Расчет характеристик сигналов и каналов связи
Реферат
В курсовом проекте «Расчет характеристик
сигналов и каналов связи» рассматриваются методы и примеры расчёта
характеристик сигналов и каналов связи. Курсовой проект содержит основные
сведения о характеристиках и параметрах сигналов и каналов связи, примеры и
методы их расчета, графики различных характеристик сигналов. Рассмотрены
принципы преобразования сигналов в цифровую форму и требования к
аналогово-цифровому преобразователю (АЦП). Приведены рекомендации для
облегчения вычислений при помощи вычислительной среды Mathsoft
MathCAD 14.
Введение
Связь
- это постоянно развивающаяся отрасль техники. Все более увеличивающееся
информационное пространство человечества требует эффективных средств
коммуникации, именно поэтому развитие связи и передачи информации в целом
представляет собой крайне важную задачу для современного информационного
общества.
Ситуация в отрасли железнодорожного транспорта
во многом аналогична общемировым тенденциям. На текущем этапе развития перед
железнодорожным транспортом стоят задачи по увеличению пропускной и перевозной
способности, грузовых и пассажирских перевозок, уменьшению времени оборотов
вагонов и повышению производительности труда. Эти задачи решаются по двум
основным направлениям: техническим переоснащением систем отрасли и
совершенствованием системы управления перевозочным процессом.
Система управления же во многом зависит от
грамотной и, что не менее важно, скоординированной работы обслуживающего
персонала. Модернизация приемников и передатчиков, каналов связи и систем связи
вообще, увеличение помехоустойчивости аппаратуры и уменьшение помех в условиях
повышенного фона электромагнитных полей - это один из важнейших действующих
процессов в реконструкции современного железнодорожного транспорта. Именно
поэтому изучение курса теории передачи сигналов - это так важно для
квалифицированного инженера.
В данной работе поставлена цель изучить
характеристики сигналов и каналов связи, научиться эффективно рассчитывать эти
характеристики, рассмотреть теорию сигналов в целом. Произвести расчеты
различных величин, вывести общие закономерности в различных параметрах,
описывающих сигналы и каналы связи. Изучить методы цифровой обработки сигналов,
затронув при этом теорию помехоустойчивости. Рассмотреть принципы и виды
модуляции и демодуляции сигналов, их обработка и закономерности в различных
видах модуляций, а также рассчитать и построить графики модулированных сигналов
при заданном виде модуляции.
Для современного общества немаловажно также и
повышение эффективности расчетов, в связи с чем в данной работе была применена
компьютерная вычислительная среда Mathsoft
MathCAD 14, и освещены
некоторые приемы работы с ней.
Структурная схема канала связи
Осветим назначение элементов структурной схемы.
На вход преобразователя П-1 подается непрерывное сообщение, несущее
некоторую информацию. В блоке П-1 получаем некоторую непрерывную
зависимость напряжения от времени, которая ставится в соответствие передаваемым
сообщениям. Далее сигнал подвергается цифровой обработке, которая заключается в
дискретизации по времени и квантованию по уровню и производится соответственно
в блоках Δt
и ΔU.
После этого сигнал кодируется; три вышеназванные операции выполняет блок АЦП
(аналогово-цифровой преобразователь). Кодер источника формирует первичный код,
каждое сообщение записывается им в форме двоичного представления. Собственно,
на этом этапе преобразований сигнал можно передавать до потребителя, но в таком
виде он будет не защищен от помех, и достоверность передачи будет низка.
Поэтому далее идут преобразования, направленные на повышения помехоустойчивости
канала. Кодер канала по первичному коду формирует помехоустойчивый код. Здесь в
код закладывается определенная избыточность, что позволяет в декодере канала
обнаружить, либо исправить ошибки, возникшие при передаче. Спектр
закодированного сигнала переносится в область высоких частот, чтобы оградиться
от помех (в частности индустриального характера), в блоке «Модулятор». Линия
связи осуществляет передачу сигнала от передатчика к приемнику, демодулятор
выполняет обратное преобразование спектра из области несущей в область низких
частот. Цифро-аналоговый преобразователь преобразует цифровой сигнал в
аналоговый, и на выходе получаем искаженные сообщения a`(t).
