История математических констант - числа "пи" и "е"

  • Вид работы:
    Реферат
  • Предмет:
    Математика
  • Язык:
    Русский
    ,
    Формат файла:
    MS Word
    125,10 kb
  • Опубликовано:
    2010-12-05
Вы можете узнать стоимость помощи в написании студенческой работы.
Помощь в написании работы, которую точно примут!

История математических констант - числа "пи" и "е"

Введение


Числа много тысячелетий назад вошли в жизнь и быт людей. Человек их использует не только при счёте и вычислениях, он придумал различные игры с числами и шарады. Некоторые числа наделил сверхъестественными свойствами, например, такие как 13, 666. Среди бесконечного множества действительных чисел существуют ещё особенные, и не только для математиков, числа p и е. Эти числа имеют свои собственные обозначения, так как их нельзя записать точно с помощью цифр. Числа 3,14 и 2,7 лишь одни из приближённых значений чисел π и е. Эти числа являются иррациональными и трансцендентными, для их точного определения не хватило бы и триллиона десятичных знаков.

"Математиками изучены последовательности цифр е и p, и выяснено, что все цифры в этом числе встречаются с одинаковой частотой". Эти числа могут заворожить своей непокорностью, в особенности p. "Этому числу удавалось в течении тысячелетий держать в плену мысли и чувства не только математиков и астрономов, но и философов и художников". Тратились годы для вычисления нескольких десятичных знаков числа p.

История числа p


"Письменная история числа p начинается с египетского папируса, датируемого примерно 2000 годом до нашей эры, но оно было известно еще древним людям. Число p обратило на себя внимание людей ещё в те времена, когда они не умели письменно излагать ни своих знаний, ни своих переживаний, ни своих воспоминаний. С тех пор как первые натуральные числа 1,2,3,4,… стали неразлучными спутниками человеческой мысли, помогая оценивать количества предметов либо их длины, площади или объёмы, люди познакомились с числом p. Тогда оно ещё не обозначалось одной из букв греческого алфавита и его роль играло число 3. Нетрудно понять, почему числу p уделяли так много внимания. Выражая величину отношения между длиной окружности и её диаметром, оно появилось во всех расчётах связанных с площадью круга или длиной окружности". Но уже в глубокой древности математики довольно быстро и не без удивления обнаружили, что число 3 не совсем точно выражает то, что теперь известно как число пи. Безусловно, к такому выводу могли прийти только после того, как к ряду натуральных чисел добавились дробные или рациональные числа. Так египтяне получили результат: Формула В дальнейшем Архимед, используя метод верхних и нижних приближений, получает следующие границы числа пи. Индусы в V-VI веках пользовались числом Формула, китайцы - числом Формула

"Обозначение числа p происходит от греческого слова Греческое слово ("окружность"). Впервые это обозначение использовал в 1706 году английский математик У. Джонс, но общепринятым оно стало после того, как его (начиная с 1736 года) стал систематически употреблять Леонард Эйлер". В конце 18 века И. Ламберт и А. Лежандр установили, что p иррациональное число, а в 1882 году Ф. Лидерман доказал, что оно трансцендентное, т.е. не может удовлетворять никакому алгебраическому уравнению с целыми коэффициентами.

На протяжении всего существования числа p, вплоть до наших дней, велась своеобразная "погоня" за десятичными знаками числа p. Леонардо Фибоначи около 1220 года определил три первых точных десятичных знаков числа p. В 16 веке Андриан Антонис определил 6 таких знаков. Франсуа Виет (подобно Архимеду), вычисляя периметры вписанного и описанного 322216-угольников, получил 9 точных десятичных знаков. Андриан Ван Ромен таким же способом получил 15 десятичных знаков, вычисляя периметры 1073741824-угольников. Лудольф Ван Кёлен, вычисляя периметры 32512254720-угольников, получил 20 точных десятичных знаков. Авраам Шарп получил 72 точных десятичных знаков числа p. В 1844 году З. Дазе вычисляет 200 знаков после запятой числа p, в 1847 году Т. Клаузен получает 248 знаков, в1853 Рихтер вычисляет 330 знаков, в том же 1853 году 440 знаков получает З. Дазе и в этом же году У. Шенкс получает 513 знаков. "С появлением ЭВМ количество верных знаков десятичных знаков резко возрастает:

1949 год - 2037 десятичных знаков (Джон фон Нейман, ENIAC), 1958 год - 10000 десятичных знаков (Ф. Женюи, IBM-704), 1961 год - 100000 десятичных знаков (Д. Шенкс, IBM-7090), 1973 год - 10000000 десятичных знаков (Ж. Гийу, М. Буйе, CDC-7600), 1986 год - 29360000 десятичных знаков (Д. Бейли, Cray-2), 1987 год - 134217000 десятичных знаков (Я. Канада, NEC SX2), 1989 год - 1011196691 десятичных знаков (Д. Гудновски и Г. Гудновски, Cray-2+IBM-3040)"

При вычислении верных десятичных знаков числа p пользовались различными способами, некоторые, как и Архимед вычисляли периметры вписанных и описанных n-угольников, но позднее стали прибегать к помощи рядов.

