Расчет показателей эффективности малого лесопильного предприятия
Введение
На малых лесопильных
предприятиях в основном используется бревнопильное оборудование
позиционно-проходного и позиционного типа. Однако при производственной мощности
в основном более 50 тыс. кубометров бревен в год используется также
бревнопильное оборудование проходного типа.
Большое влияние на выбор бревнопильного
оборудования, которое на малых предприятиях является не только основным, но
зачастую и почти единственным, оказывает специализация выпиливаемой
пилопродукции.
В ряде моделей круглопильных
станков позиционно-проходного типа предусматривается возможность установки
дополнительной верхней пилы. Это позволяет увеличить диаметр распиливаемых
бревен. Однако подающие столы этих станков, как правило, не рассчитаны на
нагрузки от веса крупномерных бревен.
При производственной мощности
порядка 20 тыс. кубометров бревен в год возможна установка двух круглопильных
станков позиционно-проходного типа с круглопильным станком, а порядка 40 тыс.
кубометров бревен в год - четырех круглопильных станков с обрезным станком.
Между этими уровнями производственной мощности могут быть использованы линии с
двумя круглопильными станками позиционно-проходного типа с многопильным
круглопильным станком проходного типа с гибкими поставами и рециркуляцией
(петлей возврата) брусьев и обрезным станком. Как правило, более четырех
круглопильных станков позиционно-проходного типа в лесопильном цехе малого
предприятия не устанавливается, так как это усложняет межстаночные связи.
Установка в линию обрезного
станка увеличивает ее производительность на несколько десятков процентов.
Отсутствие обрезного станка даже за одним круглопильным станком
позиционно-лроходного типа может не только снизить производительность цеха, но
и уменьшить объемный выход пиломатериалов на пять, а иногда и более процентов.
Это происходит в том случае, когда обрезка необрезных досок производится на
круглопильном станке позиционно-проходного типа пачкой из досок нескольких
ширин.
Наиболее эффективны глубоко
специализированные малые лесопильные и лесопильно-деревообрабатывающие
предприятия. На последних вырабатывается погонаж; вагонка, плинтус, наличник, а
также оконный и дверной брус, мебельный щит. Эффективны также лесопильные
предприятия с выпуском, например паркетных и мебельных заготовок или только
пиломатериалов и технологической щепы из тонкомерных бревен.
Значительное количество малых
лесопильных предприятий ориентировано на выпуск экспортных пиломатериалов с их
пакетной отгрузкой. Окончательная обработка на малых лесопильных предприятиях
значительно отличается от процессов окончательной обработки пиломатериалов на
крупных и средних предприятиях. На предприятиях производственной мощностью
порядка 10-20 тыс. кубометров бревен в год преобладает ручная сортировка весьма
ограниченного количества длин и сечений пиломатериалов в течение смены.
Зачастую доски одной толщины и высокого качества (бессортные) отбираются сразу
после бревнопильного оборудования. Эти доски предназначаются на экспорт.
Поэтому они поступают в сушку и затем из них формируются пакеты пиломатериалов
одного сорта и одной толщины, ширины и длины. Обвязка пакетов производится
вручную при помощи специальных машинок.
Выборочная торцовка досок
происходит при формировании сушильных пакетов. Окончательная торцовка этих
досок (в основном на одну заданную длину) на торцовочном оборудовании
позиционного типа и сортировка по ширинам происходит после сушки. Для
выполнения этих операций достаточно 3-4 человек. Остальные доски после
распиловки бревен автопогрузчиком вывозятся из цеха на площадку, где двое рабочих
раскладывают их по сортам и сечениям и при необходимости производят торцовку.
Далее они автопогрузчиком развозятся на специально отведенные площадки для
продажи на внутреннем рынке.
При отправке всех досок на
экспорт они проходят выборочную торцовку после выпиловки и раскладываются по
сечениям вручную по специальным местам (запасам). Таким образом происходит
сортировка досок по сечениям. Окончательная торцовка и сортировка досок по
сортам и длинам с формированием и обвязкой транспортных пакетов может производиться
также вручную.
Бревнолильное оборудование
