|
Размеры досок
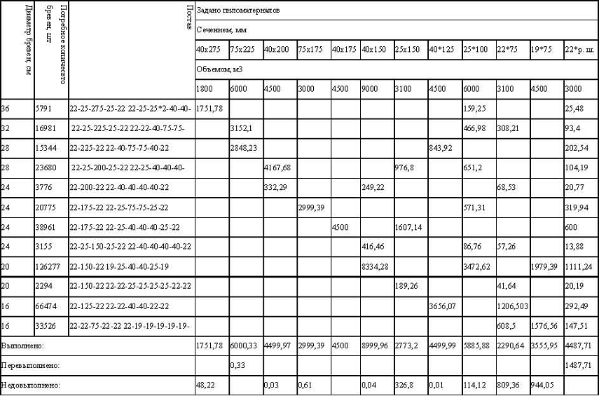
|
Длина доски, м.
|
Объём одной
доски, м3
|
Объём
пиломатериалов в годовой программе, м3
|
Количество
досок в годовой программе, шт.
|
|
толщина
|
ширина
|
|
|
|
|
|
40
|
275
|
5,5
|
0,0605
|
1 800
|
29 752
|
|
75
|
225
|
5,5
|
0,0928
|
6 000
|
64 646
|
|
40
|
200
|
5,5
|
0,044
|
4 500
|
102 273
|
|
75
|
175
|
5,5
|
0,0722
|
3 000
|
41 558
|
|
40
|
175
|
5,5
|
0,0385
|
4 500
|
116 883
|
|
40
|
150
|
5,5
|
0,033
|
9 000
|
272 727
|
|
25
|
150
|
5,5
|
0,0206
|
3 100
|
150 303
|
|
40
|
125
|
5,5
|
0,0275
|
4 500
|
163 636
|
|
25
|
100
|
5,5
|
0,0138
|
6 000
|
436 364
|
|
22
|
75
|
5,5
|
0,0091
|
3 100
|
341 598
|
|
19
|
75
|
5,5
|
0,0078
|
4 500
|
574 163
|
|
22
|
р. ш.
|
р. д.
|
0,0044
|
3 000
|
681 818
|
|
Итого:
|
|
|
|
53 000
|
2 975 722
|
По спецификации пиломатериалов определяем среднюю ширину
досок, мм:
где b1, b2, …,bn - ширина досок в спецификации
пиломатериалов, мм.
Q1, Q2, …,Qn - объём досок, заданной ширины, м3.
Qпм - общий
объём пиломатериалов по спецификации, м3.
2. Анализ
возможности выполнения спецификации пиломатериалов из сырья
1. По объёму пиломатериалов
При усредненном объёмном выходе 62% объём заданного сырья
должен соответствовать объёму заданных пиломатериалов:
Qпп ≤ 0,62·Qc
где Qпп - объём пиломатериалов по спецификации, м3.
Qc - объём сырья в годовой программе, м3.
≤0,62·90000
≤55800
Так как условие выполняется, то объём пиловочных бревен
достаточен для выполнения заданного объёма пиломатериалов.
. По размерам заданных сечений пиломатериалов должно быть
справедливо неравенство:
bср ≤ adср
где, а - коэффициент зависящий от способа раскроя:
для 100% -й брусовки - 0,63
для 50% -й брусовки - 0,68
для 100% -го развала - 0,73
,36 ≤ 10·0,63·21,9
,36 ≤ 137,97
По размерам заданных сечений спецификация выполняется.
3. Выбор и
обоснование способов раскроя бревен
Выработка пиломатериалов требуемых размеров и качества при
распиловке связана с необходимостью выполнять операционной последовательности
технологический процесс формирования ширины, толщины и длины выпиливаемой
пилопродукции.
Совокупность операций, которые выполняют при распиловке
бревен на пиломатериалы требуемых размеров и качества, называют раскроем
пиловочного сырья.
Распиловку бревен на пиломатериалы осуществляют различными
способами, а выбор их зависит от породы сырья, его размеров и качества,
предполагаемого назначения вырабатываемой пилопродукции, конструкции
бревнопильных станков.
В курсовом проекте мною был выбран способ раскроя со 100-%
брусовкой бревен, так как необходимо получить обрезной пиломатериал из бревен
диаметром от 16 до 36 см., также данный способ раскроя обеспечивает выполнение
спецификации пиломатериалов из заданного сырья.
При распиловке с брусовкой бревно распиливают за два прохода.
На первом проходе из бревна выпиливают двухкантный брус, необрезные
пиломатериалы и два горбыля, а на втором проходе из бруса - обрезные и
необрезные пиломатериалы и два горбыля. Обрезные доски из бруса имеют ширину
равную его толщине, что позволяет вырабатывать до 70 % пиломатериалов,
спецификационных по ширине. При распиловке бревен в развал или с брусовкой
средние доски получаются радиальными, а крайние боковые - тангенциальными. Все
остальные доски занимают промежуточное положение.
4.
Составление и расчет поставов
Составление поставов.
Расчёт постава осуществляем графическим методом по графикам
Титкова Г.Г. и Аксёнова П. П.
Постав 1
Диаметр бревна d = 36 см; длина бревна L = 5,5 м; распиловка с
брусовкой, сосна.
Первый проход
Определение предельного обхвата бревна:
;
где: D
- диаметр бревна в комле, см;
d - диаметр бревна в вершине, см; bmin - минимальная ширина доски, см; L - длина доски, м; l - минимальная длина до6ски, м; D = d + S·L = 36 + 1·5,5 = 41,5 см, По ГОСТ 24454-80;
bmin = 75 мм; lmin = 1 м.
мм
В центр постава устанавливаем брус толщиной 275 мм.
Расход ширины постава при выпиловке бруса.
Ебр = Н+Ун+2·р
где Н - ширина бруса, мм.
Ун - усушка, мм.
р - ширина пропила, мм.
Ебр = 275+6,5+2·3,6=287,7 мм.
Остаток допускаемой величины постава, из которого
выпиливаются боковые доски:
Еост=Епред - Ебр
Еост = 398,6 - 287,7=110,9 мм.
Боковые доски устанавливаем в постав симметрично относительно
пластей бруса. Подбором определяем, что в остаток постава можно установить две
доски толщиной 25 мм и 2 доски - 22 мм.
Расход ширины постава на боковые доски:
Ебок = hi·ni + Уi·ni + p·n
где hi - толщина боковых досок, мм;
Уi - усушка на боковые доски, мм;
ni - количество досок одинаковой толщины, шт;
n - общее количество боковых досок, шт.
Ебок = 25·2 + 22·2 + 0,8·2 + 0,7·2 + 4
3,6 = 111,4 мм.
Полный расход ширины постава первого прохода:
Е1 = Ебр + Ебок = 287,7 + 111,4 =
399,1 мм.
Полученный постав первого прохода.
