Моделирование системы поддержания давления в нефтепроводе

  • Вид работы:
    Дипломная (ВКР)
  • Предмет:
    Физика
  • Язык:
    Русский
    ,
    Формат файла:
    MS Word
    915,11 Кб
  • Опубликовано:
    2012-10-22
Вы можете узнать стоимость помощи в написании студенческой работы.
Помощь в написании работы, которую точно примут!

Моделирование системы поддержания давления в нефтепроводе

РЕФЕРАТ

Дипломная работа включает в себя пояснительную записку, состоящую из 38 страниц машинописного текста, 9 иллюстраций, 2 таблиц, 12 использованных источников и 3 листов графического материала.

МАГИСТРАЛЬНЫЙ НЕФТЕПРОВОД, НЕФТЕПЕРЕКАЧИВАЮЩАЯ СТАНЦИЯ, АСИНХРОННЫЙ ДВИГАТЕЛЬ, ПРЕОБРАЗОВАТЕЛЬ ЧАСТОТЫ, РЕГУЛИРОВАНИЕ, МАТЕМАТИЧЕСКАЯ МОДЕЛЬ, АНАЛИЗ.

В данной дипломной работе производится выбор основного силового оборудования системы электропривода. Описываются технологии процесса и технологические требования предъявляемые к электроприводу магистральных насосов. Производится расчет мощности и выбор системы электропривода, а так же анализ динамических процессов разработанной разомкнутой системы электропривода.

В тексте использованы следующие сокращения:

ЛПДС - линейная производственно-диспетчерская станция;

ЧРЭП - частотно-регулируемый электропривод;

МНПП - магистральная нефтеперекачивающая подстанция;

МТ - магистральный трубопровод;

ПС - перекачивающая станция;

НПС - нефтеперекачивающая станция

НПП - нефтеперекачивающая подстанция;

СОДЕРЖАНИЕ

ВВЕДЕНИЕ

1 ВЫБОР ОСНОВНОГО ТЕХНОЛОГИЧЕСКОГО ОБОРУДОВАНИЯ

1.1 Описание технологического процесса

1.2 Технологические требования, предъявляемые к электроприводу магистральных насосов НПС

1.3 Качественный выбор системы электропривода

1.3.1 Качественный выбор электродвигателя

1.3.2 Качественный выбор преобразователя энергии

1.4 Расчет мощности электродвигателя

2. РАСЧЕТ И АНАЛИЗ ДИНАМИЧЕСКИХ ПРОЦЕССОВ РАЗОМКНУТОЙ СИСТЕМЫ ЭЛЕКТРОПРИВОДА

2.1 Математическое описание системы электропривода

2.2 Анализ динамики работы системы электропривода

ЗАКЛЮЧЕНИЕ

СПИСОК ИСПОЛЬЗОВАННЫХ ИСТОЧНИКОВ

ВВЕДЕНИЕ

Трубопроводный транспорт в нашей стране получил интенсивное развитие во второй половине 20 столетия и в настоящее время по удельному весу и объему грузопотоков неуклонно вытесняет водный и железнодорожный транспорт. Преимущества трубопроводного транспорта это:

дальность перекачки, высокая ритмичность, практически бесперебойная работа в течение всего года с различной пропускной способностью и минимальными потерями;

возможность перекачки нефти и нефтепродуктов с вязкостью в довольно широких пределах;

возможность работы в различных климатических условиях;

возможность прокладки трубопроводов на большие расстояния и в любых регионах;

высокий уровень механизации строительно-монтажных работ при строительстве трубопроводов;

возможность внедрения автоматизированных систем управления всеми основными технологическими процессами.

Именно эти преимущества позволяют с развитием сети трубопроводного транспорта стабильно снижать стоимость транспортирования нефти, нефтепродуктов и газа и послужили развитию трубопроводного транспорта.

Развитию сети трубопроводного транспорта послужило освоение новых месторождений и обстоятельства, связанные с удаленностью месторождений от мест переработки и потребления нефти и газа. Выросли не только объемы перекачек, но и длина трубопроводов, их диаметр, мощность и рабочее давление перекачивающего оборудования и деталей трубопроводов. В настоящее время почти вся добываемая нефть и природный газ транспортируются по магистральным трубопроводам, а так же большая часть продуктов их нефтепереработки.

Целью дипломной работы является моделирование системы поддержания давления в нефтепроводе, а именно разработка разомкнутой системы электропривода главных магистральных насосов НПС.