Рисунок 1 - Структурная схема
цифрового канала связи
1. Характеристики сигналов
.1 Временные функции сигналов
1.1.1 Временная функция первого
сигнала
Временная зависимость первого сигнала (в задании
- №9), график которой представлен на рисунке 1.1, имеет следующий аналитический
вид:
где h
=
0.8
В,
α = 23∙103
1/с.
Рисунок 1.1 - Временная зависимость
первого сигнала
Ниже приведем таблицу, отражающую
зависимость напряжения первого сигнала от времени.
Таблица 1.1 - Зависимость напряжения
первого сигнала от времени
|
t, мc
|
-0.15
|
-0.1
|
-0.5
|
-0.025
|
0
|
0.025
|
0.05
|
0.1
|
0.15
|
|
U(t), мВ
|
11.404
|
52.649
|
89.572
|
-100.528
|
800
|
-100.528
|
89.572
|
52.649
|
11.404
|
1.1.2 Временная функция второго
сигнала
Временная зависимость второго сигнала (в задании
- №5), график которой представлен на рисунке 1.2, имеет следующий аналитический
вид:
где h
=
0.3 В,
τ = 0.07∙10-3 с.
Рисунок 1.2 - Временная зависимость
второго сигнала
Ниже приведем таблицу, отражающую
зависимость напряжения второго сигнала от времени.
Таблица 1.2 - Зависимость напряжения
второго сигнала от времени
|
t, c
|
-1·10-5
|
1·10-5
|
2·10-5
|
3·10-5
|
4·10-5
|
5·10-5
|
6·10-5
|
8·10-5
|
|
U(t), В
|
0
|
0.3
|
0.3
|
0.3
|
0.3
|
0.3
|
0.3
|
0
|
1.2 Частотные характеристики
сигналов
1.2.1 Общие сведения
Спектр сигнала (его частотный состав) является
важнейшей характеристикой сигнала. Он определяет требования к узлам аппаратуры
связи -
помехозащищенность, возможность уплотнения.
Спектральная плотность -
это характеристика сигнала в частотной области, определяемая прямым
преобразованием Фурье:
где U(t)
-
временная функция сигнала; ω-
круговая частота
Одним из важнейших достоинств введенного
интегрального преобразования Фурье является то, что решение любой практической
задачи может быть перенесено с помощью спектральной плотности из временной
области в частотную, и лишь на заключительном этапе расчетов результат вновь
переводится во временную область с помощью обратного интегрального
преобразования:
Однако в данном курсовом проекте обратное
преобразование не используется, задача ограничивается только поиском и анализом
спектров сигналов. Для этого рассмотрено несколько свойств спектральной
плотности.
Свойство вещественной и мнимой частей спектра
состоит в том, что при четной функции U(t)
мнимая часть b(ω)
= 0, а при нечетной - a(ω)
= 0. Это следует непосредственно из интегральных форм.
Свойство линейности выражается в том, что если
имеется несколько сигналов Ui(t)
и у каждого из них имеется спектральная плотность Fi(jω),
то спектральная плотность суммы сигналов равна сумме их спектральных плотностей.
Смещение сигнала во времени. Если предположить,
что для сигнала U(t)
спектр F(jω)
известен. Рассмотрим такой же сигнал, но возникающий с задержкой на t0.
Его спектр будет равен:
сигнал частотный дискретизация автокорреляция
1.2.2 Частотные характеристики
первого сигнала
Спектральная плотность первого сигнала имеет
следующий аналитический вид:
Модуль спектральной плотности первого сигнала
находится из текущего аналитического вида спектральной плотности. График модуля
спектральной плотности изображён на рисунке 1.3.
Рисунок 1.3 - Модуль спектральной плотности
первого сигнала
Таблица 1.3 - Зависимость модуля спектральной
плотности первого сигнала от частоты
|
S(ω), мкВ/Гц
|
0
|
17.391
|
17.391
|
17.391
|
17.391
|
17.391
|
17.391
|
17.391
|
0
|
|
ω·104,
рад/с
|
-2
|
1
|
2
|
3
|
4
|
5
|
6
|
7
|
15
|
Фаза спектральной плотности первого сигнала
равна нулю во всем диапазоне частот, поэтому график и таблица значений не
приводятся.
