Тригонометрическая и показательная форма комплексного числа
Задание 1
,Z2 - комплексные числа. Выполнить действия
А)Z1+Z2, Б)Z1*Z2, В)Z1/Z2
Задание: Z1=3+2i, Z2=-3+4i
Решение:
А)
Z1+Z2=(3+2i)+(-3+4i)=(3-4)+(2+4)i=-1+6i
Б)
Z1*Z2=(3+2i)*(-3+4i)=3*(-3)-6i+12i+8i2=(-9-8)+(-6+12)i=-17+6i
В)
Z1/Z2=(3+2i)/(-3+4i)=(3*(-3)+2*4)/((-3)2+42)+((2*(-3)-3*4)/(-3)2+42))i=
(-9+8)/(9+16)+((-6-12)/(9+16))i=-1/25-(18/25)i
Задание
2
Записать комплексное число в тригонометрической
и показательной формах.
Решение: комплексное число на комплексной
плоскости находится в 4 четверти.
Запишем комплексное число в тригонометрической
форме:
|Z|=√(x2+y2) = √(12 +(-1)2 ) = √2
,
argZ=arctg x/y= arctg(-1)=-π/4
Z=1-i=√2(cos(-π/4)+isin(-π/4))
Запишем комплексное число в показательной форме:
e iφ
= cos φ
+ i sin φ=
|z|·e i arg z = |z|·e i arg z = |z|·e i·φ
Так, Z = √2e(-π/4)i
Задание 3
Вычислить указанные пределы, не используя
правило Лопиталя.
Задание:
Решение:
Задание 4
Найти производные функции.
=3x2-arcsin x+1/x5
Решение:
Б) y = ln(x3+3x)
Решение:
tgx
В) y = -----
x2
Решение:
г) y=(3x-4)6
Решение:
((3x-4)6)` = 6(3x-4)5 * (3x-4)` = 6(3x-4)5 8
((3x)`+ (-4)`) = 63x (3x-4)5ln3
Задание 5
С помощью дифференциала найти приближенное
значение функции
Решение:
А)Ln0.13(x+∆x) ≈ f(x)+f `(x)∆x.13
≈ f(1)+f `(1)*(-0.87) =0+1*(-0.87) = -0.87
Б)sin610(x+∆x) ≈ f(x)+f `(x)∆x
sin 610 ≈ sin 600+(sin 600)`*
(sin 10) = sin π/3
+ cos π/3
* π/180
= √3/2+1/2*π/180
= √3/2+π/360 = 0.8746
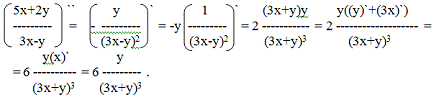
Задание 6
Для функции z=f(x,y) найти частные производные
первого и второго порядков.
Задание:
5x+2y
Z = -----------
3x-y
Решение:
Задание 7
Вычислить неопределенные интегралы.
А) ∫xe-3xdx
Решение:
∫xe-3xdx = ∫(- 1/3∙xe-3x)d(-3x)
= -1/3∫xe-3xd(-3x) = 1/3∫xd(e-3x) = -1/3∙xe-3x+1/3∫e-3xdx
= -1/3∙xe-3x+1/3∫(-1/3∙e-3x)d(-3x) = -1/9∫e-3xd(-3x)-1/3∙xe-3x
= -1/9∙e-3x-1/3∙xe-3x = -1/9∙e-3x(1+3x)
Задание 8
Решить задачи комбинаторики.
Коллектив, включающий 4 женщин и 3 мужчин,
разыгрывает 4 билета в театр. Какова вероятность того, что среди обладателей
билетов окажется 2 женщины и 2 мужчины?
Решение:
Пусть А - событие, которое необходимо
найти.число сочетаний из 7 элементов по 4.
женщин из 4 можно выбрать С24 способами.
мужчин из 3 можно выбрать С23 способами.
Задание 9
комбинаторика производная
материальный затраты
Рассчитать с помощью межотраслевого балансового
метода следующие показатели:
Коэффициенты прямых материальных затрат.
