Проектирование лесопильного предприятия
Содержание
Введение
.
Структурная схема технологического процесса
.
Расчет производительности головного оборудования
.
Окорка древесины, комплексная линия для окорки и сортировки бревен
.
Интенсивность поступления сырых пиломатериалов на сортировочную линию.
.
Окончательная обработка пиломатериалов
Вывод
Список
используемой литературы
Введение
За последние десятилетие произошли коренные
изменения в области технологии, оборудования и систем управления лесопильной
промышленностью.
Вместо лесопильных рам в современных процессах
используются фрезерное, фрезерно-ленточнопильное и фрезерно-круглопильное
оборудование, имеющие большую производительность нежели лесопильные рамы ,
Скорости подач такого оборудования достигают 200м/мин.
До перехода к рыночной экономике в отечественной
лесопильной промышленности использовалось до 100 тысяч лесопильных рам, около
10% двухэтажные и остальные, в основном, одноэтажные. Поэтому классификация
бревнопильного оборудования сводилась к классификации лесопильных рам по
назначению: общего или специального назначения; величине просвета: узко-,
средне- и широкопросветные; по виду распиливаемого материала: для распиловки
бревен, для развала брусьев; по величине хода: направлению движения и уклона
пильной рамки и др. На сегодняшний день лесопильные рамы практически не
устанавливаются, так как могут перерабатывать не более 2-3 бревен в минуту.
Современное оборудование имеет возможность перерабатывать до 20 и более бревен
ха то же время.
Современные процессы лесопиления нельзя
проектировать и реконструировать без учета взаимосвязи и взаимовлияния основных
операционных цехов: цеха подготовки сырья, лесопильного цеха, цеха камерной
сушки и участка окончательной обработки пиломатериалов. Поэтому проектирование
лесопильных предприятий необходимо осуществлять комплексно с расчетом структуры
и основных параметров основных цехов.
В данном проектирование лесопильного предприятия
используется бревнопильное оборудование проходного типа групповой распиловки
бревен на пиломатериалы. Коэффициент использования его рабочего времени
составляет Км = 0,9.
Студенты, обучающиеся по специальности 250403,
выполняют курсовые и дипломные проекты по проектированию лесопильных
предприятий с пакетной отгрузкой пиломатериалов. Курсовой проект по дисциплине
«Технология лесопильно-деревообрабатывающих производств» ставит целью
систематизировать знания, полученные студентом на лекциях, в процессе
выполнения лабораторных работ и при самостоятельном изучении дисциплины,
научить основам планирования раскроя пиловочного сырья, основам проектирования
лесопильных цехов, выбора и расчета производительности технологического
оборудования, определения производственной мощности лесопильных цехов.
1. Структурная схема технологического процесса
В связи с высокой годовой
производительностью лесопильного предприятия а именно 50 000 
следует принять в качестве
оборудования лесопильную линию «HewSaw SL250 TRIO». Так как оно является
оборудованием проходного типа со скоростями подач от 60 до 150 м/мин. Также эта
линия способна распиливать диаметры от 10 до 52 сантиметров включительно. Линия
предназначена для распиловки брусово-развальным способом для обработки
толстомера на крупных лесопильных производствах.
В неё входят :
). Устройство ориентации и центровки
бревен
). Фрезерно-брусующий станок
). Измерение бруса
). Брусующе-пильный станок
). Транспортер-отделитель
). Многопильный станок
Бревно поступающие на линию сначала
измеряется затем поступает на устройство оптимизации и центрирования бревен так
называемый кантователь который с помощью лазера определяет кривизну бревна и
центрует его. После этого бревно поступает во фрезерно-брусующий станок. Потом
мы измеряем получившийся брус и подаем его на брусующе-пильный станок там
происходит распиловка бруса и фрезеровка досок. Следующая операция это разделение
досок которое происходит на специльном разделителе. После этого следует поворот
бруса и распиловка его вразвал. Двигатели линии оснащены преобразователями
частоты, благодаря чему скорость ее подачи и длину щепы можно регулировать
Структурная схема процесса
. Расчёт производительности
головного оборудования
Расчёт производительности головного
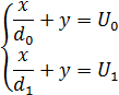
оборудования начинается с расчёта скоростей подач и коэффициентов аппроксимации
ведётся в виде системы уравнений .
Где 
, - коэффициенты аппроксимации; 
минимальный и максимальный диаметры
распиливаемых бревен в мм; а 
соответственно максимальные и
минимальный скорости подач лесопильной линии в м/мин.

