Кинематика и динамика манипулятора с двумя степенями свободы

  • Вид работы:
    Курсовая работа (т)
  • Предмет:
    Другое
  • Язык:
    Русский
    ,
    Формат файла:
    MS Word
    2,12 Мб
  • Опубликовано:
    2013-08-06
Вы можете узнать стоимость помощи в написании студенческой работы.
Помощь в написании работы, которую точно примут!

Кинематика и динамика манипулятора с двумя степенями свободы

Министерство образования и науки Российской Федерации

ИРКУТСКИЙ ГОСУДАРСТВЕННЫЙ ТЕХНИЧЕСКИЙ УНИВЕРСИТЕТ

Кафедра оборудования и автоматизации машиностроения наименование кафедры

уравнение скорость движение звено манипулятор








ПОЯСНИТЕЛЬНАЯ ЗАПИСКА

к курсовой работе по дисциплине

Механика автоматических устройств

.015.00.00 ПЗ

наименование темы

Кинематика и динамика манипулятора с двумя степенями свободы

Выполнил студент группы

РИМ-10-1/2(1) Семёнов Е.Н.

Руководитель

Б.Б. Пономарёв

Иркутск 2012 г.

1. Кинематика плоского механизма с двумя степенями свободы по заданному движению одной из точек

 

Требуется:

1. Составить дифференциальные уравнения движения механизма.

. Решить с помощью ЭВМ полученную систему уравнений на интервале времени t.

. Построить графики , , .

. Для момента времени  определить графоаналитическим методом угловые скорости звеньев и сравнить с результатами счета на ЭВМ.

Рассматривается плоский механизм с двумя степенями свободы. Движение точки М задано: , .

Дано:  рад; DA=2AB=2R1=0,86 м; CP=0,5R1=0,215 м; AC=R3=0,79 м; BD=R1=0,43=0,75 м; MB=R2=0,98 м; =0,31 рад; =2,91 рад; =0,41 рад; V1=9 м/с; =0,23 с; =0,0096 с; р=27,3 с-1.

Составляем уравнения для четырех неизвестных угловых скоростей звеньев , , , . При заданном движении точки М они определяются из уравнений внешних связей, налагаемых на механизм. На данный механизм наложены связи:

VDy=0, VDx=0, VCy=0, VPx=0, VPy=0

Составляем все возможные варианты векторных уравнений:



Проецируя обе части уравнений на оси координат X и Y с учетом наложенных связей получим систему алгебраических уравнений для определения wiz(i=1,2,3,4):


Из составленных уравнений связей выбираем 4, позволяющих наиболее простым путём произвести преобразования и выразить одни неизвестные через другие. В данном случае это уравнения (1), (2), (6), (7), которые с учетом формул приведения запишутся в следующем виде:

Полученная система уравнений может быть разрешена относительно wi:


Решаем систему на интервале времени  с шагом Δt. Сведём полученные данные в таблицу:

