Число пи и реальная механика
Число пи и
реальная механика
Предисловие
механика пространственный пи число
Изложить свои мысли меня побудило два
обстоятельства: первое - хотелось объединить свои статьи из разных журналов, а
именно:
1. «Мир современной науки» №3
2012г. «Физический метод определения точного значения числа пи»
. «Мир современной науки» №4 2012г.
«Материально-энергетическая система и ее структура»
«Мир современной науки» №2 2013г.
«Реальная механика»
.«Проблемы современной науки и образования» №2
2013г «Число пи» и «Реальная механика»
Такое объединение послужило бы лучшему
восприятию материала.
Второе - «махровый консерватизм», процветающий в
российской науке: некоторые из тех ученых, которых я ознакомил с этой работой,
подозревают в ней нападки на существующие положения математики и классической
механики, и по этой причине сразу признают ее ошибочной. Однако история науки
знает немало примеров иных взглядов на Природу, которые двигали ее (науку)
вперед.
Величайшими реформаторами науки были Николай
Коперник и Альберт Эйнштейн.
Кстати, еще Ньютон пророчески заметил: «…Я
убедился, что либо не стоит сообщать ничего нового, либо придется тратить все
силы на защиту своего открытия».
Все годы, потраченные на эту работу, меня не
покидает надежда на то, что когда-нибудь я буду понят, что все мои силы отданы
не зря. Особую ставку я делаю на молодых ученых, которые еще не до конца
“испорчены” своими учителями.
1.О числе π
История числа π насчитывает более 2000
лет, начиная с Архимеда (II век до н.э.) и по настоящее время. Число π, как отношение длины
окружности к ее диаметру, имеет численное значение, определенное методом
удвоения сторон вписанного n-угольника (например, шестиугольника) и равно 3,14159…
(математический метод). Но если быть точным, то таким методом мы находим
отношение периметра вписанного в окружность n-угольника к диаметру этой
окружности.
Периметр вписанного n-угольника
при увеличении числа
сторон до 
, существует
но этот предел мнимый,
то есть недосягаемый. Примером такого предела является горизонт - стыковая
линия поверхности сферы и окружающего её пространства.
Если длину окружности
обозначить буквой 
, то можно записать:

,
или:
где первое слагаемое
есть
, а второе
(см. Рис.1).
Рис. 1. Изменение 
при 
Математическое число π
является иррациональным и трансцендентным.
Но кроме математического
(приближенного) метода определения значения числа пи существует более точный
физический метод.
Постановка задачи
Физический метод
определения численного значения числа π заключается
в том, что мы будем рассматривать окружность как материальное тело, например
как кольцо из пружинной проволоки, обладающее массой.
Мысленно разрежем это
проволочное кольцо, предоставив ему возможность развернуться, как бутон цветка
относительно т.1 (см. Рис.2).
Рис.2. Схема распускания
окружности относительно точки 1
На Рис.2 изображена
распускающаяся относительно точки 1 окружность, единичного радиуса 
.
При распускании окружности радиус
кривизны 
увеличивается от 
и до 
, а угол развертывания 
уменьшается от 
и до 
. При этом длины развернутых дуг
остаются равными длине исходной окружности, т.е. Rα=2πr. Центр
масс окружности в начальный момент (при 
) находится в точке 
. При
распускании окружности до 
, центры масс дуг
(точка 
) перемещаются в сторону
точки 1, к которой в пределе и стремятся. 
изменяется от 
до 
.
Центр масс круга,
ограниченного исходной окружностью, находится также в точке 
. При распускании
окружности центр масс секторов (точка 
), ограниченных
соответствующими дугами, перемещается в сторону точки 
, стремясь в пределе к 
. 
изменяется от 0 и до ∞.
При каком-то угле
развертывания и притом только одном, (в чем не трудно убедиться) наступит
случай, когда 

Задача заключается в
том, чтобы найти этот случай
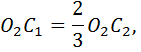
Решение задачи.
Из Рис.2 имеем:
В случае 
имеем:
Уравнение 1
трансцендентно и решить его не представляется возможным.
Но при этом :
тогда:
что дает:
В постановочной части
задачи имеются два обязательных условия ее решения, а именно: при 

должно выполняться: 1-
равенство
Rα=2πr
и 2- касание развернутых дуг и исходной окружности в т.1(см. Рис.2).
При 

имеем:
где: 
= 
, причем по второму
условию должно соблюдаться 
иначе касание
нарушится.
Но тогда:

{ 
И простое решение этой
системы уравнений дает, что 
!!!
Следовательно:
т.к.

