
аналитически, т. е. в виде формул.
1.3 Вычислительные аспекты динамического программирования
Динамическое программирование применяется для решения задач , в которых
процесс принятия решений может быть разбит на отдельные шаги - этапы ,
т. е. имеет место динамический процесс принятия решений , а с точки
зрения математики имеет место дискретизация , которая может быть естественной
,например во времени , тогда
T=
t *n,где
t- период дискретизации
n- целочисленные
числа(0,1,2,…10)
Существует
искусственная дискретизация , например разбиение ресурса на части.
При
решении задачи динамического программирования существует 2 этапа:
1) прямой ход- определяется оптимальное значение
критерия эффективности.
2) Обратный ход- определяется оптимальная стратегия.
Рассмотрим задачу распределения однородного ресурса:
Компанией планируется распределение ограниченных ресурсов S0=250*106 руб. между четырьмя
предприятиями П1,П2,П3,П4. Известна прибыль каждого предприятия, которую они
получают (исходные данные приведены в таблице).
|
Выделенный Ресурс
|
Прибыль
|
|
f1(x)
|
f2(x)
|
f3(x)
|
f4(x)
|
|
|
|
|
|
|
0
|
0
|
0
|
0
|
0
|
|
50
|
27
|
25
|
20
|
30
|
|
100
|
38
|
40
|
35
|
45
|
|
150
|
50
|
41
|
52
|
50
|
|
200
|
55
|
56
|
60
|
55
|
|
250
|
60
|
63
|
68
|
68
|
1)Весь ресурс выделяется 1-му предприятию:
|
Выделенный Ресурс
|
F1(x)
|
|
0
|
0
|
|
50
|
27
|
|
100
|
38
|
|
150
|
50
|
|
200
|
55
|
|
250
|
60
|
2)Ресурс распределяется между двумя предприятиями:
|
Выделенный Ресурс
|
Ресурс для П2
|
F2(x)
|
X2
|
|
0
|
50
|
100
|
150
|
200
|
250
|
|
|
|
0
|
0
|
-
|
-
|
-
|
-
|
-
|
0
|
0
|
|
50
|
27
|
25+0
|
-
|
-
|
-
|
-
|
27
|
0
|
|
100
|
38
|
25+27
|
40+0
|
-
|
-
|
-
|
52
|
50
|
|
150
|
50
|
25+38
|
40+27
|
41+0
|
-
|
-
|
67
|
100
|
|
200
|
55
|
25+50
|
40+38
|
41+27
|
56+0
|
-
|
78
|
100
|
|
250
|
60
|
25+55
|
40+50
|
41+38
|
56+27
|
63+0
|
90
|
100
|
1) Ресурс распределяется между тремя
предприятиями:
|
Выделенный Ресурс
|
Ресурс для П3
|
F3(x)
|
X3
|
|
0
|
50
|
100
|
150
|
200
|
250
|
|
|
|
0
|
0
|
-
|
-
|
-
|
-
|
-
|
0
|
0
|
|
50
|
27
|
20+0
|
-
|
-
|
-
|
-
|
27
|
0
|
|
100
|
52
|
20+27
|
35+0
|
-
|
-
|
-
|
52
|
0
|
|
150
|
67
|
20+52
|
35+27
|
52+0
|
-
|
-
|
72
|
50
|
|
200
|
78
|
20+67
|
35+52
|
52+27
|
60+0
|
-
|
87
|
50/100
|
|
250
|
90
|
20+78
|
35+67
|
52+52
|
60+27
|
68+0
|
104
|
150
|
1) Ресурс распределяется между четырьмя
предприятиями:
|
Выделенный Ресурс
|
Ресурс для П4
|
F4(x)
|
X4
|
|
0
|
50
|
100
|
150
|
200
|
250
|
|
|
|
0
|
0
|
-
|
-
|
-
|
-
|
-
|
0
|
0
|
|
50
|
27
|
30+0
|
-
|
-
|
-
|
-
|
27
|
50
|
|
100
|
52
|
30+27
|
45+0
|
-
|
-
|
-
|
57
|
50
|
|
150
|
72
|
30+52
|
50+0
|
-
|
-
|
82
|
50
|
|
200
|
87
|
30+72
|
45+52
|
50+27
|
55+0
|
-
|
102
|
50
|
|
250
|
104
|
30+87
|
45+72
|
50+52
|
55+27
|
68+0
|
117
|
50/100
|
Оптимальное значение прибыли для предприятия W=117*106 руб
|
Выделенный Ресурс
|
1
|
2
|
3
|
4
|
|
f1(x)
|
X1
|
f2(x)
|
X2
|
f3(x)
|
X3
|
f4(x)
|
X4
|
|
0
|
0
|
0
|
0
|
0
|
0
|
0
|
0
|
0
|
|
50
|
27
|
50
|
27
|
0
|
27
|
0
|
30
|
50
|
|
100
|
38
|
100
|
52
|
50
|
52
|
0
|
57
|
50
|
|
150
|
50
|
150
|
67
|
100
|
72
|
50
|
82
|
50
|
|
200
|
55
|
200
|
78
|
100
|
87
|
50/ 100
|
102
|
50
|
|
250
|
60
|
250
|
90
|
100
|
104
|
50
|
117
|
50/ 100
|
Х*1=(50,100,50,50)
Х*2=(50,50,100,50)
Х*3=(50,50,50,100)
Проверка:
W=
1)
W1=27+40+20+30=117
2)
W2=27+25+35+30=117
3)
W3=27+25+20+45=117
1. Применение метода динамического
программирования предполагает , что прибыль для всех предприятий измеряется в
одинаковых единицах.