- 25 - 275 - 25 - 22
Второй проход
Определим ширину пласта бруса по графику-квадранту на пересечении
окружности вершинного диаметра и половины расхода ширины постава на брус.
По графику эта величина составляет 214,6 мм. Количество досок
толщиной 40 мм., которые можно выпилить из бруса, укрупнено можно из
соотношения - 214,6: 40 = 5,365 шт., следовательно, в постав можно установить 5
досок толщиной 40 мм. Расход ширины постава
Е40 = 40·5 + 1,2·5 + 6·3,6 = 227,6 мм.
Остаток допускаемой величины постава, из которого выпиливаются
боковые доски:
Еост = 398,6 - 227,6=171 мм.
В оставшуюся часть постава можно установить 4 доски толщиной 25
мм, 2 доски - 25 мм и 2 доски - 19 мм.
Расход ширины постава на боковые доски:
Ебок = 25·4 + 22·2 + 0,8·2 + 0,6·2 + 6
3,6 = 168,4мм.
Полный расход ширины постава второго прохода:
Е2 = Ебр + Ебок = 227,6 + 168,4 =
395,4 мм.
Полученный постав первого прохода.
- 25 - 25·2 - 40 - 40 - 40 - 40 - 40 - 25·2 - 25 - 22
Аналогичным способом осуществляется составление поставов для
других диаметров.
Расчет поставов.
Расчёт поставов проводится по графику-квадранту.
Определение размеров досок лежащих в пифагорической зоне:
мм;
где: D
- диаметр бревна в комле, см;
d - диаметр бревна в вершине, см.
Расход ширины постава на одну доску
Сердцевинная доска или брус (в нечетном поставе)
Rс = hс + Ус
Центральная доска (в нечетном поставе)
Rц = 0,5·Р
+ hц + уц
Боковая доска
Rб = Р + hб + уб
Ширина доски определяется по графику-квадранту на пересечении
расхода ширины полупостава (расстояние от оси до наружной части доски) и
окружности вершинного диаметра бревна. Длина таких досок равна длине бревна.
Крайние боковые доски получаются укороченными, и сначала задается их ширина из
спецификации с припуском на усушку, а затем определяем их длину по
графику-квадранту, учитывая что расстояние между соседними окружностями равно
длине доски 1м.
Во втором проходе ширина досок, выпиливаемых из пласти бруса равна
толщине бруса. Длина этих досок равна длине бревна. Размеры боковых досок
определяем по выше приведенной методике.
Первый проход:
Ширина доски
b125 = 93 мм, b1ст = 100 мм, L=5,5 м
b122 = 96 мм, b1ст = 100 мм, L=1,0 м
Второй проход
b240 = 287,7 мм, b1ст = 275 мм, L=5,5 м
b225 = 106 мм, b1ст = 100 мм, L=5,5 м
b222 = 97 мм, b1ст = 100 мм, L=1,0 м
Определение объёма досок
q = n·h·b·l
где: n
- количество досок, шт; h - высота доски, м; b - ширина доски, м; l - длина доски,
м.
q = 2·0,025·0,1·5,5 = 0,0275 м3
q = 2·0,022·0,1·1 = 0,0044 м3
q = 5·0,04·0,275·5,5 = 0,3025 м3
q = 6·0,025·0,1·5,5 = 0,0825 м3
q = 2·0,022·0,1·1 = 0,0044 м3
Для остальных диаметров расчёт поставов приведён в таблице 3.
Таблица 3
|
Номинальная
толщина доски, мм
|
количство досок
в поставе, шт.
|
Расход ширины
постава на одну доску, мм
|
Расстояние от
оси до наружной пласти, мм
|
Ширина доски,
мм
|
Стандартная
длина доски, м
|
Объём досок, м3
|
|
|
|
|
Расчет
|
Станд
|
|
Из одного
бревна
|
Общий из партии
бревен
|
|
Постав № 1 d=36
см. L=5,5 м. q=0,67 м3 m= 5791 шт.
|
|
Первый проход
|
|
275
|
1
|
287,7
|
143,9
|
214,6
|
-
|
-
|
-
|
-
|
|
25
|
2
|
29,4
|
173,3
|
93
|
100
|
5,5
|
0,0275
|
159,25
|
|
22
|
2
|
26,3
|
199,6
|
96
|
100
|
1
|
0,0044
|
25,48
|
|
Второй проход
|
|
40
|
1
|
43
|
21,5
|
287,7
|
275
|
5,5
|
0,0605
|
350,36
|
|
40
|
2
|
44,8
|
66,3
|
287,7
|
275
|
5,5
|
0,121
|
700,71
|
|
40
|
2
|
44,8
|
111,1
|
287,7
|
275
|
5,5
|
0,121
|
700,71
|
|
25
|
4
|
29,4
|
140,5
|
106
|
100
|
5,5
|
0,055
|
318,51
|
|
25
|
2
|
29,4
|
169,9
|
99
|
100
|
5,5
|
0,0275
|
159,25
|
|
22
|
2
|
26,3
|
196,2
|
97
|
100
|
0,0044
|
25,48
|
|
|
|
|
|
|
итого:
|
0,4213
|
|
|
|
|
|
|
|
V=62,9%
|
|
|
|
Постав № 2 d=32
см. L=5,5 м. q=0,53 м3 m=16981 шт.
|
|
Первый проход
|
|
225
|
1
|
237,6
|
118,8
|
214,4
|
-
|
-
|
-
|
-
|
|
25
|
2
|
29,4
|
148,2
|
118
|
100
|
5,5
|
0,0275
|
466,98
|
|
22
|
2
|
26,3
|
174,5
|
101
|
100
|
1,25
|
0,0055
|
93,40
|
|
Второй проход
|
|
75
|
2
|
80,9
|
79,1
|
237,6
|
225
|
5,5
|
0,1856
|
3152,10
|
|
40
|
2
|
44,8
|
123,9
|
192
|
175
|
5,5
|
0,077
|
1307,54
|
|
22
|
2
|
26,3
|
150,2
|
86
|
75
|
5,5
|
0,01815
|
308,21
|
|
22
|
2
|
26,3
|
176,5
|
95
|
100
|
1
|
0,0044
|
74,72
|
|
|
|
|
|
|
итого:
|
0,31818
|
|
|
|
|
|
|
|
V=60,0%
|
|
|
|
Постав № 3 d=28
см. L=5,5 м. q=0,41 м3 m=15344 шт.
|
|
Первый проход
|
|
225
|
1
|
237,6
|
118,8
|
181,7
|
-
|
-
|
-
|
-
|
|
22
|
2
|
26,3
|
145,1
|
99
|
100
|
3
|
0,0132
|
202,54
|
|
Второй проход
|
|
75
|
2
|
80,9
|
79,1
|
237,6
|
225
|
5,5
|
0,1856
|
2848,23
|
|
40
|
2
|
44,8
|
127,5
|
115
|
125
|
5,5
|
0,055
|
843,92
|
|
22
|
2
|
26,3
|
153,8
|
101
|
100
|
1
|
0,0044
|
67,51
|
|
|
|
|
|
|
итого:
|
0,25823
|
|
|
|
|
|
|
|
V=63,0%
|
|
|
|
Постав № 4 d=28
см. L=5,5 м. q=0,41 м3 m=23680шт.