шаг

, рад

, рад

, рад

, рад/с

, рад/с

, рад/с

, рад/с

0

0,31

2,91

0,41

0,228152

0,169656

-0,26466

-0,58109

1

0,312186

2,911626

0,406624

6,121822

4,547304

-7,09692

-15,4723

2

0,314373

2,913252

0,403248

11,59204

8,601234

-13,4301

-29,0714

3

2,914878

0,399871

16,26666

12,05663

-18,8342

-40,4772

4

0,318746

2,916503

0,396495

19,82815

14,68031

-22,9436

-48,9524

5

0,320932

2,918129

0,393119

22,03514

16,29646

-25,4816

-53,9711

6

0,323119

2,919755

0,389743

22,73882

16,79843

-26,2793

-55,2509

7

0,325305

2,921381

0,386366

21,89292

16,15573

-25,2862

-52,7683

8

0,327492

2,923007

0,38299

19,55679

14,4159

-22,5742

-46,756

9

0,329678

2,924633

0,379614

15,89124

11,70097

-18,332

-37,6825

10

0,331865

2,926259

0,376238

11,14742

8,198936

-12,8518

-26,2162

11

0,334051

2,927885

0,372861

5,649692

4,15074

-6,50959

-13,1766

0,336237

2,92951

0,369485

-0,22663

-0,16632

0,260966

0,524142

13

0,338424

2,931136

0,366109

-6,08085

-4,45756

6,998005

13,94507

14

0,34061

2,932762

0,362733

-11,5142

-8,43106

13,24303

26,18088

15

0,342797

2,934388

0,359356

-16,1572

-11,8175

18,57209

36,42301

16

0,344983

2,936014

0,35598

-19,6943

-14,3884

22,62458

44,01297

17

0,34717

2,93764

0,352604

-21,886

-15,9716

25,12762

48,48451

18

0,349356

2,939266

0,349228

-22,5844

-16,4628

25,91442

49,59188

19

0,351543

2,940891

0,345851

-21,7439

-15,8321

24,93541

47,32257

20

0,353729

2,942517

0,342475

-19,4233

-14,1264

22,26131

21

0,355916

2,944143

0,339099

-15,7824

-11,4654

18,07807

33,73362

22

0,358102

2,945769

0,335723

-11,0709

-8,03347

12,67393

23,44753

23

0,360288

2,947395

0,332346

-5,61079

-4,06677

6,419554

11,77413

24

0,362475

2,949021

0,32897

0,225064

0,162943

-0,25736

-0,46791


По результатам решения строим графики , , , :





Проводим проверку. Извлекаем из таблицы значения углов поворота звеньев из строки под номером 3.

Механизм строим в масштабе 1:10, определяем положение мгновенных центров скоростей.

Строим векторы скоростей точек A, B, C, M и указываем дугами направления вращения звеньев.

По известным значениям скоростей и расстояниям до мгновенных центров скоростей определяем значения угловых скоростей звеньев.



Результаты, полученные с помощью графических построений, близки к результатам решения задачи на ЭВМ и не отличаются более чем на 5%.

2. Кинематика управляемого движения манипулятора

 

Требуется:

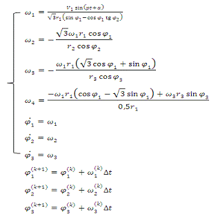
1. Составить уравнения управляемого движения точки М, уравнения углового движения звеньев манипулятора и уравнения для скорости точки С.

. Выбрать параметры управления, обеспечивающего сближение точек М и К с заданной точностью.

. Проинтегрировать с помощью ЭВМ уравнения движения на интервале времени [0; ]

. Построить траектории сближения точек М и К и графики , , .

. Для момента времени  провести графоаналитическое решение задачи и сравнить с результатами счета.

Управление манипулятором должно обеспечить за время  сближение захвата М с движущейся деталью К. Деталь движется прямолинейно с постоянной скоростью Vk в указанном на рисунке направлении. Начальное положение манипулятора задано углами поворота звеньев , , . К моменту времени  требуется относительная точность  совмещения точек М и К. Управление манипулятором осуществляется по линейной комбинации рассогласований и их производных.

Дано: Vk=0,452 м/с; DA=2AB=2R1=0,842 м; CP=0,5R1=0,2105 м; BD=R1=0,421=0,729 м; MB=R2=0,971 м; AC=R3=0,781 м; =0,301 рад; =2,901 рад; =0,401 рад; Xk(0)=0,45 м; Yk(0)=1,12 м; =0,025; =1,224 с; =0,051 c. Уравнения движения детали К имеют вид:


Предполагая, что координаты захвата М известны в процессе движения, можно вычислить рассогласования координат точек К и М.

(11)

Учитывая, что управление манипулятором осуществляется по линейной комбинации рассогласовании и их производных

(12)

При управлении с большими коэффициентами усиления k с погрешностью порядка 1/k выполняются соотношения:

(13)

Подставляя (13) в выражения (10), (11), (12) и приводя полученные уравнения к форме Коши получаем:


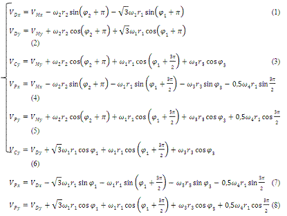
Угловое движение звеньев манипулятора и скорость точки С однозначно определяется движением точки М и внешними связями, налагаемыми в точках D и С. Составляются выражения для проекций скоростей точек С и М.

В соответствии с графом  запишем:

 

 

Определение параметра управления. Из (12) и (13) получим уравнение в рассогласованиях:


Решение этих уравнений имеет вид:


По условию, при t=t2 должно выполняться соотношение


Система уравнений (14), (17) интегрируется с помощью ЭВМ на интервале [0; 1,224] с использованием конечноразностной схемы Эйлера. Шаг интегрирования Dt=0,051c.