Общая
прибыль определяется: W=
1. Прибыль одного предприятия не зависит
от прибыли других предприятий.
Алгоритм получения решения:
Прямой ход:
1)
F1(x)=f1(x)
F2(x)=
(f2(x)+F1(x))(x)=
(f3(x)+F2(x))(x)=
(f4(x)+F3(x)))Fn(x)=
(fn(x)+Fn-1(x))
Прикладные задачи
Производственному объединению из четырех предприятий выделяется
банковский кредит в сумме 60 млн. ден. ед. для реконструкции и модернизации
производства с целью увеличения выпуска продукции. Значения
дополнительного дохода, получаемого
на предприятиях объединения в зависимости от выделенной суммы xi, приведены в
табл. 2.1. Распределить выделенный кредит между предприятиями так, чтобы
дополнительный доход объединения был максимальным
Таблица 2.1 - Значения дополнительного дохода
|
Выделенные средства xi, млн. ден. ед.
|
Предприятие
|
|
№1
|
№2
|
№3
|
№4
|
|
Получаемый доход, млн. ден. ед.
|
|
|
|
|
|
|
0 20 40 60
|
0 9 18 24
|
0 11 19 30
|
0 16 32 40
|
0 13 27 44
|
Решение. Пусть n=1. В соответствии с вычислительной схемой динамического
программирования рассмотрим сначала случай n=1, т.е. предположим, что все
имеющиеся средства выделяются на реконструкцию и модернизацию одного
предприятия. Обозначим через ¦1(x) максимально возможный дополнительный доход на этом предприятии,
соответствующий выделенной сумме x. Каждому значению x отвечает вполне
определенное (единственное) значение
дополнительного дохода, поэтому можно
записать, что:
(2.1)
В соответствии с формулой (2.1) в зависимости от начальной суммы с
поучаем с учетом табл. 2.1 значения ¦1(с), помещенные в табл. 2.2.
Таблица 2.2 - Значения максимально возможного дополнительного дохода в
зависимости от выделенных средств
|
|
|
|
0
|
0
|
|
20
|
9
|
|
40
|
18
|
|
60
|
24
|
Пусть теперь n=2, т.е. средства распределяются между двумя предприятиями.
Если второму предприятию выделена сумма x, то дополнительный доход на нем
составит g2(x). Оставшиеся другому предприятию средства (c-x) в зависимости от
величины x (а значит, и c-x) позволят увеличить дополнительный доход до
максимально возможного значения ¦1(c-x). При этом условии общий дополнительный доход на двух
предприятиях:
(2.2)
Оптимальному значению ¦2(с) дополнительного дохода при распределении суммы с между двумя
предприятиями соответствует такое x, при котором сумма (2.2) максимальна. Это
можно выразить записью:
(2.3)
Функциональное уравнение Беллмана для рассматриваемой задачи запишется в
следующем виде:
(2.4)
Очередная задача - найти значения функции (2.3) для всех допустимых
комбинаций с и x. Для упрощения расчетов значения x будем принимать кратными 20
тыс. ден. ед. и для большей наглядности записи оформлять в виде таблиц. Каждому
шагу будет соответствовать своя таблица. Рассматриваемому шагу соответствует
табл. 2.3.
