Розрахунок і проектування механізмів авіаційних двигунів
МІНІСТЕРСТВО ОСВІТИ І НАУКИ УКРАЇНИ
Запорізький національній технічний
університет
КАФЕДРА "Деталі машин і ПТМ”
ПОЯСНЮВАЛЬНА ЗАПИСКА
До курсового проекту з ТММ:
"Розрахунок і проектування
механізмів авіаційних двигунів"
Виконав: ст. гр. М - 714 Меркулов В.Г
Перевірив доцент: Коляда О.Ф.
Запоріжжя 2006 р
Реферат
Пояснювальна записка містить ____ сторінку, 2
таблиці, 4 рисунка, 3 графічних листа форматом А1, А2, А1.
Мета роботи:
- Розрахувати і
спроектувати головний редуктор турбогвинтового авіадвигуна
- Розрахувати
передаточне відношення трьома методами: аналітичним, енергетичним та графічним
- Оптимізувати
редуктор для його подальшого використання в якості головного редуктора
авіадвигуна
- Розрахувати
динаміку встановленого руху і вибігу ротора
- Розрахувати
геометричні розміри і якісні показники зовнішнього зубчатого зачеплення
Зміст
Вступ
1. Опис роботи механізмів авіадвигуна і вимог до них
2. Початкові дані для розрахунку
3. Визначення передаточного відношення та частот обертання
зубчастих коліс редуктора
3.1 Визначення передаточних відношень головного редуктора методом
Віліса
3.2 Визначення передаточного відношення головного редуктора
енергетичним методом
3.2 Визначення передаточного відношення і частот обертання коліс
редуктора
4. Оптимізація параметрів редуктора
5. Силовий розрахунок редуктора
6. Визначення механічного к. к. д. редуктора
7. Розрахунок розгону ротора турбогвинтового двигуна
7.1 Рішення задачі розгону ротора
7.2 Рішення задачі вибігу ротора
7.3 Рішення задачі сталого руху ротора
8. Розрахунок геометричних параметрів та якісних показників
зачеплення циліндричних евольвент них зубчатих коліс
Список використання джерел
Вступ
Ведучою галуззю сучасної техніки є
машинобудування. За рівнем розвитку машинобудування судять про розвиток
продуктивних сил у цілому. Прогрес машинобудування у свою чергу визначається
створенням нових високопродуктивних і надійних машин. Рішення цієї
найважливішої проблеми ґрунтується на комплексному використанні результатів
багатьох наукових дисциплін і, у першу чергу, теорії машин і механізмів. Теорія
машин і механізмів - це наука про загальні методи дослідження властивостей
механізмів і машин і проектування їхніх схем.
Редуктор - це механізм, який складається з
зубчатих або черв’ячних коліс, який служить для передачі обертаючого моменту
від двигуна до робочого (виконавчого) механізму. Призначення редуктора є
зміщення частоти обертання та підвищення обертального моменту відомого вала.
Об’єктом курсового проекту є механізми
турбогвинтових авіаційних двигунів (ТГАД), які мають турбіну, компресор,
головний редуктор, гвинт та передачі до агрегатів. При роботі двигуна,
обертання від турбіни передається до валу компресора, далі до головного
редуктора, вихідний вал якого з’єднаний з гвинтом.
1.
Опис роботи механізмів авіадвигуна і вимог до них
Редуктор виконується за схемою диференційованого
планетарного механізму і призначається для забезпечення необхідних оборотів
повітряного гвинта (дозвукових скоростей обтікання гвинта повітрям на його
периферії). Основна силова частина редуктора з-коштує з планетарної ступіні,
ступіні перебору, вала повітряного гвинта і механізму виміри крутильного
моменту.
Лобовий картер являє собою литу деталь, що
створює своїми стінками вихідний канал повітряного тракту двигуна. У порожнечах
і напливах лобового картера рас-покладені приводи до всіх агрегатів,
установлених на ньому.
Компресор призначений для стиску повітря і
передачі його в камеру згоряння. Він складається з двох основних вузлів: ротора
з робочими лопатками і корпуса з направляючими апаратами.
Камера згоряння призначена для збільшення
ентальпії і температури завдяки згорянню газу. Камера згоряння повинна
непохитно, без зривів і загасання, працювати на всіх рас-парних режимах роботи
двигуна.
редуктор авіадвигун турбогвинтовий головний
2.
