Розрахунок підшипників редуктора
Зміст
1. Визначення кінематичних і
силових параметрів приводу
. Проектний розрахунок
циліндричної прямозубої передачі
. Розрахунок валів редуктора
.1 Розрахунок ведучого вала
редуктора
.2 Визначення параметрів
веденого вала редуктора
.3 Визначення параметрів
ведучого вала редуктора
. Розрахунок підшипників
редуктора
.1 Розрахунок підшипників
ведучого вала
.2 Визначення параметрів
підшипників веденого вала
.3 Визначення параметрів
підшипників ведучого вала
. Розрахунок плоскопасової
передачі
. Коротка характеристика
редуктора
Список використаної літератури
1. Визначення кінематичних і силових
параметрів приводу
Дані для розрахунку:
потужність двигуна,
;
частота обертання вала двигуна,
;
передаточне число зубчастої
передачі,
;
передаточне число плоскопасової
передачі,
;
Використовуючи ці дані необхідно
визначити:
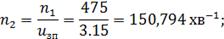
частоти та кутові швидкості
обертання валів привода;
обертові моменти на валах привода.
Визначення частот і кутових
швидкостей обертання валів привода.
Вал двигуна (вал ведучого шківа
плоскопасової передачі):
Ведучий вал редуктора (вал веденого
шківа плоскопасової передачі):
Ведений вал редуктора:
Визначення обертових моментів на
валах привода.
Вал двигуна (вал ведучого шківа
плоско пасової передачі):
Ведучий вал редуктора:
де
-
коефіцієнт корисної дії плоскопасової передачі (приймаємо
);
- коефіцієнт
корисної дії пари підшипників кочення (приймаємо
).
Тоді:
Ведений вал редуктора (тихохідний
вал):
де
-
коефіцієнт корисної дії зубчастої передачі (приймаємо
).
Тоді:
2. Проектний розрахунок циліндричної
прямозубої передачі
Проекційний розрахунок проводиться
для попереднього визначення розмірів зубчастої передачі.
Дані для розрахунку:
обертовий момент на ведучому валу
редуктора,
частота обертання ведучого вала
редуктора,
передаточне число зубчастої
передачі,
Метали для зубчастих коліс. На
підставі рекомендованих марок сталей, які використовуються для виготовлення
зубчастих коліс [5], [7], вибираємо такі сталі:
для шестерні - сталь 55 з твердістю
за шкалою Брінеля HB = 350;
для колеса - сталь 45 з твердістю за
шкалою Брінеля HB = 290;
Міжосьова відстань зубчастої
передачі
визначається
з умови забезпечення контактної витривалості зубців передачі і розраховуються
за формулою:
підшипник редуктор
кінематичний прямозубий
де
-
коефіцієнт, який для прямозубої передачі приймається
- розрахунковий
обертовий момент, який приймаємо:
- коефіцієнт
нерівномірності розподілу навантаження по довжині зубця; при виконанні курсової
роботи приймаємо
- коефіцієнт
ширини зубчастих коліс, значення якого регламентується стандартом. При
виконанні курсової роботи коефіцієнт
можна
вибирати з таких рекомендованих значень: 0,315; 0,4; 0,5; 0,63. Приймаємо
- допустиме
контактне напруження при розрахунку зубчастої передачі.
Для шестерні і зубчастого колеса
напруження
визначаються за
формулою:
де
-
границі контактної витривалості для матеріалів шестерні та зубчастого колеса,
які визначаємо за формулами:

- мінімальний
коефіцієнт запасу міцності, які при відсутності поверхневого зміцнення
поверхонь зубців шестерні та зубчастого колеса приймаються рівними:
- коефіцієнт
довговічності, які, з метою спрощення розрахунків, наближено визначаються за
залежностями:
де N - номер варіанта завдання на
курсову роботу (N = 18), тому:
Тоді допустимі контактні напруження,
для шестерні:
для зубчастого колеса:
За розрахункове значення допустимого
контактного напруження приймається менше з цих двох значень, тобто:
Міжосьова відстань прямої зубчастої
передачі:
За табл. Д 1.1 (додаток 1) обираємо
Модуль m зубчастих коліс
визначається в залежності від твердості робочих поверхонь зубців шестерні і
колеса [5], [7]. Для вибраних вище матеріалів шестерні і колеса твердість
складає:
шестерня - HRC = 38 (HB = 350 daH/
);
зубчасте колесо - HB = 290 daH/
;
Для цих значень твердості модуль
розраховується за формулою:
Приймаємо стандартний модуль m = 2
мм (табл. Д1.2, додаток 1).