1.2.3 Частотные характеристики
второго сигнала
Спектральная плотность второго сигнала имеет
следующий аналитический вид:
Модуль спектральной плотности второго сигнала
находится из текущего аналитического вида спектральной плотности. График модуля
спектральной плотности изображен на рисунке 1.4.
Рисунок 1.4 - Модуль спектральной
плотности второго сигнала
Таблица 1.4 - Зависимость модуля спектральной
плотности второго сигнала от частоты
|
S(ω), мкВ/Гц
|
1.971
|
3.436
|
2.105
|
11.808
|
21
|
11.808
|
2.105
|
3.436
|
1.971
|
|
ω·105,
рад/с
|
-2
|
-1.5
|
-1
|
-0.5
|
0
|
0.5
|
1
|
1.5
|
2
|
Фаза спектральной плотности второго сигнала
находится из текущего аналитического вида спектральной плотности. График фазы
спектральной плотности изображен на рисунке 1.5.
Рисунок 1.5 - Фаза спектральной
плотности первого сигнала
Таблица 1.5 - Фазочастотная
характеристика первого сигнала
|
φ(ω), рад
|
-0.717
|
-2.108
|
-0.358
|
-1.75
|
0
|
1.75
|
0.358
|
2.108
|
0.717
|
|
ω·105,
рад/с
|
-2
|
-1.5
|
-1
|
-0.5
|
0
|
0.5
|
1
|
1.5
|
2
|
1.3 Энергия сигнала
1.3.1 Общие сведения
Показатели энергии и мощности сигналов -
важнейшие характеристики, определяющие коэффициент полезного действия
передатчика и качество работы приемника системы связи. Поскольку существует два
вида представления сигналов - временное и спектральное, то
данные показатели могут быть вычислены двумя способами.
Полная энергия одиночного сигнала вычисляется
через временную функцию сигнала по формуле:
Неполная энергия, необходимая для вычисления
граничных частот, определяется как процент от полной, в данной работе процент
составляет 97.5. Получается, что:
W2
= 0.975∙W1
Спектральное представление сигнала позволяет
определить эти же энергетические характеристики по спектрам сигнала при помощи
равенства Парсеваля для непериодических функций:
Знак «∞» в этих выражениях означает, что в
создании энергии и мощности сигнала участвует бесконечный спектр частот. Если
знак «∞» заменить на конечную величину ω,
то по полученной формуле определяется только часть мощности и энергии сигнала.
Этим способом пользуются при ограничении спектров сигналов.
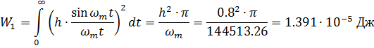
1.3.2 Энергия первого сигнала
Вычисление полной энергии первого сигнала
производится при подстановке аналитического вида U(t)
в формулу из параграфа 1.3.1:
Вычисление неполной энергии первого сигнала
производится при подстановке полной энергии сигнала в формулу из параграфа
1.3.1:
W2
= 0.975∙W1
= 0.975 ∙ 1.391·10-5 = 1.357∙10-5 Дж
Вычисление энергии первого сигнала через
равенство Парсеваля производится при подстановке аналитического вида S(ω)
в формулу из параграфа 1.3.1:
Графики зависимости энергии первого сигнала от
частоты приведены соответственно на рисунке 1.6.
Таблица 1.6 - Зависимость энергии первого
сигнала от частоты
|
W(ω), мкДж
|
0
|
0.963
|
1.926
|
3.851
|
7.702
|
9.628
|
11.553
|
13.479
|
13.954
|
|
ω·104,
рад/с
|
0
|
1
|
2
|
4
|
8
|
10
|
12
|
14
|
16
|
Рисунок 1.6 - Зависимость энергии
первого сигнала от частоты
1.3.3 Энергия второго сигнала
Вычисление полной энергии второго сигнала
производится при подстановке аналитического вида U(t)
в формулу из параграфа 1.3.1:
Вычисление неполной энергии второго сигнала
производится при подстановке полной энергии сигнала в формулу из параграфа
1.3.1:
W2
= 0.975∙W1
= 0.975 ∙ 6.3∙10-6 = 6.143∙10-6 Дж
Вычисление энергии второго сигнала через равенство
Парсеваля производится при подстановке аналитического вида S(ω)
в формулу из параграфа 1.3.1:
Графики зависимости энергии второго сигнала от
частоты приведены соответственно на рисунке 1.7.
