Расчет параметров электропривода
1. Предварительный
расчет привода[3]
1.1 Определение потребной
мощности и выбор электродвигателя
Расчет мощности электродвигателя:
Расчет угловой скорости вращения вала ИМ:
Вычисление эквивалентного вращающего момента:
Вычисление номинального вращающего момента:
КПД привода:
Расчет частоты вращения вала исходного
механизма:
Определение максимального и минимального
передаточных отношений ступени:
Определение максимально и минимальной расчетной
частоты вращения вала электродвигателя:
1.2 Определение передаточного
отношения привода и его разбивка по ступеням передач
Исходя из расчетов выбираем два наиболее
подходящих двигателя:
1) 132М6/970;
; Р=7,5
кВт.
2) 160S8/730;
;
Р=7,5 кВт.
1) Находим
общее передаточное отношение привода:
Определяем передаточное отношение редуктора:
Проверяем точность разбивки общего передаточного
отношения:
Проверка выбранного двигателя:
2) Находим
общее передаточное отношение привода:
Определяем передаточное отношение редуктора:
Проверяем точность разбивки общего передаточного
отношения:
Проверка выбранного двигателя:

Выбираем электродвигатель 160S8/730.
|
№
валов
|
ni,об/мин
|
Pi, кBт
|
Ti, Н·м
|
|
1
|
|
|
|
|
2
|
|
|
|
|
3
|
|
|
|
1.3Составление таблицы исходных
данных
Номинальная расчетная мощность двигателя:
Проверка:
;
;
2. Предварительные
расчеты[6]
2.2 Выбор материала
Шестерня:
сталь 40ХН; диаметр 200 мм; толщина 125 мм; твердость 269…302HB;
термическая обработка улучшение;
Колесо:
сталь 40ХН; диаметр 315 мм; толщина 200 мм; твердость 235…262 HB;
термическая обработка улучшение;
2.3 Допускаемые
контактные напряжения
Шестерни:
Колеса:
2.4 Допускаемые
напряжения изгиба
Шестерни:

Колеса:
2.5 Допускаемое напряжение изгиба
зубьев при максимальной нагрузке
Шестерни:

Колеса:
3. Проектировочный
расчет
Шестерни:
Колеса:
3.2 Определение
величины зубчатого венца
Колеса
электродвигатель передача привод вал
Шестерни
3.3 Ориентировочное
значение модуля
3.4 Число зубьев
Шестерни
колеса