Таблица 2.3 - Значения функции на втором шаге
|
с\x
|
0
|
20
|
40
|
60
|
|
|
|
20
|
0+9
|
11+0
|
|
|
11
|
20
|
|
40
|
0+18
|
11+9
|
19+0
|
|
20
|
20
|
|
60
|
0+24
|
11+18
|
19+9
|
30+0
|
30
|
60
|
Для каждого значения (20,40,60) начальной суммы с распределяемых средств
в табл. 2.2 предусмотрена отдельная строка, а для каждого возможного значения x
(0,20,40,60) распределяемой суммы - столбец. Некоторые клетки таблицы останутся
незаполненными, так как соответствуют недопустимым сочетаниям с и x.
В каждую клетку таблицы будем вписывать значение суммы (2.2). Первое
слагаемое берем из условий задачи (см.табл.2.1), второе - из табл.2.2.
В двух последних столбцах таблицы проставлены максимальный по строке
дополнительный доход (в столбце
) и соответствующая ему оптимальная сумма средств, выделенная
второму предприятию (в столбце
).
Расчет значений приведен в табл. 2.4. Здесь использована формула,
получающаяся из (2.4) при n=3:
Первое слагаемое в табл. 2.4 взято из табл. 2.1, второе из табл. 2.3.
Таблица 2.4 - Значения функции на третьем шаге
|
с\x0204060
|
|
|
|
|
|
|
|
20
|
0+11
|
16+0
|
|
|
16
|
20
|
|
40
|
0+20
|
16+11
|
32+0
|
|
32
|
40
|
|
60
|
0+30
|
16+20
|
32+11
|
40+0
|
43
|
40
|
Расчёт значений приведен в табл. 2.5. Здесь использована формула,
получающаяся из (2.4) при n=4:
Первое слагаемое в табл.2.5 взято из табл.2.1, второе из табл. 2.4.
Таблица 2.5 - Значения функции на четвертом шаге
|
с\x0204060
|
|
|
|
|
|
|
|
20
|
0+16
|
13+0
|
|
|
16
|
0
|
|
40
|
0+32
|
13+16
|
27+0
|
|
32
|
0
|
|
60
|
0+43
|
13+32
|
27+16
|
44+0
|
45
|
20
|
Составим сводную таблицу, на основе расчетов таблиц, начиная с 2.2.
Таблица 2.6 - Сводная таблица
|
|
|
|
|
|
|
|
|
|
20
|
9
|
11
|
20
|
16
|
20
|
16
|
0
|
|
40
|
18
|
20
|
20
|
32
|
40
|
32
|
0
|
|
60
|
24
|
30
|
60
|
43
|
40
|
45
|
20
|
Из табл. 2.6 видно, что наибольший дополнительный доход, который могут
дать четыре предприятия при распределении 60 млн. ден. ед. (с=60), составляет
45 млн. ден. ед. (
). При этом четвертому предприятию должно быть выделено 20
млн. ден. ед. (
), а остальным трем - 60-20=40 млн. ден. ед. Из этой же
таблицы видно, что оптимальное распределение оставшихся 40 млн. ден. ед. (с=40)
между тремя предприятиями обеспечит общий дополнительный доход на них на сумму
32 млн. ден. ед. (
) при условии, что третьему предприятию будет выделено 40
млн. ден. ед. (
), а на долю второго и третьего средств не останется
(40-40=0).
Ответ: максимальный дополнительный доход на четырех предприятиях при
распределении между ними 60 млн. ден. ед. составляет 45 млн. ден. ед. и будет
получен, если первому и второму предприятию средств не выделять, третьему 40
млн. ден. ед., а четвертому 20 млн. ден. ед.
Простейщая классификация функций
Функция у = f(x) называется четной, если ее область
определения симметрична и выполняется равенство
Из симметричности области определения и из того, что наряду с точкой
(х,у) графику функции принадлежит точка (- x,y), следует, что
график четной функции симметричен относительно оси ординат.
Например, у = х2 функция четная, так как
а
область определения R (множество всех действительных чисел) симметричное.
Функция
y=f(x) называется нечетной, если область ее определения
симметрична и выполняется равенство
для всех
х из области определения.
Из
симметричности области определения и из того, что вместе с точкой (х,у) графику
функции принадлежит точка (-х,-у), следует, что график нечетной функции
симметричен относительно начала координат (т.е. не изменяется при вращении его
относительно начала координат на 180°.