Коэффициенты полных затрат.
Коэффициенты косвенных затрат.
Сбалансированные объемы производства в каждом
цехе (валовой оборот), исходя из запланированного объема конечной продукции.
Трудовые затраты в каждом цехе на плановый
период.
Затраты сырья и материалов на плановый период.
Величины материальных потоков между цехами.
На следующий год планируется выпуск товарной
продукции 1-го цеха увеличить на 50%, а в остальных цехах оставить без
изменения.
Построить баланс производства и распределения
продукции на плановый период.
Проверить выполняется ли основное соотношение
баланса.
|
Наименование
показателей
|
Внутрипроизводственное
потребление по цехам
|
Внутризаводской
оборот
|
Товарная
продукция
|
Валовой
оборот
|
|
№1
|
№2
|
№3
|
|
|
|
|
Цех
№1
|
10
|
10
|
20
|
40
|
60
|
100
|
|
Цех
№2
|
30
|
25
|
0
|
55
|
45
|
100
|
|
Цех
№3
|
20
|
0
|
30
|
50
|
150
|
200
|
|
Сырье
и основные материалы, тыс. руб.
|
200
|
400
|
500
|
|
|
Затраты
труда, тыс. нормо-час.
|
100
|
150
|
200
|
|
Найдем матрицу полных затрат В=(Е-А)-1

Матрица косвенных затрат первого порядка А(1) =
А2. Используя правило умножения матриц, получим:
Так как планируется увеличить выпуск продукции
1-го цеха на 50%, то вектор-столбец объемов конечного потребления имеет вид:
Найдем объемы производства:
Найдем распределение продукции каждого цеха по
другим цехам:
=0,1*138+0,1*116+0,1*211+90
=0,3*138+0,25*116+0*211+45
=0,2*138+0*116+0,15*211+150
=14+12+21+90
=42+29+0+45
=28+0+32+150
Таким образом, баланс производства и
распределения продукции на плановый период имеет вид:
|
Наименование
показателей
|
Внутрипроизводственное
потребление по цехам
|
Внутризаводской
оборот
|
Товарная
продукция
|
Валовой
оборот
|
|
№1
|
№2
|
№3
|
|
|
|
|
Цех
№1
|
14
|
12
|
21
|
47
|
90
|
137
|
|
Цех
№2
|
42
|
29
|
0
|
71
|
45
|
116
|
|
Цех
№3
|
28
|
0
|
32
|
60
|
150
|
210
|
Рассчитаем затраты труда на плановый период по
каждому цеху:= (100,150,200) - вектор затрат труда за отчетный период
= 100 - валовой оборот отчетного периода
Коэффициенты затрат труда
= 100/100=1= 150/100 = 1.5= 200/200 = 1
Следовательно, вектор коэффициентов затрат труда
имеет вид:
=(1;1,5;1)
`= 116 - валовой оборот планового периода
` = 1*137=137` = 1.5*116 = 174` = 1*210 = 210
` = (137;174;210) - вектор затрат труда на
плановый период.
Рассчитаем затрат сырья и материалов на плановый
период в каждом цехе.
Ф = (200;400;500) - вектор затрат сырья и
материалов за отчетный период.
100= 100 - валовой оборот отчетного периода.
Коэффициенты затрат сырья и материалов:
= 200/100 = 2= 400/100 = 4= 500/200 = 2.5
Вектор коэффициентов затрат сырья и материалов
имеет вид:
=(2;4;2,5)
`= 116 - валовой оборот планового периода
Затраты сырья и материалов:
Ф1`= 137*2 = 274
Ф2`= 116*4 = 464
Ф3`= 210*2.5 = 525
Окончательный баланс на плановый период имеет
вид:
|
Наименование
показателей
|
Внутрипроизводственное
потребление по цехам
|
Внутризаводской
оборот
|
Товарная
продукция
|
Валовой
оборот
|
|
№1
|
№2
|
№3
|
|
|
|
|
Цех
№1
|
14
|
12
|
21
|
47
|
90
|
137
|
|
Цех
№2
|
42
|
29
|
0
|
71
|
45
|
116
|
|
Цех
№3
|
28
|
0
|
32
|
60
|
150
|
210
|
|
Сырье
и основные материалы, тыс. руб.