|
|
Первый проход
|
|
200
|
1
|
212,1
|
106,1
|
182,7
|
-
|
-
|
-
|
-
|
|
25
|
2
|
29,4
|
135,5
|
92
|
100
|
5,5
|
0,0275
|
651, 20
|
|
22
|
2
|
26,3
|
161,8
|
96
|
100
|
1
|
0,0044
|
104, 19
|
|
Второй проход
|
|
40
|
2
|
43
|
43
|
212,1
|
200
|
5,5
|
0,088
|
2083,84
|
|
40
|
2
|
44,8
|
87,8
|
212,1
|
200
|
5,5
|
0,088
|
2083,84
|
|
25
|
2
|
29,4
|
117,2
|
152
|
150
|
5,5
|
0,04125
|
976,80
|
|
22
|
2
|
26,3
|
143,5
|
102
|
100
|
3
|
0,0132
|
312,58
|
|
|
|
|
|
|
итого:
|
0,26235
|
|
|
|
|
|
|
|
V=64,0%
|
|
|
|
Постав № 5 d=24
см. L=5,5 м. q=0,3 м3 m=3776 шт.
|
|
Первый проход
|
|
200
|
1
|
212,1
|
106,1
|
112,1
|
-
|
-
|
-
|
-
|
|
22
|
2
|
26,3
|
132,4
|
101
|
100
|
1,25
|
0,0055
|
20,77
|
|
Второй проход
|
|
40
|
2
|
43
|
43
|
212,1
|
200
|
5,5
|
0,088
|
332,29
|
|
40
|
2
|
44,8
|
87,1
|
163
|
150
|
5,5
|
0,066
|
249,22
|
|
22
|
2
|
26,4
|
113,5
|
74,2
|
75
|
5,5
|
0,01815
|
68,53
|
|
|
|
|
|
|
итого:
|
0,17765
|
|
|
|
|
|
|
|
V=59,2%
|
|
|
|
Постав № 6 d=24
см. L=5,5 м. q=0,3 м3 m=20775 шт.
|
|
Первый проход
|
|
175
|
1
|
186,6
|
93,3
|
151
|
-
|
-
|
-
|
-
|
|
22
|
2
|
26,3
|
119,6
|
102
|
100
|
3,5
|
0,0154
|
319,94
|
|
Второй проход
|
|
75
|
2
|
80,9
|
79,1
|
186,6
|
175
|
5,5
|
0,1444
|
2999,39
|
|
25
|
2
|
29,4
|
98,4
|
102,4
|
100
|
5,5
|
0,0275
|
571,31
|
|
22
|
2
|
26,3
|
124,7
|
98
|
100
|
1
|
0,0044
|
91,41
|
|
|
|
|
|
|
итого:
|
0, 19168
|
|
|
|
|
|
|
|
V=63,9%
|
|
|
|
Постав № 7 d=24
см. L=5,5 м. q=0,3 м3 m=38961шт.
|
|
Первый проход
|
|
175
|
1
|
186,6
|
93,3
|
151
|
-
|
-
|
-
|
-
|
|
22
|
2
|
26,3
|
119,6
|
102
|
100
|
3,5
|
0,0154
|
600,00
|
|
Второй проход
|
|
40
|
1
|
43
|
21,5
|
186,6
|
175
|
5,5
|
0,0385
|
1500,00
|
|
40
|
2
|
44,8
|
66,3
|
186,6
|
175
|
5,5
|
0,077
|
3000,00
|
|
25
|
2
|
29,4
|
95,7
|
145
|
150
|
5,5
|
0,04125
|
1607,14
|
|
22
|
2
|
26,3
|
122
|
102
|
100
|
0,0132
|
514,29
|
|
|
|
|
|
|
итого:
|
0,18535
|
|
|
|
|
|
|
|
V=61,9%
|
|
|
|
Постав № 8 d=24
см. L=5,5 м. q=0,3 м3 m=3155 шт.
|
|
Первый проход
|
|
150
|
1
|
161,1
|
80,6
|
177,8
|
-
|
-
|
-
|
-
|
|
25
|
2
|
29,4
|
110
|
96
|
100
|
5,5
|
0,0275
|
86,76
|
|
22
|
2
|
26,3
|
136,3
|
98
|
100
|
1
|
0,0044
|
13,88
|
|
Второй проход
|
|
40
|
2
|
43
|
43
|
161,1
|
150
|
5,5
|
0,066
|
208,23
|
|
40
|
2
|
44,8
|
87,8
|
161,1
|
150
|
5,5
|
0,066
|
208,23
|
|
22
|
2
|
26,4
|
114,2
|
78,5
|
75
|
5,5
|
0,01815
|
57,26
|
|
|
|
|
|
|
итого:
|
0,18205
|
|
|
|
|
|
|
|
V=60,7%
|
|
|
|
Постав № 9 d=20
см. L=5,5 м. q=0,21 м3 m=126277 шт.
|
|
Первый проход
|
|
150
|
1
|
161,1
|
80,6
|
118,4
|
-
|
-
|
-
|
-
|
|
22
|
2
|
26,3
|
106,9
|
98
|
100
|
2
|
0,0088
|
1111,24
|
|
Второй проход
|
|
40
|
2
|
43
|
43
|
161,1
|
150
|
5,5
|
0,066
|
8334,28
|
|
25
|
2
|
29,4
|
72,4
|
136
|
100
|
5,5
|
0,0275
|
3472,62
|
|
19
|
2
|
23,2
|
95,6
|
63
|
75
|
5,5
|
0,01568
|
1979,39
|
|
|
|
|
|
|
итого:
|
0,11798
|
|
|
|
|
|
|
|
V=56,2%
|
|
|
|
Постав № 10
d=20 см. L=5,5 м. q=0,21 м3 m=2294 шт.
|
|
Первый проход
|
|
150
|
1
|
161,1
|
80,6
|
118,4
|
-
|
-
|
-
|
-
|
|
22
|
2
|
26,3
|
106,9
|
98
|
100
|
2
|
0,0088
|
20, 19
|
|
Второй проход
|
|
25
|
2
|
29,4
|
33
|
161,1
|
150
|
5,5
|
0,04125
|
94,63
|
|
25
|
2
|
29,4
|
62,4
|
161,1
|
150
|
5,5
|
0,04125
|
94,63
|
|
22
|
2
|
26,4
|
88,8
|
92
|
75
|
5,5
|
0,01815
|
41,64
|
|
22
|
2
|
26,3
|
115,1
|
95
|
100
|
1
|
0,0044
|
10,09
|
|
|
|
|
|
|
итого:
|
0,11385
|
|
|
|
|
|
|
|
V=54,2%
|
|
|
|
Постав № 11
d=16 см. L=5,5 м. q=0,14 м3 m=66474 шт.