Функция
у = f(x) называется периодической, если существует число
такое, что для каждого значения аргумента х из области
ее значения имеет место равенство.
Число Т называют периодом функции.
Из
определения следует, что числа
(k =
0,±1,±2,...) также являются периодами.
Наименьший положительный период, если он существует, называется основным
периодом.
Ограниченность
функции
Функция
у = f(х) называется ограниченной сверху в области своего задания X, если
существует такое положительное число М, что для всех
выполняется неравенство
Пример.
Функция у = - х2 ограничена сверху, так как для всех
,то есть 0 = М.
Функция
у = f(x) называется ограниченной снизу, если существует такое
число М, что для всех х из области определения функции выполняется неравенство
Монотонность
функции
Функция
у = f(х) называется возрастающей на некотором промежутке,
если для любых двух значений х из этого промежутка
следует,
что
Функция
у = f(x) называется убывающей на некотором промежутке, если
для любых двух значений х из этого промежутка
следует,
что
Возрастающие
и убывающие функции обычно называют монотонными.
Линейная
функция y = kx + b.
la. Рассмотрим
вначале частный случай функций y = kx + b при b = 0.
Функция
определена при всех
Областью
значения является множество R (так как уравнение kx = c
имеет решение при всех с).
Функция
является нечетной, f(-x) = - kx = - f(x).
Функция
не является периодической, так как k(x+T) = kx
=>kx + kT = kx =>кТ= 0 =>Т = 0.
Функция
не ограничена.
Функция
монотонная (прик > 0 возрастающая, k< 0 убывающая).
Если
у = 0, то х = 0.
б.
Рассмотрим частный случай функции y = kx + b при
k = 0.
у
= b.
Эта
функция определена при всех
· Областью значения является одна точка b.
· Функция четная.
· Функция периодическая (периодом является любое число,
основного периода нет).
· Функция ограничена.
· Функция постоянная
1 в. Функция y = kx + b.
Функция y = kx + b
является суммой двух функций y = kx и у = b.Следовательно область определения R (множество
действительных чисел).
· Область значения R.
· Функция
общего вида при
· Функция не
является периодической.
· Функция не
ограничена.
· Функция
монотонна (k> 0 возрастающая, k< 0
убывающая).
· График
функции получается из графика функции y = kx сдвигом
· по оси
ординат на величину b.
Дробно
- линейная функция
а,
b, с, d - постоянные, причем
(иначе
мы имели бы линейную функцию) и
(иначе
произошло бы сокращение и мы получили бы постоянную функцию).
la. В начале
рассмотрим функцию
Функция
определена всюду, кроме х = 0, то есть область определения интервалы
.
Область
значения также интервалы
.
Функция
нечетная, так как
Функция
убывающая (прик > 0) и возрастающая (при k< 0) на
интервалах
.
Функция
неограниченная.
Полученная
кривая называется гиперболой.
1б.
Общий случай
Полагая
получаем
Следовательно
график функции легко получить из графика функции
с
помощью сдвига на - т вдоль оси Ох и на n единиц вдоль
оси Оу.
Свойства
функции получаемые свойств функции
Степенная
функция у = хn.
а.
Рассмотрим случай n = 2k.
Функция
определена на всей числовой оси.
Функция
четная, так как
Функция
не является периодической.
На
интервале (-
; 0) функция убывает,на интервале (0; +
) функция возрастает.
Функция
ограничена снизу.
Обратная
функция
Пусть на некотором множестве Х задана функция у = f(x) и Y -
область значения данной функции.
Возьмем
некоторое число
. Тогда найдется такое число
(возможно не единственное), что
Таким образом, каждому значению
поставлено в соответствие число
(возможно не единственное). Если такое число
- единственное, то говорят, что задана функция х = g(y).
Графики
функции у = f(х) и обратной для нее функции х = g(y)
совпадают, только аргумент обратной функции рассматривается на оси Оу.
Но
если, следуя нашим привычкам, аргумент обозначить буквой х и откладывать его на
оси Ох, то есть вместо х = g(y) писать у = g(x), то график
функции у = g(x) отличается от графика функции у = f(х).
Легко
показать, что графики функции у = f(x) и обратной к
ней функции
у
= g(x) симметричны относительно биссектрисы I и III
координатных углов.
Заметим,
что и свойства прямой, и обратной функций связаны между собой.
.
Область определения функции у = f(х) Х является областью значений функции
.