индивидуального раскроя бревен на пиломатериалы позволяет исключить сортировку
бревен по диаметрам и другим признакам. Однако, при гибких поставах на головном
оборудовании и жестком поставе на станках второго ряда желательно, а иногда и
необходимо производить сортировку бревен по диаметрам.
При поставке технологической щепы на
целлюлозно-бумажные предприятия окорка пиловочного сырья на малых лесопильных
предприятиях - обязательна.
1. Исходные данные:
1. Примерная производительность
предприятия, Q = 50 тыс.
/год;
2. Средний диаметр бревна: d
ср
=
22 см;
3. длина бревна: L
= 5,5 м;
. Минимальная длина боковой доски L
бок
=
3 м;
. спецификация:
толщина: 19 мм;
ширина: 100 мм, 125 мм, 150 мм;
толщина: 32 мм
ширина: 100 мм, 125 мм; 150 мм;
толщина: 63 мм;
ширина: 150 мм, 200 мм;
толщина: 100 мм;
ширина: 150 мм, 200 мм.
2. Проектирование
оптимальных поставов на ПК и планирование раскроя сырья по программе OPT-500
лесопильный бревно эффективность
показатель
Программа предназначена для автоматического
составления поставов на раскрой пиловочных бревен по критерию максимального
объемного выхода пиломатериалов.
3. Выбор
и обоснование бревнопильного оборудования и структурно - технологической схемы
лесопильного цеха
Малое предприятие мощностью 50 тыс. м3
перерабатываемых брёвен в год. Исходя из производительности, выбрали линию, в
качестве головного оборудования в которой используются 4 круглопильных
позиционно-проходных станка Kara
с обрезным станком.
4.
Расчет производственной мощности по инструкциям ЦНИИМОД
Фактическая производительность
процесса пиления для средних предприятий определяется по формуле:
,
где U - скорость
подачи, м/мин; Lср - средняя
длина бревен, 5,5 м; Кп - коэффициент скрытых потерь,
принимаем равным 0,96; Кб/о- коэффициент технического
использования бревнопильного оборудования;
- коэффициент технического
использования обрезных станков; Тс - продолжительность
смены, мин;
- объем бревна
i -го
диаметра заданной длины, м3;
- число бревнопильных станков -4
станка.
Коэффициент технического
использования
,
где
- сумма случайных простоев
бревнопильного оборудования мин (
=24 мин);
- сумма
случайных простоев участка обрезки необрезных пиломатериалов, мин (
=24 мин);
- сумма
простоев по организационным причинам, мин(
= 24);
-
коэффициент наложенных потерь времени участка обрезки необрезных
пиломатериалов;
-
коэффициент наложенных потерь времени линии сортировки сырых пиломатериалов.
,
где
- среднее время простоя для
устранения неполадок;
- уровень
безотказной работы(
= 0,95)
.
Коэффициент наложенных потерь
времени участка обрезки необрезных пиломатериалов
определяется
по формуле:
,
где
- максимальное количество необрезных
досок, вмещаемых накопителем, шт.(
= 10 шт.);
- при
производительности обрезной системы 8 досок в минуту
= 60/8 =
7,5 с)
.
-коэффициент наложенных потерь
времени линии сортировки сырых пиломатериалов (с производительностью 20 досок в
минуту Тц=60/20=3 с) определяется по формуле:
,
.
Коэффициент технического
использования линии с рециркуляцией брусьев
составит:
Коэффициент технического
использования обрезных станков
определяется по формуле:
.
Примерная скорость подачи может быть
определена по следующим системам формул:
G0/d0 + G1 =
U0
G0/d1 + G1 =
U1
G0/120 + G1
= 50
G0/520 + G1
= 40
G0/520 -
G0/120 = 10= 1560= 37= G0/d + G1
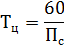
Tц - время
цикла распиловки бревна, мин,определяется по формуле:
,
где T1- время на
навалку, установку и закрепление бревна, (принимаем равным 20,6 с); Т2 - время
на поворот бревна-бруса, с (Т2=13,9 с); n - число
поворотов бревна-бруса (n=3); Z - число
резов, зависит от выбранного постава; Т3 - время на установку размера и подачу
бревна, бруса к пиле, с (Т3 = 5,4 с); Тр- время реза, (Тр=60Lср/U); Т4-время
на откатку, (Т4=60Lср/Uв); Uв=2U; Т5 - время
на сброс оставшейся части бревна (бруса) в конце их обработки, с (Т5 = 5).
Тогда для диаметра 12 см время цикла, мин, составит
Рассчитываем Км
для диаметра 12 см
Расчет фактической
производительности, м3/смена, участка пиления при распиловке бревен
диаметром 12 см и длиной 5,5 м равна
Число смен для распиловки бревен
диаметром 12 см составит, по формуле:
,
где
- сумма объемов бревен в 1000 м3