|
|
Первый проход
|
|
125
|
1
|
135,6
|
67,8
|
85
|
-
|
-
|
-
|
-
|
|
22
|
2
|
26,3
|
94,1
|
97
|
100
|
1
|
0,0044
|
292,49
|
|
Второй проход
|
|
40
|
2
|
43
|
43
|
135,6
|
125
|
5,5
|
0,055
|
3656,07
|
|
22
|
2
|
29,4
|
72,4
|
80
|
75
|
5,5
|
0,01815
|
1206,50
|
|
22
|
2
|
26,3
|
98,7
|
96
|
100
|
1
|
0,0044
|
292,49
|
|
|
|
|
|
|
итого:
|
0,08195
|
|
|
|
|
|
|
|
V=58,5%
|
|
|
|
Постав № 12
d=16 см. L=5,5 м. q=0,14 м3 m=33526 шт.
|
|
Первый проход
|
|
75
|
1
|
80,9
|
40,5
|
85
|
-
|
-
|
-
|
-
|
|
22
|
2
|
29,4
|
69,9
|
88
|
75
|
5,5
|
0,01815
|
608,50
|
|
22
|
2
|
26,3
|
96,2
|
97
|
100
|
1
|
0,0044
|
147,51
|
|
Второй проход
|
|
19
|
2
|
21,4
|
21,4
|
80,9
|
75
|
5,5
|
0,015675
|
525,52
|
|
19
|
2
|
23,2
|
44,6
|
80,9
|
75
|
5,5
|
0,01568
|
525,52
|
|
19
|
2
|
23,2
|
67,8
|
80,9
|
75
|
5,5
|
0,01568
|
525,52
|
|
22
|
2
|
26,3
|
94,1
|
96
|
100
|
1
|
0,0044
|
147,51
|
|
|
|
|
|
|
итого:
|
0,07398
|
|
|
|
|
|
|
|
V=52,8%
|
|
|
Таблица 4
ПЛАН РАСКРОЯ СЫРЬЯ
5.
Составление баланса пиловочного сырья
Баланс древесины в лесопилении складывается из объёмного
выхода основной пилопродукции, щепы, опилок, а также потерь на усушку и распил.
Таблица 6
БАЛАНС ДРЕВЕСИНЫ
|
Компоненты баланса
|
Пиломатериалы
(заготовки)
|
Технологическая
щепа
|
Отсев от щепы
|
Опилки
|
Усушка и распыл
|
Итого:
|
|
Диаметр бревна,
см
|
36 (1)
|
%
|
62,9
|
16,9
|
2,3
|
11,9
|
6,0
|
100
|
|
|
м3
|
2439,75
|
655,51
|
89,21
|
461,57
|
232,73
|
3878,78
|
|
32 (2)
|
%
|
60
|
21,5
|
2,3
|
10,2
|
6,0
|
100
|
|
|
м3
|
5402,93
|
1936,05
|
207,11
|
918,50
|
540,29
|
9004,88
|
|
28 (3)
|
%
|
63
|
17,1
|
2,3
|
11,6
|
6,0
|
100
|
|
|
м3
|
3962,2
|
144,65
|
729,55
|
377,35
|
6289,21
|
|
28 (4)
|
%
|
64
|
15
|
2,3
|
12,7
|
6,0
|
100
|
|
|
м3
|
6212,45
|
1456,04
|
223,26
|
1232,78
|
582,42
|
9706,95
|
|
24 (5)
|
%
|
59,2
|
20,1
|
2,3
|
12,4
|
6,0
|
100
|
|
|
м3
|
670,81
|
227,76
|
26,06
|
140,51
|
67,99
|
1133,13
|
|
24 (6)
|
%
|
63,9
|
17,4
|
2,3
|
10,4
|
6,0
|
100
|
|
|
м3
|
3982,05
|
1084,31
|
143,33
|
648,10
|
373,90
|
6231,69
|
|
24 (7)
|
%
|
61,9
|
17,5
|
2,3
|
12,3
|
6,0
|
100
|
|
|
м3
|
7221,45
|
2041,61
|
268,33
|
1434,96
|
699,98
|
11666,32
|
|
24 (8)
|
%
|
60,7
|
18,5
|
2,3
|
12,5
|
6,0
|
100
|
|
|
м3
|
574,37
|
175,06
|
21,76
|
118,28
|
56,77
|
946,24
|
|
20 (9)
|
%
|
56,2
|
20,8
|
2,3
|
14,7
|
6,0
|
100
|
|
|
м3
|
14897,53
|
5513,68
|
609,69
|
3896,68
|
1590,48
|
26508,06
|
|
20 (10)
|
%
|
54,2
|
22,8
|
2,3
|
14,7
|
6,0
|
100
|
|
|
м3
|
261,17
|
109,86
|
11,08
|
70,83
|
28,91
|
481,86
|
|
16 (11)
|
%
|
58,5
|
18,8
|
2,3
|
14,4
|
6,0
|
100
|
|
|
м3
|
5447,54
|
1750,66
|
214,18
|
1340,93
|
558,72
|
9312,03
|
|
16 (12)
|
%
|
52,8
|
22,6
|
2,3
|
16,3
|
6,0
|
100
|
|
|
м3
|
2480,09
|
1061,55
|
108,03
|
765,63
|
281,83
|
4697,14
|
|
Средний на
программу
|
%
|
58,54
|
19,45
|
2,3
|
13,71
|
6,0
|
100
|
|
м3
|
53552,34
|
17087,55
|
2066,69
|
11758,33
|
5391,38
|
89856,29
|
Средний объём пиломатериалов определяется по формуле:

Расчёт объёма опилок
Qоп i = Qоп1 + Qоп2 + Qоj + Qок, м3
Объём опилок, полученных при обрезке досок:
Qоj = hср·lср·pоб·2·nоб, м3
Объём опилок, полученных при торцовке досок:
Qок = hср·Вср·pт·2·nтор, м3
Распиловка с брусовкой
Q1оп i = 0,63·dср·z·l1ср·p, м3
Q2оп i = 0,95·Нбр·z·l2пр·p, м3
где: dср - диаметр бревна по середине его длины, м;
Нбр - толщина бруса, м;
z - количество пропилов;
lпр - длина
пропила, м;
p - ширина пропила, м.
hср, lср, Вср - средняя толщина, длина и ширина досок,
мм;
роб - ширина пропила при обрезке досок, м (0,0045);
nоб -
количество досок, подвергающихся обрезке, шт;
рт - ширина пропила торцовочного станка, м (0,005);
nт -
количество досок, подвергающихся торцовке, шт;
Объём опилок для постава № 1
Qоп11 = 0,63·0,3875·6·4·0,0036 = 0,0211 м3
Qоп21 = 0,95·0,287·12·4,75·0,0036 = 0,05458 м3
Qоj =
0,0238·3,7·0,0045·2·5 = 0,00396 м3
Qок =
0,022·0,1·0,005·1·4 = 0,00044 м3
Qоп 1 =
0,0211 + 0,05458 + 0,00396 + 0,00044 = 0,079684 м3
Аналогично рассчитываем объём опилок для других поставов.