а в итоге:
Найденное число 
физического происхождения.

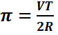
(2)
где:

- скорость движения материальной
точки вокруг силового центра (м/с),

- период обращения (с),

- радиус орбиты (м).
Если для земных дел всё это большой
роли не играет, то для понимания природы числа 
и для орбитальных расчётов имеет
важное значение.
Из всего вышесказанного важно понимание того,
что:
математическое число π
= 3,14159… - это отношение периметра вписанного в окружность n
- угольника к ее диаметру (при n→∞
) (хорда никогда не будет дугой по определению) физическое число π
= 3,14269…- это отношение окружности, как траектории
движения материальной точки вокруг силового центра, к ее диаметру (вспомните
циркуль)
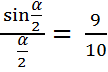
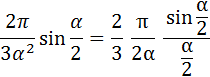
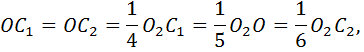
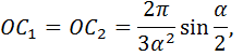
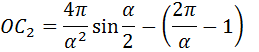
Четыре варианта решения задачи по определению
точного значения числа пи.
вариант
при 

вариант
при 


= 
вариант
при 


{

4 вариант
при 

(см.Рис.3)
{

Все эти варианты дают один и тот же
ответ:
!!!
Рис.3 Обоснование 4 варианта.
механика пространственный пи число
Реальная механика
Реальная механика - это физика, опирающаяся
только на природные факты, осмысление которых проводится на основе классических
законов и логики.
Реализм - философское направление, постулирующее
существование реальности, не зависящей от познающего объекта.
Центризм - подчинение всех элементов некоторой
системы всеобщему эквиваленту.
Циклизм - повторяющееся движение материи по
траектории, проходящей через одни и те же пункты и этапы.
Наука, изучающая движение и взаимодействие тел,
т. е. механика, подразделяется на ньютоновскую (не релятивистскую) и
энштейновскую (релятивистскую).
Ньютоновская механика несет в себе оттенок
идеализма - сознательное пренебрежение реальностью, связанного с некоторыми
допущениями и упрощениями. Так, например, моделью изучения в ней является
абсолютно твердое тело, которого нет в природе.
Упрощением является материальная точка
допускающая пренебрежение размерами тела. Оттенок идеализма несет в себе и
первый закон механики - закон инерции. Однако ньютоновская механика, со всеми
упрощениями и допущениями, и по сей день является величайшим достижением науки,
позволяющим решать земные (и не только) задачи. Но для дальнейшего движения к
ИСТИНЕ необходим поворот в сторону реализма Таким поворотом должна стать
реальная (т.е. естественная) механика, никоим образом не отрицающая
классическую, а только уточняющая и дополняющая ее (см. таблицу 1).
Таблица 1
|
Наука
|
Механика
|
|
|
Содержание
|
классическая
|
реальная
|
|
Объект
изучения
|
абсолютно-твёрдое
|
материально-энергетическая
|
|
(модель)
|
тело
(АТТ)
|
система
(МЭС)
|
|
Движение
|
поступательное
|
радиальное
|
|
объекта
|
вращательное
|
орбитальное
|
|
Взаимодействие
|
контактное
или
|
контактное
или
|
|
объектов
|
гравитационное
|
силовыми
полями
|
|
Закон
инерции
|
Закон
сохранения МЭС
|
|
Основные
|
Второй
закон
|
Закон
силового
|
|
F=ma
|
поля
МЭС
|
|
законы
|
Закон
движения
|
|
F12 = - F21
|
МЭС
|
2.Пространственно-временная система координат
Окружающий нас мир - есть объективная
реальность, фундаментом которой является центризм пространства-времени и
циклизм движения материи.
Движение любого тела в пространстве можно
рассматривать лишь по отношению к какому-либо другому телу, которое в этом
случае будет считаться телом отсчета. Совокупность тела отсчета и системы
координат позволяет определить положение одного тела по отношению к телу
отсчета. Наиболее используемая система координат - это прямоугольная (или
декартова) система координат.
Четырехмерная пространственно-временная система
координат (Рис.4) состоит из четырех взаимоперпендикулярных поверхностей, а
именно трех пространственных (декартовых) плоскостей (X,Y,Z)
и одной сферы, от радиуса R
которой (при M=const
) зависит течение времени (см. табл.2).