смен
Производительность участка и число
смен для распиловки других диаметров рассчитывается аналогично. По результатам
расчетов, представленным в табл.1, находится сумма числа смен, затрачиваемых на
распиловку 1000 м3 бревен при заданной кривой сырья,
, и
определяется среднесменная производительность,QфЛ/Ц , м3/смена,
по формуле:

м3/смена.
При двусменном режиме работы годовая
фактическая производительность лесопильного цеха, м3 бревен/год
определяется по формуле:
,
где
- количество смен (
= 2);
- годовой
фонд времени(
=250);
-коэффициент
загрузки лесопильного цеха;
- коэффициент учитывающий средне
годовые условия работы лесопильного цеха(
= 0,93);
-
коэффициент использования линии для сортировки досок с производительностью 90
досок/мин, по формуле
Коэффициент загрузки лесопильного
цеха
рассчитывается
по формуле:
.
Годовая фактическая
производительность лесопильного цеха, м3 бревен/год, составит по
формуле

м3 бревен/год.
Результаты расчетов по остальным
диаметрам представлены в таблице 1
Таблица 1- Результаты расчетов
Диаметр
бревна d, см Объем
бревна q,
Доли объема
в, % Объем бревен в, 1000
Доля бревен
в шт.число
бревенz
кол-во
проходовU
м/минQ,
/сменаЧисло
смен
|
n
|
|
|
|
|
|
|
|
|
|
|
12
|
0,081
|
0,28
|
2,765
|
3,414
|
34,14
|
6
|
12
|
42,42
|
0,065
|
|
14
|
0,11
|
3,41
|
34,071
|
30,974
|
309,74
|
7
|
14
|
51,70
|
0,659
|
|
16
|
0,14
|
6,19
|
61,934
|
44,239
|
442,39
|
4
|
16
|
88,91
|
0,697
|
|
18
|
0,175
|
8,00
|
79,998
|
45,713
|
457,13
|
9
|
18
|
68,34
|
1,171
|
|
20
|
0,21
|
10,81
|
108,060
|
51,457
|
514,57
|
11
|
20
|
70,49
|
1,533
|
|
22
|
0,25
|
11,75
|
117,480
|
46,992
|
469,92
|
11
|
22
|
83,18
|
1,412
|
|
24
|
0,3
|
11,31
|
113,120
|
37,707
|
377,07
|
12
|
24
|
93,05
|
1,216
|
|
26
|
0,35
|
10,29
|
102,850
|
29,386
|
293,86
|
12
|
26
|
107,92
|
0,953
|
|
28
|
0,41
|
8,83
|
88,304
|
21,538
|
215,38
|
15
|
28
|
105,91
|
0,834
|
|
30
|
0,47
|
7,24
|
72,367
|
15,397
|
153,97
|
13
|
30
|
135,06
|
0,536
|
|
32
|
0,53
|
5,73
|
57,277
|
10,807
|
108,07
|
13
|
32
|
151,53
|
0,378
|
|
34
|
0,6
|
4,41
|
44,071
|
7,345
|
73,45
|
15
|
34
|
153,00
|
0,288
|
|
36
|
0,67
|
3,29
|
32,922
|
4,914
|
49,24
|
17
|
36
|
153,86
|
0,214
|
|
38
|
0,74
|
2,44
|
24,424
|
3,301
|
33,01
|
11
|
38
|
237,92
|
0,103
|
|
40
|
0,82
|
1,75
|
17,539
|
2,139
|
21,39
|
14
|
40
|
218,77
|
0,080
|
|
42
|
0,9
|
1,28
|
12,761
|
1,418
|
14,18
|
18
|
42
|
195,60
|
0,065
|
|
44
|
0,99
|
0,90
|
9,011
|
0,910
|
9,10
|
18
|
44
|
214,86
|
0,042
|
|
46
|
1,08
|
0,64
|
6,401
|
0,593
|
5,93
|
15
|
46
|
271,00
|
0,024
|
|
48
|
1,18
|
0,45
|
4,505
|
0,382
|
3,82
|
13
|
48
|
330,65
|
0,014
|
|
50
|
1,28
|
0,32
|
3,205
|
0,250
|
2,50
|
17
|
50
|
289,09
|
0,011
|
|
52
|
1,39
|
0,69
|
6,915
|
0,497
|
4,97
|
18
|
52
|
299,10
|
0,023
|
|
|
|
|
|
|
|
|
|
10,316
|
Вывод
Принимаем лесопильный цех с 4
круглопильными станками позиционно-проходного типа фирмы Kara и обрезным
станком, которые обеспечивают годовую фактическую производительность
лесопильного цеха
=41977 м3
бревен/год.
5.
Расчет цикловой производительности сортировочной линии.