4. Расчет
геометрических и кинематических параметров передачи
4.1 Делительное
межосевое расстояние
4.2 Делительный
уголпрофиля в торцовом сечении
4.3 Угол смещения
при выполнении передачи со смещением
4.4 Коэффициент
суммы смещений
4.5 Начальный
диаметр
Шестерни
Колеса
4.6 Коэффициент
воспринимаемого смещения
4.7 Коэффициент
уравнительного смещения
4.8 Делительный
диаметр
Шестерни
Колеса
4.9 Диаметр вершин
зубьев
колеса
Шестерни
4.10 Диаметр впадин
Шестерни
Колеса
4.11 Основной
диаметр
Шестерни
Колеса
4.12 Коэффициент
торцевого перекрытия
4.13 Коэффициент
осевого перекрытия
4.14 Суммарный
коэффициент
4.15 Эквивалентное
число зубьев
Шестерни
Колеса
4.16 Окружная
скорость
5. Проверочные
расчеты передачи
5.1 Проверочный
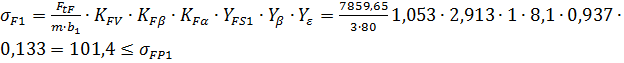
расчет на контактную выносливость
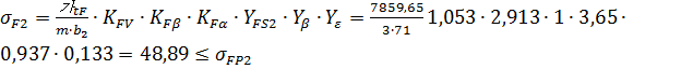
5.2 Расчет на контактную прочность
при действии максимальной нагрузки
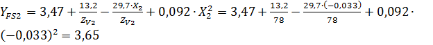
5.3 Расчет зубьев
на выносливость при изгибе
5.4 Расчет на
прочность при изгибе максимальной нагрузкой
6. Расчет усилий
зубчатого зацепления
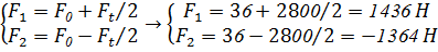
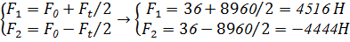
Окружное усилие
Радиальное усилие
Осевое усилие
7. Проектирование
валов[5]
7.1 Расчет
диаметров валов
Быстроходный
Тихоходный
7.2 Расчет валов на
прочность
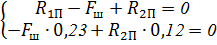
Быстроходный вал
г)
в)
п)
Тихоходный вал
г)
в)
п)
8. Расчет подшипников
8.1 Выбор типа подшипников
Выбираем подшипники шариковые радиальные
однорядные для обоих валов.
Подшипник 212 ГОСТ 8338-75
Размеры:
;
;
;
мм;
мм;
;
.
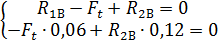
8.2 Проверка подшипников на заданный
ресурс
1)
2)
3)
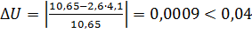
Расчетный ресурс больше требуемого
4)
9. Расчет открытой ременной передачи[4]
Шкив 1
Впокое
При нагрузке
Шкив 2
Впокое
При нагрузке
10. Расчет шпонок
Выбираем призматическую шпонку по ГОСТ 23360-78.
Быстроходный вал:
Диаметр вала d=45
мм
Выбираем призматическую шпонку l×b×h=40×14×9;
мм;
мм
Условие прочности на смятие:
;
Тихоходный вал:
Диаметр вала d=56
мм
Выбираем призматическую шпонку
l×b×h=56×16×10,
мм;
мм
Условие прочности на смятие:
;
Диаметр вала d=75
мм
Выбираем призматическую шпонку
l×b×h=63×22×14,
мм;
мм
Условие прочности на смятие:
;
.
11. Конструирование корпусных
деталей
При конструировании литой корпусной детали
стенки следует по возможности выполнять одинаковой толщины. Толщину стенок
литых деталей стремятся уменьшить до величины, определяемой условиями хорошего
заполнения формы жидким металлом. Поэтому чем больше размеры корпуса, тем толще
должны быть его стенки. Основной материал корпусов - серый чугун не ниже марки
СЧ15. Принимаем материалом корпуса чугун марки СЧ15.
Для редукторов толщину δ
стенки,
отвечающую требованиям технологии литья, необходимой прочности и жесткости
корпуса, вычисляют по формуле:
где T - вращающий момент на выходном
(тихоходном) валу, Н∙м.
Для увеличения запаса прочности принимает
.
Назначаем крепление крышки редуктора к корпусу
болтами.
Диаметр d(мм) болтов крепления крышки
принимают в зависимости от вращающего моментаТ (Н∙м) на выходном
валу редуктора:
Назначаем болты для крепления крышки редуктора и
корпуса М12 х1,25 ГОСТ 7796-70.
Шайбы под болты крепления крышки редуктора и
корпуса 12 65Г ГОСТ 6402-70.
Крышки подшипников изготавливают из чугуна марок
СЧ15, СЧ20. Принимаем материал крышек - чугун марки СЧ20.
Различают крышки приветные и закладные. Выбираем
закладной тип крышек.
Определяющими при конструировании крышек
является диаметр D отверстия в корпусе под подшипник.
13. Расстояния между деталями
передач
Чтобы поверхности вращающихся колес не задевали
за внутренние поверхности стенок корпуса, между ними оставляют зазор
"а", (мм)
где L - расстояние между внешними поверхностями
деталей передач, мм.
Вычисленное значение a округляют в большую
сторону до целого числа. Расстояние b0 между дном корпуса и
поверхностью колес или червяка для всех типов редукторов и коробок передач
принимают b0 ≥ 3a.
В нашем случае:b0 = 30 мм.
Список используемой литературы
1. Дунаев П.Ф., Леликов О.П.,
Конструирование узлов и деталей машин: Учеб.пособие для техн. спец. вузов. -
6-е изд., исп. - М.: Высш. шк., 2000. - 447 с., ил.
. Анурьев В. И. Справочник
конструктора - машиностроителя. В 3-х томах. Т.1. - 6е изд., перераб и доп. -
М.: Машиностроение, 1982. - 736с.:ил.
. Методические указания к курсовому
проекту по деталям машин - "Предварительный расчет привода" Мехаев
М.Б. Омск-2005г. 44с.
. Бельков В.Н., Захарова Н.В.,
Детали машин и основы конструирования. Передачи. Учеб. Пособие - Омск: Изд-во
ОмГТУ, 2010. - 164с.
. Решетов Д.Н. Детали машин учебник
для студентов машиностроительных специальностей - 4-е изд., перераб. и доп. -
М.: Машиностроение, 1989. - 496 с.: ил.
. Добровольский В.П., Расчет
цилиндрических зубчатых передач внешнего зацепления. Методические указания.
Омск, 1994г. 21с.