Рисунок 1.7 - Зависимость энергии
второго сигнала от частоты
Таблица 1.7 - Зависимость энергии второго
сигнала от частоты
|
W(ω), мкДж
|
0
|
5.693
|
5.946
|
5.994
|
6.084
|
6.101
|
6.141
|
6.155
|
|
ω·105,
рад/с
|
0
|
1
|
1.5
|
2
|
2.5
|
3
|
3.5
|
4
|
1.4 Граничные частоты спектров
сигналов
1.4.1 Граничная частота спектра
первого сигнала
По графику, изображенному на рисунке 1.6,
определяется граничная частота как пересечение графиков неполной энергии и
энергии, вычисленной через равенство Парсеваля.
ωГР1
= 141000 рад/с
1.4.2 Граничная частота спектра
второго сигнала
По графику, изображенному на рисунке 1.7,
определяется граничная частота как пересечение графиков неполной энергии и
энергии, вычисленной через равенство Парсеваля.
ωГР2
= 377000 рад/с
Так как для дальнейших расчетов курсового
проекта требуется только один сигнал из рассмотренных выше, то делается выбор в
пользу сигнала с наименьшей граничной частотой. То есть во всех следующих
расчетах будет фигурировать первый сигнал (№9 по заданию).
2. Расчёт технических
характеристик АЦП
.1 Дискретизация
сигнала
Согласно теореме В.А. Котельникова любой
аналитический сигнал с ограниченным спектром частот может быть заменён
короткими по длительности импульсами эквивалентной амплитуды, отстоящими друг
от друга на временные интервалы Δt.
Частота следования этих импульсов должна не менее чем в два раза превышать
максимальную частоту спектра передаваемого сообщения. Интервал дискретизации Δt
заданного сигнала по времени определяется на основе теоремы Котельникова по
неравенству:
где FВ
- верхнее значение частоты спектра сигнала, определяемое в соответствии с
разделом 1.
Так как выбор интервала дискретизации
производится по неравенству, выберем следующий интервал дискретизации для
уменьшения погрешностей преобразования:
График дискретизированного по времени сигнала
изображен на рисунке 2.1.
Соответственно, количество отсчетов заданного
сигнала равно 21.
Рисунок 2.1 - Дискретизированный по
времени сигнал
Таблица 2.1 - Значения
дискретизированного по времени сигнала
|
t, с
|
-3·Δt
|
-2·Δt
|
-1·Δt
|
0
|
Δt
|
2·Δt
|
3·Δt
|
|
U(t), В
|
63.159
|
66.673
|
68.835
|
800
|
68.835
|
66.673
|
63.159
|
2.2 Определение
разрядности кода
Разрядность кодов определяется исходя из
динамического диапазона квантуемых по уровню импульсных отсчетов. При этом в
качестве верхней границы динамического диапазона UMAX
принимается напряжение самого большого по амплитуде отсчёта. Нижняя граница
диапазона
где К = 24 - коэффициент для расчета
нижней границы динамического диапазона
Для самого малого по амплитуде импульсного
отсчёта UMIN
задаётся соотношение мгновенной мощности сигнала и мощности шума квантования:
где РШ.КВ. - мощность шумов
квантования при равномерной шкале квантования.
Получаем:
где γ
= 55 - отношение мгновенной мощности сигнала к шуму квантования
Известно, что:
где n
- число уровней квантования
Известно, что при использовании двоичного
кодирования число кодовых комбинаций, равное числу уровней квантования,
определяется выражением:
n
= 2m,
где m
- разрядность кодовых комбинаций
Следовательно:
m
= ] log2n
[ = ] log252
[ = ] 5.7 [ = 6
Длительность элементарного кодового импульса τи
определяется исходя из интервала дискретизации Δt
и разрядности кода m
по выражению:
Выбор микросхемы производится по рассчитанному
значению разрядности кодовых комбинаций. Так как разрядность m
равна 6, то по таблице, приведенной в методических указаниях, выбирается
микросхема:
Серия: К1107ПВ1
Разрядность выхода: 6
Тип логики: ТТЛ
Уровень логического «0»: ≤ 0.4 В
Уровень логического «1»: ≥ 2.4 В
Рабочая частота: 6.5 МГц
Частота дискретизации меньше рабочей частоты
микросхемы, что также удовлетворяет требованиям, предъявляемым к характеристикам
АЦП.