Qоп 2
=0,053922 м3; Qоп 3 = 0,047478 м3; Qоп 4 = 0,051911 м3;
Qоп 5 =
0,0372 м3; Qоп 6 = 0,031174 м3; Qоп 7 = 0,037041 м3;
Qоп 8 =
0,037475 м3; Qоп 9 = 0,030944 м3; Qоп 10 = 0,030935м3;
Qоп 11 =
0,02016 м3; Qоп 12 = 0,022816 м3;
Объём опилок в процентном отношении:
, %
%;
%;
%;
%;
%;
%
%;
%;
%;
%;
%;
%;
Средний объем опилок:
%
Процентное содержание щепы в балансе древесины
Тi = 100 - (Vi + Опi + Пi + Тоi), %
Т1 = 100 - (62,9 + 11,9 + 2,3 + 6) = 16,9 %
Т2 = 100 - (60 + 10,2 + 2,3 + 6) = 21,5 %
Т3 = 100 - (63 + 11,6 + 2,3 + 6) = 17,1 %
Т4 = 100 - (64 + 12,7 + 2,3 + 6) = 15 %
Т5 = 100 - (59,2 + 12,4 + 2,3 + 6) = 20,1 %
Т6 = 100 - (63,9 + 10,4 + 2,3 + 6) = 17,4 %
Т7 = 100 - (61,9 + 12,3 + 2,3 + 6) = 17,5 %
Т8 = 100 - (60,7 + 12,5 + 2,3 + 6) = 18,5 %
Т9 = 100 - (56,2 + 14,7 + 2,3 + 6) = 20,8 %
Т10 = 100 - (54,2 + 14,7 + 2,3 + 6) = 22,8 %
Т11 = 100 - (58,5 + 14,4 + 2,3 + 6) = 18,8 %
Т12 = 100 - (52,8 + 16,3 + 2,3 + 6) = 22,6 %
Тср = 100 - (58,54 + 13,71 + 2,3 + 6) = 19,45 %
6. Расчёт
производительности и количества оборудования в технологическом потоке
производства пиломатериалов
Выбор оборудования
Выбор типа оборудования определяется экономической
целесообразностью его использования для переработки сырья определенных
диаметров при заданном объеме производства, для раскроя низкокачественных
бревен, пораженных гнилью и имеющих кривизну, для получения пилопродукции
определенного назначения и т.д.
В одном цехе возможна организация нескольких
специализированных поточных линий с различным оборудованием в зависимости от
объемов переработки, размерно-качественного и породного состава пиловочного
сырья. Для рационального использования сырья в технологическом потоке
лесопильного производства предусматривается переработка отходов. Для этого
выбирается оборудование для переработки кусковых отходов на технологическую
щепу.
Выбор модели лесопильных рам
Выбираем лесопильную раму модели Р63-7
Техническая характеристика лесопильной рамы Р63-7:
Ширина просвета пильной рамки В, мм. ……………………….630
Величина хода пильной рамки, Н, мм ………………………….400
Толщина распиливаемых бревен, см ……………………………45
Длина распиливаемого материала, м …………………….3,0…7,5
Наименьшая толщина выпиливаемой доски, мм ……………….16
Наибольшее количество пил в поставе, шт …………………….12
Частота вращения коленчатого вала, мин - 1….
……………….285
Подача за один оборот коленчатого вала, мм/об………………….35
Суммарная мощность электродвигателей, кВт …………………52,4
Масса, кг ………. …………………………………………………6000
Габаритные размеры, мм: длина - 4230, ширина - 2615, высота -
3105
Сменная производительность лесопильных рам
где Di - фактическая посылка за один оборот вала
рамы, т.е. за один полный (рабочий и холостой) ход пильной рамки, мм;- частота
оборотов коренного вала рамы в минуту, мин-1;
Т - число минут в смене;
Кр=0,93 - коэффициент использования лесопильной рамы
(стр. 205 [1])i - объем бревна, м3i -
номинальная длина бревна, т.е. без припуска на оторцовку, так как время на
распиловку припуска учитывается в коэффициенте К.
Км=0,93 - коэффициент использования машинного времени
рамы.
Расчет посылок
1. Посылка по производительности пилы (Dр) зависит от технических характеристик
режущего инструмента.
где H - высота хода пильной рамки, мм;- площадь впадины зубьев
пилы, мм2;- шаг зубьев пилы, мм
s - коэффициент напряженности впадины зуба = 0,83;- максимальная
высота пропила по середине длины бревна, мм;
при распиловке с брусовкой:
где dср - диаметр бревна по середине его длины, мм;
Нбр - высота бруса, мм.
Для постава №1, d=36 см;
Проход 1
Проход 2
Расчет посылок по производительности пилы для каждого постава и
диаметра заносится в таблицу 7.
Посылка по качеству пропиленной поверхности зависит от группы качества распиловки,
величины подачи бревна на один зуб пилы, количества зубьев пилы, участвующих в
распиловке.
где Uz - величина подачи бревна на один зуб пилы, мм
(табличное).
Для постава № 1, d=36 см:
Проход 1
Проход 2
Расчет посылок по качеству пропиленной поверхности для каждого
постава и диаметра заносится в таблицу 7.
Посылка по мощности привода лесопильной рамы может быть определена по формуле:
где N - мощность привода лесопильной рамы, кВт;
h - КПД лесопильной рамы, принимаем равным 0,8;
Куд - удельное сопротивление древесины резанию, определяется из
выражения
где К - постоянное давление передней грани зуба = 3,5;р
- поправочный коэффициент на затупление зубьев пил, принимаемый после 4 ч
работы - 2,0;
рз - удельное усилие на трение и деформацию задней
гранью зуба на 1мм ширины лезвия - 0,72 кг/мм;
Для постава № 1, d=36 см.
Проход 1
Проход 2
Расчет посылок по мощности привода лесопильной рамы для каждого
постава и диаметра записывается в таблицу 7.
При распиловке бревен посылка должна обеспечивать устойчивую
работу пил, требуемое качество пиломатериалов (шероховатость пропиленной
поверхности) и рациональное использование мощности привода лесопильной рамы. За
расчетную посылку принимается наименьшая из величин посылок, определенных по
производительности пил, качеству распиловки и мощности привода.