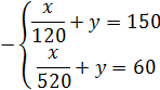
= 120 мм , 
= 520 мм

= 150 м/мин 
=60 м/мин;
G0 - x ; G1 - y;
Уравнение решаем методом вычитание одного
уравнения из другого.
x/120 - x/520 = 90 ;
(520 x - 120 x)/ 52000 =
90;
x = 4680000 ;
x= 11142,857
;
Затем подставляем полученный
коэффициент в исходное уравнение для получения второго коэффициента.
,857/120 + y = 150 ;
,42 + y = 150 ;
y= 38,58 .
Следовательно
и 
38,58.
Для данного типа предприятий коэффициент
использования машинного времени, у фрезерно-профилирующей линии принимаем
равным Км = 0,9.
Результаты расчетов сменной производительности
предприятия и необходимого числа смен представлены в табл. 1.
Таблица 1. Производительность предприятия на
базе фрезерно профилирующей линии HewSaw
SL250 TRIO.
Таблица 1
|
Диаметр
бревна d (см)
|
Объём
бревна  , при L= 4,5
(м)∑Vбрi м3 при dср=200 ммQi , м3 в сменуСкорость подач U (м/мин)Число
смен, nсм
|
|
|
|
|
|
12
|
0,0631
|
7,048
|
637,4645
|
131,4371
|
0,011056303
|
|
14
|
0,085
|
67,799
|
772,0429
|
118,1718
|
0,087817661
|
|
16
|
0,11
|
105,05
|
914,9981
|
108,2229
|
0,114808981
|
|
18
|
0,138
|
130,05
|
1065,83
|
100,4848
|
0,12201762
|
|
20
|
0,17
|
136,95
|
1232,091
|
94,29429
|
0,111152498
|
|
22
|
0,205
|
128,94
|
1405,951
|
89,22935
|
0,091710183
|
|
24
|
0,243
|
110,46
|
1587,733
|
85,00857
|
0,069570886
|
|
26
|
0,285
|
88,693
|
1783,922
|
81,43714
|
0,049717976
|
|
28
|
0,329
|
67,699
|
1981,924
|
78,37592
|
0,034158217
|
|
30
|
0,377
|
49,507
|
2194,203
|
75,72286
|
0,022562632
|
|
32
|
0,429
|
35,417
|
2420,306
|
73,40143
|
0,014633272
|
|
34
|
0,483
|
24,558
|
2648,918
|
71,35311
|
0,009270954
|
|
36
|
0,541
|
16,649
|
2891,298
|
69,53238
|
0,005758313
|
|
38
|
0,603
|
11,193
|
3147,145
|
67,90331
|
0,003556557
|
|
40
|
0,667
|
7,428
|
3406,005
|
66,43714
|
0,002180854
|
|
42
|
0,735
|
4,825
|
3678,304
|
65,11061
|
0,001311746
|
|
44
|
0,806
|
3,133
|
3958,915
|
63,90468
|
0,000791378
|
|
46
|
0,881
|
2,022
|
4252,741
|
62,8036
|
0,000475458
|
|
48
|
0,959
|
0,921
|
4554,864
|
61,79429
|
0,000202201
|
|
50
|
1,04
|
0,13
|
4865,355
|
60,86571
|
0,000026720
|
|
52
|
1,124
|
1,474
|
5184,276
|
60,00857
|
0,000284321
|
|
Итого:
|
|
999,946
|
|
|
0,753064731
|
Приведем пример расчёта скорости подачи i-ого
диаметра.:

=
/
+
;

= 11142,857 / 240 + 38,58 ;

