Число Пи
Введение
число пи вычисление
ньютон
«Число Пи - это математическая константа, через
которую выражается отношение длины окружности к её диаметру. И это число
приблизительно равно 3,14.». Одним из первых заметил и высчитал такую
интересную зависимость между длиной окружности и её диаметром Архимед, он и дал
первое приближение такого числа, что равно 3 1/7
И даже вычислил, что это число больше за 3 10/71
, но меньше за 3 1/7
Но есть данные, что и за почти 2 тысячи лет до
н.э. людям было известно о такой зависимости, только они её высчитывали очень
приблизительно. А обозначил это число греческой буквой π
первым британский математик Джонс в 1706 году, и общепринятым оно стало после
работ Леонарда Эйлера в 1737 году.
Число Пи используется не только в геометрии, математическом
анализе или теории вероятности, но и во многих других отраслях науки, говорят,
что учёные пытаются расшифровать человеческое ДНК с помощью этого магического
числа. И даже есть много трагических историй, которые связаны с этим магическим
числом. Говорят, что многие учёные разговаривали с этим числом, и говорили, что
оно может думать. Но эта информация не подтверждена.
Ещё есть много разных историй связанных с
запоминанием числа Пи. Многие используют разные стишки, вот например:
Кто и шутя, и скоро пожелает
"Пи" узнать - число уж знает.
Здесь число букв в каждом слове - это следующая
цифра числа Пи.
Или такое:
Чтобы нам не ошибаться,
Надо правильно прочесть:
Три, четырнадцать, пятнадцать,
Девяносто два и шесть.
Ну и дальше надо знать,
Если мы вас спросим -
Это будет пять, три, пять,
Восемь, девять, восемь.
А мировой рекорд по запоминанию числа Пи у
китайца Лю Чао, который сумел запомнить 67 890 знаков после запятой без ошибки
и воспроизвёл их в течении 24 часов и 4 минут. Сейчас с помощью компьютера
высчитали 5 триллионов цифр после запятой, так что есть куда расти .
Целью нашей работы является изучение интересных
фактов о числе π.
Вычисление числа π
и его свойства
января 2010 французы вычислили Пи с рекордной
точностью.
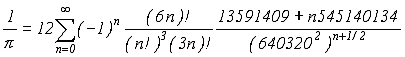
Француз Фабрис Беллар вычислил число Пи с
рекордной точностью. Об этом сообщается на его официальном сайте. Новый рекорд
составляет около 2,7 триллиона (2 триллиона 699 миллиардов 999 миллионов 990
тысяч) десятичных знаков. Предыдущее достижение принадлежит японским ученым, которые
посчитали константу с точностью до 2,6 триллиона десятичных знаков. Беллар
потратил на вычисления около 103 дней.
Все расчеты проводились на домашнем компьютере,
стоимость которого лежит в пределах 2000 евро. Для сравнения, предыдущий рекорд
был установлен на суперкомпьютере T2K Tsukuba System, у которого ушло на работу
около 73 часов. Сначала Пи рассчитывалось в двоичной системе, после чего
переводилось в десятичную. На это ушло около 13 дней. В общей сложности для
хранения всех цифр требуется 1,1 терабайта дискового пространства.
Подобные вычисления имеют не только прикладное
значение. Так, в настоящее время с Пи связано множество нерешенных задач.
Например, известно, что Пи и e (основание экспоненты) являются трансцендентными
числами, то есть не являются корнями никакого многочлена с целыми
коэффициентами. При этом, однако, является ли сумма этих двух фундаментальных
констант трансцендентным числом или нет - неизвестно до сих пор.
До сих пор не доказана нормальность числа Пи:
встречаются ли в нем все цифры от 0 до 9 одинаково часто, или какая-то цифра
встречается чаще, чем другие. Если Пи понимать, как отношение длины окружности
к её диаметру, то само это число, очевидно, не представляло бы особого
интереса.
Число Пи одна из фундаментальных математических
констант. Оно встречается во многих уравнениях различных направлений науки,
например, в уравнениях гравитационного поля Эйнштейна, в уравнениях, связанных
с образованием радуги, в уравнениях описывающих распространение зыби при
падении дождевой капли в воду, в уравнении нормального распределения Гаусса, в
уравнении движения маятника, во многих геометрических задачах, в задачах
связанных с волнами, в задачах навигации и т.д.
Несколько «неожиданный» пример уравнения, в
котором есть число Пи - формула Стирлинга для подсчета числа перестановок n
предметов (факториала n, который обозначается n! и равен n!=1*2*3*…*n). Формула
Стирлинга позволяет упростить процесс вычислений n! для больших n:
основание натуральных логарифмов.
Иррациональность этого числа, заключающаяся в
том, что его нельзя представить отношением p/q, где q≠0 и p, q -
натуральные числа, была доказана Ламбертом в 1761 г. Трансцендентность числа пи
доказал Линдеман в 1882 г. Численное значение Пи можно приближенно определить
одним из двух методов с любой необходимой степенью точности.