1. ВЫБОР ОСНОВНОГО ТЕХНОЛОГИЧЕСКОГО ОБОРУДОВАНИЯ

.1 Описание технологического процесса

Магистральные трубопроводы (МТ) - это капитальные инженер­ные сооружения, рассчитанные на длительный срок эксплуатации и предна­значенные для бесперебойной транспортировки на значительные расстояния нефтепродуктов от мест их добычи, забора (начальная точка трубопровода) к местам потребления (конечная точка).

В состав магистральных трубопроводов для транспортировки нефтепродуктов на дальние расстояния входят [1]:

нефтеперекачивающие станции (НПС);

резервуарный парк для хранения нефтепродуктов;

линейная часть трубопровода с ответвлениями и лупингами,

запорной арматурой, переходами через естественные и искусственные препятствия, узлами подключения НПС и т.д.;

линии электропередачи, установки электрохимической защиты (ЭХЗ);

противопожарные средства, противоэрозионные и защитные сооружения трубопроводов;

постоянные дороги и вертолетные площадки, расположенные вдоль трассы трубопровода, и подъезды к ним, опознавательные и сигнальные знаки и т. д.

НПС - это сложный комплекс инженерных сооружений, предназначенных для обеспечения перекачки заданного количе­ства нефти или нефтепродуктов. НПС магистральных трубопро­водов подразделяют на головные и промежуточные.

Головная НПС располагается вблизи нефтяных сборных про­мыслов или нефтеперерабатывающих заводов и предназначается для приема нефти или нефтепродуктов и для обеспечения их дальнейшей перекачки по трубопроводу.

Головные НПС являются наиболее ответственной частью всего комплекса магистрального трубопровода и во многом определяют его работу в целом [1]. На них выполняют следующие основ­ные технологические операции: прием и учет нефти или нефте­продуктов, закачку их в резервуарный парк для краткосрочного хранения, откачку нефти или нефтепродуктов в трубопровод; прием, запуск очистных, разделительных и диагностических уст­ройств. Кроме того, производят внутристанционные перекачки (перекачку из резервуара в резервуар, перекачку при зачистке ре­зервуаров и т. д.). На головных станциях можно производить под­качку нефти или нефтепродуктов с других источников поступле­ния, например с других трубопроводов.

Промежуточные НПС предназначены для повышения давле­ния перекачиваемой жидкости в трубопроводе, и их размещают по трассе согласно гидравлическому расчету. Они имеют в своем составе в основном те же объекты, что головные перекачивающие станции, но вместимость их резервуаров значительно ниже, либо они отсутствуют (в зависимости от принятой схемы перекачки).

ПС магистрального нефтепровода относятся к сложным и энергоемким объектам. Доля затрат энергии на перекачку составляет порядка 25 - 30% от годовых эксплуатационных расходов. При отсутствии перекачивающих агрегатов с регулируемой частотой вращения ротора насоса эксплуатация нефтепровода может происходить на различных режимах, смена которых происходит при изменении вариантов включения насосов и перекачивающих станций.

Линейная производственно-диспетчерская станция «Демьянское» входит в состав Тобольского управления магистральных нефтепроводов ОАО «Сибнефтепровод», находится на землях Уватского лесхоза, Уватского района Тюменской области, на правом берегу р.Иртыш, в 2-х километрах северо-восточнее села Демьянское, занимает площадь 17,45 га [2].

В состав ЛПДС «Демьянское» входят четыре нефтеперекачивающие станции (НПС I, II, III, IV), 308 км магистральных нефтепроводов (Усть-Балык-Курган-Уфа-Альметьевск, Нижневартовск-Курган-Куйбышев, Усть-Балык-Омск, Сургут-Горький-Полоцк) и два резервуара по 20000 м³.

В дипломной работе рассмотрена НПС-III, которая построена в 1978 г. на нефтепроводе Нижневартовск-Курган-Куйбышев диаметром 1220 мм, оснащена четырьмя насосами. Работа НПС-III предусмотрена в режиме промежуточной насосной станции. За НПС-III закреплена линейная часть магистральных нефтепроводов общей протяженностью 76 км. В составе НПС-III имеются два резервуара объемом по 20000 м³ каждый для приема нефти с Кальчинского месторождения. Резервуары могут работать с любой нефтеперекачивающей станции.

Трассы нефтепроводов проходят по землям Уватского лесхоза. На своем пути нефтепроводы пересекают пять небольших рек Иртыш, Демьянка, Бобровка, Могучаковка, Зимняя. Кроме водных переходов нефтепроводы пересекают автомобильную дорогу с твердым покрытием Тобольск-Южный Балык, линии электропередач и линии связи.

Технологическая схема насосной станции представлена на рис. 1.1 [2].

