|
Планирование
потребности предприятия торговли в оборотных средствах
|
|
I этап
|
Анализ
экономических предпосылок планирования оборотных средств
|
|
Пэтап
|
Нормирование
оборотных средств торгового предприятия
|
|
III этап
|
Определение
плановых источников финансирования прироста потребности предприятия в
оборотных средствах
|
|
IV этан
|
Оценка плановой
эффективности использования оборотных средств
|
|
V этап
|
Разработка
плана мероприятий по достижению плановой потребности и эффективности
использования оборотных средств торгового предприятия
|
Рисунок 2. - Этапы планирования оборотных
средств предприятия торговли
На первом этапе планирования оборотных
средств предприятия торговли осуществляется изучение и анализ экономических
предпосылок планирования, основными из которых являются следующие:
изучение законодательной, нормативной
литературы по вопросам учета, анализа оборотных средств предприятия в целом и
отдельных их составляющих элементов;
результаты комплексного анализа состояния
и эффективности использования оборотных средств предприятия торговли в динамике
за ряд предшествующих лет; выявление тенденций и особенностей развития
оборотных средств исследуемого предприятия;
- изучение и анализ предполагаемых
изменений в условиях внутренней среды предприятия торговли (расширение
(ограничение) материально-технической базы предприятия и увеличение (снижение)
объемов его деятельности; изменения в политике управления дебиторской и
кредиторской задолженности; изменение целей и стратегии деятельности
предприятия на потребительском рынке и т.п.);
- изучение и оценка предполагаемых
изменений во внешней среде деятельности предприятия торговли (изменение
конъюнктуры рынка потребительских товаров; изменение уровня цен, ставок,
тарифов; налоговые изменения; изменения в условиях товародвижения и
товароснабжения и т.п.);
- оценка плановых значений товарооборота и
товарных запасов по общему объему и структуре и др.
На втором этапе планирования потребностей
предприятия торговли в оборотных средствах осуществляется нормирование
оборотных средств, представляющее собой определение их плановой потребности на
будущий период.
На третьем этапе планирования оборотных
средств предприятия торговли осуществляется выявление и плановая оценка
источников финансирования прироста потребностей предприятия в оборотных
средствах на основе осуществления плановых расчетов всех основных показателей
торговое финансовой деятельности предприятия в будущем периоде.
Определение плановой величины каждого
источника финансирования оборотных средств определяется исходя из
запланированной потребности предприятия торговли в приросте оборотных средств и
финансовых показателей деятельности предприятия в будущем периоде.
Для финансирования прироста плановой
потребности в средствах предприятие использует прежде всего собственные
средства в виде плановой части чистой прибыли и предполагаемой нераспределенной
прибыли. Доля запланированной чистой прибыли, направленной на финансирование
прироста собственных оборотных средств предприятия, определяется исходя из
общего размера чистой прибыли в будущем периоде, фактического норматива
финансирования собственных средств в оплате товаров за ряд предшествующих лет и
предполагаемого его изменения в будущем периоде, первоочередных потребностей
предприятия торговли в приросте основных фондов и оборотных средств в
планируемом периоде и ряда других факторов.
Для финансирования прироста оборотных
средств в планируемом периоде могут также использоваться приравненные и
собственные средства в виде устойчивых пассивов, включающих в себя в
предприятиях торговли минимальную задолженность по заработной плате и
отчислениям на социальные нужды; задолженность покупателям по товарам, принятым
на комиссию; резерв предстоящих расходов и платежей в будущем периоде.
Минимальная задолженность по заработной
плате рассчитывается по следующей формуле:
Где Ззп - минимальная задолженность по
заработной плате работникам, тыс. руб.
tв - день выдачи
заработной платы;
tн - день начисления
заработной платы;
ФЗП - фонд заработной платы работников
предприятия, тыс. руб.;
t - количество дней в
периоде.
где Сесн - ставка единого социального
налога, %.
Минимальная задолженность по отчислениям на социальные нужды
(Зсоц) в рамках уплаты единого социального налога, рассчитываемая по
установленному законодательством проценту отчислений от минимальной
задолженности по заработной плате:
При недостатке собственных и приравненных
к ним средств для финансирования прироста собственных оборотных средств
предприятие может использовать для этих целей заемные средства в форме
краткосрочных кредитов и займов, а также привлеченные средства в форме
кредиторской задолженности и прочих средств.