Таблица 7
Расчетные посылки
|
№ постава
|
Диаметр бревна,
см
|
Проход
|
Посылка, мм/об.
|
|
|
|
Dр, по производительности пилы
|
Dz, по
качеству пропиленной поверхности
|
DN, по
мощности привода лесопильной рамы
|
|
1
|
36
|
1
|
24,22
|
25
|
29
|
|
|
2
|
23,09
|
25
|
12,9
|
|
2
|
32
|
1
|
24,86
|
25
|
32,6
|
|
|
2
|
22,97
|
30,77
|
22,0
|
|
3
|
28
|
1
|
25,88
|
30,77
|
58,4
|
|
|
2
|
22,97
|
30,77
|
28,2
|
|
4
|
28
|
1
|
23,05
|
30,77
|
38
|
|
|
2
|
25,77
|
30,77
|
25,3
|
|
5
|
24
|
1
|
30,74
|
30,77
|
69,3
|
|
|
2
|
25,77
|
30,77
|
32,5
|
|
6
|
24
|
1
|
26,7
|
30,77
|
67,6
|
|
|
2
|
29,35
|
30,77
|
38
|
|
7
|
24
|
1
|
26,7
|
67,6
|
|
|
2
|
29,35
|
30,77
|
33,3
|
|
8
|
24
|
1
|
24,23
|
30,77
|
44,1
|
|
|
2
|
34,08
|
30,77
|
45,4
|
|
9
|
20
|
1
|
31,72
|
30,77
|
82,2
|
|
|
2
|
34,08
|
30,77
|
45,4
|
|
10
|
20
|
1
|
31,72
|
30,77
|
82,2
|
|
|
2
|
34,08
|
30,77
|
35,3
|
|
11
|
16
|
1
|
33,23
|
36,36
|
103,2
|
|
|
2
|
34,86
|
36,36
|
55,6
|
|
12
|
16
|
1
|
26,55
|
36,36
|
66,3
|
|
|
2
|
55,51
|
36,36
|
74,5
|
Производительность лесопильной рамы для каждого
постава:
Постав №1, d=36 см:
м3/смену;
Постав №2, d=32 см:
м3/смену;
Постав №3, d=28 см:
м3/смену;
Постав №4, d=28 см:
м3/смену;
Постав №5, d=24 см:
м3/смену;
Постав №6, d=24 см:
м3/смену;
Постав №7, d=24 см:
м3/смену;
Постав №8, d=24 см:
м3/смену;
Постав №9, d=20 см:
м3/смену;
Постав №10, d=20 см:
м3/смену;
Постав №11, d=16 см:
м3/смену;
Постав №12, d=16 см:
м3/смену;
Расчет потребного количества головного оборудования для раскроя
бревен и брусьев
Необходимое количество бревнопильных станков определяют по
количеству рамо-смен, потребных для распиловки сырья по плану раскроя. Расчет
количества рамо-смен проводится на распиловку 1000 м3 сырья по
отдельным поставам. Составляется таблица распределения по поставам при
переработке 1000 м3 (табл.8).
Таблица 8
Распределение сырья по поставам в объеме 1000м3.
|
№ постава
|
Диаметр бревен,
см.
|
Процентное
содержание сырья в общем объёме
|
Объём сырья по
поставам в 1000 м3
|
|
1
|
36
|
1,62
|
16,2
|
|
2
|
32
|
4,76
|
47,6
|
|
3
|
28
|
4,30
|
43
|
|
4
|
28
|
6,63
|
66,3
|
|
5
|
24
|
1,06
|
10,6
|
|
6
|
24
|
5,82
|
58,2
|
|
7
|
24
|
10,91
|
109,1
|
|
8
|
24
|
0,88
|
8,8
|
|
9
|
20
|
35,37
|
353,7
|
|
10
|
20
|
0,64
|
6,4
|
|
11
|
16
|
18,62
|
186,2
|
|
12
|
16
|
9,39
|
93,9
|
|
Итого:
|
|
100
|
1000
|
Необходимое количество эффективных рамо-смен для распиловки
сырья по поставам можно определить по формуле:
где mi - потребное количество эффективных рамо-смен для
выполнения работ по поставу:i - объем сырья в 1000м3, подлежащий
распиловке по поставу, м3;
Аi - сменная производительность рам, м
/см.

Общее количество эффективных рамо-смен для распиловки 1000 м3
сырья находят суммированием количества рамо-смен по поставам:
где å mi
- количество рамо-смен при распиловке с брусовкой.
При распиловке с брусовкой каждое бревно пропускают через
лесопильные рамы 2 раза. Поэтому количество установленных рамо-смен должно быть
увеличено вдвое.
Таблица 9
|
№ постава
|
Диаметр бревна,
см.
|
Расчетная
посылка, мм/об
|
Производительность,
м3/см
|
Способ раскроя
|
Количество
рамо-смен
|
|
|
|
|
|
эффективных
|
установленных
|
|
1
|
36
|
12,9
|
185,93
|
с брусовкой
|
0,087
|
0,174
|
|
2
|
32
|
22
|
250,83
|
с брусовкой
|
0, 19
|
0,38
|
|
3
|
28
|
22,97
|
202,6
|
с брусовкой
|
0,21
|
0,42
|
|
4
|
28
|
23,05
|
203,3
|
с брусовкой
|
0,33
|
0,66
|
|
5
|
24
|
25,77
|
166,31
|
с брусовкой
|
0,064
|
0,128
|
|
6
|
24
|
26,7
|
172,31
|
с брусовкой
|
0,34
|
0,68
|
|
7
|
24
|
26,7
|
172,31
|
с брусовкой
|
0,63
|
1,26
|
|
8
|
24
|
24,23
|
156,37
|
с брусовкой
|
0,056
|
0,112
|
|
9
|
20
|
30,77
|
139,01
|
с брусовкой
|
2,54
|
5,08
|
|
10
|
20
|
30,77
|
139,01
|
с брусовкой
|
0,046
|
0,092
|
|
11
|
16
|
33,23
|
100,08
|
с брусовкой
|
1,86
|
3,72
|
|
12
|
16
|
26,55
|
79,96
|
с брусовкой
|
1,17
|
2,34
|
|
Итого:
|
7,523
|
15,046
|
. Количество рамо-смен, необходимое для распиловки годового объема
сырья, определяется по формуле:
где Qc - объем сырья, подлежащий распиловке в течение
года, м3
Расчетное количество рам при известном режиме работы цеха
определяется из выражения:
где N - количество смен работы каждого станка в году (500 - при
двухсменной работе, 250 - при односменной);
Кт - коэффициент использования станков в году,
учитывающий остановкуна капитальный ремонт (Кт = 0,9).
Принимаем количество рам равное 4, по две на первом и втором
проходах.
Процент загрузки оборудования определяется отношением расчетного
количества станков к принятому фактическому количеству (Rф).
7. Расчёт
производительности и количества станков в потоке за головным оборудованием
Ритм работы бревнопильных станков определяется временем,
необходимым для распиловки бревна по поставу (мин).