Початкові дані для розрахунку
Дано: m = 10 мм, Z1=Z4 = 37, Z2=Z5 = 42, ω0 = 1550 с-1.
Числа зубців коліс Z3 і Z6 знаходимо із
співвідношення:
Момент інерції
= 6,0 кгм
Момент інерції
= 18 кгм
Момент інерції
= 6,0 кгм
Момент інерції
= 260 кгм
Номінальний момент сили
= 260 Нм
Номінальний момент сили
= 650 Нм
Номінальний момент сили
= 1100 Нм
Початкові дані руху 1550
Рис. 1 - Головний редуктор 3Б (АИ-20)
3.
Визначення передаточного відношення та частот обертання зубчастих коліс
редуктора
3.1
Визначення передаточних відношень головного редуктора методом
Віліса
Розглядаємо тип редуктора
3 Б, варіант 8.
Визначення загального передаточного відношення редуктора здійснюється з
використанням метода зворотного руху для диференціальної частини (колеса Z1/Z4)
(1)
та передаточного відношення для рядової частини (колеса Z4/Z6)
(2)
З урахуванням умови
,
і рівнянь (1), (2) маємо
Висновок:
по даним розрахункам видно, що редуктор не задовольняє вимогам редукторів авіадвигунів.
3.2
Визначення передаточного відношення головного редуктора енергетичним методом
Дано: m = 10 мм, Z1=Z4 = 37, Z2=Z5 = 42, ω0 = 1550 с-1.
Числа зубців коліс Z3 і Z6 знаходимо із
співвідношення:
Так як
і
різних
знаків, в редукторі виникають циркулюючі моменти потужності і
тому схему 3Б8 змінюю на схему 1А8 з
відношенням
;
Висновок:
енергетичний метод збігається з аналітичним, а це говорить пор те, що редуктор не задовольняє потребам.
Рис. 2 - Схема головного редуктора та картина швидкостей
двигуна (3Б)
Із рисунка 3Б маємо
.
Враховуючи залежність
, також відношення
;
;
;
.
Висновок:
числове значення
графічного методу не відрізняється від
аналітичного та енергетичного методу, таким чином вказуючи на високу точність
4.
Оптимізація параметрів редуктора
Оптимальні параметри
редуктора (схема 1А, варіант 8) визначаються із наступних умов:
1. На
гвинті повинна бути забезпечена дозвукова швидкість, при прийнятих діаметра
гвинта d=4.5 м., число обертів гвинта і кутова
швидкість не повинні перевищувати
< 1051
,
< 110
.
Тоді модуль передаточного відношення не повинен бути менше
заданої величини
,
Де
- кутова швидкість турбіни вибирається в
залежності від варіанта завдання.
2. В
редукторі не повинно бути циркулюючої потужності, при виконанні цієї умови
знаки крутних моментів на виходах основного і замикаючого контурів повинні бути
одинакові
3. В редукторі повинен виконуватись заданий розподіл
потужності по контурам. При виконанні цієї умови, модуль відношення крутних
моментів на виходах основного і замикаючого контурів повинен дорівнювати
заданій величині
.
Вибір числа зубців коліс редуктора виконується на основі
енергетичного методу розрахунку
де
- передаточне відношення основного
контура при нерухомому замикаючому контурі
;
- передаточне відношення замкнутого
контура при нерухомому основному контурі
для даного редуктора (схема 1А, варіант 8) маємо
Виконання умови (2) забезпечується зміною числа зовнішніх
зачеплень у замикаючому контурі. Для даної схеми ця умова виконується.
Виконання умови (1) і (3) забезпечується підбором числа
зубців коліс. Однозначність рішення визначається найменшими розмірами
редуктора. При цьому допускається коректування заданого значення k Для даної схеми, при
,
маємо систему рівнянь.
Приймемо
, тоді маємо:
;
Розв’язавши систему рівнянь маємо що
Прийнявши
, маємо:
Маємо новий редуктор з новими числами зубців коліс:
5.
Силовий розрахунок редуктора
Розглядаємо тип редуктора lA, варіант
8. Силовий аналіз механізма розглядається при сталому режимі роботи (
= const). У початкових даних використовуються:
момент на входному валі редуктора -
,
радіуси ділильних кіл коліс
. Приймаємо,
що модулі усіх зубчастих коліс одинакові. Числа зубців коліс пов'язані
співвідношенням
. При розрахунках сили тертя в зубчатому
зачепленні та підшипниках не враховуються. Розглядаються тільки тангенційні
сили, що забезпечують передачу крутного моменту. Сили, що діють на колеса,
визначаються із умови рівноваги ланок.