На четвертом этапе планирования оборотных
средств предприятия торговли осуществляется расчет и оценка показателей
эффективности использования оборотных средств исходя из запланированных
основных показателей рентабельности предприятия в будущем периоде.
Для оценки эффективности использования
плановой суммы оборотных - средств в будущем периоде можно использовать
следующую систему показателей.
. Время обращения оборотных средств (оборачиваемость
оборотных средств в днях) показывает продолжительность одного оборота среднего
размера оборотных средств в днях и рассчитывается по следующей формуле:
ОС - средний размер оборотных средств предприятия, тыс. руб.;
Р - объем оборота по розничной реализации, тыс. руб.;
t - количество дней в периоде, дни;
Рдн - среднедневной оборот по розничной реализации, тыс. руб.
Средний размер оборотных средств предприятий торговли
рассчитывается по формуле среднехронологической моментного ряда:
Средний размер оборотных средств предприятий торговли
рассчитывается по формуле среднехронологической моментного ряда:
. Скорость обращения оборотных средств (коэффициент
оборачиваемости) показывает число оборотов, совершаемых средним размером
оборотных средств за определенный период:
Чем короче период оборачиваемости в днях,
тем больше кругооборотов проходят оборотные средства, тем меньше потребность в
них.
Показатели оборачиваемости оборотных
средств могут исчисляться по всем оборотным средствам, участвующим в обороте, и
по отдельным элементам.
Изменение оборачиваемости средств является путем
сопоставления фактических показателей с плановыми или показателями
предшествующего периода. В результате сравнения показателей оборачиваемости
оборотных средств является ее ускорение или замедление.
При ускорении оборачиваемости оборотных
средств из оборота высвобождаются материальные ресурсы и источники их
образования, при замедлении - в оборот вовлекаются дополнительные средства.
. Коэффициент эффективности использования
оборотных средств показывает объем валовой прибыли предприятия, приходящийся на
единицу оборотных средств:
где П - размер валовой прибыли
предприятия, тыс. руб.
В ходе анализа эффективности использования
оборотных средств торгового предприятия целесообразно также рассчитать
абсолютное и относительное высвобождение (вовлечение) оборотных средств.
Абсолютное высвобождение имеет место, если фактические
остатки оборотных средств меньше норматива или остатков предшествующего периода
при сохранении или превышении объема реализации за рассматриваемый период.
Абсолютное высвобождение оборотных средств
предприятия показывает снижение (повышение) общего объёма оборотных средств в
отчётном году по сравнению с прошлым годом и рассчитывается по следующей
формуле:

Вабс - абсолютное высвобождение (вовлечение) оборотных средств
предприятия, тыс. руб.;
ОС1 - средний размер оборотных средств в отчётном году,
тыс. руб.;
ОС0 - средний размер оборотных средств в
предыдущем году, тыс. руб.
Относительное высвобождение оборотных средств имеет место в
тех случаях, когда ускорение их оборачиваемости происходит одновременно с
ростом производственной программы предприятия, причем темп роста объема
производства опережает темп роста остатков оборотных средств.
Относительное высвобождение оборотных
средств торгового предприятия наступает в случае, когда темпы роста
товарооборота опережают темпы роста оборотных средств, и рассчитывается по
формуле
где Ов, - время обращения оборотных средств в отчетном году, дни;
Ов2 - время обращения оборотных средств в прошлом году, дни;
Рднс/с - среднедневной оборот розничной торговли
отчетного года по себестоимости, тыс. руб.
Положительное значение этих показателей будет говорить о
вовлечении средств в оборот и наоборот, отрицательное значение будет показывать
сумму высвобожденных из оборота средств.
На последнем, пятом этапе планирования оборотных средств
предприятия торговли осуществляется разработка плана мероприятий по обеспечению
достижения плановой потребности в оборотных средствах в целом и по отдельным
видам и запланированной эффективности их использования.
Целью нормирования оборотных средств предприятия торговли является
определение оптимального размера оборотных средств для обеспечения эффективного
осуществления предприятием своей торгово-финансовой деятельности. Основными
задачами нормирования оборотных средств предприятия являются следующие:
0
расчет
размера оборотных средств, необходимых для обеспечения непрерывной и ритмичной
работы предприятий торговли с минимально необходимым размером средств;
1
установление
зависимости между потребностью в оборотных средствах и основными показателями
деятельности предприятия с учетом специфики его работы;
- обеспечение эффективности повышения
использования оборотных средств предприятия.