Первый из этих методов - геометрический. Он
состоит в вычислении периметров многоугольника вписанного в окружность и
многоугольника описанного вокруг неё, причем предполагается, что длина
окружности заключена между значениями этих периметров. Приближение будет более
точным, если вместо периметров использовать площади.
Второй, современный метод, опирается на
использование определенных бесконечно сходящихся рядов, сумма которых равна Пи
или выражается через Пи.
Можно сказать, что те из вычислявших Пи
математиков, которые использовали первый метод, исходили из геометрического
определения числа Пи, а те, кто использовал аналитические методы, трактовали
это число как математический символ, возникающий в многочисленных разделах
математического анализа и обозначающий некоторую константу, значение которой
можно (и нужно) найти.
В Египте примерно в 1700 г. до н. э. принимали,
что Пи равно 256/81, что в десятичной записи соответствует 3.1605. В Вавилоне и
Иудее использовалось более грубое приближение в виде числа 3. Скорее всего, эти
числа были получены эмпирически - опытным путем. Уже в самых ранних
индоевропейских цивилизациях было известно, что площадь круга пропорциональна
квадрату его радиуса, а длина окружности пропорциональна её диаметру.
Величайший математик древности Архимед из
Сиракуз в своем трактате «Измерение круга» (III до н.э.) строго доказал
равенство двух указанных отношений. Он вычислил и приближенное значение Пи,
причем на основе математических принципов, а не прямых измерений диаметра,
площади круга и длины окружности. Архимед вписывал в окружность и описывал
вокруг неё правильные многоугольники (т.е. многоугольники со сторонами
одинаковой длины). Диаметр окружности принимался за единицу, а периметры
вписанного и описанного многоугольников рассматривались как приближения
соответственно снизу и сверху к длине окружности, которая в данном случае
численно совпадает с Пи.
Этот метод приближения Пи не был новшеством: еще
раньше вписывать многоугольники с возрастающим числом сторон предложил Антифон,
а его современник Брисон из Гераклеи дополнительно ввел описанные
многоугольники. Новшеством был выполненный Архимедом правильный расчет
результата удвоения числа сторон как вписанного, так и описанного
многоугольников. Тем самым он разработал процедуру, повторение которой
достаточное число раз в принципе позволяет вычислить Пи с любым количеством
знаков.
Следует заметить, что периметр правильного
многоугольника легко вычисляется с помощью простых тригонометрических функций:
синуса, косинуса и тангенса, однако во времена Архимеда, т. е. в III в. до н.э.
эти функции еще не были полностью изучены и вычисление периметров было далеко
не таким легким делом, как может сейчас показаться.
Архимед начал с вписанного и описанного
шестиугольников и получил неравенство
.
Четырежды удвоив число сторон (т. е. доведя его
до 96), он сузил интервал для Пи:
и
получил приближенное значение ≈ 3,14. Есть некоторые основания
предполагать, что дошедший до нас текст трактата «Измерение круга» представляет
собой часть более обширного труда, в котором Архимед объясняет, как, начав с
десятиугольников и применив шесть раз операцию удвоения, он получил приближение
с пятью знаками; π≈3,1416.
Сам по себе метод Архимеда прост, но при отсутствии готовых таблиц
тригонометрических функций требует извлечения корней; выполнение этой операции
вручную занимает довольно много времени. Кроме того, приближения сходятся к Пи
очень медленно: с каждой итерацией погрешность уменьшается лишь вчетверо. Тем
не менее, до середины XVII в. все попытки европейских ученых вычислить Пи, так
или иначе, опирались на этот метод.
Из приближений, известных грекам, следует ещё
упомянуть лишь данное Птолемеем, который утверждал, что Пи=3º8'30",
т.е. что (в современной записи) p=3+8/60+30/3600≈3.1416.
Прежде, чем переходить к средневековым и
современным европейским математикам, уместно сказать о результатах полученных в
Индии, Китае и на Востоке.
Китайский астроном Чжан Хэн во II в. утверждал,
что вторая степень длины окружности относится ко второй степени периметра
квадрата, описанного вокруг окружности, как 5:8. Это отношение соответствует
приблизительно
. Подобное
значение Пи встречается у индийского математика Брахмагупты (VII в.) и у
среднеазиатского математика и астронома Мухамеда бен Мусы аль Хорезми (IX в).
Ариабхата (примерно в 530 г.) дает значение
Пи=62832/20000, что равно 3,1416. Бхаскара (около 1150 г.) указал два
приближения. Одно из них (возможно, почерпнутое от Ариабхаты, но вычисленное
заново методом Архимела с помощью периметров правильных 384-угольников) равно
3927/1250, т. е. 3,1416. Китайский астроном Цзу Чун Чжи (род. в 430 г.) доказал,
что значение Пи лежит между 3,1415926 и 3,1415927, и указал значение 355/113,
которое он назвал «правильным».
Среди арабских математиков следует отметить Дж.