3. Характеристики
сигнала ИКМ
.1 Определение
кодовой последовательности
Для вычисления функции автокорреляции
понадобятся 4 значения выборки дискретизированного сигнала, которые получены
путем выбора значений напряжения и деления их на значение Δ
= 15.385∙10-3.
Полученные результаты округлены до целого.
Затем полученные значения выборки переводятся из
десятичной в двоичную систему исчисления:
|
32
|
16
|
8
|
4
|
2
|
1
|
|
52
|
1
|
1
|
0
|
1
|
0
|
0
|
|
5
|
0
|
0
|
0
|
1
|
0
|
1
|
|
4
|
0
|
0
|
0
|
1
|
0
|
0
|
|
4
|
0
|
0
|
1
|
0
|
0
|
После этого из полученных последовательностей
складывается кодовая последовательность, которая будет использоваться для
построения функции автокорреляции. Она примет вид:
000101 000100 000100
Для нахождения вероятности появления «0» и «1»
воспользуемся следующей формулой:
где р - вероятность появления, i =
0, 1 - соответствующий бит, ni - число бит i в кодовой
последовательности, n - длительность кодовой последовательности.
Количество «1» в коде - 7. Вероятность появления
«1» - 0.292.
Количество «0» в коде - 17. Вероятность
появления «0» - 0.708.
Произведем расчёт статистических параметров -
дисперсии и математического ожидания по следующим формулам:
3.2 Построение
функции автокорреляции
Взаимная корреляция двух сигналов находится по
формуле:
Функция автокорреляции показывает статистические
связи между сигналами.
Построение функции автокорреляции начнем с
построения вектора Vx,
который будет представлять собой кодовую последовательность, полученную в
параграфе 3.1. Затем, при сдвиге вектора Vx
на один разряд последовательно 6 раз, записывая полученные векторы, получается
7 векторов Vy. Вектора Vx
и Vy наглядно
отражены при помощи таблицы 3.1.
Таблицы 3.1 - Вектора Vx
и Vy
|
Vx
|
1
|
1
|
0
|
1
|
0
|
0
|
0
|
0
|
0
|
1
|
0
|
1
|
0
|
0
|
0
|
1
|
0
|
0
|
0
|
0
|
0
|
1
|
0
|
0
|
|
Vy0
|
1
|
1
|
0
|
1
|
0
|
0
|
0
|
0
|
0
|
1
|
0
|
1
|
0
|
0
|
0
|
1
|
0
|
0
|
0
|
0
|
0
|
1
|
0
|
0
|
|
Vy1
|
0
|
1
|
1
|
0
|
1
|
0
|
0
|
0
|
0
|
0
|
1
|
0
|
1
|
0
|
0
|
0
|
1
|
0
|
0
|
0
|
0
|
0
|
1
|
0
|
|
Vy2
|
0
|
0
|
1
|
1
|
0
|
1
|
0
|
0
|
0
|
0
|
0
|
1
|
0
|
1
|
0
|
0
|
0
|
1
|
0
|
0
|
0
|
0
|
0
|
1
|
|
Vy3
|
1
|
0
|
0
|
1
|
1
|
0
|
1
|
0
|
0
|
0
|
0
|
0
|
1
|
0
|
1
|
0
|
0
|
0
|
1
|
0
|
0
|
0
|
0
|
0
|
|
Vy4
|
0
|
1
|
0
|
0
|
1
|
1
|
0
|
1
|
0
|
0
|
0
|
0
|
0
|
1
|
0
|
1
|
0
|
0
|
0
|
1
|
0
|
0
|
0
|
0
|
|
Vy5
|
0
|
0
|
1
|
0
|
0
|
1
|
1
|
0
|
1
|
0
|
0
|
0
|
0
|
0
|
1
|
0
|
1
|
0
|
0
|
0
|
1
|
0
|
0
|
0
|
|
Vy6
|
0
|
0
|
0
|
1
|
0
|
0
|
1
|
1
|
0
|
1
|
0
|
0
|
0
|
0
|
0
|
1
|
0
|
1
|
0
|
0
|
0
|
1
|
0
|
0
|
Затем находятся корреляции между вектором Vx
и каждым из векторов Vy.