Область
значения функции у = f(x)Y является областью определения функции
.
3. Если функция у =f(х) возрастает (убывает),то функция y = g(x) возрастает
(убывает).
4.
Если функция у = f(х) дифференцируема в точке
, то
функция у = g(x) дифференцируема в точке
Показательная
функция, ее свойства и график
Функция,
определяемая равенством
,
где а - постоянное положительное число не равное единице.
1.
Показательная функция определена на всей числовой оси, то есть на интервале
.
.
a0 = 1, при любом основании.
.
При а > 1, аx> 1 для х > 0 и аx< 1 для х
< 0.
.
При 0 < a < 1, аx< 1 для х > 0 и аx> 1 для х
< 0.
.
Область изменения (значений) функции у = аxявляется
множество положительных чисел, то есть интервал (0;
).
.
Функция монотонна
.1.
Если а > 1, тоаxвозрастающая.
.2.
Если 0<а< I,тоаx убывающая.
.
Если а <b, то аx<bxпри х > 0и аx< bx при х < 0.
.
Производная функции у = аx
Используя
вышеперечисленные свойства, получаем график функции у = аx.
Логарифмическая
функция
Показательная
функция монотонна на всей области определения, следовательно, она имеет
обратную. Так как монотонная функция определяет взаимно - однозначное
отображение.
Определение.
Функция, обратная показательной функции у = аx, называется
логарифмической функцией и обозначается
у
= logax.
Свойства
логарифмической функции следуют из свойств показательной функции.
.
Областью определения является множество положительных чисел, то есть (0;
).
.
Областью значений является множество действительных чисел, то есть
(-
;+
).
.
loga 1 = 0 при любом a.
.
Функция logax монотонна.
.1.
Приа > 1 функция возрастает.
.2.
При 0<а < 1 функция убывает.
.
Если а > 1, то loga х> О при х > 1 и loga х < V
при 0 <х < 1.
.
Еслиа < 1, то loga х < 0 при х > 1 и loga х > 0
при 0 <х <1.
.
Производная функции у =loga х
Последовательности
Пусть
переменная величина xn принимает бесконечную последовательность значений
,
x2 , ..., xn , ...,
причем
известен закон изменения переменной xn , т.е. для каждого натурального числа n
можно указать соответствующее значение xn. Таким образом предполагается, что
переменная xn является функцией от n:
xn = f(n)
Определим одно из важнейших понятий математического анализа - предел
последовательности, или, что то же самое, предел переменной величины xn ,
пробегающей последовательность x1 , x2 , ..., xn , ... ..
Число называется пределом последовательности
, если для любого положительного
числа найдется член последовательности такой, что все члены последовательности
, следующие за ним, отстоят от
меньше, чем на
.
Число называется пределом последовательности
, если в любом открытом промежутке,
содержащем число
, содержатся все члены
последовательности
, начиная с некоторого.
Теорема (о единственности предела). Если - предел последовательности и -
предел последовательности
, то
.Доказательство. Предположим, что
. Возьмем
. Найдется такой номер
, что
также существует
Возьмем
, которое больше и
. Тогда
Обозначение. есть предел
:
,
стремится (сходится) к
,
Последовательность, имеющая предел, называется сходящейся.
Последовательность называется строго возрастающей (возрастающей) [строго
убывающей]
убывающей
, если каждый ее член, начиная со второго, больше (не меньше)
[меньше]
не больше
предыдущего члена.
Последовательности (строго) возрастающая и (строго) убывающая называются
(строго) монотонными.
Последовательность называется ограниченной, если существует
.
Теорема. Всякая сходящаяся последовательность ограничена.
Доказательство. Пусть - предел последовательности
. Тогда найдется такой номер
, что
Тогда
.
Замечание. Тем самым, мы доказали ограниченность последовательности
, поскольку, выбрав
, получим
.
Говорят, что последовательность отделена от нуля, если найдется такое
положительное число
, что все члены этой последовательности по модулю больше
.
Числовые ряды.
Числовым рядом называется
Например,
Числовой ряд называется сходящимся, если последовательность частичных
сумм этого ряда:
конечна.
Суммой числового ряда в этом случае называется предел
Если предел не существует либо бесконечен, то ряд расходится.
Теорема 1: Необходимое условие сходимости ряда.
Если ряд сходится, то (при
).
Обратное утверждение неверно, у ряда общий член
, но ряд расходится.