Г. ал-Каши (около 1436 г.), который нашел для 2π
значение 6,2831853071795865. Это значение, верное во всех 16 десятичных знаках,
было получено из вычисленного им ранее в шестидесятеричной системе значения с 9
знаками. Этим он поставил рекорд, продержавшийся до 1596 г. Кроме того, почти
наверняка можно сказать, что это был первый пример переведения дроби из одной
системы счисления в другую.
Возвращаясь к европейским математикам,
проследим, как были найдены последовательные приближения для числа Пи (причем
многие из полученных до XVIII в. значений были первоначально вычислены, чтобы
доказать ошибочность какой-то якобы найденной квадратуры).
Леонардо Пизанский (Фибоначчи) в XIII в. дал для
Пи значение 1440/458 1/3, что равно 3,1418…. В XV в. Пурбах указал
(вычисленное, возможно, не им) значение 62832/20000, равное 3,1416. Николай
Кузанский считал, что точным значением Пи будет равное 3,1423, и говорят, что в
1464 г. Региомонтан (Иоганн Мюллер) дал значение 3,14243. Виет в 1579 г.
показал, что Пи больше, чем 3,1415926535, и меньше, чем 3,1415926537. Этот
результат Виет получил на основании значений периметров вписанных и описанных
многоугольников с 6*216 сторонами, вычисленных многократным применением формулы
2sin2(φ/2)
=1-cosφ.
Он также установил результат, эквивалентный формуле:
Отец Адриан Меций в 1585 г. привел для Пи
значение 355/113, равное 3,14159292… ,-правильное в шести десятичных знаках.
Это была любопытная и счастливая догадка, так как доказал он лишь, что значение
Пи лежит в пределах между 377/120 и 333/106, и отсюда заключил, что истинное
дробное значение Пи он получит, если возьмет среднее значение числителей и
среднее значение знаменателей этих дробей.
В 1593 г. Адриeн ван Роомен вычислил периметр
вписанного правильного многоугольника с 1073741824 (т. е. 230) сторонами и
отсюда определил Пи с 15 правильными десятичными знаками.
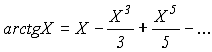
Индийские математики, стремясь к уточнению числа
пи, пришли к результатам, которые в европейской математике были вновь открыты
только в XVII-XVIII вв., например, разложение arctg в степенной ряд (Дж.
Грегори, 1671 г.; Г. Лейбниц, 1673 г.), степенные ряды для sin, cos, arcsin (И.
Ньютон, 1666 г.) и т.п.
Голландский математик Лудольф ван Цейлен
посвятил вычислению p значительную часть жизни. В 1596 г. он указал значение Пи
с точностью до 20 десятичных знаков - они были получены путем определения
периметров вписанного и описанного правильных многоугольников с 60*233
сторонами, что Цейлен сделал с помощью многократного применения своей
собственной теоремы, эквивалентной формуле 1-cosА = 2sin2(А/2).
Цейлен умер в 1610 г.; по его распоряжению
полученный им результат с 35 десятичными знаками (именно столько знаков он
вычислил) был выгравирован на его надгробии в церкви св. Петра в Лейдене. В его
книге по арифметике, опубликованной после его смерти, указано 32 десятичных
знака числа Пи, найденные вычислением периметра многоугольника, имеющего262, т.
е. 4611686018427387904, сторон. В некоторых европейских странах число Пи
называют числом Лудольфа.
Виллеброрд Снелль в 1621 г. получил с помощью
230 - yгoльникa приближение с 34 десятичными знаками. Это меньше, чем у ван
Цейлена, но метод Снелля был настолько совершеннее, что свои 34 знака он сумел
получить с помощью многоугольника, из которого ван Цейлону удалось «извлечь»
только 14 (или, быть может, 16) знаков.
Используя шестиугольник, Снелль нашел столь
верное, приближение для числа Пи, для которого Архимеду понадобился
96-угольник, а 96-угольник позволил Снеллю правильно вычислить 7 десятичных
знаков, тогда как Архимед получил только два. Это объясняется тем, что Архимед,
вычисляя длину сторон вписанного и описанного правильных n-угольников, считал,
что 1/n длины окружности лежит между этими значениями, в то время как Снелль,
исходя из сторон этих многоугольников, строил две другие линии, дающие более
точные пределы для определения длины соответствующей дуги. Метод Снелля
опирался на теорему 3sinφ/
(2 + cos φ) < φ
< 2 sin (φ/3) + tg(φ/3),
которая позволила ему с помощью n-угольника получить число правильных знаков,
большее или равное целой части от 4 lg(n)-0,2305. Это вдвое больше, чем
удавалось получить старыми методами. Доказательство Снелля его теоремы
ошибочно, однако сама теорема верна.
В 1630 г. Гринбергер с помощью теоремы Снелля
довел приближенное значение Пи до 39 десятичных знаков. Он был последним из
математиков, пользовавшихся классическим методом вычисления Пи с помощью
периметров вписанного и описанного многоугольников. Дальнейшее уточнение
значения Пи представлялось уже бесполезным.