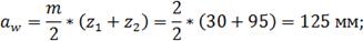
Кількість зубців шестерні та колеса
визначаємо за формулами:
Приймаємо
Приймаємо
Перевіряємо відповідність міжосьової
відстані вибраному стандартному значенню (
:
Перевіряємо відхилення фактичного
передаточного числа зубчастої передачі від стандартного (стандартні значення
передаточних чисел
наведені в додатку
1, табл. Д1.3). Фактичне передаточне число:
відхилення фактичного передаточного
числа зубчастої передачі допускається (
),
оскільки допустиме відхилення складає
Параметри зубчастих коліс і
передачі:
ділильні діаметри:
діаметри вершин зубців:
діаметри впадин зубців:
ширина зубчастих вінців колеса та
шестерні:
3. Розрахунок валів редуктора
.1 Розрахунок ведучого вала редуктора
Дані для розрахунку:
розрахунковий обертовий момент на
валу,
ділильний діаметр шестерні,
ширина зубчастого вінця шестерні,
З метою спрощення і зменшення об’єму
курсової роботи приймаємо, що навантаження на вал від шківа плоскопасової
передачі відсутнє.
На підставі схеми редуктора, яка
наведена в завданні на виконання курсової роботи, складаємо конструктивну схему
ведучого вала, яка зображена на рис 1.
Рис 1. Схема ведучого вала і сили,
що діють на його шестерню
Для визначення відстаней між опорами
вала і площиною симетрії шестерні приймаємо згідно з рекомендаціями:
ширину підшипників,
відстань, на яку рекомендується
«втоплювати» підшипники в корпусі редуктора,
відстань між торцями шестерні і
внутрішніми стінками редуктора,
Оскільки шестерня розташована
симетрично відносно опор, то достатньо розрахувати відстані a i L.
Приймаємо
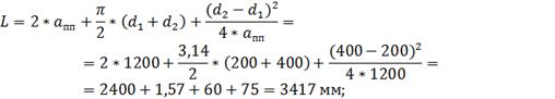
Відстань між опорами вала:
Сили, які діють на вал, прикладені в
полюсі зацеплення зубчастої передачі.
Тангенціальна сила:

Радіальна сила:
де
-
кут зачеплення,
Сила
направлена
до осі обертання ведучого вала.
Вал, при розрахунку, розглядається
як балка, розташована на двох опорах і навантажена зосередженими силами та
обертовим моментом. Розміщення опор приймається посередині підшипників. Сили,
що діють на вал в результаті взаємодії зубців шестерні із зубцями зубчастого
колеса веденого вала, вважаються прикладеними посередені маточин деталей. О
Обертовий момент,що передається валом, діє від середини маточини веденого шківа
плоскопасової передачі до площини дії радіальної сили
Зображуємо схему сил, які діють на
ведучий вал у вертикальній площині (рис. 2а). При цьому, площину, в якій діє
радіальна сила
приймаємо за
І-ий розрахунковий переріз. Для
визначення реакції на опорі А у вертикальній площині записуємо рівняння
рівноваги моментів всіх сил відносно опори В (якщо момент сили діє відносно
точки опори проти годинникової стрілки, то йому присвоюють знак «+», а якщо за
годинниковою стрілкою - знак «-»):
Звідси реакція опори А:
Для визначення реакції на опорі В
записуємо рівняння рівноваги моментів всіх сил відносно опори А:
Звідси реакція опори В:
Перевірка: (записуємо суму
радіальних сил і реакцій на вертикальну вісь, вважаючи їх позитивними, якщо
вони скеровані вверх і навпаки):
Визначаємо згинальний момент у
вертикальній площині в перерізі І:
Будуємо епюру згинальних моментів у
вертикальній площині (рис. 2б). Оскільки реакції
і
згинають
балку вниз, то епюра від’ємна (розташована під горизонтальною лінією).