бр/см
Где Qфл/ц-
фактическая производительность лесопильного цеха.
Кс-коэффициент повышения
производительности комплексной линии по сравнению со средней
производительностью лесопильного цеха (Кс=1,1÷1,2)
qср- объем
бревна среднего диаметра, м3
Тг -годовой фонд времени
работы комплексной лини, в смену.
Киок.бс -
коэффициент использования комплексной линии.

-коэффициент технического
использования комплексной линии.

- коэффициент загрузки комплексной
линии.
- планируемые простои линии, мин(
= 30 мин);
-случайные простои линии, мин(
= 24 мин);
- время
простоев линии из-за неподач сырья, мин(
= 24 мин);
-
коэффициент межучасткового наложения случайных потерь оборудования окорки и
сортировки бревен.
Коэффициент
определяется
по формуле:
,
Где Еmax-количество
предметов труда вмещающих накопитель (Еmax=2÷12бр)
Тц- время цикла
определяется по формуле
Пс- пропускная
способность комплексной линии.
6.
Расчет процессов подготовки пиловочного сырья к обработке
Величина оперативного запаса А
при регламентированных и равных периодах работы лесопильных потоков в
основном равна сумме минимальных партий запуска, м3 пиловочника:
,
где Тn - период
работы (половина смены, смена и т.д.) лесопильного цеха, в течение которого на
бревнопильной линии (или линиях, специализированных на распиловке определенных
сортировочных групп бревен) производится обработка пиловочника одним поставом (Тn = 2);
- средняя
производительность бревнопильных линий, м3 бревен в смену;
- число
сортировочных групп бревен (
= 6).
,
где
- годовая фактическая
производительность лесопильного цеха, м3 бревен/год(
=41977 м3бр/год);
- число смен
работы цеха в течение года(
=500);
- количество
бревнопильных линий (
= 4).
Средняя производительность
бревнопильных линий, м3 бревен в смену равна

м3 бревен в смену
Величина оперативного запаса А равна

м3 бревен
Минимальная вместимость склада
рассортированного пиловочника, примерно равна, м3 бревен:
Е=(1,4…1,85)А
Е=(1,4…1,85)252 = 352,8 м3
Время накопления оперативного запаса
рассортированного пиловочника, смен:
где
- коэффициент использования
сортировочной линии;
- объем бревна
среднего диаметра и средней длины, м.; Пс - пропускная способность.
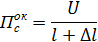
7. Определим производительность
окорочного станка
Где l- длина
бревна; (l=5,5 м);
Δl-
межторцовые раз-ры, (Δl=0,2 м)

-производительность окорочного
станка.
Определим соотношение пропускной
способности окорочного станка и цикловой производительностью
Перед сортировочной линией необходим
постоянный страховой запас З.

м3 бревен
Определим число карманов накопителя N
Где 
-количество сортировочных групп
бревен. 