Доказательства теорем, использованных Снеллем и
другими математиками, вычислявшими Пи этим методом, дал Гюйгенс в работе
"De Circula Magnitudine Inventa", 1654, которую можно считать
заключительной в истории данного метода. В 1659 г. Валлис доказал, что
и с помощью одного результата, установленного
несколькими годами ранее Броункером, вывел формулу в виде цепной дроби:
но ни одна из этих формул для вычислений всерьез
не использовалась из за слишком медленной сходимости.
Развитие анализа в основном с трудами Исаака
Ньютона и Готфрида Вильгельма Лейбница позволило намного ускорить вычисление
приближенных значений Пи.
Сам Ньютон нашел 15 знаков Пи, суммируя
несколько первых членов ряда для арксинуса. Позднее он писал одному из коллег:
«Мне стыдно сказать вам, до скольких знаков я выполнил эти вычисления, не
занимаясь больше ничем». В 1674 г. Лейбниц вывел формулу 1 - 1/3 + 1/5 - 1/7 +
... = π/4
(арктангенс единицы).
Общий ряд для арктангенса был открыт в 1671 г.
шотландским математиком Джеймсом Грегори, хотя аналогичные выражения, по-видимому,
были получены в Индии на несколько столетий раньше. Джеймс Грегори, установил,
что
Этот результат верен лишь в том случае, если X
лежит между -π/4 и π/4.
Погрешность приближения Лейбница, определяемая
как разность между суммой n членов ряда и точным значением π/4
, приблизительно равна (n + 1)-му члену. Так как знаменатель каждого следующего
слагаемого возрастает лишь на два, то, чтобы получить приближение с точностью
до двух знаков, приходится суммировать около 50 членов, с точностью до трех
знаков - около 500 и т. д. Таким образом, этот ряд практически непригоден для
нахождения более чем нескольких первых знаков Пи.
Спасла положение формула Джона Мэчина:

Его метод оказался столь мощным, что с начала
XVIII в. и до самого недавнего времени все вычисления Пи с большим числом
знаков были выполнены с помощью тех или иных вариантов этого метода. p>Вега
в 1789 г. указал значение Пи с точностью до 143 десятичных знаков (из них
верных оказалось лишь 126), а в 1794 г. - с точностью до 140 знаков (из них 136
верных).
К концу XVIII в. фон Цах обнаружил в Научной
библиотеке Радклнфа в Оксфорде рукопись неизвестного автора, в которой значение
Пи было указано с точностью до 154 десятичных знаков (из них 152 верных). В
1837 г. этот результат был опубликован.
В 1841 г. Резерфорд, используя формулу
вычислил 208 знаков (из них 152 верно).
Из вычислений, проведенных в XIX в., два следует
упомянуть особо. В 1844 г. Иоганн Дазе нашел 205 знаков Пи в течение нескольких
месяцев, вычисляя значения трех арктангенсов и пользуясь формулой, аналогичной
формуле Мэчина:
Дазе не был математиком, он был чудо
вычислителем: он мог примерно за 8 часов перемножать в уме два стозначных
числа. (Его, наверное, можно считать предтечей современного суперкомпьютера, по
крайней мере, по объему памяти).
В 1853 г. Уильям Шенкс обошел Дазе, опубликовав
полученное им значение Пи с 607 знаками, хотя, начиная с 528-го все остальные
оказались неверными. Шенкс потратил на свой труд многие годы - это было
рутинное, хотя и трудоемкое применение формулы Мэчина. Своеобразным рекордом
стало и то, что ошибка Шенкса была обнаружена только через 92 года при
сравнении его значений с приближением Пи до 530 знаков, вычисленным Д.Ф.
Фергюсоном с помощью механического калькулятора.
В 1947 Фергюсон и Вренч, используя механический
калькулятор, достигли точности 808 знаков. В 1914 г. индийский математик
Рамануджан предложил для вычисления Пи использовать формулу:
Сумма последовательности Рамануджана сходится к
истинному значению 1/π гораздо
быстрее всех предыдущих формул: каждый очередной член последовательности
добавляет, восемь новых правильных цифр.
С появлением цифровых вычислительных машин
попытки найти еще больше десятичных знаков Пи возобновились, так как машина
идеально приспособлена к долгому и упорному «перемалыванию» чисел. В июне 1949
г. Джон фон Нейман и его сотрудники применили один из первых цифровых
компьютеров ENIAC. Машина выдала 2037 знаков за 70 часов. В 1957 г. Г.Э. Фелтон
пытался вычислить 10 000 знаков Пи, но из-за ошибки компьютера только первые
7480 знаков оказались правильными. Рубеж в 10 000 знаков был достигнут годом
позже Ф. Женюи с помощью компьютера IBM 704.
В 1961 г. Дэниел Шенкс (по утверждению М.
Гарднера, не имеющий отношения к Уильяму Шенксу), и Джон У. Ренч-младший
вычислили 100 000 знаков p с помощью компьютера IBM 7090 менее чем за 9 часов.