При нормировании оборотных средств
используются такие понятия, как норма и норматив оборотных средств.
Норма оборотных средств выражается в
относительных единицах (днях, руб. на одного работника и т.д.).
Норматив оборотных средств представляет
собой оптимальную потребность торгового предприятия в оборотных средствах в
стоимостном выражении для нормальной торгово-финансовой деятельности.
Нормирование оборотных средств предприятия
торговли осуществляется в несколько этапов (рис. 4)
Рисунок 4 - Этапы нормирования оборотных
средств предприятия торговли
Рассмотрим нормирование оборотных средств
предприятий торговли по каждому направлению.
. Нормирование оборотных средств,
авансированных в товарные запасы.
Норматив товарных запасов - это
оптимальный размер запасов, выражающий собой такой их уровень к обороту
розничной торговли, который обеспечивает возможность практически бесперебойной
продажи товаров при наименьших затратах на образование, хранение и управление
ими в конкретных условиях работы с учетом прогрессивных тенденций развития.
Основные показатели при нормировании
товарных запасов - это норма и норматив товарных запасов. Норма товарных
запасов представляет относительный показатель, рассчитываемый в днях. Норматив
товарных запасов устанавливается в абсолютных размерах (натуральных и денежных
единицах) и рассчитывается по формуле:
НормативТЗ = Нтз х Рдн
Существует два понятия норматива товарных
запасов:
. норматив, как запас, необходимый для
обеспечения бесперебойной реализации с целью наиболее полного удовлетворения
объема и структуры покупательского спроса;
. норматив, как товарный запас,
обеспечивающий формирование товарных запасов по регионам, в зависимости от
условий их жизнедеятельности, а также по предприятиям, периодам года, в
пространстве и времени.
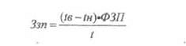
Норма товарных запасов состоит го:
торгового запаса (Зторг);
страхового (резервного) запаса (Зстрах);
запаса на время приемки и подготовки (Вп)
товаров к продаже; Торговый запас состоит из двух частей:
рабочего запаса, который должен находиться
в торговом зале для показа имеющихся в продаже товаров и непосредственного отпуска
покупателям (Зраб):
где А - количество ассортиментных
разновидностей, которыми торгует предприятие, ед.;
Ц - средняя цена единицы товара, тыс. руб.
запаса пополнения, предназначенного для
обеспечения продажи товаров в период между поставками (Зпоп):
где Ч - частота завоза товаров на
предприятие, раз;
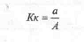
Кк - коэффициент комплектности, который
рассчитывается отношением количества разновидностей товаров, поступающих в
одной партии (а) к общему количеству ассортиментных разновидностей (А):
Страховой запас устанавливается по каждой
группе товаров в процентах ко всему запасу из следующего расчета: по
невзаимозаменяемым товарам - в размере до 100% товарных запасов; по отдельным
продовольственным и непродовольственным товарам - до 50%. В пределах этих
размеров отношение страхового запаса к торговому дифференцируется в зависимости
от конкретных условий торговли.
Время на приемку и проверку качества
товаров, подготовку их к продаже устанавливается на основании данных изучения
затрат времени на эти операции, а также с учетом опыта и дальнейшей
рационализации приемки и подготовки товаров к продаже.
Оборот розничной торговли по себестоимости
рассчитывается следующим образом:
а) определяем удельный вес себестоимости в
розничной цене товара:
Уд.в.с/с = 100 - Ут.н. + Уиоост,
где Уд.в.с/с - удельный вес
себестоимости в розничной цене, %; Ут.н. - уровень реализованной торговой
наценки, %;
Уиоост - уровень издержек
обращения на остаток товаров, %;
б) рассчитаем оборот розничной
торговли по себестоимости среднедневный:
где t - число дней в периоде,
дни.
. Нормирование оборотных средств,
авансированных в денежные средства в кассе и в пути.
а) норматив оборотных средств,
авансированных в денежные средства в кассе, представляет собой лимит кассы,
необходимый для обеспечения определенных размеров остатков денежных средств в
кассе торгового предприятия для выдачи сдачи покупателям после инкассации
выручки и осуществления неотложных расходов.