Так Лейбниц вычислял с помощью ряда:

Формула

Шарп применил ряд:

Формула

Л. Эйлер с помощью ряда:

Формула

З. Дазе использовал ряд.

Джон Валлис (1616-1703) нашёл бесконечное произведение, с помощью которого можно вычислить число пи:

Формула

 

Определение числа p

Теорема: Отношение длины окружности к её диаметру одинаково для всех окружностей.

Доказательство.

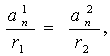
Обозначим через L - длину окружности, через d - её диаметр, то формулировка теоремы запишется следующим образом: Формула Рассмотрим правильный n-угольник, вписанный в окружность радиуса r со стороной аn и периметром Рn, то Формула Докажем, что отношение одинаково для всех окружностей. Рассмотрим две произвольные окружности с вписанными в них правильными n-угольниками. Из подобия треугольников АОВ и А1О1В1 следует, что Формула т.к. окружности брали произвольные, то это равенство будет справедливо для всех окружностей. Итак,Формула для всех окружностей, следовательно Формула Это отношение длины окружности к её диаметру принято обозначать греческой буквой "p".

Определение: Числом p называется отношение длины окружности к её диаметру.

История числа е


Число Формулапоявилось сравнительно недавно. Его иногда называют "неперовым числом" в честь изобретателя логарифмов шотландского математика Джона Непера (1550-1617), однако необоснованно, так как нет твёрдых оснований для утверждения, что Непер имел о числе е чёткое представление" [10]. Впервые обозначение "е" ввёл Леонард Эйлер (1707-1783). Он также вычислил точные 23 десятичные знака этого числа, использовав представление числа е в виде бесконечного числового ряда: Формулаполученное Даниилом Бернули (1700-1782). "В 1873 году Эрмит доказал трансцендентность числа е.Л. Эйлер получил замечательный результат, связывающий числа е, p, иФормула: Формула. Ему принадлежит и заслуга определения функции Формуладля комплексных значений z, что положило начало математическому анализу в комплексной области - теории функций комплексного переменного" [10]. Эйлером были получены следующие формулы: Формула Рассматривают логарифмы по основанию е, называемые натуральными и обозначаются Lnx.

Способы определения

Число e может быть определено несколькими способами.

Через предел:

e = \lim_{n\to\infty} \left(1+\frac{1}{n}\right)^n (второй замечательный предел) .

Как сумма ряда:

e = \sum_{n=0}^{\infty}{\frac{1}{n!}}или {\frac{1}{e}} = \sum_{n=2}^{\infty}{\frac{(-1)^{n}}{n!}}.

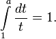
Как единственное число a, для которого выполняется

\int\limits_{1}^{a} \frac{dt}{t} = 1.

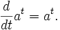
Как единственное положительное число a, для которого верно

\frac d {dt} a^t = a^t.

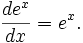
Свойства

 \frac{de^x }{dx} = e^x. Данное свойство играет важную роль в решении дифференциальных уравнений. Так, например, единственным решением дифференциального уравнения \frac{df(x)}{dx} = f(x)является функция \!f(x) = c e^x, где c - произвольная константа.

Число e иррационально и даже трансцендентно. Это первое число, которое не было выведено как трансцендентное специально, его трансцендентность была доказана только в 1873 году Шарлем Эрмитом. Предполагается, что e - нормальное число, то есть вероятность появления разных цифр в его записи одинакова.

\!e^{ix} = \cos(x) + i \sin(x), см. формула Эйлера, в частности

e^{i\pi} + 1 = 0. \,\!

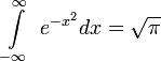
Ещё одна формула, связывающая числа е и π, т. н. "интеграл Пуассона" или "интеграл Гаусса"

\int\limits_{-\infty}^{\infty}\ e^{-x^2}{dx} = \sqrt{\pi}

Для любого комплексного числа z верны следующие равенства:

e^z=\sum_{n=0}^\infty \frac{1}{n!}z^n=\lim_{n\to\infty}\left(1+\frac{z}{n}\right)^n.