Начальные условия по переменным j1, j2, j3 приведены в исходных данных, а по переменным XM, YM вычисляются по формулам:


Подставив в (18) числовые значения ri, ji(0), получают XM(0), YM(0). Последующие шаги интегрирования осуществляются с использованием зависимостей (9), с учетом, что


использованием зависимостей (18).

Решаем системы на интервале времени  с шагом Δt. Сведём полученные данные в таблицу:


По результатам решения строим графики , , :




Проводим проверку. Извлекаем из таблицы значения углов поворота звеньев из строки под номером 3. Механизм строим в масштабе 1:10, определяем положение мгновенных центров скоростей. Строим векторы скоростей точек A, B, C, M и указываем дугами направления вращения звеньев. По известным значениям скоростей и расстояниям до мгновенных центров скоростей определяем значения угловых скоростей звеньев и скорость точки С.




Результаты, полученные с помощью графических построений, близки к результатам решения задачи на ЭВМ и не отличаются более чем на 5%.

3. Динамика механизма с двумя степенями свободы

Требуется:

1. Составить уравнения кинетостатики для определения управляющих моментов, реализующих заданное программное движение груза.

. Составить кинематические уравнения, определяющие изменение во времени угловых скоростей, углов поворота звеньев и скорости точки С.

. Решить полученные уравнения на ЭВМ на интервале времени [0, ].

. Построить графики МB, MD, , , , , .

. Для момента времени  определить с помощью графоаналитического метода угловые скорости звеньев, скорость точки С и сравнить с результатами счета на ЭВМ.

. По данным счета найти мощность каждого двигателя при t=0,02.

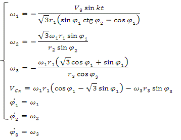
Манипулятор перемещает точечный груз массы m за время  из точки d в точку е с заданной скоростью VМx=0, VMy=Vsin(kt). Управляющие двигатели расположены в шарнирах B и D.

Дано: DA=2AB=2R1=0,86 м; CP=0,5R1=0,215 м; AC=R3=0,79 м; BD=R1=0,43=0,75 м; MB=R2=0,98 м; =0,31 рад; =2,91 рад; =0,41 рад; τ3=0,24 с; V3=3,14 м/с; k=13,1 рад/с; m=11 кг; Δt=0,01 с.

Массой элементов конструкции и приводов можно пренебречь.

Составляем уравнения кинетостатики для управляющих моментов:

а)

б)

в)

г)


Для составления уравнений кинетостатики система освобождается от связей. На рисунках изображаются реакции связей, активные силы (сила G) точки М и внутренние моменты управления МBz, MDz. По принципу Даламбера условно прикладываются к точке М силы инерции: сила инерции . Для заданного движения эта сила в проекциях определяется так:


Так как , то .

Так как , то .

Так как , то .

Так как  и , то .

То есть:


Из (23) находим, что

Из уравнений (20) и (22)

 

Составляем кинематические уравнения. Кинематические уравнения заимствуются из ранее решенных задач и с учетом того, что VMx=0 и VMy=Vsin(kt), запишутся:


Решаем систему на интервале времени  с шагом Δt. Сведём полученные данные в таблицу:


По результатам решения строим графики , , , , , , :








Проводим проверку. Извлекаем из таблицы значения углов поворота звеньев из строки под номером 3. Механизм строим в масштабе 1:10, определяем положение мгновенных центров скоростей. Строим векторы скоростей точек A, B, C, M и указываем дугами направления вращения звеньев. По известным значениям скоростей и расстояниям до мгновенных центров скоростей определяем значения угловых скоростей звеньев и скорость точки С.



Результаты, полученные с помощью графических построений, близки к результатам решения задачи на ЭВМ и не отличаются более чем на 5%.

Вычисление мощности двигателей управления для t=0,02 c.

Вывод: кинематический анализ схемы манипулятора с двумя степенями свободы позволил найти уравнения движения звеньев и величины линейных и угловых скоростей при заданном движении одной из точек или при управляемом движении манипулятора, а графоаналитический анализ позволил подтвердить правильность аналитических расчётов. Силомоментный анализ позволил определить реакции связей звеньев и моменты управления, а также мощности двигателей управления для выполнения поставленной задачи, а графоаналитический анализ позволил подтвердить правильность расчётов.

Похожие работы на - Кинематика и динамика манипулятора с двумя степенями свободы

 

Не нашли материал для своей работы?
Поможем написать уникальную работу
Без плагиата!
Без нейросетей!