Норма денежных средств в кассе
рассчитывается отношением лимита кассы к среднедневному товарообороту в
розничных ценах;
б) норматив денежных средств в пути
рассчитывается исходя из особенностей инкассации торговой выручки. Например,
если выручка сдается в конце рабочего дня, то норматив денежных средств в пути
равен 1 дню (для обработки документов и зачисления денежных средств на счет
предприятия).
Определяется общая норма денежных средств
в кассе и пути и рассчитывается норматив оборотных средств, авансированных в
денежные средства в кассе и пути по формуле
НормативОСдс = Ндс - Рдн,
где Норматив ОСдс - норматив оборотных
средств, авансированных в денежные средства в кассе и пути, тыс. руб.;
Ндс - норма денежных средств в кассе и
пути, дни;
Рдн - оборот среднедневной в розничных
ценах, тыс, руб.
. Нормирование оборотных средств,
авансированных в прочие активы.
Норматив прочих активов рассчитывается по
каждому элементу только в суммовом выражении. Рассчитаем несколько нормативов
по прочим активам:
а) норматив оборотных средств,
авансированных в хозяйственный инвентарь.
Первоначально рассчитывается норматив
инвентаря в эксплуатации:
Норматив ИЭ - (Ср - И) - Рм,
где Ср - стоимость набора инвентаря на
одно рабочее место, тыс. руб.;
И - сумма износа инвентаря за период, тыс.
руб.;
Рм - количество рабочих мест.
Затем определяется норматив инвентаря на
складе:
где Норматив Искл, - норматив
инвентаря на складе, тыс. руб.;
К - доля инвентаря на складе в процентах к
нормативу инвентаря в эксплуатации, %.
На конечном этапе определяется общий
норматив инвентаря как сумма норматива инвентаря в эксплуатации и норматива
инвентаря на складе:
Норматив И - Норматив Иэ + Норматив Ист,
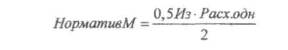
б) норматив упаковочных материалов
рассчитывается по формуле
где Из - интервал завоза упаковочных
материалов, дни;
Расх. одн. - среднедневной расход
упаковочных материалов, тыс. руб.;
в) норматив расходов будущих
периодов, рассчитываемый как остаток расходов на начало планового периода плюс
расходы будущих периодов в плановом периоде минус расходы, которые будут
списаны на издержки обращения в плановом периоде, и т.д.
Общий норматив оборотных средств,
авансированных в прочие активы, рассчитывается путем суммирования
вышерассмотренных нормативов:
НормативОСПА = НормативИ + НормативыМ +
Нормативрасходов будущих периодов
После проведения расчетов определяется
совокупный норматив оборотных средств:
Норматив ОС = Норматив ОСтз+Норматив
ОСдс+НормативОСпа
Расчет норматива собственных оборотных
средств является третьим этапом нормирования оборотных средств торгового
предприятия и показывает минимальный размер собственных средств, необходимый
для непрерывной реализации товаров и выполнения обязательств перед субъектами
рынка.
2. Задача
Предприятие планирует реализовать
продукции на сумму 2630 тыс. руб., в том числе НДС 400 тыс. руб. Фактическая
себестоимость продукции составит по плановым расчетам 1040 тыс. руб.,
управленческие расходы - 80 тыс. руб., коммерческие расходы - 35 тыс. руб.
Предприятием будут уплачены проценты по
кредиту в размере 24,6 тыс. руб., получены дивиденды по акциям 47 тыс. руб.,
начислен налог на имущество - 7 тыс. руб.
В результате реализации продукции по
экспортным поставкам в плановом периоде предприятие планирует получить
положительную курсовую разницу из-за колебаний валютного курса в размере 3,6
тыс. руб.
Определить валовую прибыль, прибыль от
продаж, прибыль до налогообложения и чистую прибыль.
прибыль планирование оборотный нормирование
Решение:
1) Рассчитаем валовую прибыли торгового предприятия
-400-1040 = 1190 тыс. руб.
) Определим прибыль от продаж:
-80-35=1075 тыс. руб.
) Рассчитаем прибыль до налогообложения
- 24,6+47-7 +3,6 = 1094 тыс. руб.
) Найдем налог на прибыль
*20/100 = 218,8 тыс. руб.
) Рассчитаем чистую прибыль
-218,8 = 875,2 тыс. руб.