-количество резервных карманов 

-количество карманов, в которых
находятся отбракованные бревна

-конечный карман, 
Вывод
Исходя из фактической
производительности, мы приняли автоматизированную линию для сортировки бревен
№1 с параметрами (таблица 5.1):
Таблица 5.1 -Параметры линии
|
Максимальная
производительность линии, шт.
|
Скорость
подачи, м/мин
|
|
бревен
в минуту
|
бревен
в смену
|
|
|
7…8
|
4000
|
60…72
|
Число карманов
8. Расчет производственных процессов
в лесопильном цехе
Определяем максимальную
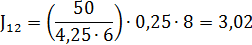
интенсивность поступления досок на участок обрезки по формуле:
,
где
- число необрезных досок; U - скорость
подачи при пилении бревен, м/мин; L - длина
распиливаемых равен (
); z -
количество резов;
-
коэффициент использования машинного времени принятый в расчете
производительности потока.
Для диаметра бревна 12 см.
интенсивность равна:
Для остальных диаметров
интенсивность считается аналогично, результаты представлены в таблице 2.
Таблица 2.- Интенсивность
поступления досок
|
d
|
z
|

|
|
|
12
|
6
|
8
|
3,02
|
|
14
|
7
|
8
|
2,71
|
|
16
|
4
|
-
|
-
|
|
18
|
9
|
8
|
2,25
|
|
20
|
11
|
16
|
3,87
|
|
22
|
11
|
16
|
3,83
|
|
24
|
12
|
8
|
1,79
|
|
26
|
12
|
24
|
5,33
|
|
28
|
15
|
24
|
4,46
|
|
30
|
13
|
32
|
6,62
|
|
32
|
13
|
32
|
6,59
|
|
34
|
15
|
32
|
5,88
|
|
36
|
17
|
40
|
6,61
|
|
38
|
11
|
24
|
5,56
|
|
40
|
14
|
24
|
4,61
|
|
42
|
18
|
40
|
6,26
|
|
44
|
18
|
40
|
6,25
|
|
46
|
15
|
24
|
4,34
|
|
48
|
13
|
24
|
4,84
|
|
50
|
17
|
40
|
6,50
|
|
52
|
18
|
32
|
4,96
|
|
6,62
|
Определим расчетную скорость
работы обрезного станка.
Где 
- расчетная скорость работы
обрезного станка.

-максимальная интенсивность
поступления досок к обрезному станку

-средняя длина пиломатериалов
поступающих на участок обрезки.
Определим требуемую скорость работы
обрезного станка 
Где 
-коэффициент машинного времени
обрезного станка.

-время обрезки одной доски.

-время укладки и ориентации доски, с
( 2 с )

-время ориентации пил, с ( 1 с )

-время ухода с передаточного стола,
с

время прохода доски до передних
вальцов, с
S-расстояние
от начала стола до передних вальцов , (0,6 м)
Определим цикловую
производительность обрезного станка в штуках обрезаемых досок в минуту по
формуле:

шт/мин
где
- пропускная способность обрезного
станка; 
- коэффициент использования
машинного времени обрезного станка;
- требуемая скорость подачи станка,
м/мин; 
- средняя
длина обрезаемых досок, м;
Вывод
По производительности выбираем
станок Ц2Д-7А с параметрами:
1) Ширина обработки, мм
60…500
2) Толщина обработки, мм
13…60
) Управление - ручное
) Скорость подачи, м/мин
80; 120; 100; 150;
) Рекомендуемая
производительность, шт./мин 12
9. Расчет интенсивности поступления
сырых пиломатериалов на сортировочную линию.
Определим среднюю интенсивность
поступления пиломатериалов из лесопильного цеха.
Где
-коэффициент технического
использования сортировочной линии ( 0,95 )

коэффициент загрузки лесопильного
цеха (0,95)
N
число бревнопильных потоков
n
число сортировочных групп бревен

пропускная способность головного
оборудования лесопильного цеха, бревен в минуту.

общее число досок выпиливаемых из
бревна

коэффициент использования машинного
времени.

коэффициент наложенных потерь

коэффициент использования
бревнопильной линии.