Простейшие свойства числовых рядов.
. Линейность.
Если ряды и сходятся (и их суммы соответственно равны и
), то линейная комбинация тоже
сходится (к сумме
).
Это свойство вытекает из линейности предела:
. На сходимость ряда не влияет изменение первых членов ряда:
и сходятся или расходятся одновременно, если при (конечно, суммы, в
которые сходятся ряды разные).
Дело в том, что частичные суммы при этих рядов отличаются на постоянную
величину: (при
). Следовательно, если имеет предел, то и
имеет его (и наоборот).
Знакоположительные числовые ряды.
Рассмотрим один из частных случаев числовых рядов так называемые
знакоположительные числовые ряды. Для них верно следующее неравенство.
Теорема 2: Критерий сходимости знакоположительных рядов.
Ряд сходится последовательность частичных сумм ограничена.
Теорема 3: Первый признак сравнения.
Пусть
. Тогда:
. Если сходится, то сходится.
. Если расходится, то расходится.
Теорема 4: Второй признак сравнения.
Пусть и - знакоположительные ряды, причём при
. Тогда эти два ряда сходятся или
расходятся одновременно.
Теорема 5: Признак Даламбера.
Пусть
. Тогда:
. Если , то ряд сходится.
. Если
, то ряд расходится.
Теорема 6: Радикальный признак Коши.
Пусть и существует предел
. Тогда:
. Если
, то ряд сходится.
. Если
, то ряд расходится.
Теорема 7: Интегральный признак Коши.
Пусть определена на
, непрерывна там и является невозрастающей. Тогда ряд
сходится сходится интеграл
.
Ряд называется знакочередующимся, если он имеет вид:
(или
), где
.
Ряды, не являющиеся знакопостоянными (
или
) называются знакопеременными.
Ряд называется абсолютно сходящимся, если сходится.
Ряд называется условно сходящимся, если он сходится, но не является
абсолютно сходящимся.
Теорема 8: Абсолютно сходящийся ряд сходится.
Теорема9: Признак Лейбница.
Пусть монотонно невозрастает и
. Тогда ряд сходится.
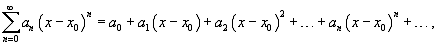
Ряд, членами которого являются степенные функции аргумента x, называется
степенным рядом :
Часто рассматривается также ряд, расположенный по степеням (x −
x0), то есть ряд вида
где x0 − действительное число.
Интервал и радиус сходимости
Рассмотрим функцию
. Ее областью определения является множество тех значений x,
при которых ряд сходится. Область определения такой функции называется
интервалом сходимости.
Если интервал сходимости представляется в виде
, где R > 0, то величина R
называется радиусом сходимости. Сходимость ряда в конечных точках интервала
проверяется отдельно.
Радиус сходимости можно вычислить, воспользовавшись радикальным признаком
Коши, по формуле
Линейное программирование - направление математики, изучающее методы
решения экстремальных задач, которые характеризуются линейной зависимостью
между переменными и линейным критерием оптимальности.
Несколько слов о самом термине линейное программирование. Он требует
правильного понимания. В данном случае программирование - это, конечно, не
составление программ для ЭВМ. Программирование здесь должно интерпретироваться
как планирование, формирование планов, разработка программы действий.
К математическим задачам линейного программирования относят исследования
конкретных производственно-хозяйственных ситуаций, которые в том или ином виде
интерпретируются как задачи об оптимальном использовании ограниченных ресурсов.
Круг задач, решаемых при помощи методов линейного программирования
достаточно широк. Это, например:
задача об оптимальном использовании ресурсов при
производственном планировании;
задача о смесях (планирование состава продукции);
задача о нахождении оптимальной комбинации различных видов продукции
для хранения на складах (управление товарно-материальными запасами или
"задача о рюкзаке");
транспортные задачи (анализ размещения предприятия, перемещение
грузов).
.1.1 Симплекс-метод
Для производства двух видов изделий P1, P2
использует 3 вида сырья. Запасы сырья ограничены: предприятия обеспеченно
сырьем первого вида в количестве S1
(кг), сырьем второго вида S2
(кг), сырьем третьего вида S3
(кг). На производство одного изделия P1 необходимо затратить сырья первого вида А1 (кг), сырья второго вида А2
(кг), сырья третьего вида А3 (кг). На производство одного изделия P2 необходимо затратить сырья первого
вида В1 (кг), сырья второго вида В2(кг), сырья третьего вида В3 (кг).