= 85 м/мин
Пример расчёта объёма бревна i-ого
диаметра.:

= 
;

= ( 3,915 + 0,2025) * ( 0,12 +
0,002025
+ 0,001825 ;

= 4,1175*0,014 + 0,001825 ;

= 0,0631
Где L - длина
бревна в (м); d- расчётный
диаметр бревна в (м).
Фактическая производительность
фрезерно-профилирующей линии HewSaw
SL250 при распиловке
бремен j-х диаметров, м3 в
смену, определяется по формуле:


в смену.)
где U
- скорость подачи, м/мин; Lср
- средняя длина бревен, м; Км - коэффициент использования машинного времени,
принять равным 0,9; Кn
- коэффициент скрытых потерь, принять равным 0,96; Кт.иФПЛ - коэффициент
технического использования фрезерно-профилирующей линии, принять равным 0,834;
Тс - продолжительность смены, принять равным 480 мин.; qi
- объем бревна i-го диаметра
заданной длины, м3.
Число смен, необходимых для распиловки бревен
диаметром 12 см, nсм12, объем
которых в 1000 м3 сырья равен 7,048 м3, определяется по формуле
По результатам расчетов находим сумму числа
смен, затрачиваемых на распиловку 1000 м3 бревен при заданной кривой сырья, Σnсм.
Среднесменная производительность лесопильного цеха, м3 бревен/смена,
определяется по формуле:
При двухсменном режиме работы годовая
фактическая производительность лесопильного цеха, м3 бревен в год, определяется
по формуле:

515327,546 (м3 бревен в год)
где N
- количество смен в сутки; Тг - количество рабочих дней в году; Ки -
коэффициент использования линии для сортировки досок с производительностью 120
досок в мин.; Кг - коэффициент средне годовых условии работы, принять равным
0,86; Кз -коэффициент загрузки.
Коэффициент загрузки определяется по формуле:
Коэффициент использования машинного времени определяется
по формуле:
где tм - время
машинной обработки предмета труда; Тц - время цикла, 
,
tв - время
вспомогательных операции со временем машинной обработки.
. Окорка древесины, комплексная
линия для окорки и сортировки бревен.
Окорка хлыстов и бревен на
лесопильных предприятиях необходима по следующим соображениям:
. Высококачественная технологическая
щепа может быть получена для ЦБП только при наличии окорки пиловочника.
. Окорка бревна и хлыстов
существенно повышают точность измерения диаметров, облегчает определение кривизны,
эллиптичность и других особенностей формы и качества древесины.
Различают следующие станки для
окорки хлыстов и бревен: окорка на роторных окорочных станках, получившая
наибольшее распространение в мировой практике лесопиления. У финнов это станки
«Камбио 66», ВК-26 и др. В России это ОК40-2; ОК63-2; ОК80-2 и ОК100-2,
относящихся к классу однороторных станков, а так же 2ОК40-1; 2ОК63-1 и 2ОК80-1,
относящихся к классу двухроторных станков. Двухроторные станки способны
окоривать мерзлые и подсушенные лесоматериалы как хвойных, так и лиственных
пород. При работе на форсированных режимах, а так же в зимний период на обоих
роторах устанавливаются коросниматели, что позволяет повышать скорость подачи
бревен и качество окорки лесоматериалов.
К важнейшим требованиям окорки
пиловочника на роторных станках относятся определение рациональных скоростей
подачи и сведение потерь древесины к минимуму.
Фактическая производительность
лесопильного цеха равна 300 тыс.м3 бревен в год.
Окорка и сортировка пиловочника осуществляется
на сортировочной линии ОК-БС при коэффициенте превышения комплексной линии по
сравнению со средней производительностью лесопильного цеха Кс = 1,1. Средний
диаметр бревен на предприятии - 23 см и средняя длина бревен 5,5 м. Планируемые
простои комплексной линии Σtок-бспл.пр = 30 мин. Случайные
простои участков окорки и сортировки бревен Σtоксл.пр= 24
мин.; Σtбссп.пр = 24
мин. Время простоем комплексной линии по организационным причинам Σtз = 48 мин;
Годовой фонд времени работы комплексной линии Тг = 500 смен. Цикловая
производительность комплексной линии ОК-БС бревен в минуту составляет.
Предварительные расчеты показывают, что для
обеспечения окорки и сортировки пиловочника при производственной мощности
предприятия 500 тыс.м3 бревен в год необходима комплексная линия БСФ2-60 с
производительностью линии 14,314 бревен в минуту (т.е с длительностью рабочего
цикла Tц=4,19 с) и с
максимальным количеством бревен в накопителе между участками окорки и
сортировки E=10.
пиломатериал пакетный бревно отгрузка
Здесь Δн
- коэффициент межучастнового наложения случайных потерь оборудования окорки и
сортировки бревен, который рассчитывается следующим образом:
Так как среднее время простоя для устранения
неполадок θср = 3600 * ( 1 - Yбр)
= 3600 * (1 - 0,95) = 180 с. При сумме случайных простоев окорочного и
сортировочного оборудования, равных 24 мин, в течение 480 минутной смены
уровень безотказной работы комплексной линии Yбр
= 0,95.
Рассчитываем требуемую цикловую
производительность комплексной линии