.Материально-энергетическая система
В отличие от классической механики,
где объектом изучения является абсолютно твердое тело, моделью реальной
механики является материально-энергетическая система (МЭС),
физико-математическая структура, которой приведена в таблице 2.
Любое природное тело состоит из
множества других более мелких тел, т. е. является системой тел.
Физическая система тел - это два (и
более) тела связанные между собой законами природы.
Одиночных, изолированных от
окружающего мира, тел в природе не существует. Вот почему, для более глубокого
понимания сущности физических явлений необходимо введение в механику понятия
материально-энергетической системы (МЭС).
Весь окружающий нас мир (от протона
и до Плутона) - есть бесконечное разнообразие МЭС, которые рождаются,
существуют и исчезают, превращаясь в другие МЭС.
Любая МЭС, как и все в природе,
имеет форму и содержание. По форме МЭС - это пространственно-временное
образование, т.е. одновременно существующее в четырехмерном
пространстве-времени (см. рис.4)
По содержанию любая МЭС состоит из
вещества, силового поля и находится в движении, т.е. имеет материальную,
энергетическую и кинематическую составляющие.
Форма и содержание МЭС (внешние
признаки) познаются через органы чувств, а свойства (внутренние признаки) МЭС
проявляются только при силовом взаимодействии МЭС с другой(другими) МЭС.
.Три закона реальной механики
Любая МЭС сохраняет свою форму и
содержание до тех пор, пока на нее не подействует другая (другие) МЭС (1-й
закон МЭС - закон сохранения).
Энергетический потенциал силового
поля МЭС, возбужденного силовым полем другой (других) МЭС, прямо пропорционален
квадрату массы исходной МЭС, при этом его гравитационный потенциал в 2π раз больше
инерционного (2-й закон МЭС - закон силового поля).
Причиной любого движения МЭС
является ее силовое взаимодействие с другой (другими) МЭС через силовые поля
или непосредственный контакт (3-й закон МЭС - закон движения)
Таблица 2. Физико-математическая структура МЭС
|
Форма
|
Четырёхмерное*
пространственно-временное образование *Четыре взаимоперпендикулярные
поверхности, в том числе три плоскости  и одна временная сфера  , радиус которой 
|
|
|
|
Содержание
|
Вещество
|
Поле
|
Движение
|
Плотность
а)
внешнее
б)
внутреннее
а)
радиальное 

б) орбитальное
|
|
|
|
Свойства
и параметры
|
Основные
|
Масса
|
Энергетический
потенциал
|
Траектория
(путь)
|
|
|
|
|
|
а)
внешний гравитационный 

инерционный 

б) внутренний
гравитационный

инерционный


а) радиальная


б) орбитальная
|
|
|
|
|
Производные
|
Инертность
|
Энергия
|
Скорость
|
|
|
а)
радиальная б)
орбитальная
|
а)
внешняя б)
внутренняя
|
а)
радиальная б)
орбитальная
|
|
|
Замедление
|
Силы
|
Ускорение
|
|
|
а)
радиальное б)
орбитальное
|
а)
внешние б)
внутренние
|
а)
радиальное б)
орбитальное
|
5.Виды движения МЭС
В классической механике рассматриваются два вида
механического движения - поступательное и вращательное. Оба эти вида движения
рассматриваются в теоретическом аспекте. Однако в реальном мире существуют два
практических вида движения материи - радиальное (к центру масс) и орбитальное
(вокруг центра масс). Остальные движения - есть их бесчисленные сочетания. Эти
виды движения обусловлены действием на тело радиальных и орбитальных сил (см.
Рис.6).
.Силовое поле МЭС
Содержание материальной (вещество) и
кинематической (движение) составляющих хорошо изучено. В данной статье будет
рассмотрена энергетическая составляющая МЭС, т.е. силовое поле.
Примерами силового поля являются гравитационные
и электромагнитные поля.
Силовое поле МЭС - это сферическое по форме и
силовое по содержанию образование, проявляющее свои свойства только при
взаимодействии с силовым полем другой (другими) МЭС.
Любое материальное образование (МЭС) обладает
внешним и внутренним силовым полем (см. Рис.5).
Одной из основных составляющих внешнего и
внутреннего силового поля является гравитационное поле. Но кроме гравитационной
любая МЭС обладает инерционной составляющей. Силовые линии гравитационного поля
проходят диаметрально через центр масс МЭС, а силовые линии инерционного поля -
это концентрические окружности с центром, совпадающим с центром масс МЭС. И
внешнему и внутреннему силовому полю соответствует своя константа. У внешнего
поля это хорошо известная гравитационная постоянная G,
а у внутреннего k -
внутренняя гравитационная постоянная. Они связаны между собой третьей
фундаментальной физической константой - числом π следующим
образом:
где: 
;