При этом получается 7 значений корреляции, из которых составляется вектор Vk.
Из значений длительности импульса сигнала получен вектор Vτ
путем умножения времени τи
на номер строки, начиная с 0. Вектора Vk
=
corr и Vτ
=
τ сведены в таблицу
3.2. Полученный результат есть табличный способ представления функции
автокорреляции.
Таблица 3.2 - Значения функции автокорреляции
|
τ, мкс
|
0
|
τи
|
2∙τи
|
3∙τи
|
4∙τи
|
5∙τи
|
6∙τи
|
|
0
|
1.667
|
3.333
|
5
|
6.667
|
8.333
|
10
|
|
corr
|
1
|
-0.21
|
-0.008403
|
-0.008403
|
-0.008403
|
-0.412
|
0.395
|
При помощи встроенных функций вычислительной
среды Mathsoft
MathCAD 14 можно получить
также и графическое представление функции автокорреляции. Для этого сначала
нужно составить вектор вторых производных для приближения к кубическому
полиному при помощи векторов Vτ
и Vk взятых из
таблицы 3.2.
VS
= cspline (Vτ,Vk)
Затем составляется функция, аппроксимирующая
автокорреляционную функцию кубическим сплайн-полиномом:
kor(τ)
= interp(VS, Vτ,
Vk, τ)
Для проверки результатов вычисления составляется
функция, реализующая кусочную аппроксимацию отрезками прямых:
korl(τ)
= linterp(Vτ,
Vk, τ)
Полученные графики полинома и аппроксимирующих
его отрезков прямых изображены на рисунке 3.1.
Рисунок 3.1 - АКФ, представленная в
виде полинома и кусочно-линейной аппроксимации
3.3 Спектр сигнала
ИКМ
Расчёт энергетического спектра кодового сигнала
осуществляется с помощью интегрального преобразования Винера-Хинчена:
Полученный график энергетического спектра
кодового сигнала изображён на рисунке 3.2, при этом сам интеграл взят по
модулю.
Рисунок 3.2 - Энергетический спектр
кодового сигнала
Таблица 3.3 - Энергетический спектр
сигнала
|
G(ω), мкВт/Гц
|
1.164
|
1.188
|
1.499
|
0.098
|
1.269
|
0.778
|
0.217
|
0.0023
|
0.21
|
|
ω·106,
рад/с
|
0
|
0.5
|
1
|
1.5
|
2
|
2.5
|
3
|
3.5
|
4
|
4. Характеристики
модулированного сигнала
.1 Общие сведения о
модуляции
Для передачи полезной информации в
технике связи обычно используются модулированные сигналы. Они позволяют решить
задачи уплотнения линий связи, электромагнитной совместимости,
помехоустойчивости систем. Процесс модуляции является нелинейной операцией и
приводит к преобразованию спектра сигнала. При гармоническом
сигнале-переносчике это преобразование заключается в том, что спектр полезного
сигнала переносится в область несущей частоты в виде двух боковых полос. Если
переносчик - импульсная
последовательность, то такие боковые полосы расположены в окрестностях каждой
гармоники переносчика. Значит, продукты модуляция зависят от полезного сигнала
и вида сигнала-переносчика.
При расчете фазовой модуляции
следует руководствоваться тем, что фаза меняется по закону полезного сигнала.
4.2 Расчёт
немодулированного сигнала
Согласно заданию на курсовой проект, к изучению
предложена фазовая модуляция. Формула представляет собой аналитическую форму
записи сигнала ФМ:
При данном виде модуляции по закону полезного
сигнала изменяется фаза:
При ФМ w(t) = w0
+
DφΩ∙сos(W·t),
максимальное отклонение частоты (девиация) равно ωd
= DφΩ,
т.е пропорционально частоте полезного сигнала, а индекс модуляции β
= Dφ,
т.е при ФМ β = const.
Поскольку данный сигнал является периодической
импульсной последовательностью, его можно представить рядом Фурье.
где a0/2
= B/2 = 1.2 В -
постоянная составляющая полезного сигнала;
Ниже приведен график немодулированного сигнала.
Рисунок 4.1 - Временная зависимость
немодулированного сигнала
Следующим шагом является нахождение
спектра немодулированного сигнала.