электропривод насос силовой оборудование

Рис. 1.1. Технологическая схема насосной станции

Изменение количества работающих насосов. Этот метод применяется при необходимости изменения расхода в нефте­проводе. Однако результат зависит не только от схемы соединения насосов, но и вида характеристики трубопровода (рис. 1.2).

Рис. 1.2. Совмещенная характеристика трубопровода и ПС при регулировании изменением числа и схемы включения насосов: 1 - гидравлическая характеристика насоса; 2 - напорная характеристика ПС при последовательном соединении насосов; 3 - напорная характеристика ПС при параллельном соединении насосов; 4, 5 - гидравлическая характеристика трубопровода; 6 - η-Q характеристика насоса при последовательном соединении; 7 - η-Q характеристика насоса при параллельном соединении

Рассмотрим в качестве примера параллельное и последовательное соединение двух одинаковых центробежных насосов при работе их на трубопровод с различным гидравлическим сопротивлением.

Как видно из графических построений (рис. 1.2), последовательное соединение насосов целесообразно при работе на трубопровод с крутой характеристикой. При этом насосы работают с большей, чем при параллельном соединении, подачей (QB>QC), a также с более высоким суммарным напором и коэффициентом полезного действия. Параллельное соединение насосов более предпочтительно при работе на трубопровод с пологой характеристикой (QF>QE, HF>HE, ηFE) [3].

Так же применяется метод дросселирования, хотя и не является экономичным [3]. Он основан на частичном перекрытии потока нефти, на выходе из насосной станции, то есть на введении дополнительного гидравлического сопротивления. При этом рабочая точка из положения А1, смещается в сторону уменьшения расхода в точку А2 (рис. 1.3).

Рис. 1.3. Совмещенная характеристика ПС и трубопровода при регулировании дросселированием

Целесообразность применения метода можно характеризовать величиной к.п.д. дросселирования ηдр.:


где hдр.- дросселируемый напор.

С увеличением значения дросселируемого напора hдро значение ηдр. уменьшается. Полный к. п. д. насоса (ПС) определяется выражением:

,        (1.2)

где η2 - к.п.д. насоса после дросселирования.

Метод дросселирования уместно применять для насосов, имеющих пологую напорную характеристику. При этом потери энергии на дросселирование не должны превышать 2% энергозатрат на перекачку.

Более прогрессивным и экономичным методом регулирования является изменение частоты вращения вала насоса. Изменение частоты вращения вала насоса. Это прогрессивный и экономичный метод регулирования [3]. Применение плавного регулирования частоты вращения роторов насосов на ПС магистральных нефтепроводов облегчает синхронизацию работы станций, позволяет полностью исключить обточку рабочих колес, применение сменных роторов, а также избежать гидравлических ударов в нефтепроводе. При этом сокращается время запуска и остановки насосных агрегатов.

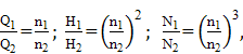
Метод изменения частоты вращения основан на теории подобия

,        (1.3)

где Q1,H1 и N2 - подача, напор и потребляемая мощность, соответствующая частоте вращения рабочего колеса n1;

Q2, H2 и N2 - то же при частоте вращения рабочего колеса n2.

При уменьшении частоты вращения характеристика насоса изменится и рабочая точка сместится из положения А1 в А2 (рис. 1.4).

Рис. 1.4. Совмещенная характеристика нефтепровода и насоса при изменении частоты вращения вала

В соответствии с (1.1) при пересчете характеристик насоса с частоты вращения n1, на частоту n2, получим следующие соотношения:

.         (1.4)

Изменение частоты вращения вала насоса возможно в следующих случаях:

применение двигателей с изменяемой частотой вращения;

установка на валу насосов муфт с регулируемым коэффициентом
проскальзывания (гидравлических или электромагнитных);

применение преобразователей частоты тока при одновременном
изменении напряжения питания электродвигателей.

Следует отметить, что изменять частоту вращения в широких пределах нельзя, так как при этом существенно уменьшается КПД насосов.

Из выше перечисленных методов регулирования, метод дросслерования имеет такие преимущества как:

-   минимальные капитальные затраты при монтаже;

-   поддержание постоянства характеристик при различных нагрузках.

Но при имеет ряд недостатков:

-   количество потребляемой из сети электроэнергии остается постоянным, и в процессе регулирования значительная ее часть рассеивается в виде потерь;

-   регулирование скорости производится только вниз от основной;

-   появление гидравлических ударов и т.д.

Изменение частоты вращения вала насоса имеет такие недостатки:

-   капитальные затраты при монтаже;

-   Незначительные гармонические колебания.