|
274
|
464
|
525
|
|
|
|
|
Затраты
труда, тыс. нормо-час.
|
137
|
174
|
210
|
|
|
|
Задание 10
Определить, используя оптимальное планирование
(симплексный метод), какой ассортимент товара надо выпускать, чтобы прибыль
была максимальной.
|
Вид
ресурса
|
Затраты
ресурса на единицу товара
|
Запас
ресурса
|
|
1
|
2
|
3
|
|
|
Сырье,
кг.
|
4
|
2
|
2
|
200
|
|
Рабочая
сила, ч.
|
2
|
0
|
4
|
200
|
|
Оборудование,
станко-час.
|
6
|
4
|
8
|
500
|
|
Прибыль,
руб.
|
5
|
2
|
4
|
|
Определим максимальное значение целевой функции
(X) = 5x1+2x2+4x3 4x1+2x2+2x3≤200
x1+4x3≤200
x1+4x2+8x3≤500
В 1-м неравенстве смысла (≤) вводим
базисную переменную x4. В 2-м неравенстве смысла (≤) вводим базисную
переменную x5. В 3-м неравенстве смысла (≤) вводим базисную переменную
x6.
x1 + 2x2 + 2x3 + 1x4 + 0x5 + 0x6 = 200
x1 + 0x2 + 4x3 + 0x4 + 1x5 + 0x6 = 200
x1 + 4x2 + 8x3 + 0x4 + 0x5 + 1x6 = 500
Матрица коэффициентов A = a(ij) этой системы
уравнений имеет вид:
А = 204010
Решим систему уравнений относительно базисных
переменных:, x5, x6,
Полагая, что свободные переменные равны 0,
получим первый опорный план:= (0,0,0,200,200,500)
|
Базис
|
В
|
x1
|
x2
|
x3
|
x4
|
x5
|
x6
|
|
x4
|
200
|
4
|
2
|
2
|
1
|
0
|
0
|
|
x5
|
200
|
2
|
0
|
4
|
0
|
1
|
0
|
|
x6
|
500
|
6
|
4
|
8
|
0
|
0
|
1
|
|
F(X0)
|
0
|
-5
|
-2
|
-4
|
0
|
0
|
0
|
Переходим к основному алгоритму симплекс-метода.
Итерация №0.
Текущий опорный план неоптимален, так как в
индексной строке находятся отрицательные коэффициенты.
В качестве ведущего выберем столбец,
соответствующий переменной x1, так как это наибольший коэффициент по модулю.
Вычислим значения Di по строкам как частное от
деления: bi / ai1
и из них выберем наименьшее:
Следовательно, 1-ая строка является
ведущей.
Разрешающий элемент равен (4) и
находится на пересечении ведущего столбца и ведущей строки.
|
Базис
|
В
|
x1
|
x2
|
x3
|
x4
|
x5
|
x6
|
min
|
|
x4
|
200
|
4
|
2
|
2
|
1
|
0
|
0
|
50
|
|
x5
|
200
|
2
|
0
|
4
|
0
|
1
|
0
|
100
|
|
x6
|
500
|
6
|
4
|
8
|
0
|
0
|
1
|
83.33
|
|
F(X1)
|
0
|
-2
|
-4
|
0
|
0
|
0
|
0
|
После преобразований получаем новую таблицу:
|
Базис
|
В
|
x1
|
x2
|
x3
|
x4
|
x5
|
x6
|
|
x1
|
50
|
1
|
0.5
|
0.5
|
0.25
|
0
|
0
|
|
x5
|
100
|
0
|
-1
|
3
|
-0.5
|
1
|
0
|
|
x6
|
200
|
0
|
1
|
5
|
-1.5
|
0
|
1
|
|
F(X1)
|
250
|
0
|
0.5
|
-1.5
|
1.25
|
0
|
0
|
Итерация №1.