Таблица 4.1 - Спектр
немодулированного сигнала.
|
n
|
0
|
1
|
2
|
3
|
4
|
5
|
6
|
7
|
|
An, B
|
1.2
|
1.528
|
0
|
0.509
|
0
|
0.306
|
0
|
0.218
|
|
ωn,
∙106 рад/с
|
0
|
1.885
|
3.77
|
5.655
|
7.54
|
9.425
|
11.31
|
13.195
|
Рисунок 4.2 - Амплитудный спектр
немодулированного сигнала
4.3 Расчет
модулированного сигнала
Согласно заданию, фазомодулированный сигнал
имеет следующие параметры:
A0
= 0.19 B, f0
= 0.3 МГц, Δφ
= π/4
Ниже приведена временная зависимость
модулированного сигнала.
Рисунок 4.3 - Временная зависимость
фазомодулированного сигнала
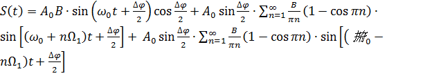
Спектр модулированного сигнала будет
состоять из несущей, которая будет иметь две боковые полосы - верхнюю и нижнюю.
Произведем расчет спектра
фазомодулированного сигнала.
Рассмотрим структуру суммы:
Расчет амплитуд гармоник производится по
следующей формуле:
Нахождение амплитуд гармоник, входящих в нижнюю
и верхнюю боковые полосы. При расчете ограничимся пятью гармониками.
Нахождение амплитуды несущей:

Несущая частота и боковые полосы:
верхняя боковая полоса:
нижняя боковая полоса:
Полоса частот модулированного сигнала составила Δω
= (
-
)∙106
= 18.85∙106 рад/с.
Таблица 4.2 - Спектр модулированного сигнала
|
Нижняя
боковая полоса
|
Несущая
|
Верхняя
боковая полоса
|
|
n
|
5
|
4
|
3
|
2
|
1
|
0
|
1
|
2
|
3
|
4
|
5
|
|
An,
мВ
|
22.218
|
0
|
37.031
|
0
|
111.092
|
421.289
|
111.092
|
0
|
37.031
|
0
|
22.218
|
|
ωn,
∙106 рад/с
|
-7.54
|
-5.655
|
-3.77
|
-1.885
|
0
|
1.885
|
3.77
|
5.655
|
7.54
|
9.425
|
11.31
|
Рисунок 4.4 - Спектр модулированного
сигнала
5. Расчёт
информационных характеристик канала
Заданный сигнал был представлен отсчетами,
идущими с заданным интервалом. Такая выборка содержит полную информацию о
передаваемом сигнале и сама представляет источник информации. Выше было
определено количество выборок для одного из сигналов.
Таким образом, выборки это алфавит источника
информации и вероятности букв этого алфавита равны друг другу. Такой источник
имеет ряд информационных характеристик: количество информации в знаке,
энтропию, производительность, избыточность. В дальнейшем для курсового проекта
будет интересна производительность, которая характеризует скорость работы
источника и определяется по следующей формуле:
где H(a)
= log2N
- энтропия алфавита источника; N
- количество выборок сигнала, взятое из пункта 2.1,
-
среднее время генерации одного знака алфавита, с.
Рассматривая принципы и предельные возможности
непосредственного согласования дискретного источника сообщений с непрерывным
каналом связи, следует напомнить, что в непрерывном канале надо знать плотности
распределения случайных процессов сигналов, помех и их же условные плотности
распределения. Это понятие вводится при моделировании канала связи и с точки
зрения передачи сообщений нет большого противоречия в том, что источник принят
дискретным, а канал непрерывен.
Полоса пропускания канала должна быть
достаточной для прохождения спектра модулированного сигнала. Величина Δω
была определена в параграфе 4.2.
Предельные возможности согласования дискретного
источника с непрерывным каналом определяются теоремой Шеннона, которая
аналогично звучит в случае дискретного источника и дискретного канала.
Теорема Шеннона: если дискретные сообщения,
выдаваемые дискретным источником с производительностью
можно
закодировать так, что при передаче по Гауссову каналу с белым шумом, пропускная
способность которого C
превышает
, то вероятность
ошибки РОШ может быть достигнута сколь угодно малой.
При определении пропускной способности канала
статистические законы распределения помехи, сигнала, и суммы сигнала и помехи -
нормальные законы с соответствующими дисперсиями Рn,
РС и РС +Рn.