Число e разлагается в бесконечную цепную дробь следующим образом:

e = [2; \;1, 2, 1, \;1, 4, 1, \;1, 6, 1, \;1, 8, 1, \;1, 10, 1, \ldots] \,, то есть

e = 2+\cfrac{1}{1 + \cfrac{1}{2 + \cfrac{1}{1 + \cfrac{1}{1 + \cfrac{1}{4 + \cfrac{1}{1 + \cfrac{1}{1 + \cfrac{1}{6 + \cfrac{1}{1 + \cfrac{1}{1 + \cfrac{1}{8 + \ldots}}}}}}}}}}}

e = \lim_{n\to\infty} \frac{n}{\sqrt[n]{n!}}.

Представление Каталана:

e=2\cdot\sqrt{\frac{4}{3}}\cdot\sqrt[4]{\frac{6\cdot 8}{5\cdot 7}}\cdot\sqrt[8]{\frac{10\cdot 12\cdot 14\cdot 16}{9\cdot 11\cdot 13\cdot 15}}\cdots

История


Данное число иногда называют неперовым в честь шотландского учёного Непера, автора работы "Описание удивительной таблицы логарифмов" (1614 год). Однако это название не совсем корректно, так как у него логарифм числа x был равен

10^7\cdot\,\log_{1/e}\left(\frac{x}{10^7}\right) \,\!.

Впервые константа негласно присутствует в приложении к переводу на английский язык вышеупомянутой работы Непера, опубликованному в 1618 году. Негласно, потому что там содержится только таблица натуральных логарифмов, определённых из кинематических соображений, сама же константа не присутствует (см.: Непер).

Предполагается, что автором таблицы был английский математик Отред.

Саму же константу впервые вычислил швейцарский математик Бернулли при анализе следующего предела:

\lim_{n\to\infty} \left(1+\frac{1}{n}\right)^n.

Первое известное использование этой константы, где она обозначалась буквой b, встречается в письмах Лейбница Гюйгенсу, 1690-1691 годы.

Букву e начал использовать Эйлер в 1727 году, а первой публикацией с этой буквой была его работа "Механика, или Наука о движении, изложенная аналитически" 1736 год. Соответственно, e обычно называют числом Эйлера. Хотя впоследствии некоторые учёные использовали букву c, буква e применялась чаще и в наши дни является стандартным обозначением.

Почему была выбрана именно буква e, точно неизвестно. Возможно, это связано с тем, что с неё начинается слово exponential ("показательный", "экспоненциальный"). Другое предположение заключается в том, что буквы a, b, c и d уже довольно широко использовались в иных целях, и e была первой "свободной" буквой. Неправдоподобно предположение, что Эйлер выбрал e как первую букву в своей фамилии (нем. Euler)  [источник не указан 334 дня] .

Мнемоника


Приблизительное значение зашифровано в: "Мы порхали и блистали, но застряли в перевале; не признали наши крали авторалли" (нужно выписать подряд цифры, выражающие число букв в словах следующего стишка, и поставить запятую после первого знака)

Запомнить как 2,7 и повторяющиеся 18, 28, 18, 28.

Мнемоническое правило: два и семь, далее два раза год рождения Льва Толстого (1828), затем углы равнобедренного прямоугольного треугольника (45, 90 и 45 градусов). Стихотворная мнемофраза, иллюстрирующая часть этого правила: "Экспоненту помнить способ есть простой: две и семь десятых, дважды Лев Толстой"

Цифры 45, 90 и 45 можно запоминать как "год победы над фашистской Германией, затем дважды этот год и снова он"

Правила e связывается с президентом США Эндрю Джексоном: 2 - столько раз избирался, 7 - он был седьмым президентом США, 1828 - год его избрания, повторяется дважды, поскольку Джексон дважды избирался. Затем - опять-таки равнобедренный прямоугольный треугольник.

С точностью до трёх знаков после запятой через "число дьявола": нужно разделить 666 на число, составленное из цифр 6 − 4, 6 − 2, 6 − 1 (три шестёрки, из которых в обратном порядке удаляются три первые степени двойки):

 {666 \over 245} \approx 2,718.

Запоминание e как \frac{666}{10 \cdot \sqrt{666} - 13}.

Грубое (с точностью до 0,001), но красивое приближение полагает e равным \pi \cdot \cos {\pi \over 6}. Совсем грубое (с точностью 0,01) приближение даётся выражением 5 \cdot \pi - 13.

"Правило Боинга": e \approx 4 \cdot \sin 0,747даёт неплохую точность 0,0005.

Стишки:

Два и семь, восемнадцать,

Двадцать восемь, восемнадцать,

Двадцать восемь, сорок пять,

Девяносто, сорок пять.