Отметка в миллион знаков была пройдена в 1973 г.
Жаном Гийу и М. Буйе. Это заняло чуть меньше суток работы компьютера CDC 7600.
(Вычисления Шенкса - Ренча и Гийу - Буйе были проделаны дважды при помощи двух
разных выражений для Пи через арктангенсы. С учетом всех ошибок, допущенных в
подобных вычислениях как человеком, так и машиной, только после такой проверки
современные «охотники за знаками» считают рекорд официально установленным).
Главная причина, по которой стало возможным все
более точное вычисление Пи, состояла в увеличении быстродействия компьютеров.
Однако вскоре выявились серьезные препятствия к дальнейшему росту точности. При
традиционных способах выполнения на компьютере арифметических действий, если бы
мы захотели удвоить число знаков, нам пришлось бы увеличить время вычислений по
крайней мере вчетверо. Таким образом, даже при стократном увеличении
быстродействия программе Гийу и Буйе для получения миллиардного знака Пи
понадобилось бы четверть века машинного времени.
В 70-е годы казалось, что такое вычисление
практически невыполнимо. Однако теперь эта задача осуществима, причем не только
благодаря появлению «скоростных» компьютеров, но и благодаря применению новых
методов умножения чисел. В 1982 г. за 30 часов работы компьютера HITAC M-280H
они вычислили 16 777 206 знаков Пи. В 80-х годах Джонотан Борвейн и Питер
Борвейн предложили квадратично сходящийся алгоритм, в котором на каждой
итерации число знаков увеличивается вчетверо.
В январе 1986 г. Дэвид X. Бейли из
Исследовательского центра Национального управления по аэронавтике и
исследованию космического пространства, пользуясь этим алгоритмом, после 12
итераций на суперкомпьютере Сгау-2 получил 29 360 000 десятичных знаков Пи. Год
спустя Я. Канада и его сотрудники выполнили еще одну итерацию на
суперкомпьютере NEC SX-2 и получили 134 217 000 знаков, проверив тем самым
своей более ранний такой же результат, полученный с помощью алгоритма
Гаусса-Брента-Саламина. Еще две итерации алгоритма - дали бы более двух
миллиардов знаков Пи.
В 1988 (Канада и Тамура) удалось за 6 часов на
компьютере Hitachi 820 вычислить 201 326 551 правильных знаков Пи. В 1989 г.
было установлено два рекорда в вычислениях Пи: 500 000 000 и 1 миллиард знаков.
В 1989 г. братья Чудновские вычислили 1 011 196 961 десятичных цифр числа Пи за
120 час. работы суперкомпьютера IBM 3090/VF и за 28 час. работы CRAY 2. Эти
компьютеры они установили у себя дома в Ист-Сайде (Манхеттен. Нью-Йорк). Братья
использовали формулу:
Но в скором времени Канада, применив алгоритм
Гаусса-Брента-Салмина, за 161 час работы компьютера вычислил 1 073 741 799 цифр
числа Пи. Затем братья Чудновские в 1991 г. вычислили 2.16 миллиарда цифр, к
1994 г. они перешли рубеж в 4 миллиарда цифр. В октябре 1995 г. Канада и
Такахаши вычислили 6 442 450 938 цифр числа Пи. В 1996 г. был установлен рекорд
8 миллиардов цифр, а в 1997 г. за 29 час. работы суперкомпьютера Hitachi SR2201
было получено 51 539 600 000 цифр. Суперкомпьютер Hitachi SR2201 содержит 1024
процессоров и 212 гигабайт RAM (ОЗУ).
В сентябре 1999 г. в Токийском Университете
Д.Такахаши и Я.Канада вычислили на компьютере HITACHI SR8000 со 128
процессорами 206,158,430,000 цифры числа Пи. В 2002 г. группа японских ученых
из токийского университета во главе с профессором Ясумасой Канадой сумела
поставить новый мировой рекорд - посчитать число Пи до 1.24-триллионного знака.
Таким образом японцы протестировали новый суперкомпьютер Hitachi. Машина
посчитала это число за 400 часов рабочего времени. Программа для выполнения
этой операции разрабатывалась в течение пяти лет. Суперкомпьютер, поставивший
рекорд, способен выполнять два триллиона операций в секунду. Рекорд Я. Канады и
его сотрудников продержался до 2009 г. В 2009 г. ученым из Университета Цукуба
(Япония) удалось превзойти своих коллег более чем в два раза: новый рекорд
точности вычисления числа Пи составляет более чем 2,5 триллиона цифр после
запятой. Если быть совсем точным, последовательность насчитывает 2 576 980 377
524 десятичных разрядов.
Вычисления проводились на суперкомпьютере T2K
Tsukuba System, оборудованном 640 процессорами AMD Opteron с четырьмя ядрами,
обеспечивающими суммарную производительность до 95 триллионов операций с плавающей
запятой в секунду. На расчеты числа Пи ушло 73 часа 36 минут. Для сравнения:
предыдущее рекордное вычисление длилось 600 часов.