доля и сумма долей бревен i-ых
диаметров распиливаемой j-ой бревнопильной линией.
Таблица 3 - расчет выпиливаемых
досок в минуту
dбр см Qп Zдij Км Кn 
|
nд
|
|
|
|
|
12
|
1,515
|
3
|
0,25
|
0,96
|
0,0028
|
0,83
|
0,030
|
|
14
|
1,247
|
4
|
0,27
|
0,96
|
0,0341
|
0,83
|
0,512
|
|
16
|
2,127
|
1
|
0,21
|
0,96
|
0,0619
|
0,83
|
0,352
|
|
18
|
0,923
|
6
|
0,30
|
0,96
|
0,0800
|
0,83
|
1,906
|
|
20
|
0,740
|
8
|
0,33
|
0,96
|
0,1081
|
0,83
|
3,365
|
|
22
|
0,727
|
8
|
0,33
|
0,96
|
0,1175
|
0,83
|
3,953
|
|
24
|
0,659
|
9
|
0,34
|
0,96
|
0,1131
|
0,83
|
4,361
|
|
26
|
0,652
|
9
|
0,34
|
0,96
|
0,1029
|
0,83
|
4,253
|
|
28
|
0,516
|
12
|
0,36
|
0,96
|
0,0883
|
0,83
|
4,391
|
|
30
|
0,590
|
10
|
0,35
|
0,96
|
0,0724
|
0,83
|
3,574
|
|
32
|
0,585
|
10
|
0,35
|
0,96
|
0,0573
|
0,83
|
2,991
|
|
34
|
0,504
|
12
|
0,36
|
0,96
|
0,0441
|
0,83
|
2,601
|
|
36
|
0,442
|
14
|
0,37
|
0,96
|
0,0329
|
0,83
|
2,161
|
|
38
|
0,679
|
9
|
0,34
|
0,96
|
0,0244
|
0,83
|
1,535
|
|
40
|
0,531
|
11
|
0,36
|
0,96
|
0,0175
|
0,83
|
1,173
|
|
42
|
0,411
|
15
|
0,38
|
0,96
|
0,0128
|
0,83
|
1,004
|
|
44
|
0,410
|
15
|
0,38
|
0,96
|
0,0090
|
0,83
|
0,737
|
|
46
|
0,490
|
12
|
0,37
|
0,96
|
0,0064
|
0,83
|
0,510
|
|
48
|
0,563
|
10
|
0,36
|
0,96
|
0,0045
|
0,83
|
0,349
|
|
50
|
0,429
|
14
|
0,38
|
0,96
|
0,0032
|
0,83
|
0,291
|
|
52
|
0,404
|
15
|
0,38
|
0,96
|
0,0069
|
0,83
|
0,658
|
|
40,711
|
nд- количество досок
поступающих на линию сортировки, шт/мин
К основным технологическим
параметрам линий для торцовки и сортировки сырых досок относятся их пропускная
способность и число карманов.
Необходимая пропускная
способность и тип этих линий определяется в соответствии с найденной
интенсивностью выпиловки досок в минуту с учетом ее превышения на 15...20 %. В
смешанных процессах, когда толстые доски из пропиленной пласти бруса подвергают
выборочной торцовке и сортируют только по размерам их поперечных сечений, а
боковые доски торцуют окончательно и сортируют по сечениям и сортам, число
досок в минуту, поступающих от обрезных станков к контролерам качества для
определения сорта тонких пиломатериалов. Число карманов практически принимается
равным числу выпиливаемых сечений досок с увеличением на 15...20 %. Эти
дополнительные 2...3 кармана и являются резервными, куда переключается
поступление досок определенного сечения после наполнения закрепленного за ним
ранее кармана. После опорожнения последний становится резервным.
Число резервных
карманов-накопителей зависит также от типа линий. Например, в бункерных линиях
их количество может быть равно числу выпиливаемых сечений пиломатериалов.
В линиях типа ЛССА-18, где
производится выборочная торцовка сырых досок на торцовочных устройствах
проходного типа и автоматическая сортировка досок по сечениям, число карманов
Nкарм=Nсеч+Nзап+Nрез
Nкарм = 10+2+1= 13
Здесь 10 - число выпиливаемых
сечений пиломатериалов; 2 - число резервных карманов и 1 - резервный карман,
предназначенный для досок, посылаемых операторами в "отбой", и досок
не рассортированной системой управления линией по тем или иным причинам.
Вывод
Принимаем линию ЛССА-18 с
числом карманов 13, которая обеспечит необходимую пропускную способность.
10. Уточним нормативную пропускную
способность и режим работы линии

на 10%
11.Определение среднесменной
фактической производительности ЛООП по входу пиломатериалов

-время смены (480 мин)

-коэффициент технического
использования ЛООП

-коэффициент загрузки ЛООП
n-число
сечений досок , обрабатываемых при определенной пропускной способности линии.(n=10
сечений.)