Текущий опорный план неоптимален, так как в
индексной строке находятся отрицательные коэффициенты.
В качестве ведущего выберем столбец,
соответствующий переменной x3, так как это наибольший коэффициент по модулю.
Вычислим значения Di по строкам как частное от
деления: bi / ai3
и из них выберем наименьшее:
Следовательно, 2-ая строка является
ведущей.
Разрешающий элемент равен (3) и находится на
пересечении ведущего столбца и ведущей строки.
|
Базис
|
В
|
x1
|
x2
|
x3
|
x4
|
x5
|
x6
|
min
|
|
x1
|
50
|
1
|
0.5
|
0.5
|
0.25
|
0
|
0
|
100
|
|
x5
|
100
|
0
|
-1
|
3
|
-0.5
|
1
|
0
|
33.33
|
|
x6
|
200
|
0
|
1
|
5
|
-1.5
|
0
|
1
|
40
|
|
F(X2)
|
250
|
0
|
0.5
|
-1.5
|
1.25
|
0
|
0
|
0
|
После преобразований получаем новую таблицу:
|
Базис
|
В
|
x1
|
x2
|
x3
|
x4
|
x5
|
x6
|
|
x1
|
33.33
|
1
|
0.67
|
0
|
0.33
|
-0.17
|
0
|
|
x3
|
33.33
|
0
|
-0.33
|
1
|
-0.17
|
0.33
|
0
|
|
x6
|
33.33
|
0
|
2.67
|
0
|
-0.67
|
-1.67
|
1
|
|
F(X2)
|
300
|
0
|
0
|
0
|
1
|
0.5
|
0
|
Конец итераций: индексная строка не содержит
отрицательных элементов - найден оптимальный план. Окончательный вариант
симплекс-таблицы:
|
Базис
|
В
|
x1
|
x2
|
x3
|
x4
|
x5
|
x6
|
|
x1
|
33.33
|
1
|
0.67
|
0
|
0.33
|
-0.17
|
0
|
|
x3
|
33.33
|
0
|
-0.33
|
1
|
-0.17
|
0.33
|
0
|
|
x6
|
33.33
|
0
|
2.67
|
0
|
-0.67
|
-1.67
|
1
|
|
F(X3)
|
300
|
0
|
0
|
0
|
1
|
0.5
|
0
|
Оптимальный план можно записать так:
= 33.33, x3 = 33.33, x6 = 33.33(X) = 5*33.33 +
4*33.33 = 300
Задача 11
Составить план выпуска продукции,
удовлетворяющий принятым ограничениям и приносящий максимум прибыли после
реализации выпущенной продукции.
|
Номер
ресурса
|
Объем
ресурса (запас)
|
Номер
продукции
|
|
|
1
|
2
|
|
1
|
133
|
1
|
7
|
|
2
|
25
|
1
|
1
|
|
3
|
64
|
4
|
1
|
|
Ограничения
по выпуску
|
15
|
18
|
|
Прибыль
|
8
|
6
|
Оценка ресурсов
Составим двойственную задачу к прямой задаче.
y1+y2+4y3≥8
y1+y2+y3≥6
y1+25y2+64y3 => min
y1 ≥ 0≥ 0≥ 0
Отметим, что решение двойственной задачи дает
оптимальную систему оценок ресурсов.
Для решения двойственной задачи используем
вторую теорему двойственности.
Подставим оптимальный план прямой задачи в
систему ограниченной математической модели:
1*13 + 7*12 = 97 < 133
-ое ограничение выполняется как строгое
неравенство, т.е. ресурс 1-го вида израсходован не полностью. Значит, этот
ресурс не является дефицитным и его оценка в оптимальном плане y1 = 0
*13 + 1*12 = 25 = 25
-ое ограничение прямой задачи выполняется как
равенство. Это означает, что 2-ый ресурс полностью используется в оптимальном
плане, является дефицитным и его оценка согласно второй теореме двойственности
отлична от нуля (y2>0).