Интересные π-факты
Обозначение числа Пи происходит от греческого
слова perijerio ("окружность"). Впервые это обозначение использовал в
1706 году английский математик У.Джонс, но общепринятым оно стало после того,
как его (начиная с 1736 года) стал систематически употреблять Леонард Эйлер.
Последовательность цифр 0123456789 появляется в
следующих позициях числа Пи: 17 387 594 880; 26 852 899 256; 30 243 957 439; 34
549 153 953; 41 952 536 161; 43 289 964 000.
Последовательность цифр 9876543210 появляется в
следующих позициях числа Пи: 21 981 157 633; 29 832 636 867; 39 232 573 648; 42
140 457 481; 43 065 796 214.
Последовательность цифр 09876543210 - в позиции
42 321 758 803.
Последовательность цифр 27182818284 (число е) -
в позиции 45 111 908 393.
Последовательность цифр 314159 вторично
появляется в позиции 176451. Эта последовательность цифр появляется 7 раз в
первых 10 миллионах цифр числа Пи (не считая первого появления).
В первых 200,000,000,000 десятичных знаках Пи
цифры встречались с такой частотой:
Таблица.
|
0
|
1
|
2
|
3
|
4
|
|
20000030841
|
19999914711
|
20000136978
|
20000069393
|
19999921691
|
|
5
|
6
|
7
|
8
|
9
|
|
19999917053
|
19999881515
|
19999967594
|
20000291044
|
19999869180
|
Выписывая последовательность натуральных чисел,
составленных их цифр числа Пи, получим ряд: 3, 31, 314, 3141, 31415, 314159,…
Первая тысяча элементов этого ряд содержит только 4 простых числа.
В десятичных позициях числа Пи 7, 22, 113, 355 -
цифра 2. Дроби 22/7 и 355/113 - хорошие приближения к числу Пи.
Число Пи можно представить не только в
десятичной форме, но и в двоичной, т.е. с использованием только двух цифр 0 и
1. 11.0010010000111111011010101000100010000101101000110000100011010011
С числом Пи в двоичном представлении можно
делать интересные вещи, например, представить его в виде точек - получится
сверхъестественная картина, или даже слушать это число. Так как Пи содержит
бесконечное число цифр, то можно предположить, что любое сочетание цифр можно
встретить в нем. В фантастической книге Карла Сагана «Контакт», в числе Пи,
представленном по основанию 11 (с помощью 11 цифр) найдено сообщение от существ
построивших Вселенную.
Сатана не появляется в Пи слишком быстро: первый
раз '666' появляется - в позиции 2440.
Половина окружности круга с радиусом 1 - точно
Пи. Площадь этого круга - также точно Пи.
Нельзя построить квадрат, равный по площади
заданному кругу за конечное число шагов. Задача квадратуры круга неразрешима!
Известны еще две «классические» неразрешимые
задачи: задача об удвоении куба, т.е. об определении стороны куба, объем
которого вдвое больше объема заданного куба; задача о трисекции угла, т.е. о
делении угла на три равные части. Как и задача о квадратуре круга, эти задачи
неразрешимы при использовании только циркуля и линейки, т.е. при построении
только прямых и окружностей.
В Древней Греции буква π
обозначала число 80.
Ноль не появляется в Пи до 31 цифры.
Дробь (22 / 7) - хорошее приближение к Пи. Она
дает точность до 0.04025%.
Другая дробь, используемая для приближения к Пи
- (355/113), она дает точность до 0.00000849%.
Ещё более точная, но менее легко запоминаемая
дробь - (104348/33215) - её точность 0.00000001056%.
Первые 39 цифр числа Пи удовлетворяют всем
вообразимым применениям: длина окружности вращения Вселенной может быть
вычислена с точностью радиуса протона.
Многие иррациональные числа, выражающиеся
формулой , где n-целое число, весьма близки к целым числам.
Например, при n=4 получим 1419434515994220370000.000000
Законодательная палата штата Индиана приняла в
1897 г. законопроект 246, в котором число Пи принято равным 3. В
действительности формулировка законопроекта весьма неясна и может
интерпретировать число Пи как 3.2, 4 или 9.2376. Законопроект противоречит
правилам элементарной геометрии и самому себе. Рассмотрение законопроекта было
отложено на неопределенный срок.
Сфотографированное беспилотным космическим
кораблем «Викинг» (1976 г.) геологическое образование на Марсе районе Плато
Сидония, имеющее форму пирамиды, названое D&M Пирамида, повернуто на 40.868
градусов на Север Марса, что точно соответствует arctg(e/π).
Другие углы D&M Пирамиды также связаны с e и Пи.
В Библии, в Третьей Книге Царств (7:23),
сказано: «Он(Соломон) выстроил круглый бассейн из литого металла размерами
десять мер от обода до обода (диаметр=10) и пять мер высотой. Это дало линию
вокруг тридцать мер длиной (длина окружности=30)». Таким образом, в Библии,
«книге данной людям Богом», число Пи равно 3, т.е. берется весьма неточно.