Рассчитываем фактическую
производительность комплексной линии:
(бревен в смену)
Вычисляем оперативный запас бревен при периоде
работы лесопильного цеха Т =2 смены и 21сортировочных группах бревен nгр:

(
)
Определяем необходимую емкость
склада рассортированных бревен:
Время накопления оперативного запаса
(смен):
Для расчета страхового запаса бревен перед
лесопильным цехом допустим, что в нем установлена одна фрезерно-профилирующая
линия на базе R250. Из расчета
видно, что в смену поступает максимально порядка 1350 м3 бревен, а в течении 30
минут 85 м3 пиловочника. Таким образом, страховой запас составляет 85 м3
бревен. Исходя из этого рассчитывается цикл работы и число автопогрузчиков,
обеспечивающих синхронную работу системы: окорка и сортировка бревен - склад
рассортированного сырья - лесопильный цех. Естественно, что количество приемных
транспортеров перед лесопильным цехом для рассортированных бревен равно
количеству бревнопильных линий, в данном случае 1.
При цикловой производительности комплексной
линии ОК-БС 8987,7865 бревен в смену 8987,7865/480=18,72 бревен.
На окорочном участке с окорочными станками
2ОК63-1 и 2ОК40 может быть максимально пропущено:
Здесь U1
и U2 - скорость подачи
окорочных станков 2ОК63-1 и 2ОК40, соответственно м/мин. l
- средняя длина бревна, м. Δl
- средняя величина межторцового разрыва = 0,3, м. Разница между максимальной
пропускной способность окорочного участка и цикловой производительностью
комплексной линии должна составлять 1,5 - 2 раза (29,161/18,72 = 1,55), что
может позволить обеспечить нормальную работу комплексной линии окорки и
сортировки бревен даже в зимнее время.
Определяем необходимое число карманов :
где nгр
- количество сортировочных групп бревен; nрез
- количество резервных карманов; nотб
- накопители, в которые направляется низкокачественное сырье; nкон
- конечный карман, куда попадают бревна, в процессе сортировки которых по тем
или иным причинам произошли сбои в системах их замера и адресации.
. Интенсивность поступления сырых пиломатериалов
на сортировочную линию
Для определения производительности линии
сортировки пиломатериалов необходимо определить среднюю интенсивность поступления
сырых пиломатериалов из лесопильного цеха, шт./мин. Для этого воспользуемся
формулой:
Где 
- коэффициент технического
использования линии для торцовки и сортировки досок (определяется при расчёте
производительности лесопильного цеха); 
- коэффициент загрузки лесопильного
цеха (определяется при расчёте производительности лесопильного цеха); N-число j-их
бревнопильных линий; n- число сортировочных групп
пиломатериалов;

- пропускная способность головного
оборудования лесопильного цеха определяется по формуле:

;