Доказательство иррациональности

Предположим, что \!eрационально. Тогда \!e=p/q, где \!p - целое, а \!q - натуральное и больше 1, т.к. \!e - не целое. Следовательно

\!p=eq

Умножая обе части уравнения на \!(q-1)!, получаем

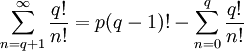
p(q-1)! = eq! = q!\sum_{n=0}^\infty{1\over n!} = \sum_{n=0}^\infty{q!\over n!} = \sum_{n=0}^q{q!\over n!}+\sum_{n=q+1}^\infty{q!\over n!}

Переносим \sum_{n=0}^q{q!\over n!}в левую часть:

\sum_{n=q+1}^\infty{q!\over n!} = p(q-1)! - \sum_{n=0}^q{q!\over n!}

Все слагаемые правой части целые, следовательно:

\sum_{n=q+1}^\infty{q!\over n!} - целое

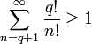
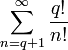
\sum_{n=q+1}^\infty{q!\over n!} \ge 1

Но с другой стороны

\sum_{n=q+1}^\infty{q!\over n!} = \sum_{m=1}^\infty{q!\over (q+m)!} = \sum_{m=1}^\infty{1\over (q+1)...(q+m)} < \sum_{m=1}^\infty{1\over (q+1)^m} = {1\over q} < 1

Получаем противоречие.

Интересные факты


В IPO компании Google в 2004 году было объявлено о намерении компании увеличить свою прибыль на 2 718 281 828 долларов. Заявленное число представляет собой первые 10 цифр известной математической константы.

В языках программирования символу e в экспоненциальной записи чисел соответствует число 10, а не Эйлерово число. Это связано с историей создания.

Ссылки:

История числа e (англ.)

e for 2.71828… (англ.) (история и правило Джексона)

Горобец, Борис Соломонович. Мировые константы в основных законах физики и физиологии // Наука и жизнь. - 2004. - № 2. - статья с примерами физического смысла констант π и e.

Числа с собственными именами


Если мы вспомним, что число е = 2,718281828., то увидим, что основание логарифмов Бюрги отличается от числа е только начиная с четвертого десятичного знака. Иоганн Кеплер, понимавший огромное значение таблиц Бюрги для вычислений, настойчиво рекомендовал ему опубликовать свой метод ко всеобщему сведению, но Бюрги медлил, и получилось так, что в печати раньше появились таблицы логарифмов другого автора. Таблицы Бюрги были изданы в 1620 г., а на 6 лет раньше (в 1614 г.) Джон Непер опубликовал составленные им таблицы под названием "Описание удивительной таблицы логарифмов". Шотландский барон Джон Непер (1550-1617) тоже не был специалистом-математиком. Он делил свои интересы между многими отраслями знания, причем главным образом занимался вопросами, имевшими непосредственное приложение к жизни. Так, он изобрел несколько сельскохозяйственных машин, а также некоторые военные приборы. В области математики Непер интересовался главным образом вопросами вычислительного характера, отыскивая способы для облегчения счета. Так, в сочинении "Рабдология", изданном в год его смерти, он описывает свой прибор, который в наше время носит название "неперовы палочки" и служит хорошим методическим пособием в школе. Этот прибор состоит из десяти основных палочек, на которых помещена таблица умножения. Левая палочка неподвижна, а все остальные могут менять свои места. В каждом квадратике таблицы проведены диагонали, причем в нижней части квадратика помещаются единицы частных произведений таблицы умножения, а в верхней - десятки. При помощи прибора Непера можно производить умножение и деление чисел, причем умножение заменяется сложением, а деление вычитанием. Если, например, нужно умножить число 684 на 4, то для этого ставим рядом палочки, имеющие сверху числа 6, 8 и 4, и обращаем внимание на клетки этих палочек, стоящие в одной строке с 4.

Список литературы


1. Бохан К.А. и др. Курс математического анализа т. II. - М.: Просвещение 1972.

2. Кымпан Ф. История числа p. - М.: Наука, Гл. ред. физ.-мат. лит., 1987.

3. Райк А.Е. Очерки по истории математики в древности. - Саранск, 1987.

4. Фихтенгольц Г.М. Основы математического анализа т. I, II. - М.: Государственное издательство технико-теоретической литературы, 1956.

5. Болтянский В. Экспонента. // Квант, 1984 №3.

6. Звонкин А. Что такое p // Квант, 1978 №11.

7. Кузьмин Е., Ширшов А. О числе е. // Квант, 1979 №8.

8. Калейдоскоп Число p. // Квант, 1996 №6.

Похожие работы на - История математических констант - числа "пи" и "е"

 

Не нашли материал для своей работы?
Поможем написать уникальную работу
Без плагиата!
Без нейросетей!