Однако, «мудрость Бога более велика, нежели
мудрость человека». Известно, что слово "линия" на иврите, языке, на
котором написана первая Библия, пишется так- ÷å
Тем не менее, в приведенном отрывке слово "линия" на иврите написано
с дополнительной буквой ÷åä.
Поскольку в иврите нет обозначений цифр, то для
них используются буквы ÷ -100
(произносится 'каф'), å -6 ('вау'),
ä
-5 ('хей').
÷åä=5+6+100=111
֌=6+100=106.
На иврите слова читаются справа налево.
Отношение 111/106=1.0471698 Неверное значение
Пи, приведенное в Библии =3, но 3*1.0471698=3.14150943… . Истинное значение Пи
равно 3.1415926…, т.е. разность между 3*111/106 и Пи равна 0.0000832, что дает
относительную ошибку 0.00026%.
Чемпионом по запоминанию цифр числа Пи является
Хироиоки Готу (Hiroyoki Gotu), который помнил 42 000 цифр!
А. Айткен (A.C. Aitken) из Эдинбургского
Университета мог для первых 2000 цифр числа Пи назвать цифру в любой десятичной
позиции.
Если N раз выбрать два случайных числа x и y,
значения которых лежат в диапазоне от -1 до 1 и подсчитать число М, когда
удовлетворяется условие x2+y2<1, при стремлении N к бесконечности, π=4M/N.
Большинство людей уверены, что круг не имеет
углов, правильнее было бы сказать, что круг имеет бесконечное множество углов.
Паровозное колесо - правильный 96-угольник, так как легче ковать.
Число Пи приблизительно равно (6/5)φ2
,
где φ=
золотое
сечение, другое интересное число, которое присутствует в природе и в искусстве.
Геометрический смысл числа φ
заключается в следующем. Если отрезок прямой разделить на два отрезка А и В, то
они образуют золотое сечение, если длина всего отрезка А+В находится в таком же
отношении к длине А, как и длина отрезка А к В. Если В принять равным 1, то
(A+1)/A=A/1 . Отсюда получается длина отрезка А и значение φ.
Золотое сечение было известно древним грекам и
вряд ли можно сомневаться, что греческие архитекторы и скульпторы сознательно
использовали его в своих творениях. Примером может служить, хотя бы Парфенон в
Афинах.
Число π=n
sin(180/n). При n=1000 и установив режим калькулятора «Градусы», получим π=3.1415874….
При увеличении n точность вычисления p возрастает.
Коханский нашел, что Пи является приблизительным
корнем уравнения: 9х4-240х2+1492=0
В году около π107
секунд (точно время оборота Земли вокруг Солнца 365 дней 5 часов 48 мин 46
сек=3.1556926 107 секунд, ошибка 1 день 15 час 10 мин или 0,47%).
До сих пор не доказано, что π+е,
π/e,
lnπ
- иррациональны.
В десятичной позиции 762 числа Пи идут четыре
девятки в ряд. Эта позиция носит название позиция Фейнмана (Feynman Point)
Эдмунд Ландау после того как он в 1934 г. заявил
(совершенно правильно), что π/2
есть некоторое значение x, которое лежит в диапазоне от 1 до 2 и при котором
cos(x) стремиться к нулю, был уволен нацистами за преподавание в «негерманском
стиле».
Если записать заглавные буквы английского
алфавита по часовой стрелке в круг и вычеркнуть буквы имеющие симметрию слева -
направо: A,H,I,M,O,T,U,V,W,X,Y, то оставшиеся буквы образуют группы по
3,1,4,1,6 букв. ABCDEFGHIJKLMNOPQRSTUVWXYZ 6 3 1 4 1
С русским алфавитом так не выйдет!
В 1931 г. один предприниматель из Кливленда
(США) издал книгу, в которой утверждал, что Пи точно равно 256/81.
Приведенный ниже текст замечателен тем, что
количество букв в его словах цифры числа Пи: «Это я знаю и помню прекрасно, пи
многие знаки мне лишни, напрасны». Подобный текст
на
английском
в
лимерике
:
"Three point one four one five
nine twobeen around forever - its not newappears everywherehere and in
thereirrational I know but its true!"
(Три точка один четыре пять девять два
Они вокруг навсегда - это не ново.
Они появляются везде
То там, то тут.
Они иррациональны, я знаю эту истину)
Есть гипотезы, предполагающие, что в числе Пи
скрыта любая информация, которая когда-либо была или будет доступна людям. В том
числе и различные предсказания - надо только их найти и расшифровать, имея под
рукой компьютер это не составит большого труда.
День числа Пи отмечается любителями математики
14 марта в 1:59.
Этот неофициальный праздник придумал в 1987 году
физик из Сан-Франциско Ларри Шоу (Larry Shaw), который подметил, что в
американской системе записи дат (месяц/число) дата 14 марта - 3/14 - и время
1:59 совпадает с первыми разрядами числа π
= 3,14159).