,
где: Δi - подача
за один оборот коленчатого вала, мм/об;
Li - длина бревна, м;
n - частота вращения коленчатого вала, мин - 1;
Кm - коэффициент использования машинного
времени;
Ритм работы головного оборудования
Таблица 10
|
№ постава
|
Диаметр бревна,
см.
|
Длина бревна, м
|
Расчетная
посылка, мм/об
|
Ритм работы
станка, мин
|
|
1
|
36
|
5,5
|
12,9
|
1,61
|
|
2
|
32
|
5,5
|
22
|
0,94
|
|
3
|
28
|
5,5
|
22,97
|
0,90
|
|
4
|
28
|
5,5
|
23,05
|
0,90
|
|
5
|
24
|
5,5
|
25,77
|
0,81
|
|
6
|
24
|
5,5
|
26,7
|
0,78
|
|
7
|
24
|
5,5
|
26,7
|
0,78
|
|
8
|
24
|
5,5
|
24,23
|
0,86
|
|
9
|
20
|
5,5
|
30,77
|
0,67
|
|
10
|
20
|
5,5
|
30,77
|
0,67
|
|
11
|
16
|
5,5
|
33,23
|
0,62
|
|
12
|
16
|
5,5
|
26,55
|
0,78
|
Количество потребного количества оборудования в любой
операции процесса зависит от ритма головного оборудования и определяется по
формуле:
,
где: Сi -
потребное количество станков для выполнения операции, шт;
tоп i -
затраты времени на выполнение работ по поставу, мин;
,
где Q пост i - объём
работ по данной операции по поставу;
для обрезного станка
Q пост - суммарная длина досок в м, поступающих
с одного постава на обрезку;
для торцовочного станка
Q пост - суммарная количество досок в шт.,
поступающих с одного постава на торцовку;
А ст - производительность обрезного или торцовочного
станков, соответственно, м/мин или шт/мин;
Производительность обрезного станка, м/мин
Аст = U·Kм,
где: U - скорость подачи, м/мин;
Км - коэффициент машинного времени станка, определяемый
по формуле:
,
где: lср - средняя длина доски, м;







Производительность:
Аст1 = 80·0,58 = 46,4 м/мин; Аст2 = 80·0,55
= 44 м/мин;
Аст3 = 80·0,54 = 43,2 м/мин; Аст4 = 80·0,58
= 46,4 м/мин;
Аст5 = 80·0,56 = 44,8 м/мин; Аст6 = 80·0,56
= 44,8 м/мин;
Аст7 = 80·0,6 = 48 м/мин; Аст8 = 80·0,6 = 48
м/мин;
Аст9 = 80·0,62 = 49,6 м/мин; Аст10 = 80·0,51
= 40,8 м/мин;
Аст11 = 80·0,48 = 38,4 м/мин; Аст12 =
80·0,48 = 38,4 м/мин;
Количество потребного оборудования:
,
где: Сi -
потребное количество станков для выполнения операций, шт;
tопi -
затраты времени на выполнение работ по поставу, мин.
Затраты времени на выполнение работ по поставу определяются по
формуле:
,
где: Qпост - объём работ по поставу, м; Aст -
производительность станка в тех же единицах измерения в минуту, м/мин;
Затраты времени на выполнение работ, мин;
мин;
мин;
мин;
мин;
мин;
мин;
мин;
мин;
мин;
мин;
мин;
мин;
Потребное количество станков для выполнения операции, шт;









Таблица 11
Расчёт количества обрезных станков в лесопильном потоке Ц2Д - 7А
|
№ постава
|
Диаметр, см
|
Ритм, мин
|
Производительность,
м/мин
|
Объём работ по
поставу, м
|
Время на
выполнение операции, мин
|
Количество
станков
|
|
|
|
|
|
|
расчётное
|
принятое
|
|
1
|
36
|
1,61
|
46,4
|
37
|
0,8
|
0,5
|
1
|
|
2
|
32
|
0,94
|
44
|
37,5
|
0,85
|
0,9
|
1
|
|
3
|
28
|
0,90
|
43,2
|
19
|
0,44
|
0,49
|
1
|
|
4
|
28
|
0,90
|
46,4
|
30
|
0,65
|
0,72
|
1
|
|
5
|
24
|
0,81
|
44,8
|
13,5
|
0,3
|
0,37
|
1
|
|
6
|
24
|
0,78
|
44,8
|
20
|
0,45
|
0,58
|
1
|
|
7
|
24
|
0,78
|
48
|
24
|
0,5
|
0,64
|
1
|
|
8
|
24
|
0,86
|
48
|
24
|
0,5
|
0,58
|
1
|
|
9
|
20
|
0,67
|
49,6
|
26
|
0,52
|
0,78
|
1
|
|
10
|
20
|
0,67
|
40,8
|
17
|
0,42
|
0,63
|
1
|
|
11
|
16
|
0,62
|
38,4
|
15
|
0,39
|
0,63
|
1
|
|
12
|
16
|
0,78
|
38,4
|
15
|
0,39
|
0,5
|
1
|
Процент загрузки станка:
Производительность торцовочного станка, м/мин
где tц - время на выполнение операции торцовки (8 с.)
шт/мин;
Затраты времени на выполнение работ, мин;
мин;
мин;
мин;
мин;
мин;
Потребное количество станков для выполнения операции, шт;









Таблица 12
Расчёт количества торцовочных станков в лесопильном потоке
ЦКБ-40-1
|
№ постава
|
Диаметр, см
|
Ритм, мин
|
Производительность,
м/мин
|
Объём работ по
поставу, шт.
|
Время на
выполнение операции, мин
|
Количество
станков
|
|
|
|
|
|
|
расчётное
|
принятое
|
|
1
|
36
|
1,61
|
7,5
|
4
|
0,53
|
0,33
|
1
|
|
2
|
32
|
0,94
|
|
|
|
0,56
|
1
|
|
3
|
28
|
0,90
|
|
|
|
0,59
|
1
|
|
4
|
28
|
0,90
|
|
|
|
0,59
|
1
|
|
5
|
24
|
0,81
|
|
2
|
0,27
|
0,33
|
1
|
|
6
|
24
|
0,78
|
|
4
|
0,53
|
0,68
|
1
|
|
7
|
24
|
0,78
|
|
|
|
0,68
|
1
|
|
8
|
24
|
0,86
|
|
2
|
0,27
|
0,31
|
2
|
|
9
|
20
|
0,67
|
|
|
|
0,4
|
1
|
|
10
|
20
|
0,67
|
|
4
|
0,53
|
0,79
|
0
|
|
11
|
16
|
0,62
|
|
|
|
0,85
|
0
|
|
12
|
16
|
0,78
|
|
|
|
0,68
|
0
|
Процент загрузки станка:
%
8. Расчёт
количества оборудования для переработки кусковых отходов на технологическую
щепу
Для измельчения кусковых отходов в щепу применяют рубительные
машины различных марок. Выбираю рубительную машину МРГ-20Б-1
Производительность рубительных машин:
Ам = 60·К·f·К1·n·z·l·Т, пл. м3/см;
где: К - коэффициент загрузки машины, К = 0,5;
f - площадь поперечного сечения загрузочного патрона, м2;
К1 - коэффициент заполнения патрона древесиной, К1
= 0,2;
n - частота вращения диска, мин-1;
z - число ножей на диске, шт;
l - длина щепы, м;
Т - время смены, ч.