И в тоже время имеет ряд существенных преимуществ:

-   плавное регулирование скорости вверх и вниз от основной;

-   плавный пуск электродвигателя;

-   потребление электроэнергии зависит от скорости вращения вала;

-   малые потери в процессе регулирования;

-   насоса может работать с максимальной производительностью;

-   При выходе из строя ПЧ сохраняется возможность прямых пусков электродвигателей.

1.2 Технологические требования, предъявляемые к электроприводу магистральных насосов НПС

Исходя из вышеописанной технологии работы НПС можно сформулировать следующие требования, предъявляемые к электроприводу насоса:

обеспечить постоянство подачи;

обеспечить необходимое регулирование скорости ;

обеспечить пожаро- и взрывобезопасность электропривода;

ограничить уровень давления на выходе насосного агрегата;

в связи с большой мощностью приводных электродвигателей, необходимо ограничить пусковые токи двигателей, исключить глубокое понижение напряжения при их пуске;

привод нереверсивный;

двигатель должен иметь возможность работы в продолжительном режиме.

1.3 Качественный выбор системы электропривода

.3.1 Качественный выбор электродвигателя

Наиболее распространены магнитоэлектрические двигатели, которые по типу потребляемой энергии подразделяется на:

двигатели постоянного тока;

синхронные электродвигатели;

асинхронные электродвигатели.

Двигатель постоянного тока - электрический двигатель, питание которого осуществляется постоянным током. Данный вид двигателей имеет щеточно-коллекторный узел.

Щёточно-коллекторный узел обеспечивает электрическое соединение цепей вращающейся и неподвижной части машины и является наиболее ненадежным и сложным в обслуживании конструктивным элементом, а так же является менее взрывобезопасным, так как есть возможность искрения.

Синхронный электродвигатель - электродвигатель переменного тока, ротор которого вращается синхронно с магнитным полем питающего напряжения. Данные двигатели обычно используются при больших мощностях (от сотен киловатт и выше).

Но с точки зрения бесперебойной передачи Синхронная машина устроена сложнее, чем асинхронная. Так же синхронный двигатель может выйти из синхронизма, если нагрузка превысит некоторое допустимое значение и двигатель остановится. А так как асинхронный пуск синхронных двигателей несколько сложнее пуска асинхронных двигателей с короткозамкнутым ротором, то данный тип двигателей нам не подходит.

Асинхронный электродвигатель - электродвигатель переменного тока, в котором частота вращения ротора отличается от частоты вращающего магнитного поля, создаваемого питающим напряжением. Эти двигатели наиболее распространены в настоящее время. Преимущества асинхронных электродвигателей с короткозамкнутым ротором следующие: приблизительно постоянная скорость при разных нагрузках; возможность кратковременных механических перегрузок; простота конструкции; простота пуска и легкость его автоматизации.

Исходя из всего выше описанного для привода насосных агрегатов выбираем асинхронный электродвигатель.

1.3.2 Качественный выбор преобразователя энергии

Частотный преобразователь служит для плавного регулирования скорости асинхронного электродвигателя или синхронного двигателя за счет создания на выходе преобразователя электрического напряжения заданной частоты[4].

В настоящее время применяются преобразователи частоты трех типов:

-   с непосредственной связью (НПЧ);

-   с промежуточным звеном постоянного тока с автономным инвертором напряжения (ПЧИН);

-   с промежуточным звеном постоянного тока с автономным инвертором тока (ПЧИТ).

Основным недостатком НПЧ является то, что при частоте напряжения сети 50 Гц максимальная частота его выходного напряжения составляет 25 Гц, а при дальнейшем её увеличении происходит ухудшение формы выходного напряжения. Это значит, что данный преобразователь частоты не подходит по техническим характеристикам.

Недостатком преобразователя частоты с автономным инвертором тока является то, что в при изменение нагрузки выходной сигнал остается постоянным, а номинальные параметры изменяют свои значения. В то время как преобразователи частоты с автономным инвертором напряжения при изменении нагрузки выходные параметры и сигналы системы устойчивы.

Исходя из всего выше описанного для регулирования частоты вращения электропривода выбираем преобразователь с автономным инвертором напряжения (ПЧИН).

1.4 Расчет мощности электродвигателя

При выборе электродвигателя для работы в продолжительном с неизменной или мало меняющейся нагрузкой режиме необходимо знать мощность, потребляемую механизмом.

Если эта мощность неизвестна, ее определяют расчетами по эмпирическим формулам с использованием коэффициентов, полученных из многочисленных опытов.


    (1.5)


где kз - коэффициент запаса, принимаемый 1,1-1,3 в зависимости от мощности электродвигателя;

Q - подача (производительность) насоса, м³/с;

Н - давление на выходе насоса, Па;

ηвент - КПД насоса (для поршневого 0,7-0,9; для центробежного с давлением свыше 0,4×105 Па 0,6-0,75, с давлением до 0,4×105 Па 0,45-0,6).