- число досок, выпиливаемых из
брёвен i-их
диаметров на j-их
бревнопильных линиях, направляемых в цех камерной сушки и окончательной
обработки пиломатериалов , шт.дос. (определяется поставом); 
- коэффициент использования
машинного времени при распиловке брёвен i-их
диаметров на j-их
бревнопильных линиях (определяется при расчёте производительности лесопильного
цеха);
- коэффициент наложенных потерь,
характеризующий снижение расчётной скорости распиловки вследствие падения
напряжения на зажимах нагрузки , а также скрытых потерь производительности
из-за распиловки припусков по длине бревна (%1,5) и минимальных межторцовых
разрывов (около 1-го процента) возникающих в процессе эксплуатации, принимаемый
равный - 0,96; 
- коэффициент технического
использования 
линиях, при распиловке брёвен i-их
диаметров (определяется при расчёте производительности лесопильного цеха); 
и 
- доля и сумма долей бревен i-их
диаметров, распиливаемых j-ой бревнопильной линии.
Расчет долей и суммы долей бревен, а так же
числа бревен, удобно вести в табличной форме. Результаты расчета долей бревна и
числа бревен для лесопильного цеха на базе фрезернопрофилирующей линии HewSaw
SL250 TRIO
представлены в табл. 2.
Таблица 2. Результаты расчета долей бревна и
числа бревен для лесопильного цеха на базе фрезернопрофилирующей линии HewSaw
SL250 TRIO
|
Диаметры
брёвен, см
|
Обьём
бревна,  Доля обьёма бревна,%,
ΣVбрiОбьём
бревён в 1000 м3, ΣVi1000Доля
бревна
%, λiЧисло
бревён шт., Nбр
|
|
|
|
|
|
12
|
0,0631
|
7,048
|
70,48
|
2,01138071
|
1116,957211
|
|
14
|
0,085
|
67,79
|
677,9
|
14,36165377
|
7975,294118
|
|
16
|
0,11
|
105,05
|
1050,5
|
17,1973336
|
9550
|
|
18
|
0,138
|
130,05
|
1300,5
|
16,97028026
|
9423,913043
|
|
20
|
0,17
|
136,95
|
1369,5
|
14,50677448
|
8055,882353
|
|
22
|
0,205
|
128,94
|
1289,4
|
11,32639098
|
6289,756098
|
|
24
|
0,243
|
110,46
|
1104,6
|
8,185712925
|
4545,679012
|
|
26
|
0,285
|
88,693
|
886,93
|
5,604052942
|
3112,035088
|
|
28
|
0,329
|
67,699
|
676,99
|
3,705476814
|
2057,720365
|
|
30
|
0,377
|
49,507
|
495,07
|
2,364737858
|
1313,183024
|
|
32
|
0,429
|
35,471
|
354,71
|
1,488928643
|
826,8298368
|
|
34
|
0,483
|
24,558
|
245,58
|
0,915595414
|
508,447205
|
|
36
|
0,541
|
16,649
|
166,49
|
0,554177173
|
307,7449168
|
|
38
|
0,603
|
11,193
|
111,93
|
0,334261945
|
185,6218905
|
|
40
|
0,667
|
7,428
|
74,28
|
0,200541291
|
111,3643178
|
|
42
|
4,825
|
48,25
|
0,118213676
|
65,6462585
|
|
44
|
0,806
|
3,133
|
31,33
|
0,069997592
|
38,87096774
|
|
46
|
0,881
|
2,022
|
20,22
|
0,04132977
|
22,95119183
|
|
48
|
0,959
|
0,921
|
9,21
|
0,017294132
|
9,60375391
|
|
50
|
1,04
|
0,13
|
1,3
|
0,00225096
|
1,25
|
|
52
|
1,124
|
1,474
|
14,74
|
0,023615053
|
13,113879
|
|
Итого:
|
|
|
|
100
|
55531,86453
|
Число брёвен в 1000 
определяется по формуле:

:
Доля бревна определяется по формуле:

;
Определим количество бревен и и долю бревна
диаметром 12 см:

шт.бревен
Интенсивность поступления досок на сортировочную
линию по каждому диаметру, шт./мин, определяем по таб.3
Таблица 3
|
Диаметры
бревён
|
Пропускная
способность
|
Количество
досок
|
Коэф.
исп. Машинного времени
|
Коэф.
наложенных потерь
|
Коэф.
тех. исп.линии
|
Доля
и сумма долей
|
Кол-во
досок
|
|
12
|
29,11
|
1
|
0,9
|
0,96
|
0,834
|
0,020113807
|
0,421906561
|
|
14
|
26,2
|
2
|
0,9
|
0,96
|
0,834
|
0,143616538
|
5,422699427
|
|
16
|
24,04
|
4
|
0,9
|
0,96
|
0,834
|
0,171973336
|
11,9161336
|
|
18
|
22,32
|
3
|
0,9
|
0,96
|
0,834
|
0,169702803
|
8,188121017
|
|
20
|
20,95
|
5
|
0,9
|
0,96
|
0,834
|
0,145067745
|
10,94976212
|
|
22
|
19,82
|
8
|
0,9
|
0,96
|
0,834
|
0,11326391
|
12,94091485
|
|
24
|
18,88
|
8
|
0,9
|
0,96
|
0,834
|
0,081857129
|
8,908986069
|
|
26
|
18,09
|
8
|
0,9
|
0,96
|
0,834
|
0,056040529
|
5,844004967
|
|
28
|
17,41
|
8
|
0,9
|
0,96
|
0,834
|
0,037054768
|
3,718884166
|
|
30
|
16,82
|
10
|
0,9
|
0,96
|
0,834
|
0,023647379
|
2,866083169
|
|
32
|
16,31
|
9
|
0,9
|
0,96
|
0,834
|
0,014889286
|
1,57488972
|
|
34
|
15,85
|
11
|
0,9
|
0,96
|
0,834
|
0,009155954
|
1,150284727
|
|
36
|
15,45
|
11
|
0,9
|
0,96
|
0,834
|
0,005541772
|
0,678655846
|
|
38
|
15,088
|
10
|
0,9
|
0,96
|
0,834
|
0,003342619
|
0,363411281
|
|
40
|
14,76
|
12
|
0,9
|
0,96
|
0,834
|
0,002005413
|
0,255947683
|
|
42
|
14,46
|
14
|
0,9
|
0,96
|
0,834
|
0,001182137
|
0,172442315
|
|
44
|
14,2
|
12
|
0,9
|
0,96
|
0,834
|
0,000699976
|
0,085947348
|
|
46
|
13,95
|
13
|
0,9
|
0,96
|
0,834
|
0,000413298
|
0,054008279
|
|
48
|
13,7
|
15
|
0,9
|
0,96
|
0,834
|
0,000172941
|
0,025608868
|
|
Итого:
|
|
|
|
|
|
75,57592434
|
|
Таким образом
Далее определяем требуемое количество карманов
на сортировочной линии:
где Nсеч
- количество сечений пиломатериалов в спецификации;
Nзап - необходимый
запас карманов на случай заполнения основных (15-20% от Nсеч);
Nрез - резервный
карман, для пиломатериалов не подходящих под спецификационные требования, либо
посылаемые оператором в «отбой» (5-10% от Nсеч).
. Окончательная обработка пиломатериалов
Понятие окончательной обработки возникло при
пакетной отгрузке пиломатериалов. Для ее осуществления потребовалось не только