Прибыль от реализации одного изделия P1 составляет С1 руб., а изделия P2 составляет С2 руб. Составить план производства изделий P1 и P2 , так чтобы предприятие получило наибольшую прибыль от их
реализации. Решить задачу симплексным методом.
|
А1=5
|
В1=8
|
S1=6390
|
C1=17
|
|
А2=4
|
В2=9
|
S2=6750
|
C2=26
|
|
А3=4
|
В3=5
|
S3=4440
|
|
Решение:
) Допустим, что предприятие планирует выпустить х1 единиц изделий первого
вида Р1 и х2 единиц изделий второго вида Р2 . Количество числа х1 не должно
превышать его запасы:
х1 + 8х2 ≤ 6390
х1 + 9х2 ≤ 6750
х1 + 5х2 ≤ 4440
х1 ≥ 0; х2 ≥ 0
Реализация х1 изделия Р1 и х2 единиц изделий Р2, будет соответствовать
х1 и 26х2 руб. прибыли.
) Суммарная прибыль х0 =17х1 + 26х2 (max)
Таким образом математическая модель имеет вид:
х1 + 8х2 ≤ 6390
х1 + 9х2 ≤ 6750 (1) - система ограничения
х1 + 5х2 ≤ 4440
х1 ≥ 0; х2 ≥ 0 (2) -условие неотрицательности
) От системы (1) ограничений в виде неравенств переходим к системе
ограничений в виде уравнений, обозначив:
х3 = 6390 - 5х1 - 8х2
х4 = 6750 - 4х1 - 9х2 (3)
х5 = 4440 - 4х1 - 5х2
Тогда система ограничений в виде неравенств заменяется системой
ограничений в виде уравнений:
х1 + 8х2 + х3 = 6390
х1 + 9х2 + х4 = 6750 (4)
х1 + 5х2 + х5 = 4440
Целевую функцию удобно записать в виде уравнения в неявном виде:
х0 - 17х1 - 26х2 = 0 (5)
) Система разрешима относительно новых переменных х3, х4 , х5 - эти
переменные будут базисными, а х1 и х2 - свободные.
х1 =0
х2=0
х3=6390
х4=6750
х5=4440
Базисное решение является опорным, так как все базисных переменных не
отрицательны, значения целевой функции х0 =0
) Составим симплексную таблицу.
(таб. 3.1.1)
|
Базисные переменные
|
Значения базисных переменных
|
х1
|
х2
|
х3
|
х4
|
х5
|
|
х0
|
0
|
-17
|
-26
|
0
|
0
|
0
|
|
х3
|
6390
|
5
|
8
|
1
|
0
|
0
|
|
х4
|
6750
|
4
|
9
|
0
|
1
|
0
|
|
х5
|
4440
|
4
|
5
|
0
|
0
|
1
|
) Проверяем критерий оптимальности.
В нулевой строке целевой функции есть отрицательные элементы, поэтому
полученное опорное решение не является оптимальным.
)Выбираем разрешенный столбец: необходимо взять тот столбец, у которого в
ноль строке стоит наибольший отрицательный элемент: (-17).
)В качестве разрешающей строки необходимо брать ту строку, у которой
отношение значения базисной переменной к своему положительному элементу,
выбранного разрешающего столбца, наименьшее.
: 5 = 1278;
: 4 = 1687,5;
: 4 = 1110
Наименьшее
из этих отношений min 
)Разрешающий
элемент находится на пересечении разрешающего столбца и разрешающей строки: 4
Выполним
преобразования однократного замещения. В результате базисная переменная х5
переводится в свободную.
Составляем
новую симплексную таблицу. Делим все элементы разрешающей строки на 4.

= 1110; 1; 
0;
0; 






= 

=





= 

=




(таб. 3.1.2)
|
Базисные переменные
|
Значения базисных переменных
|
х1
|
х2
|
х3
|
х4
|
х5
|
|
х0
|
18870
|
0
|
|
0
|
0
|
|
|
х3
|
840
|
0
|
|
1
|
0
|
|
|
х4
|
2310
|
1
|
4
|
0
|
1
|
-1
|
|
х1
|
1110
|
0
|
|
0
|
0
|
|

:
4 = 557,5
:

В
ноль строке есть отрицательный элемент: 
, значит
решение не оптимальное.
















Составим
симплексную таблицу.