-нормативная пропускная способность
ЛООП при обработке досок i-го сечения, досок в минуту (
= 60 досок
в минуту);

- объем досок i-го сечения

-доля досок i-го сечения,
обрабатываемых при определенной ni-ой пропускной способности
Коэффициент использования ЛООП
определяется
по формуле:
,
где
- планируемые простои ЛООП в течение
смены на осмотр механизмов, их регулировку, смазку, мин (
= 20 мин);
- случайные
простои ЛООП, мин (
= 24 мин);
-
Технологические потери времени на переходы линии на обработку партий
пиломатериалов другого сечения, мин,(
= 74 мин);
- сумма
потерь времени из-за отсутствия партий пиломатериалов определенных сечений,
вспомогательного транспорта и другие, связанные с загрузкой ЛООП, мин, (
= 24 мин);
Тс - продолжительность смены, мин(Тс =
480 мин);

м3/смену

м3/смену
12. Сменная производительность по
выходу пиломатериалов
Среднесменная фактическая
производительность ЛООП по выходу пиломатериалов в кондиционных транспортных
пакетах, т.е из досок одной длины, м3/смену определяется по формуле:
где
- коэффициент кондиционности
транспортных пакетов из досок одной длины в партии запуска.
Он определяется по формуле:
,
где
- объем кондиционных транспортных
пакетов из досок одной длины, бессортных и IV сорта, так
как только они, как правило, сортируются в пакеты одной длины, м3;
- объем
партии запуска пиломатериалов на линию, м3 (
= 1000 м3);
-
коэффициент кондиционности транспортных пакетов из бессортных досок и IV сорта.
Коэффициенты
,
,
,
,
характеризуют уменьшение выхода пиломатериалов в пакетах одной длины с линии
окончательной обработки из-за того, что доски V сорта,
внутреннего рынка и дилены не сортируются в пакеты одной длины, а также из-за
того, что из отрезков и остатков вообще не формируется никаких транспортных
пакетов.
Эти коэффициенты могут быть
определены по следующей системе формул:
,
где
- объем кондиционных транспортных
пакетов из досок одной длины, бессортных и VI-го сорта
(сортируемых в пакеты одной длины) - 324 м3-32,4%;
- объем
некондиционных транспортных пакетов из досок нескольких длин, бессортных и IV-го сорта -
36м3 - 3,6 %;
- объем
некондиционных транспортных пакетов из досок нескольких длин V-го сорта -
190 м3 - 19%;
- объем
некондиционных транспортных пакетов из досок, например, нескольких длин,
направляемых на внутренний рынок (отпад от экспорта) - 190 м3 - 19
%;
- объем
коротких досок-дилен, формируемых также в некондиционные пакеты из досок
нескольких длин, - 100м3 - 10%.
- объем отрезков от пиломатериалов,
получаемых в процессе обработки на комплексной линии ЛООП, - 110 м3
- 11%;
- остатков
пиломатериалов разных сортов, из которых невозможно сформировать пакеты с
заданными размерами поперечных сечений ни из досок одной длины, ни из досок
нескольких длин. - 50 м3 - 5%.
Коэффициент кондиционности
транспортных пакетов из досок одной длины в партии запуска равен:
.

годовой фонд времени (
Среднесменная фактическая
производительность ЛООП по выходу пиломатериалов равна:

м
/смена

шт/смена
Вывод
Мы приняли линию ЛООП:

м
/смена

м
/смена
Вывод
В настоящее время при развитии рыночной
экономики фактическая мощность предприятия должна рассчитываться по специальным
методикам, учитывая как рыночной образование, так и прочностные особенности
этого оборудования.
Выбрано малое лесопильное предприятие на базе
4-ех круглопильных станка позиционно-проходного типа фирмы Kara,
с фактической мощностью 41977 м3 бревен в год, пропускной
способностью Пс=0,7 бревен в минуту, время цикла Тц=85,7с.