При известной мощности механизма мощность электродвигателя выбирается по каталогу с учетом КПД промежуточной передачи.

Номинальная мощность электродвигателя, принятого по каталогу, должна быть равна или несколько больше расчетной.

Выбранный электродвигатель не нуждается в проверке по нагреву, так как режим его работы продолжительный и нагрузка [5].

Мощность (кВт) электродвигателя для насоса определяется по формуле [6]:

,   (1.6)

где Q [м3/с] - производительность насоса,

Н [Па] - давление на выходе насоса;

ηвент, ηпер - КПД насоса и передаточного механизма соответственно;з - коэффициент запаса.

В соответствии заданием и формулой (1.5) мощность электродвигателя равна:


При заниженной скорости создаваемый насосом напор может оказаться недостаточным, и насос не будет перекачивать жидкость.

Ближайшим по мощности является Асинхронные трехфазные взрывозащищённые двигатели серии 4АРМП-8000/10000 УХЛ4 имеющий характеристики [7] приведённые в табл. 1.1.

Таблица 1.1

Номинальные данные выбранного двигателя

На именование параметра;  единица измерения

Обозначение параметров

Численное значение

Мощность, кВт

Pн

8000

Напряжение, В

Uн

10000

Номинальная  Частота вращения, об/мин

nн

2985

КПД, %

97,7


Масса, кг

m

14650

Коэффициент мощности

cosφ

0.9

Ток статора. А

I

525

Скольжение, %

sн

0.5

Перегрузочная способность

λ

2.2

Коэффициент кратности пускового тока АД

Ki

5.8

Кратность начального пускового вращающего момента, о.е.


0.8


Данный электродвигатель необходимо проверить на перегрузочную способность, которая должна соответствовать условию (1.7):

.      (1.7)

Для этого определяется максимальный момент (Мmax) по формуле:

,  (1.8)

где Мс- статический момент электродвигателя;

Мдин- динамический момент.

Для определения максимального момента произведем алгебраически преобразования.

В соответствии с [4] статический момент электродвигателя является вентиляторным.

Определим статический момент по формуле:

   (1.9)

Для определения статической скорости произведем алгебраическое преобразование формул (1.8) и (1.9)

,         (1.10)

Из формулы (1.9) выражаем статический момент:

,  (1.11)

Исходя из данных преобразований подставим полученное выражение из (1.12) в (1.9) и получим выражение:

,        (1.12)


,         (1.13)

где nн- номинальная частота вращения двигателя.

,

Преобразуем формулу (1.12), подставим полученные значения из (1.13) и найдем статическую скорость:

, (1.14)

,

Рассчитаем номинальный момент по формуле:

, (1.15)

,


Когда стал известен статический момент, рассчитаем допустимый момент по формуле:

,        (1.16)

где λ- перегрузочная способность двигателя.

Так как режим работы продолжительный с постоянной нагрузкой, то

и

Подставим полученные значения в неравенство (1.6)

,      

.

Условие перегрузочной способности электродвигателя выполняется, это значит, что электродвигатель может развить вращающий момент значительно превышающий момент при его нормальной нагрузке.

Для описанного выше электродвигателя выбираем преобразователь частоты фирмы «Энергокомплект» высоковольтный преобразователь частоты EK-AV6 УХЛ4. Преобразователь частоты (ПЧ) EK-AV6 УХЛ4, предназначен для обеспечения эффективного регулирования скорости высоковольтных двигателей переменного тока с напряжением статора 3, 6, 10 кВ. ПЧ реализован на силовых IGBT-транзисторах с ШИМ [8]. EK-AV6 УХЛ4 не требует установки дополнительного оборудования для снижения негативных последствий преобразования энергии. Принципиальная схема преобразователя частоты с электроприводом приведена на рис.1.5AV6 УХЛ4 выполняется с полностью цифровым управлением, может применяться в автоматизированном производстве, управляться и контролироваться системой управления верхнего уровня.

ПЧ EK-AV6 УХЛ4 обладает следующими преимуществами:

-   плавное регулирование скорости в широком диапазоне;

-   плавный пуск и плавный останов двигателя;

-   высокую точность поддержания технологического параметра;

-   легкость перенастройки параметров под конкретные условия эксплуатации;

При использовании преобразователей частоты EK-AV6 УХЛ4:

-   отсутствуют значительные гармонические помехи в питающей сети;

-   не нужны силовые фильтры в цепи ПЧ АД;

-   длина кабелей от ПЧ к двигателю может достигать 2 км;

-   коэффициент полезного действия составляет не менее 0,97 при частоте вращения близкой к номинальной;

-   возможно динамическое торможение двигателя (подача постоянного тока в статор) и выбегом;

-   не требуется подбор специальных двигателей с повышенным классом изоляции, нагрев двигателя не выходит за рамки обычного;

-   возможно восстановление работоспособности ПЧ в короткий срок без использования специального инструмента (замена ячейки возможна менее чем за 30 минут).

