Теория передачи сигналов
ФЕДЕРАЛЬНОЕ
АГЕНТСТВО
ЖЕЛЕЗНОДОРОЖНОГО
ТРАНСПОРТА
МОСКОВСКИЙ
ГОСУДАРСТВЕННЫЙ УНИВЕРСИТЕТ ПУТЕЙ СООБЩЕНИЯ
Факультет
Управление процессами перевозок
Кафедра
Железнодорожная автоматика телемеханика и связь
Контрольная
работа
по предмету: "Теория передачи сигналов"
Выполнил: Нестеров Евгений
Смоленск 2012
Задача
1
1. Рассчитать и построить амплитудно-частотную и фазочастотную
характеристики спектральной плотности одиночного прямоугольного видеоимпульса.
Определить эффективную ширину спектра импульса.
2. Рассчитать и построить спектральные плотности ( модуль) пачек
видеоимпульсов, взяв за единицу масштаба по оси У спектральную плотность
одиночного импульса.
Исходные данные:
U = 4 B,
= 0.7
мкс,
N =8 импульсов,
Q = 10.
Решение. Для построения АЧХ применяем формулу:
=

Рассчитаем
и построим спектральные плотности (модуль)пачек видеоимпульсов для N = 8, Q =10
Задача 2
1. Рассчитать уровни гармонических составляющих и построить
графическое отображение амплитудно - частотного спектра для АМ и ЧМ колебаний с
учётом фазы гармоник:
а) для амплитудной модуляции
m -
глубина модуляции = 0,6;
N =6
f нес.
= 100 кГц;
f1 =
9;
f2
=18.
б) для частотной модуляции
m = 4,
f нес = 150 МГц;мод = 1 кГц;
Расчет для амплитудной модуляции:
Уровни гармоник:
Расчет частот гармоник:

Расчет для частотной модуляции:
Частоты и уровни гармоник:
Результаты расчета:
Задача 3
1. Определить коэффициент передачи согласованного фильтра для
видеоимпульса прямоугольной формы; синтезировать его структурную схему. На
входе фильтра вместе с импульсом действует "белый" шум со
спектральной плотностью W0(w).
Вычислить отношение сигнал / шум на выходе фильтра.
2. Пропустить видеоимпульс вместе с шумом через интегрирующую RC - цепь и рассчитать отношение сигнал
/ шум на выходе цепи. Построить график отношения сигнал /шум.
Исходные данные:
= 2,5 мс,
А
= 4 В,
N0(
) = 
/Гц,
R =
Ом,
С
=
Ф.
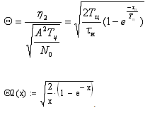
1. Коэффициент передачи согласованного фильтра.
Для
исходных данных получим:
Соглашение
сигнал/шум на выходе согласованного фильтра:
. Рассчитываем
отношение сигнал/шум от величины
на выходе
RC- цепи:
Строим
график отношения С/Ш от велечины
:
При
условии
получим:
.
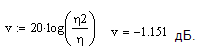
Определяем
потери (в децибелах) отношение С/Ш по сравнению с расчетом в п.1
Список литературы
фазочастотный спектральный видеоимпульс фильтр
1. Методическое указание по выполнению контрольной
работы, РГОТУПС, 2008 г.
. Женко Л.А. Теория передачи сигналов на
железнодорожном транспорте: учебное пособие. - Самара: СамГАПС, 2005. - 106 с.
. Кловский Д.Д. Теория электрической связи: Учебное
пособие. - М.: Радио и связь, 2005. - 600 с.
. Яглом А.М., Яглом И.М. Вероятность и информация.
Учебник. М.: КомКнига, 2007.- 512с.