Пропускная способность гауссова канала равна:
где F
= 20000 Гц - частота дискретизации; Рn
- мощность помехи, Вт.
Мощность помехи определяется по заданной
спектральной плотности мощности N0
= 5∙10-15 Вт/Гц и полосе частот модулированного сигнала Δω
= 18.85∙106 рад/с:
По этим формулам, пользуясь неравенством Шеннона
,
надлежит определить РС, обеспечивающую передачу по каналу.
Таким образом получаем:
,
где N
= 21 - количество выборок сигнала, взятое из пункта 2.1
Мощность сигнала:
6. Расчет
вероятности ошибки оптимального демодулятора
Вероятность ошибки Р0 зависит
от мощности (энергии) сигнала и мощности помех, в данном случае белого шума.
Известную роль играет здесь и вид сигнала, который определяет статистическую
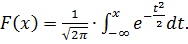
связь между сигналами в системе. В общем случае:
гдe F(x)
- функция (или интеграл вероятностей) Лапласа:
Аргумент функции Лапласа для ФМ:
где E - энергия разностного сигнала,
Вт/Гц;
Найдем вероятность ошибки (по формуле):
Схема оптимального демодулятора представлена на
рисунке 6.1.
Рисунок 6.1 - Схема оптимального демодулятора
Пара блоков «перемножитель - интегратор»
образует коррелятор. Дискриминатор полярности определяет на основании значения
АКФ, какой сигнал принят: S0
или S1,
и выдает решение на выходе.
Заключение
В данной работе была поставлена цель изучить
характеристики сигналов и каналов связи, научиться эффективно рассчитывать эти
характеристики, рассмотреть теорию сигналов в целом. Произвести расчеты
различных величин, вывести общие закономерности в различных параметрах,
описывающих сигналы и каналы связи. Изучить методы цифровой обработки сигналов,
затронув при этом теорию помехоустойчивости. Рассмотреть принципы и виды
модуляции и демодуляции сигналов, их обработка и закономерности в различных
видах модуляций, а также рассчитать и построить графики модулированных сигналов
при заданном виде модуляции.
В задании на курсовой проект было представлено
два сигнала. Для каждого из них были построены графики временной зависимости
сигналов, спектральной плотности, фазы спектральной плотности, энергии
сигналов. Фаза спектральной плотности первого сигнала оказалась не зависящей от
частоты и равна нулю.
По графикам энергии были определены граничные
частоты сигналов. Они оказались равны соответственно 141000 рад/с и 377000
рад/с. Далее расчёт вёлся только для одного сигнала, имеющего наименьшую
граничную частоту, то есть для первого сигнала.
Сначала были определены характеристики АЦП,
исходя из параметров дискретизированного сигнала. Интервал дискретизации был
выбран равным 2×10-5 с. Вторым
этапом расчёта было нахождение функции АКФ. Были построены графики функции,
аппроксимирующей АКФ кубическим сплайн-полиномом, и кусочной аппроксимации
отрезками прямых. По АКФ была построена спектральная характеристика
кодированного сигнала.
Далее в соответствии с заданием были построены
временные зависимости немодулированного и модулированного сигналов. Приведены
графики спектров этих сигналов.
В заключении была рассчитана вероятность ошибки
при приеме ФМ сигнала. Она составила
.
Библиографический список
1. Передача дискретной информации на
железнодорожном транспорте. / В.А. Кудряшов, Н.Ф. Семенюта. Москва.
Издательская группа ЗАО «Вариант». 1999. 327 с.
. Телекоммуникационные технологи на
железнодорожном транспорте. / Под ред. Г.В. Горелова. Москва. УМК МПС. 1999.
576 с.
. Теоретические основы транспортной
связи. / М.Я. Каллер., А.Я. Фомин. Москва. Транспорт, 1989.
. Теория передачи сигналов на
железнодорожном транспорте. / Г.В. Горелов, А.Ф. Фомин, А.А. Волков, В.К.
Котов. Москва. «Транспорт». 1999. 416 с.
. Характеристики сигналов в каналах
связи: Методические указания к курсовому проекту по дисциплине «Теория передачи
сигналов» / Н.Н. Баженов. Омск. Омский государственный университет путей
сообщения. 2002. 48 с.