Ам = 60·0,5·0,0924·0,2·750·2·0,018·8 = 119,8 пл. м3/см
Количество рубительных машин:
где Qт+Qто - объём кусковых отходов, м3, перерабатываемых
в щепу.
N - количество смен работы машины в году (500 - при двухсменной
работе цеха и 250 - при односменной).
Принимаем одну рубительную машину.
Производительность сортировочной установки СЩ - 1М
Ас = Ачтабл·T·Кр·Кзагр, нас. м3/см;
где: Ачтабл - часовая производительность
сортировки в насыпных м3, указанная в технической характеристике;
Т - время смены, ч;
Кзагр - коэффициент загрузки сортировки, Кзагр
= 0,5;
Кр - коэффициент использования рабочего времени, Кр
= 0,75.
Ас = 60·8·0,75·0,5 = 180 нас. м3/см
Количество сортировочных устройств:
где Кп - коэффициент перевода плотных кубометров древесины в
насыпные (2,5);
Принимаем одно сортировочное устройство.
9. Расчёт
производительности и количества окорочных станков
Выбираем станок ОК63-2
Производительность окорочных станков, м3/см:
где Ui - скорость подачи i-го диаметра, м/мин (из технической характеристики станка);
Т - время смены в минутах (480);
Кр - коэффициент использования рабочего времени (0,85);
Кп - коэффициент повторного пропуска бревен (0,5);
Км - коэффициент использования машинного времени (0,7);
Li - длина бревна, м;
qi - объём бревна, м3;
м3/см;
м3/см;
м3/см;
м3/см;
м3/см;
м3/см;
м3/см;
м3/см;
м3/см;
м3/см;
м3/см;
м3/см;
Потребное количество станко-смен:
где Qi - объём сырья i-го диаметра в годовой программе, м3;
Ai - производительность станка при окорке i-го диаметра, м3/см.








Общее количество станко-смен:
Сm=∑Сmi;
Сm=224,8
Расчетное количество станков:
где N - количество рабочих смен в году (500);
Принимаем один окорочный станок. Процент загрузки станка:
%
%
10. Описание
технологического процесса лесопильного цеха
В лесопильном цехе предусматривается распиловка бревен со
100% брусовкой. В цехе установлено следующее технологическое оборудование:
лесопильные рамы первого ряда для распиловки бревен, лесопильные рамы второго
ряда для распиловки бруса, обрезной станок для обрезки обзольных кромок
необрезных досок, торцовочный станок для формирования стандартной длины
пиломатериалов и вырезки дефектов из досок, два потока. Круглые лесоматериалы
подаются в цех по двум продольным цепным конвейерам БА-3М (3) и сбрасываются с
него на впередирамные тележки ПРТ8-2Д (1) сбрасывателем СБР-75 (2). При помощи
зажимных клещей тележки бревно закрепляется, разворачивается, центрируется по
поставу и подается на передние вальцы рамы, которые обеспечивают подачу бревна
на пилы во время процесса раскроя. Бревно освобождается от зажимных клещей
тележки за полтора метра до конца распиловки и происходит возврат тележки за
следующим сортиментом. Полученная продукция (брус, необрезные доски и горбыли)
после выхода из лесопильной рамы первого ряда Р63-7 (4) попадает на двухсекционный
рольганг-разделитель ПРД-75 (7). Короткие горбыли и опилки удаляются сразу за
рамой при помощи люка (6). Брус отделяется от необрезных досок направляющими
ножами (5) и попадает на рольганг после того, как его вытолкает следующий брус.
Необрезные доски и длинные горбыли к этому времени успевают пройти за передний
конец бруса на вторую секцию рольганга до упора (15), по которому свинчиваются
на поперечный цепной конвейер ТЦП-5 (14). Брус, перемещаясь по рольгангу,
доходит до упора и брусоперекладчиком БРП-75 (9) передается на
рольганг-манипулятор ПРДВ-75 (8) перед рамой второго ряда Р63-7 (12), где
центрируется по поставу и подается в распиловку. Продукция, полученная при
раскрое на раме второго ряда (обрезные и необрезные доски) поступают на позадирамный
рольганг ПРДП-75 (13), имеющий разделительные шины, внутри которых перемещаются
обрезные пиломатериалы к ленточному конвейеру КЛС40-50 (19), выносящему их на
сортировочную площадку, расположенную за лесопильным цехом. Необрезные доски и
длинные горбыли, оказавшиеся за шинами, свинчиваются на поперечный конвейер
(14) и вместе с досками от рамы первого ряда перемещаются к роликовому столу
(16) для подачи в обрезной станок Ц2Д-7 (17) для обрезки кромок. Длинные
горбыли сбрасываются в люк перед обрезным станком. За обрезным станком
установлено рейкоотделительное устройство (18), посредством которого рейки
сбрасываются в люки (21), а обрезные доски перемещаются к навесному рольгангу
ПРДН-5 (22) и подаются на браковочно-торцовочный стол, оснащенный двумя торцовочными
станками позиционного типа ЦКБ40-3 (20). Оторцованные доски далее по ленточному
конвейеру перемещаются на сортировочную площадку.
Сортировочные площадки представляют собой
полумеханизированные или механизированные поперечные цепные конвейеры, служащие
для перемещения досок к подстопным местам складирования продукции различных
размерно-качественных групп. Распределение досок и их укладка на подстопные
места или в карманы-накопители производятся механизировано или вручную.
Все отходы лесопильного производства сбрасываются на нижний
этаж через люки, расположенные непосредственно за технологическим
оборудованием. Опилки попадают на скребковые транспортеры, выносятся за пределы
цеха и ссыпаются в бункер, который по мере накопления разгружается. Опилки в
дальнейшем могут использоваться в гидролизном производстве или для изготовления
древесно-стружечных плит. В большинстве случаев опилки применяются в сельском
хозяйстве или продаются населению. Твердые отходы (горбыли, рейки и отрезки
досок) скидываются на ленточные конвейеры и могут подаваться в рубительную
машину для переработки в технологическую щепу, либо удаляются из цеха и далее
используются как топливо. Из горбыля, в зависимости от его размеров, может
вырабатываться обапол, который поставляется для крепления горных выработок.