*13 + 1*12 = 64 = 64
-ое ограничение прямой задачи выполняется как
равенство. Это означает, что 3-ый ресурс полностью используется в оптимальном
плане, является дефицитным и его оценка согласно второй теореме двойственности
отлична от нуля (y3>0).
С учетом найденных оценок, новая система примет
вид:
y2+4y3≥8+y3≥6
y2+64y3 => min≥ 0
y2 ≥ 0≥ 0
Решая систему, находим оптимальный план
двойственной задачи:
y1 = 0= 5.33= 0.67(Y) = 0*0+25*5.33+64*0.67 =
176
Таким образом, отличную от нуля двойственные
оценки имеют лишь те виды ресурсов, которые полностью используются в
оптимальном плане. Поэтому двойственные оценки определяют дефицитность
ресурсов.
Обоснование эффективности оптимального плана
При подстановке оптимальных двойственных оценок
в систему ограничений двойственной задачи получим:
-ое ограничение двойственной задачи выполняется
как равенство. Это означает, что 1-ый ресурс экономически выгодно использовать,
а его использование предусмотрено оптимальным планом прямой задачи (x1>0)
*0 + 1*5.33 + 4*0.67 = 8 = 8
-ое ограничение двойственной задачи выполняется
как равенство. Это означает, что 2-ый ресурс экономически выгодно использовать,
а его использование предусмотрено оптимальным планом прямой задачи (x2>0)
*0 + 1*5.33 + 1*0.67 = 6 = 6
Задача 12
Найти такой вариант прикрепления поставщиков к
потребителям, при котором сумма затрат на перевозки была бы минимальной.
Стоимость доставки единицы груза из каждого
пункта отправления в соответствующие пункты назначения задана матрицей тарифов
|
1
|
2
|
3
|
Запасы
|
|
1
|
1
|
4
|
5
|
180
|
|
2
|
5
|
2
|
2
|
300
|
|
3
|
6
|
3
|
8
|
120
|
|
Потребности
|
110
|
350
|
140
|
|
Проверим необходимое и достаточное условие
разрешимости задачи.
∑a = 180 + 300 + 120 = 600
∑b = 110 + 350 + 140 = 600
Занесем исходные данные в распределительную
таблицу.
|
1
|
2
|
3
|
Запасы
|
|
1
|
1
|
4
|
5
|
180
|
|
2
|
5
|
2
|
2
|
300
|
|
3
|
6
|
3
|
8
|
120
|
|
Потребности
|
110
|
350
|
140
|
|
Этап I. Поиск первого опорного плана.
. Используя метод наименьшей стоимости, построим
первый опорный план транспортной задачи.
|
1
|
2
|
3
|
Запасы
|
|
1
|
1[110]
|
4
|
5[70]
|
180
|
|
2
|
5
|
2[300]
|
2
|
300
|
|
3
|
6
|
3[50]
|
8[70]
|
120
|
|
Потребности
|
110
|
350
|
140
|
|
В результате получен первый опорный план,
который является допустимым, так как все грузы из баз вывезены, потребность
магазинов удовлетворена, а план соответствует системе ограничений транспортной
задачи.
. Подсчитаем число занятых клеток таблицы, их 5,
а должно быть m + n - 1 = 5. Следовательно, опорный план является
невырожденным.
Значение целевой функции для этого опорного
плана равно:
(x) = 1*110 + 5*70 + 2*300 + 3*50 + 8*70 = 1770
Этап II. Улучшение опорного плана.
Проверим оптимальность опорного плана. Найдем
предварительные потенциалы ui, vi. по занятым клеткам таблицы, в которых ui +
vi = cij, полагая, что u1 = 0.
|
v1=1
|
v2=0
|
v3=5
|
|
u1=0
|
1[110]
|
4
|
5[70]
|
|
u2=2
|
5
|
2[300]
|
2
|
|
u3=3
|
6
|
3[50]
|
8[70]
|
Опорный план не является оптимальным, так как
существуют оценки свободных клеток, для которых ui + vi > cij
Выбираем максимальную оценку свободной клетки
(2;3): 2
Для этого в перспективную клетку (2;3) поставим
знак «+», а в остальных вершинах многоугольника чередующиеся знаки «-», «+»,
«-».
|
1
|
2
|
3
|
Запасы
|
|
1
|
1[110]
|
4
|
5[70]
|
180
|
|
2
|
5
|
2[+]
|
300
|
|
3
|
6
|
3[50][+]
|
8[70][-]
|
120
|
|
Потребности
|
110
|
350
|
140
|
|
Цикл приведен в таблице (2,3; 2,2; 3,2; 3,3; ).