Рис. 3 - Схема силового розрахунку редуктора
Із умови рівноваги сил, що діють на колесо 1, визначаємо
. Із умови рівноваги сил, що діють на
сателіт 2, маємо
. Із умови рівноваги блока коліс 3,4
визначаємо
. Тоді, момент сил на водилі Mh дорівнює
, а сила на колесі 4
. Далі, і умови рівноваги колеса.5 визначаємо F65 =F 45;
F56 = - F65. Тоді, момент сил на колесі 6 дорівнює
У цьому випадку моменти сил на водилі h і колесі 6 мають одинакові напрямки
і співпадають з напрямком моменту
. Сумарний момент на вихідному валі редуктора дорівнює
Знайдена величина сумарного моменту сил на вихідному валі
редуктора дорівнює моменту сил на вхідному валі помноженому на передаточне
відношення редуктора (додаток Б), що говорить про відсутність циркулюючих
потужностей в редукторі.
Якщо підставити числові значення характеристик редуктора
1А, варіант 8, то отримаємо
В даному випадку, враховуючи, що кутові швидкості водила і
колеса 6 одинакові, потужність, яка йде водилом становить, 6/14.100%=42,9%, а потужність, яка йде
шостим колесом 8 /14.100%=57,1%.
6.
Визначення механічного к. к. д. редуктора
Розрахунок к. к. д.
виконується на прикладі редуктора lA, варіант 8. Механічний к. к. д. може бути
знайденим за допомогою формули
де
- потужність на вході редуктора,
- потужність, яка йде на тертя в
кінематичних парах.
Потужність
складається
із потужності, яка втрачається в зачепленні зубчатих коліс
, та потужності, яка втрачається у
підшипниках
Для сателітних механізмів потужність в зачепленні пари
зубчатих коліс дорівнює додатку момента, який передається колесом, та кутової
швидкості цього колеса відносно водила. Для механізмів з нерухомими осями коліс
потужність в зачепленні пари коліс дорівнює додатку момента, який передається
колесом, та кутової швидкості цього колеса. Загальна потужність втрат в
зачепленні дорівнює сумі потужностей втрат у кожній парі колес. Практично, якщо
загальний к. к. д. редуктора
>0.8, то
можна приймати значення потужності в
зачепленні, не враховуючи к. к. д.
Для редуктора lA, варіант 1 потужність
втрат в зачепленні дорівнює
де
- моменти сил на колесах 1, 2, 3, 4, 5;
- коефіцієнт витрат (для шліфованих коліс
=0.01).
Витратами в підшипниках
нехтуємо. Тоді, механічний к. к. д. редуктора

Рис. 4 - Схема жорсткого ротора авіадвигуна
7.1
Рішення задачі розгону ротора
При розгоні жорсткого ротора на нього діють моменти сил
опору від гвинта
, компресора
та момент рушійних сил від стартера
. В загальному випадку моменти сил на
компресорі та гвинті будуть пропорційними квадрату кутової швидкості, і
дорівнюють кутовим швидкостям
при досягненні номінальної швидкості обертання
номінальна кутова швидкість турбіни, причому
, що виконується при сталому режимі
роботи.
Із умови рівняння кінетичної енергії реального і умовного
механізмів визначаємо зведений до валу турбіни момент інерції ротора
Зведений до валу турбіни момент сил визначається із умови
рівняння потужностей моментів сил реального і умовного механізму.
Використовуючи рівняння руху в диференціальній формі, маємо
Рівняння вирішується методом розподілу змінних величин. При
початкових умовах t = 0
рішення має такий вигляд
Максимальна швидкість ротору буде
7.2
Рішення задачі вибігу ротора
При вибігу ротора на нього діють моменти сил
опору від гвинта та компресора:
Зведений момент інерції ротора визначається по формулі (6),
а зведений до валу турбіни момент сил має вигляд
Використовуючи рівняння руху у диференціальній формі, маємо
Рівняння вирішується методом підстановки при початкових
умовах t = 0
7.3 Рішення
задачі сталого руху ротора
При сталому режимі руху діють рушійні сили від турбіни
, компресора
та гвинта
. Діючі моменти приймаються постійними і дорівнюють номінальним
значенням. Додатково на гвинт діє змінний момент величиною
з частотою
.