Характеристики преобразователя частоты приведены в табл. 1.2.

Номинальные данные выбранного преобразователя частоты:

Таблица 1.2

На именование параметра;  единица измерения

Обозначение параметров

Численное значение

Мощность, кВт

Pн

8500

Напряжение, В

Uн

10000

Номинальный ток; А

Iн

578

Напряжение в ячейке; кВ

Uя

690

Мощность ячейки; кВт

Ря

578

Количество ячеек


24

Мощность трансформатора; кВА

Ртр

5000(2)

Масса; кг

m

41000


Принципиальная схема силовых цепей ПЧ изображена на рис.15.

Рис.1.5. Упрощенная принципиальная схема системы ПЧ-АД

Конструктивно EK-AV6 УХЛ4 состоит из отдельных шкафов, каждый из которых включает в себя пять силовых ячеек, охлаждение воздушное принудительное либо водяное. Система управления ПЧ установлена в отдельном шкафу управления и связана с ячейками по волоконно-оптическому каналу.

Обладает полностью модульной структурой. Поврежденный модуль может быть легко и быстро заменен. Вышедшая из строя ячейка автоматически отключается без вмешательства оператора, при этом отдаваемая мощность привода падает на 10% (для ПЧ на 6 кВ).

Силовые модули имеют повышенную надежность, так как в цепи постоянного тока используются полипропиленовые конденсаторы, которые имеют 100000 часов наработку на отказ (10-12 лет, при этом электролитические конденсаторы рассчитаны на 5-7 лет работы).

Каждая силовая ячейка имеет три датчика температуры, которые выводят информацию о температуре всех модулей в реальном масштабе времени и отключают любой из них при превышении рабочей температуры выше установленной, а также оптимизируют работу системы охлаждения, тем самым, продлевая ресурс вентиляторов. Таким образом, любой из модулей может быть исключен из общего ряда формирования фазного напряжения с понижением нагрузки привода не более 10%. Информация о токах, напряжениях, формируемой мощности ячейки и данные о температуре передаются контроллером управления модуля по оптоволоконному кабелю в шкаф управления.

Система управления EK-AV6 УХЛ4 размещается в отдельном шкафу и на основании сигналов получаемых от силовых ячеек, реализует алгоритм управления двигателем, алгоритм управления силовыми ячейками (включая равномерное распределение мощности) и необходимые защиты силового трансформатора и ЧРП в целом. В шкафу управления одновременно формируются управляющие сигналы на все IGBT-ключи всех 15 силовых модулей, и обрабатывается информация от каждой ячейки в объеме более 120 сигналов одновременно.

Вся информация подробно выводится на сенсорную панель, при этом в системе управления полностью отсутствуют подстроечные резисторы и конденсаторы, что повышает ее надежность.

Применение сенсорной панели позволяет существенно уменьшить количество органов управления на шкафу управления и сделать работу с изделием удобной и доступной. Сенсорная панель позволяет осуществлять многоуровневый доступ для оперативных служб и инженерного состава, таким образом, обеспечивается надежность в работе и удобство в обслуживании ЧРП, что существенно снижает требования к квалификации обсуживающего персонала.

Сенсорная панель (6 дюймов) имеет меню оператора на 15 экранов, посредством которого можно оперативно войти в любой узел EK-AV6 УХЛ4 и получить значения характеристик в реальном масштабе времени. Система управления имеет журнал на 50 событий, каждое из которых фиксирует более 80 параметров состояния системы на аварийный момент (токи, напряжения, мощность активную/реактивную, положения дискретных входов/выходов, значения коэффициентов и т.д.).

Применение микропроцессорной системы управления с сенсорной панелью и оптоволоконной связью, а так же применение силовых модулей низкого напряжения позволяет изготовить ЧРП соответствующее высокому техническому уровню, обеспечить повышенную надежность и удобное обслуживание.

Компания выполняет шеф-монтаж, наладку оборудования, гарантийное и послегарантийное обслуживание, обучение обслуживающего персонала, технические консультации по выбору оборудования. Поставка оборудования осуществляется в сроки до 6-ти месяцев с момента заключения договора и предоплаты.