Зображуємо схему сил, які діють на
вал у горизонтальній площині (рис. 2в). Для визначення реакції на опорі А у
горизонтальній площині записуємо рівняння рівноваги моментів всіх сил відносно
опори В:
Звідси реакція опори А:
Для визначення реакції на опорі В
записуємо рівняння рівноваги моментів всіх сил відносно опори А:
Звідси реакція опори В:
Перевірка:
Визначаємо згинальний момент у
горизонтальній площині в перерізі І вала:
Будуємо епюру згинальних моментів у
горизонтальній площині (рис. 2г). Оскільки реакції
і
згинають
балку в низ, то епюра від’ємна (розташована під горизонтальною лінією).
Визначаємо сумарні радіальні реакції
опор:
Реакції опор
і
будуть
використані в подальшому при розрахунку підшипників кочення.
Визначаємо сумарний згинальний
момент, що діє на вал у перерізі:
Будуємо епюру сумарного згинального
моменту, який діє на вал (див рис. 2д).
Крім згинального моменту вал також
навантажений обертовим моментом
, який діє від
шківа плоскопасової передачі до перерізу І.
Будуємо епюру обертового моменту (
),
(див. рис. 2е).
Визначаємо зведені моменти, що
навантажують вал. При цьому враховуємо, що обертовий момент
діє
лише ліворуч від перерізу І і не переходить через цей переріз (тобто праворуч
від перерізу І момент
дорівнює нулю).
Тому:
на консольній ділянці вала ( до
січення, що проходить через опору А вала):
зліва від перерізу І:
справа від перерізу І:
Будуємо епюру зведених моментів
(див. рис. 2ж).
Ця епюра показує, що найбільш
навантаженим є переріз І вала, де діє найбільший зведений момент:
Визначаємо мінімальний діаметр вала,
приймаючи, що вал виготовляється із сталі 45 (термообробка - нормалізація):
В цій формулі
-
допустиме напруження згину для вибраного матеріалу валу у випадку закономірнних
навантажень.
З врахування діаметра
вибираємо
діаметр шийки під підшипник
за каталогом
підшипників (додаток 1, табл. Д1,4).
Приймаємо
.
Діаметри інших шийок вала
визначаються з умови забезпечення осьової фіксації вала та вільного проходження
деталей при збиранні.
.2 Визначення параметрів веденого
вала редуктора
За методикою спрощеного проектного
розрахунку валів діаметр вихідної консольної ділянки
веденого
вала визначаємо за формулою:
де
-
розрахунковий обертовий момент веденого вала;
- допустиме
напруження кручення, значення якого приймається заниженим (для сталі 45 після
нормалізації
менші значення
використовуються для ведучих валів, а більші - для ведених).
Розрахункове значення
узгоджуються,
в залежності від схеми привода, з посадочними діаметрами муфт, шківів або
зірочок.
Приймаємо
Діаметри шийок вала під манжету
та
підшипник
вибираються за
умовами (рис. 3.3):

Після уточнення діаметра шийки під
підшипник
за каталогом
підшипників (додаток 1, табл. Д1,4), приймаємо:
Діаметри інших шийок вала
визначаються з умови забезпечення осьової фіксації вала та вільного проходження
деталей при збиранні.
.3 Визначення параметрів ведучого
вала редуктора
За методикою спрощеного проектного
розрахунку валів діаметр вхідної консольної ділянки
ведучого
вала визначаємо за формулою:
де
-
розрахунковий обертовий момент веденого вала;
- допустиме
напруження кручення, значення якого приймається заниженим (для сталі 45 після
нормалізації
менші значення
використовуються для ведучих валів, а більші - для ведених).