(таб
3.1.3)
|
Базисные переменные
|
Значения базисных переменных
|
х1
|
х2
|
х3
|
х4
|
х5
|
|
х0
|
21150
|
0
|
0
|
|
0
|
|
|
х2
|
480
|
0
|
1
|
|
0
|
|
|
х4
|
390
|
0
|
0
|
|
1
|
|
|
х1
|
510
|
1
|
0
|
|
0
|
|
Это опорное решение является оптимальным, так как в ноль строке нет
отрицательных элементов.

Ответ:
предприятие получит максимальную прибыль от реализации продукции, если первого
изделия будет выпущено 480 изделий, а второго 510 изделий, то максимальная
прибыль составит:
х0
= 17 
510 + 26

480 =
21150
.1.2
Графический метод
Пусть
предприятие планирует выпустить х изделий Р1, а тогда у единиц изделий Р2.
Строим
область допустимых значений
х
+ 8у ≤ 6390
х
+ 9у ≤ 6750
х
+ 5у ≤ 4440
х
≥ 0; у ≥ 0
Целевая
функция х0 = 17х + 26у (max)
Переходим
от системы неравенств к системе равенств
х
+ 8у = 6390 (1)
х
+ 9у =6750 (2)
х
+ 5у = 4440 (3)
х=0 (4)
у=0 (5)
Строим
область допустимых значений.
)
5х + 8у= 6390; у = 
2)4х
+ 9у = 6750; 9у = 6750 - 4х; у = 
3)
4х + 5у = 4440; 5у = 4440 - 4х; у = 
Область
допустимых значений решений пятиугольника ABCDE (в нем
ищем max или min) х0 = 17х + 26у; 
(17;26);
17х + 26у = С; С = 0; 17х = -26у;
|
x
|
0
|
200
|
300
|
|
y
|
0
|
-131
|
-196
|

(l)
Проведем
прямую l параллельно самой себе вдоль
и
достигнем точки, в которой последний раз наша прямая пересекает область
значений (max) получаем точку D. Находим
координаты точки D.
х
+ 5у = 4440 (-5)
х
+ 8у = 6390 (4)
х
- 25у = -22200
х
+ 32у = 25560
у
= 3360;
у
= 480;
х
+ 5у = 4440;
х
+ 5
480 =
4440;
х
= 4440 - 2400;
х
= 2040;
х
= 510
Заключение
В результате изучения курса высшей математики мы изучили много нового и
интересного, познакомились с множеством разделов данного курса, узнали о многих
ученых-математиках и результатах их трудов, наблюдений и исследований. А так же
научились:
решать и преобразовывать матрицы СЛАУ
находить производные различных функций
решать приделы
изучили дифференциальное и интегральное исчисления
решать задачи по теории вероятности
решать задачи различного типа с помощью аналитического и графического
метода
решать: задачи симплекс-методом; транспортные задачи; модели Леонтьева.
Научились пользоваться необходимой литературой: методическими указаниями,
учебниками, справочниками, а так же выбирать самую необходимую информацию и
излагать её в сжатой, доступной и интересной форме.
динамическое программирование дифференциальное интегральное
исчисление
Список использованной литературы
1. Письменный Д.Т Конспекты лекций по высшей математике - 9-e изд. - Айрис-пресс, 2009. - 608 с.
2. Вентцель Е.С. "Элементы динамического
программирования" М.: Наука, 2002. - 176с.
3. Дифференциальное и интегральное исчисления. В 2т.
Т.2_Пискунов Н.С_2003 -560 с.
4. Савицкая, Г.В. Анализ хозяйственной деятельности предприятий
АПК: учеб.пособие / Г.В. Савицкая. - 5-е изд., испр. и доп. - Мн. : Новое
знание, 2005. - 390 с.
5. Солодовников, А.С. Математика в экономике: Учебник / А.С.
Солодовников, В.А. Бабайцев, А.В. Браилов: В 3-х ч. Ч. 1. - М.: Финансы и
статистика, 1998. - 111 с.
6. <http://bse.sci-lib.com/article079816.html>http://bse.sci-lib.com/article079816.html
. http://www.aup.ru/books/m157/4_3_3.htm
// Административно-управленческий портал //
<http://www.aup.ru/books/m157/4_3_3.htm%20//%20Административно-управленческий%20портал%20//>http://www.aup.ru/books/m157/4_3_3.htm
// Административно-управленческий портал //