Зведений момент інерції ротора визначається по формулі, а
зведений до валу турбіни момент сил має вигляд
Використовуючи рівняння руху у диференціальній формі, та
враховуючи, що
, маємо
Рівняння вирішується при початкових
Програма розрахунку жорсткого ротора
складена в MathCAD
8.
Розрахунок геометричних параметрів та якісних показників зачеплення
циліндричних евольвент них зубчатих коліс
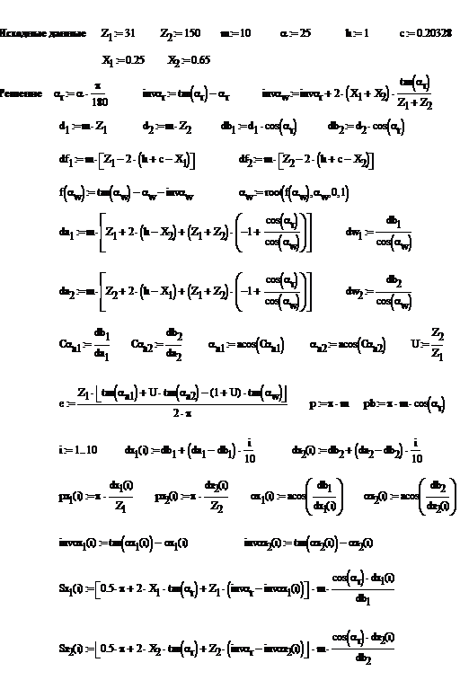
Таблиця 1 - Перелік початкових даних
|
№
|
Параметр
|
Позначення
|
Значення
|
|
1
|
Число зубців
|
Шестерня
|
Z1
|
31
|
|
|
Колесо
|
Z2
|
31
|
|
2
|
Модуль
|
m
|
12
|
|
3
|
Початковий
контур
|
Кут
профілю
|
α
|
25
|
|
|
Коефіцієнт
висоти головки зуба
|
ha*
|
1
|
|
|
Коефіцієнт
радикального зазору
|
c*
|
0.20328
|
|
4
|
Коефіцієнт
зміщення
|
У
шестерні
|
X1
|
0.25
|
|
|
У
колесі
|
X2
|
0.25
|
Таблиця 2 - Формули для розрахунків
|
№
|
Формула
|
|
1
|
Кут зачеплення
|
|
|
2
|
Діаметри
ділильних кіл, мм
|
|
|
3
|
Діаметри
основних кіл, мм
|
|
|
4
|
Діаметри
кіл западин, мм
|
|
|
5
|
Діаметри
кіл вершин, мм
|
|
|
6
|
Діаметри
початкових кіл, мм
|
|
7 Коефіцієнт торцового перекриття
8 Коефіцієнти питомих ковзань на колах діаметра dx
|
|
|
|
9
|
Крок по
ділильному колі, мм
|
|
|
10
|
Крок по
основному колі, мм
|
|
|
11
|
Товщина
зуба колеса на колі діаметром dx, мм
|
|
|
12
|
Крок по
колі діаметром dx, мм
|
|
|
13
|
Ширина
западин по колі діаметром dx, мм
|
|
Програма розрахунку зубчастого зачеплення
складена в MathCAD
Висновок: виконання курсового проекту сприяло закріпленню
та поглибленню теоретичних знань з курсу "Теорія механізмів і машин"
шляхом вирішення задачі кінематичного, силового та енергетичного розрахунків,
динаміки, оптимізації механізмів авіаційного двигуна та синтезу його елементів.
Список
використання джерел
1. Артоболевский
И.И. Теория механизмов и машин. - М.: Наука, 1988. - 640 с.
2. Теорія
механизмов / под ред.
Гавриленко В.А. - М.: Высшая школа, 1973. - 610 с.
3. Авиационные
зубчатые передачи и редукторы. - М.: Маш., 1981 - 400 с.
. Методичні
вказівки до виконання курсового проекту з теорії механізмів і машин
‘’Розрахунок і проектування авіаційних двигунів’’ / Укл.: О.Ф. Коляда -
Запоріжжя: ЗНТУ, 2004. - 36 с.