З врахуванням діаметра
вибираємо
діаметр шийки під підшипник
(рис. 3.3) за
каталогом підшипників (додаток 1, табл. Д1.4).
Приймаємо:
Діаметри інших шийок вала
визначаються з умови забезпечення осьової фіксації вала та вільного проходження
деталей при збиранні.
4. Розрахунок підшипників редуктора
.1 Розрахунок підшипників ведучого
вала
Підбираємо підшипник кочення
ведучого вала за наступними даними:
радіальне навантаження на опорі А,
радіальне навантаження на опорі В,
частота обертання вала,
термін служби привода,
діаметр шийки вала під підшипник
.
Оскільки осьва сила в цій зубчастій
передачі відсутня, то вибираємо кулькові однорядні радіальні підшипники. Для
таких підшипників еквівалентне динамічне навантаження Р розраховується за
формулою:
де V - коефіцієнт обертання; якщо
внутрішнє кільце підшипника, то
- радіальне
навантаження на підшипник, в якості якого приймається більша з реакцій на
опорах вала; у даному випадку реакції на опорах рівні, тому приймаємо:
- температурний
коефіцієнт (приймаємо
);
- коефіцієнт
безпеки (приймаємо
);
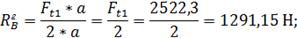
Еквівалентне динамічне навантаження:
Визначаємо базове динамічне
навантаження:
За табл. Д1.4 технічних
характеристик кулькових однорядних радіальних підшипників (див. додаток 1)
вибираємо підшипник легкої серії №305, для якого: С = 25,5 кН; d = 20 мм;
зовнішній діаметр D = 62 мм; ширина В = 17 мм.
За метою спрощення розрахунків і
зменшення об’єму курсової роботи, перевірку підшипників за статичною
вантажністю не проводимо.
.2 Визначення параметрів підшипників
веденого вала
Параметри підшипників веденого вала
визначаємо за спрощеною методикою, а саме - методикою « попереднього вибору
підшипників ».
Тип і серія підшипників вибираються
такими ж, як і для підшипників ведучого вала.
Діаметри внутрішніх кілець
підшипників дорівнюють визначеним в розділі 3.2 діаметрам шийок цих валів під
підшипник:
За табл. Д1.4 технічних
характеристик кулькових однорядних радіальних підшипників (див. додаток 1)
видираємо підшипник середньої серії № 108, для якого: внутрішній діаметр d = 40
мм; зовнішній діаметр D = 68 мм; ширина B = 15 мм.
.3 Визначення параметрів підшипників
ведучого вала
Параметри підшипників веденого вала
визначаємо за спрощеною методикою, а саме - методикою « попереднього вибору
підшипників ».
Оскільки осьова сила в цій зубчастій
передачі відсутня. то вибираємо кулькові однорядні радіальні підшипники легкої
серії діаметрів.
Діаметри внутрішніх кілець
підшипників дорівнюють визначеним в розділі 3.2 діаметрам шийок цих валів під
підшипник:
Інші конструктивні параметри підшипників
вибираємо з табл. Д1.4 (додаток 1) технічних характеристик кулькових однорядних
радіальних підшипників.
Остаточно вибрано: кулькові
однорядні радіальні підшипники легкої серії №204; внутрішній діаметр d = 20 мм;
зовнішній діаметр D = 47 мм; ширина B = 14 мм.
5. Розрахунок плоскопасової передачі
Дані для розрахунку:
обертовий момент на валу ведучого
шківа плоскопасоваї передачі,
частота обертання вала ведучого
шківа,
;
передаточне число плоскопасової
передачі,
Знаходимо діаметр ведучого шківа
передачі:
де
-
потужність на валу ведучого шківа передачі, яку можна розрахувати за формулою:
Після підстановки одержуємо:
За табл. Д1.7 (додаток 1) вибираємо
стандартний діаметр шківа
і товщину паса
Діаметр веденого шківа передачі
визначаємо з врахуванням коефіцієнта пружного ковзання
Приймаємо
Тоді:
Приймаємо за ГОСТ 17383 -
Тоді
фактичне передаточне число плоскопасової передачі:
Визначаємо міжосьову відстань
плоскопасової передачі:
Приймаємо
Довжина паса передачі:
Кут охоплення пасом ведучого шківа
передачі визначається за формулою:

Оцінюємо довговічність паса за
числом його пробігів і:
що менше допустимого
Після перевірки передачі за
параметрами
та і приходимо до
висновку, що плоско пасова передача є працездатною.