2. РАСЧЕТ И АНАЛИЗ ДИНАМИЧЕСКИХ ПРОЦЕССОВ РАЗОМКНУТОЙ СИСТЕМЫ ЭЛЕКТРОПРИВОДА

2.1 Математическое описание системы электропривода

Переходным процессом называется режим работы электродвигателя при переходе из одного установившегося состояния в другое, сопровождающееся изменением его тока, момента, частоты.

При этом уравнение равновесия имеет вид [5]:

,        (2.1)

При математическом описании пренебрегаем электромагнитной постоянной времени и считать переходные процессы электромеханическими, так как при питании от преобразователя частоты асинхронный электродвигатель работает исключительно на прямолинейных участках механических характеристик.

Так как в системе ПЧ-АД электродвигатель работает только при скольжениях, меньших критического, то является целесообразным использовать математическое описание прямолинейного участка характеристики, которое можно представить следующим образом:

,       (2.2)

где w он - скорость идеального холостого хода при частоте f, равной номинальной частоте fн;

- относительная частота напряжения питания;

Dw - статическое падение скорости.

Так как на рабочем участке механические характеристики двигателя в системе ПЧ-АД параллельны, то при данном Мс статическое падение скорости является величиной постоянной, то есть (2.2) можно представить в виде:

,   (2.3)

где К - коэффициент пропорциональности между М и Dw.

Этот коэффициент можно определить, исходя из следующих соображений: он является постоянным для любой точки характеристики, в том числе и для точки номинального режима на естественной характеристике, то есть из (2.3) можно записать

,          (2.4)

Из (2.4) после алгебраических преобразований получаем:

,        (2.5)

Подставляем в (2.3) вместо К его значение из (2.5) и после алгебраических преобразований получаем математическое описание момента двигателя на линейных участках механических характеристик:

,      (2.6)

Дальнейшее математическое описание целесообразно вести в относительных единицах (здесь относительные величины обозначаются значком *); в качестве базовых используются: Мн, wон, fн.

Тогда (3.6) принимает вид:

,     (2.7)

Из уравнения движения электропривода получаем:

,     (2.8)

где - электромеханическая постоянная времени;

Мкн - критический момент на характеристике при f = fн.

Представим (2.8) в относительных единицах:

,   (2.9)

Причем закон совместного изменения частоты и напряжения преобразователя выбирается именно из условия получения постоянной перегрузочной способности при любой форме зависимомти от скорости момента статического, то есть для всех реально возможных режимов эта величина остается неизменной.

Следовательно (2.9) можно записать:

,         (2.10)

Определим из (2.10) и представим полученное уравнение в (2,12) в операторной форме:

,     (2.11)

,         (2.12)

На основании (2.11), (2.12) построена структурная схема асинхронной машины при ее работе на прямолинейных участках механических характеристик, приведенная на рис.2.1

Рис. 2.1. Структурная схема асинхронной машины

Как указывалось ранее, преобразователь частоты состоит из выпрямителя и инвертора, соединенных последовательно.

Если, согласно [5], представить их апериодическими звеньями с постоянными времени Тв и Ти соответственно, то передаточная функция Wп(p) преобразователя имеет вид:

,      (2.13)

где Кп - коэффициент усиления ПЧ.

После алгебраических преобразований (2.13) можно записать

,    (2.14)

Как указывалось выше, постоянная времени выпрямителя Тв = 0,01с, а величина постоянной времени инвертора определяется его конструкцией.

Если инвертор построен на базе тиристорных ключей, то его постоянная времени Ти = 0,01, если на базе транзисторов, то его можно считать безъинерционным звеном с постоянной времени равной нулю. Если Ти = 0,01, то TвTи = 0,0001с. Этой величиной можно пренебречь и тогда

,    (2.15)

Следовательно,

,    (2.16)

Представим (2.16) в относительных единицах, где базовым значением Uз является Uзн, при котором на выходе преобразователя имеется напряжение с частотой fн, равной номинальной. Имея в виду, что в установившемся режиме Uзн Кп = fн, получаем:

,       (2.17)

На основании (2.17) с учетом схемы рис. 2.1 строится структурная схема разомкнутой системы ПЧ-АД, приведенная на рис. 2.2

Рис. 2.2. Структурная схема системы ПЧ-АД

2.2 Анализ динамики работы системы электропривода

Рассчитаем основные элементы структурной схемы, изображенной на рис. 2.2.

Тв - постоянная времени выпрямителя, Тв=0,01 с.

Ти - постоянная времени инвертора, определяемая его конструкцией.

Так как в используемом ПЧ инвертор построен на тиристорах, то Ти=0,01 с.