;


- плотность МЭС.
Все три константы выражения 1
являются константами силового поля МЭС.
Внешняя и внутренняя составляющие
силового поля МЭС обладают напряженностью:

;
где:

- нормальная (радиальная)
напряженность гравитационного поля

тангенциальная (орбитальная)
напряженность инерционного поля. Основным свойством силового поля МЭС является
энергетический потенциал.
Производными от энергетического
потенциала являются энергия и движущие силы (см. таблицу 2).
Рис.5
Где: М - масса МЭС 
Кроме того: в результате
взаимодействия силовых полей МЭС и материальной точки имеем:
ц.м.-центр масс МЭС
м.т.-материальная точка массой m≤М
R-расстояние
от центра масс МЭС до материальной точки (м)
V-орбитальная
скорость движения материальной точки (м/с) V=const.
Т-период обращения материальной
точки вокруг центра масс МЭС (с)

движущая (орбитальная) сила


сила инерции (орбитальная)


движущая (радиальная) сила


центробежная сила инерции


Заключение
Предлагаемая реальная механика и
материально-энергетическая система (МЭС) являются удачной моделью, для
объяснения и понимания многих физических явлений природы. Так, например:
а) масса МЭС - это совокупное свойство материи,
проявляющееся только при силовом взаимодействии с другой (другими) МЭС и
способствующее сохранению положения МЭС в пространстве и времени масса МЭС -
это мера ее инертности.
б) энергетический потенциал силового поля МЭС -
это совокупное свойство материи, проявляющееся только при силовом
взаимодействии с другой (другими) МЭСи способствующее изменению положения МЭС в
пространстве и времени силовое поле МЭС - источник движущих сил, как
радиальных, так и орбитальных
в) становится понятной природа внутренней
энергии Земли как следствие гигантского трения близлежащих пластов из-за
разности скоростей их вращения вокруг центра масс Земли и в связи с этим
образование электромагнитного поля Земли
г) механизм гравитации, как следствие
взаимодействия силовых полей, а не материи, которая инертна
д) природа сил инерции, как внутренних сил
сопротивления материи внешнему воздействию и т.д.
В настоящее время существует много разных
механик:
классическая
небесная
механика твердого тела
ОТО
квантовая
и др.
Казалось бы, зачем нужна реальная механика?
Да потому, что классическая механика Ньютона,
которой более 300 лет, исчерпала себя, и стала, в наше время тормозом в
познании Природы. Ее преемницей должна стать новая механика, которая поведет
науку дальше. Такой механикой, как я считаю, должна стать реальная, то есть
естественная, механика, не перегруженная математикой, раскрывающая физическую
сущность окружающего нас мира.
Построенное к началу ХХ века здание классической
физики казалось завершенным. Однако наиболее проницательные физики понимали,
что в ней есть слабые места.
В ХХ веке физическая наука оказалась заложницей
мировой милитаризации. Сильные мира сего, требовали от науки открытий в военной
области, а уж потом эти открытия использовались в мирных целях. В авангарде
науки шли квантовая и атомная физики. Государство не жалело на это никаких
средств, вся научная элита стремилась быть в первых рядах этой гонки, быть выше
всех. И никому из них, а так же их детям и внукам, не приходило в голову
спуститься в подвал и посмотреть на устаревший фундамент. Прикладная наука
затмила фундаментальную, которая сегодня является уделом бескорыстных
энтузиастов.