высушить пиломатериалы до транспортной влажности и рассортировать их по
сечениям и сортам, но и производить их сортировку по длинам, маркировку и
формирование транспортных пакетов, обернутых водонепроницаемой бумагой и
обвязанных металлической лентой. Таким образом каждый из транспортных пакетов
должен содержать доски одной пароды, одного размера их поперечных сечений,
одного сорта и преимущественно одной длины.
В состав основного технологического оборудования
для окончательной обработки пиломатериалов входят пакето - и штабелеформирующие
машины и линии, браковочно - торцовочные, сортирующие линии для сортировки
пиломатериалов по сортам после сушки и их окончательной торцовки, устройства
для сортировки досок по длинам и комплексные линии для окончательной торцовки и
сортировки пиломатериалов по сортам и длинам.
Для данного курсового проектирования была взята
в расчет штабелеформировочная машина и линия фирмы «Валмет» с пропускной
способность 60...120 досок в минуту.
Для того чтобы определить требуемую
производительность линии окончательной обработки пиломатериалов необходимо
знать объемы и доли досок соответствующих сечений, поступающих на окончательную
обработку. Данную информацию можно получить при применении специальных
технологических программ, например по таблице полученной технологической
программой «Plan-200»:
|
Сечение,
мм
|
Обьём
, м3
|
Кол-во
досок. шт
|
Доля,
шт
|
Средн.
Обьём доски i-го
сечения
|
|
19*100
|
60,98
|
8960
|
0,241
|
0,0068
|
|
19*125
|
23,07
|
2581
|
0,069
|
0,0089
|
|
19*150
|
12,99
|
1036
|
0,027
|
0,0125
|
|
25*100
|
17,06
|
1750
|
0,047
|
0,0097
|
|
25*125
|
48,75
|
3796
|
0,102
|
0,0128
|
|
25*150
|
42,05
|
2513
|
0,067
|
0,0167
|
|
38*100
|
19,87
|
1162
|
0,031
|
0,0171
|
|
38*125
|
140,79
|
6586
|
0,177
|
0,0214
|
|
38*150
|
126,88
|
4946
|
0,133
|
0,0257
|
|
50*175
|
40,89
|
1038
|
0,00
|
0,000
|
|
75*200
|
101,29
|
1500
|
0,040
|
0,0675
|
|
75*225
|
93,67
|
1234
|
0,033
|
0,0759
|
|
Средний
обьём выхода пиломатериалов 58,03%
|
Среднесменная фактическая производительность
ЛООП по входу пиломатериалов, м3 в смену, определяет какой общий объем
пиломатериалов поступает на линию за смену.
Среднесменная производительность ЛООП по входу,
м3 в смену, определяется по формуле:

329,97 (м3 в смену).
где Qпн -
нормативно - пропускная способность линии при обработке досок i-го сечения,
досок в минуту; КисЛООП - коэффициент использования машин и линий; Тс - время
смены, мин; qср - средний
объем перерабатываемых досок, м3; КзЛООП - коэффициент загрузки линии; λ - доля
досок i-го сечения.

329,97*0,324=106,91 м3/смена
Коэффициент использования машин и линий
вычисляется по формуле
здесь 
- планируемые простои, связанные с
организацией рабочего места, регулированием, смазкой механизмов в течение
смены, перерывами в работе при пересмене и др., мин, принять 20 мин.; 
- перерывы в работе оборудования
из-за его отказов в работе ( время на их устранение), мин, принять 24 мин; 
- потери рабочего времени,
связанные с транспортировкой (уборкой с места формирования) сушильного пакета,
штабеля; подборой длинных досок в нижние ряды и стыковки коротких досок в
центре пакета; регулировкой механизмов при переходе на формирование сушильного
пакета, штабеля из досок другого сечения (толщины) и др., мин, принять 72 мин; 
- потери рабочего времени,
связанные с загрузкой машин и линий и вызванные неритмичностью
производственного процесса, неподачей очередной партии досок определенного
сечения и другими причинами, мин, принять 24 мин.
Коэффициент технического
использования линии
Коэффициент загрузки линии :
Среднесменная фактическая производительность
ЛООП по выходу пиломатериалов в кондиционных транспортных пакетах, т.е. из
досок одной долины м3/смену, определяется по формуле:
где Ккпi -
коэффициент кондиционной транспортных пакетов из досок одной линии i-го сечения
в партии их запуска. Данный коэффициент характеризует объемный выход
пиломатериалов, формируемые в транспортные пакеты одной длины. Как правило, для
экспортных пиломатериалов это доски двух сортов, бессортные и IV-сортные.
Данный коэффициент так же отражает влияние на объем пиломатериалов, выходящих с
линии, в пакетах из досок одной длины: общего числа сортов досок,
обрабатываемых на линии, из которых часть формируется в пакеты нескольких длин.
Данный коэффициент определяется по формуле:
где Vкп - объем
кондиционных пиломатериалов в партии, под одной партией понимается 1000 м3; Vп - объем
партии пиломатериалов, м3; 
- коэффициент кондиционности
транспортных пакетов из бессортных досок и досок IV сорта,
определяемый по формуле:
где 
- объем кондиционных транспортных
пакетов из досок одной длины, бессортных и IV сорта, по
статистическим данным принимаем равным 324 м3; VV - объем
некондиционных транспортных пакетов из досок нескольких длин V сорта, по
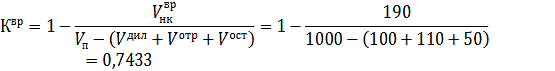
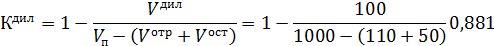
статистическим данным принимаем равным 190 м3; Vвр - объем
некондиционных транспортных пакетов из досок, например нескольких длин,
направляемый на внутренний рынок, по статистическим данным принять равным 190
м3; Vдил - объем
коротких досок дилен, формируемых также в некондиционные пакеты из досок
нескольких длин, по статистическим данным принять равным 100 м3; Vотр - объем
отрезком от пиломатериалов, получаемых в процессе обработки на комплексной
линии ЛООП, по статистическим данным принять равным 110 м3; Vост - объем
остатком пиломатериалов разных сортов из которых невозможно сформировать пакеты
с заданными размерами поперечных сечений из досок одной длины, ни из досок
нескольких длин, по статистическим данным принять равным 50 м3; 
- объем некондиционных транспортных
пакетов из досок нескольких длин, бессортных и IV сорта, по
статистическим данным принять равным 36 м3.
Коэффициенты КV, Kвр, Кдил,
Котр, Кост - характеризуют уменьшение выхода пиломатериала в пакетах одной
длины с линии окончательной обработки из-за того, что доски V сорта,
внутреннего рынка и делены не сортируются в пакеты одной длины, а так же из-за
того, что из отрезков и остатков вообще не формируются никаких транспортных
пакетов. Эти коэффициенты могут быть определены по формулам
Вывод
В настоящее время при развитии
рыночной экономики фактическая мощность предприятия должна рассчитываться по
специальным методам, учитывающим как различное оборудование, так и различные
уровни надежности его работы. Инструкции ранних лет носили плановый характер и
основывались на средних данных по всей стране. В современных условиях
предприятия сами выбирают кривую сырья и метод его обработки в зависимости от
своих нужд, что приводит к новым методам расчета его фактической мощности.
Ошибки при использовании инструкций
могут достигнуть 40-60% и приводят к экономическим убыткам, способным разорить
предприятие еще на стадии разработки.
Расчет по современной методике и с
использованием специальных программ на ПК позволяет провести быстрый и
достоверный анализ будущего производства с учетом всех имеющихся факторов, то
есть максимально приближенно к реальным условиям.
В данном курсовом проекте студент
произвел проектирование лесопильного предприятия, ознакомился и выбрал тип
головного оборудования. Рассчитал его производительность, которая составила в
год, 515327,546 
что на 5% больше планируемой
мощности производства. Так же студент ознакомился с линиями окорки древесины,
сортировки бревен, обрезкой не обрезных пиломатериалов и с окончательной
обработкой пиломатериалов.
Список используемой литературы
1.
Р.Е. Калитеевский «Лесопиление в 21 веке» Технология, Оборудование, Менеджмент.
Учебник. СПб, 2008г.-480 с.
.
Р.Е. Калитеевский, А.М. Артеменков, А.А. Тамби, В.М. Торопов Технология
лесопильно-деревообрабатывающих производств, «Проектирование лесопильных
предприятий с пакетной отгрузкой пиломатериалов», Учебное пособие. СПб, 2007г.-
63 с.