Тм- электромеханическая постоянная времени,

         (3.5)

При этом

,

где

Тогда


Далее производим построение функциональной схемы в программном пакете MATLAB Simulink, подставляя рассчитанные числовые значения.

Блок-схема программы, для осуществления плавного пуска с последующими режимами сброса и наброса нагрузки, имеет схему представленную на рис. 2.3.

Рис. 2.3. Функциональная схема разомкнутой системы ПЧ-АД, для осуществления плавного пуска, в пакете MATLAB Simulink

В блоке «Задатчик Напряжения» формируется напряжение от нуля 1. Блок ПЧ задерживает сигнал напряжения задания перед асинхронной машиной. Блок «Механизм» позволяет плавно регулировать параметры асинхронной машины. «Блок вычисления давления» показывает зависимость скорости от плотности перекачиваемых нефтепродуктов.

Построим в полученной системе кривые переходных процессов для плавного пуска электродвигателя с последующими режимами сброса и наброса нагрузки представленные на рис. 2.4.

Рис. 2.4. Кривые переходного процесса сброса и наброса нагрузки

На данном графике видно, что пуск двигателя составляет 28 сек., переходный процесс сброса нагрузки (открытие задвижки) составляет 5 сек., далее идет установившийся режим, а затем начинается переходный процесс наброса нагрузки (закрытие задвижки) который составляет 5 сек.

Мдин непостоянен в следствии чего происходит неравномерное увеличение скорости, что может привести к гидравлическим ударам.

Величина перерегулирования по моментум составляет 120%.

ЗАКЛЮЧЕНИЕ

В дипломной работе рассмотрены:

-   технологические процессы на магистральном нефтепроводе;

-   произведен анализ способов регулирования режимов работы МНПП и выделены недостатки и достоинства тех или иных способов регулирования;

-   приведены технологические требования, предъявляемые к системе электропривода, осуществлён качественный выбор системы электропривода;

-   для регулирования частоты вращения рассмотрены различные преобразователи частоты, проанализированы их достоинства и недостатки и выбран наиболее оптимальный;

-   рассчитаны и проанализированы динамические процессы разработанной разомкнутой системы электропривода;

-   установлена возможность замены нерегулируемого электропривода центробежного насоса частотно регулируемым;

Разработанная система электропривода не в полной мере соответствует предъявляемым технологическим требованиям, а именно:

-   невозможность поддержания постоянного давления при изменении нагрузки,

-   на графиках переходных процессов наблюдаем непостоянство динамического момента, вследствие чего возможны гидравлические удары.

Данные недостатки можно устранить применением замкнутой системы электропривода.

СПИСОК ИСПОЛЬЗОВАННЫХ ИСТОЧНИКОВ

1. <http://www.12821-80.ru/tech/88-Truboprovodnyj_transport_nefti_gaza> -описание структуры и работы НПС.

. Электронная документация ЛПДС «Демьянское».

.www.ogbus.ru/authors/Ahmadullin/Ahmadullin_1.pdf <http://www.ogbus.ru/authors/Ahmadullin/Ahmadullin_1.pdf> - Описание методов регулирования режима работы нефтепровода.

.<http://www.elektro-privod.ru/> - обзор электрооборудования, преобразователей частоты, устройств плавного пуска, и др.

. Лысова О.А., Ведерников В.А. Общий курс электропривода. Учебное пособие.- Тюмень: ТюмГНГУ 2007. - 146 с.

.<http://www.gu-sta.ru/index.php?doc=raschet_mowel> - методика расчета мощности электродвигателя при неизменяющейся нагрузке.

.<http://www.online-electric.ru//-> технические данные электродвигателей.

.<http://www.energocomplekt.ru/-> технические данные ЧРЭП.

9. Кудрявцев А.В., Ладыгин А.Н. Современные преобразователи частоты в электроприводе // Приводная техника. - 1998. - № 3. - С. 21-28.

10. Алиев Р.А., Белоусов В.Д., Немудров А.Г. Трубопроводный транспорт нефти и газа. - М.: Недра, 1988, 368 С

. Меньшов Б.Г., Ершов М.С., Яризов А.Д. Электротехнические установки и комплексы в нефтегазовой промышленности.- М.: Недра, 2000.- 486 с.

. Сокол Е.И., Бару А.Ю., Лукпанов Ш.К. Опыт разработки и внедрения преобразователей частоты для регулируемого электропривода насосных агрегатов МН// Электротехника - 2005 - №7.

Похожие работы на - Моделирование системы поддержания давления в нефтепроводе

 

Не нашли материал для своей работы?
Поможем написать уникальную работу
Без плагиата!
Без нейросетей!