Из грузов хij стоящих в минусовых клетках,
выбираем наименьшее, т.е. у = min (3, 3) = 70. Прибавляем 70 к объемам грузов,
стоящих в плюсовых клетках и вычитаем 70 из Хij, стоящих в минусовых клетках. В
результате получим новый опорный план.
|
1
|
2
|
3
|
Запасы
|
|
1
|
1[110]
|
4
|
5[70]
|
180
|
|
2
|
5
|
2[230]
|
2[70]
|
300
|
|
3
|
6
|
3[120]
|
8
|
120
|
|
Потребности
|
110
|
350
|
140
|
|
Проверим оптимальность опорного плана. Найдем
предварительные потенциалы ui, vi. по занятым клеткам таблицы, в которых ui +
vi = cij, полагая, что u1 = 0.
|
v1=1
|
v2=5
|
v3=5
|
|
u1=0
|
1[110]
|
4
|
5[70]
|
|
u2=-3
|
5
|
2[230]
|
2[70]
|
|
u3=-2
|
6
|
3[120]
|
8
|
Опорный план не является оптимальным, так как
существуют оценки свободных клеток, для которых ui + vi > cij
Выбираем максимальную оценку свободной клетки
(1;2): 4
Для этого в перспективную клетку (1;2) поставим
знак «+», а в остальных вершинах многоугольника чередующиеся знаки «-», «+»,
«-».
|
1
|
2
|
3
|
Запасы
|
|
1
|
1[110]
|
4[+]
|
5[70][-]
|
180
|
|
2
|
5
|
2[230][-]
|
2[70][+]
|
300
|
|
3
|
6
|
3[120]
|
8
|
120
|
|
Потребности
|
110
|
350
|
140
|
|
Цикл приведен в таблице (1,2; 1,3; 2,3; 2,2; ).
Из грузов хij стоящих в минусовых клетках,
выбираем наименьшее, т.е. у = min (1, 3) = 70. Прибавляем 70 к объемам грузов,
стоящих в плюсовых клетках и вычитаем 70 из Хij, стоящих в минусовых клетках. В
результате получим новый опорный план.
|
1
|
2
|
3
|
Запасы
|
|
1
|
1[110]
|
4[70]
|
5
|
180
|
|
2
|
5
|
2[160]
|
2[140]
|
300
|
|
3
|
6
|
3[120]
|
8
|
120
|
|
Потребности
|
110
|
350
|
140
|
|
Проверим оптимальность опорного плана. Найдем
предварительные потенциалы ui, vi. по занятым клеткам таблицы, в которых ui +
vi = cij, полагая, что u1 = 0.
|
v1=1
|
v2=4
|
v3=4
|
|
u1=0
|
1[110]
|
4[70]
|
5
|
|
u2=-2
|
5
|
2[160]
|
2[140]
|
|
u3=-1
|
6
|
3[120]
|
8
|
Опорный план является оптимальным, так все оценки
свободных клеток удовлетворяют условию ui + vi <= cij.
Минимальные затраты составят:
(x) = 1*110 + 4*70 + 2*160 + 2*140 + 3*120 =
1350
Список использованной литературы
1. Н.Ш.
Кремер, Б.А. Путко, И.М. Тришин. Математика для экономистов: от Арифметики до
Эконометрики. - М., 2007.
2. Архангельский
Ю.С. и др. Межотраслевой баланс. - Киев, 1998.
. И.Ю.
Колпаков, Н.В. Рогова. Элементы математического программирования:
учебно-методическое пособие для студентов заочной формы обучения. - Пермь,
2009.