6. Коротка характеристика редуктора
Тип редуктора - одноступеневий
циліндричний прямозубий редуктор.
Компонувальні розміри:
довжина
ширина
висота
Змащування. Зубчасті колеса змащуються
занурюванням їх у мастило. Тип мастила - (ИРП - 150), об’єм мастила - 5 л.
Підшипники змащуються за рахунок
розбризкування мастила, яке знаходиться в корпусі редуктора.
Мастило заливають через оглядову
кришку люка, в якій передбачена ручка - віддушина.
Для заливу мастила передбачена
заливна пробка.
Контроль рівня мастила здійснюється
за допомогою масло вказівника.
Забезпечення геометричності.
Геометричність рухомих та нерухомих
з’єднань забезпечується за допомогою прокладок та гумових армованих манжет.
Транспортування редуктора.
Для підйому і транспортування
редуктора на ребрах кришки корпуса передбачені спеціальні отвори.
Рис. 2. Епюра моментів ведучого вала
циліндричного редуктора
Список використаної літератури
1. Малишенко В.О., Янків В.В.
Деталі машин. Курсове проектування: Навчальний посібник. - Львів: «Новий світ -
2000», 2006. - 252 с.
. Киркач Н.Ф., Баласанян Р.А.
Расчет и проектирование деталей машин. - Харьков: Основа, 1991. - 276 с.
. Цехнович Л.И., Петриченко
И.П. Атлас конструкций редукторов: Учебное пособие. - К.: Вища школа, 1990. -
151 с.
. Дунаев П.Ф., Леликов О.П.
Конструирование узлов и деталей машин. Учебное пособие для техн. спец. вузов. -
М.: Высшая школа, 2000. - 447 с.
. Дем’янюк В.А. Деталі машин і
основи конструювання. Конспект лекцій. -К.: НТУ, 2007. - 228 с.
. Атлас конструкцій редукторів
і методичні вказівки до виконання курсового проекту з дисципліни «Деталі машин
і основи конструювання». / Укладачі: Дем’янюк В.А., Шукшин М.П., Клюс В.П.,
Гудзовський І.А. - К.: НТУ, 2009. - 44 с.
. Методичні вказівки до
розрахунку циліндричних зубчастих прередач в курсових проектах з дисципліни
«Деталі машин і основи конструювання» та «Деталі машин і підйомно-транспортне
обладнення» / Укл. Шукшин М.П., Матейчик В.П., Павлюк Р.Г., Левківський С.А. -
Київ: НТУ, 2007. - 68 с.
. Методичні вказівки до
розрахунку конічних і черв’ячних передач при виконанні курсового проекту з
дисципліни «Деталі машин і основи конструювання» та «Деталі машин і
підйомно-транспортне обладнення» / Укл. Шукшин М.П., Матейчик В.П. - Київ: НТУ,
1999. - 44 с.
. Методичні вказівки до
розрахунку валів і підшипників кочення редукторів загального призначення в
курсовому проектуванні. / Укл. Шукшин М.П., Левківський С.А., Клименко Ю.М. -
Київ: НТУ, 2009. - 86 с.
. Методичні вказівки до
розрахунку пасових і ланцюгових передач в курсовому проектуванні. / Укл. Шукшин
М,П., Павлюк Р.Г. - К.: НТУ, 2005. - 42 с.
. Методичні вказівки і таблиці
для вибору параметрів прямозубих циліндричних зубчастих передач. / Укладач:
Дем’янюк В.А. - К.: НТУ, 2010. - 36 с.