Обычно празднуют в 1:59 дня (в 12-часовой
системе), но придерживающиеся 24-часовой системы считают, что это 13:59, и
предпочитают отмечать ночью.
В это время читают хвалебные речи в честь числа
Пи, его роли в жизни человечества, рисуют антиутопические картины мира без Пи,
пекут и едят «пи-рог» («pie») с изображением греческой буквы «пи» или с первыми
цифрами самого числа, пьют напитки и играют в игры, начинающиеся на «пи»,
решают математические головоломки и загадки, водят хороводы вокруг предметов,
связанных с этим числом.
Празднуют и день приближённого значения Пи - 22 июля
(22/7).
Примечательно, что в этот же день родился
Альберт Эйнштейн - создатель теории относительности.
Хоть Пи и считается бесконечным числом, в
настоящее время выявлено только 5 триллионов знаков после запятой. Человек с
философским складом ума вполне имеет право спросить - "почему Пи считается
бесконечным числом, коли еще не найдены все числа после запятой?" :)
Рекорд запоминания числа Пи принадлежит украинцу
Андрею Слюсарчуку, который запомнил 30 миллионов (!!!) знаков числа после
запятой. Поскольку простое перечисление этого заняло бы целый год, то судьи
проверяли Слюсарчука следующим образом - они просили его назвать произвольные
последовательности числа Пи с любого из 30 миллионов знака. Сверялся ответ по
20-томной распечатке.
В мире есть памятник числу Пи - он установлен в
Сиэтле перед зданием музея искусств:
Рис.
Существуют и Пи-клубы, члены которого, являясь
фанатами загадочного математического феномена, собирают все новые сведения о
числе Пи и пытаются разгадать его тайну.
В 2005 году певица Кейт Буш (Kate Bush)
выпустила альбом "Aerial", в котором была песня про число Пи. В
песне, которую певица так и назвала - "Пи", прозвучали 124 числа из
знаменитого числового ряда 3,141… Хотя Кейт Буш вряд ли примут в клуб фанатов
Пи. В ее песне неправильно названо 25-е число последовательности, да и потом
исчезли куда-то целых 22 числа. Во кабы продюссером этой песни был бы Андрей
Слюсарчук - все могло быть иначе :)
Заключение
Из курса школьной математики мы знаем, что число
Пи (греческая буква π) - это
математическая константа, выражающая отношение длины окружности к длине её
диаметра. Число Пи иррационально и бесконечно. Существует масса формул, которые
вычисляют эту константу, формулы эти были выведены как древними учеными, так и
современными математиками.
Большинство из нас будут удивлены, узнав,
сколько людей интересуется числом π.
В школе на геометрии мы уяснили, что это отношение длины окружности к диаметру,
что ж тут может быть интересного? Но познакомившись поближе с этим числом, мы
будем удивлены еще больше, ибо история человечества предстанет перед нами, как
череда усилий величайших умов по уточнению знаков числа π
и поисков алгоритмов для этого процесса.
Изучение числа π
еще далеко незавершенный этап. И человечество ждёт многие научные открытия,
связанные с этим числом.
Список литературы
.Груденов
Я.И. Изучение определений, аксиом, теорем: пособие для учителей/Я.И. Груденов.
М.: Просвещение, 1981. 95 с.
.Жуков
А.В. Вездесущее число Либроком М: 2011
.Костовский
А.Н. Геометрические построения одним циркулем/А.Н.Костовский; 3-е изд. М.:
Наука, 1988. Вып. 29: Популярные лекции по математике.
.Кымпан
Ф. История числа пи М.: Наука, 1971. -216 с
.Математический
энциклопедический словарь/гл. ред. Ю.В.Прохоров. М.: Советская энциклопедия,
1998.
.Митропольский
А.К. Краткие математические таблицы/А.К.Митропольский; ред. А.З.Рывкин. М.: ФМ,
1962. 96 с.
.Рывкин
А.А. Справочник по математике/А.А.Рывкин, А.З.Рывкин, Л.С.Хренов. М.: Высшая
школа, 1964. 520 с.
.Симонов
Р.А. Математическая мысль древней Руси/Р.А Симонов. М.: Наука, 1977. 120 с.
(История науки и техники).
.Цыпкин
А.Г. Справочник по математике для средней школы/А.Г.Цыпкин; под ред.
С.А.Степанова. М.: Наука, ФМ, 1980. 400 с. Чистяков В.Д. Три знаменитые
задачи древности: пособие для внеклассной работы/В.Д.Чистяков. М.: Учпедгиз,
1963. 95 с.
.Шевелев
И.Ш. Золотое сечение: три взгляда на природу гармонии/И.Ш.Шевелев,
М.А.Марутаев, И.П.Шмелев. М.: Стройиздат, 1990. 343 с.
.Яковлев
В.И. Математические начала: учеб. пособие для вузов по специальности
(направлению) "Математика"/В.И.Яковлев. М.; Ижевск: НИЦ
"Регулярная и хаотическая динамика", 2005. 224 с.
Приложение
Число π
