Водопроводно-очистная станция
МИНИСТЕРСТВО
ОБРАЗОВАНИЯ РЕСПУБЛИКА ТАДЖИКИСТАН
ТАДЖИКСКИЙ
ТЕХНИЧЕСКИЙ УНИВЕРСИТЕТ
им.
академик М.С. ОСИМИ
КАФЕДРА:
ВОДОСНАБЖЕНИЕ И ВОДООТВЕДЕНИЯ
Курсовой
проект
на
тему: «Водопроводно-очистная станция»
Выполнил: студент 4-го курса
гр.2908 Б1
Раззоков Т.
Принял: ст.препод
Шарипов Ш.
ДУШАНБЕ
2011
Введение
Очистка воды природных источников позволяет резко сократить заболевание
людей многими болезнями.
Требования к качеству питьевой воды и ее санитарно-бактериологический
анализ являются основными исходными данными для проектирования очистных
сооружений. Качество питьевой воды должно удовлетворять ГОСТ 2874-82 «Питьевая
вода»
Очистная станция представляет собой объединенную систему сооружений, на
которых производится ряд последовательных операций по очистке воды.
Водоочистные станции рассчитываются на равномерную работу в течение суток.
Выбор состава основных сооружений водоочистной станции зависит от ее
производительности, количества взвешенных веществ в исходной воды и цветности
обрабатываемой воды.
Вода должна быть освобождена от избытка взвешенных веществ, которые
осаждаясь, засоряют охладительные устройства, не должна содержать сероводорода
и железа.
Определение производительности очистной станции
Водоочистные станции должны рассчитываться на равномерную работу в
течение суток. Производительность станции очистки воды составляет:
.c =
где
- коэффициент учитывающий расход воды на собственные нужды
станции (при сбросе осадка из отстойников или при продувке осветлителей, при
промывке скорых фильтров и т. д.) и равный 1,05-1,1;
-расход воды для суток максимального водопотребления;
- дополнительный расход воды на пополнение противопожарного
запаса;
( m
m1
1 = 3
3(3(70+5)+1(35+5) = 10,8(225+35)=2808
m - принятое число одновременных пожаров;
- расход воды на один пожар в л/сек;
- расчетная длительность пожара в ч;
Т-время пополнения пожарного запаса в ч..c =
=1,08
/сут
При проектировании реагентного хозяйства дозу коагулянта, вводимого для
обработки воды с высокой цветностью, можно ориентировочно определить из
выражения
=
мг/л
где Дк - доза коагулянта в расчете на безводный сернокислый алюминий в
мг/л
Ц - цветность обрабатываемой воды в градусах платинокобальтовой шкалы.
Следовательно, доза извести, необходимая для под щелачивания воды (считая
на СаО), составит
мг/л.
/сут=5751,4
/час=1,6л/сек
Определение размеров растворных и расходных баков для
коагулянта
Емкость растворного бака определяется по формуле
где Дк- максимальная доза коагулянта, считая по безводно му продукту, в
г/
- концентрация раствора коагулянта в растворном баке
принимаемая 10-12%, считая безводному продукту;
- объемный вес раствора коагулянта, принимаемый равным1 т/
;
- число часов, на которое заготавливается раствор
коагулянта.
Количество баков такое емкости должно быть не менее 2-х. Принимаем
4-растворных бака емкостью 15
каждый размер бака L=4 b=2.8 h=1.3
Емкость одного растворного бака будет
Емкость расходного бака определяется по формуле
где
- концентрация раствора коагулянта в расходном баке
Принимаем 2-расходных бака емкостью по 75
каждый размер L=5 b=5 h=3
Приготовление известкового молока
очистка вода коагулянт станция
Емкость бака для приготовления известкового молока определяется по
формуле
/час
где
- доза извести, необходимая для подщелачивания воды; раина
17,8 мг/л
-концентрация известкового молока (не более 5%).
Принимаем 4-бака прямоугольной в плане формы с раз мерами: ширина 6=3,3
м, длина /=5 м, высота 1,8 м (при высоте слоя известкового молока 1,5 м).
Мощность двигателя мешалки
Склад реагентов
Площадь склада для коагулянта определяется по формуле
где Q - полная производительность очистной станции в м3/сутки;
-расчетная доза коагулянта, устанавливаемая исходя из
максимальной потребности, в г/м3;
Т - продолжительность хранения коагулянта на складе в сутках;
- коэффициент, учитывающий дополнительную площадь для
проходовна окладе;
-содержание безводного продукта в коагулянте в %;
- допустимая высота слоя коагулянта на складе в м (для
сернокислого алюминия и железного купороса
=2м).
Расчет смесителей
Назначением смесителей является равномерное распределение реагентов в
массе обрабатываемой воды, что способствует более благоприятному протеканию
последующих реакций, происходящих уже в камерах хлопьеобразования. Смешивание
должно быть быстрым и осуществляться в течение 1- 2 мин.
Расчет вертикального (вихревого) смесителя
Центральный угол между наклонными стенками
должен составлять 30-45°.
Обрабатываемая вода по трубопроводу / подводится в нижнюю часть смесителя с
входной скоростью
-1,2 м/сек. Это создаёт турбулентное движение воды,
способствующее хорошему смешиванию с введенными в нее реагентами.
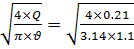
/сут где
-
количество смесителя
/час=0,21
/сек=211л/сек
Площадь горизонтального сечения в верхней части смесителя
м/сек D=
=
=2,86м D=500мм
0,5
Объем пирамидальной части смесителя
Полный объем смесителя
где
=1,5<2 мин - продолжительность смешиваний
Объем верхней части смесителя
Высота верхней части
88м
Полная высота смесителя
Вода, протекающая по лоткам в направлении бокового кармана, разделяется
на два параллельных потока. Поэтому рас четный расход каждого потока будет
/час
Площадь живого сечения сборного лотка. Скорость движения воды в лотке
=0,6 м/сек.
Камеры хлопьеобразования
Назначением камер хлопьеобразования является перемешивание воды для
обеспечения 'более полной агломерации мелких хлопьев коагулянта в крупные
хлопья. Установка камеры хлопьеобразования необходима (перед горизонтальными и
вертикальными отстойниками)
Расчет перегородчатые камеры хлопьеобразования
При применении горизонтальных отстойников рекомендуются перегородчатые
камеры хлопьеобразования. В таких камерах устраивается 'ряд перегородок,
заставляющих воду изменять направление своего движения либо в вертикальной,
либо в горизонтальной плоскости, что и обеспечивает необходимое перемешивание.
/сут=5751,375
/час
,4/2=2875,7
/час
Объем камеры
Объем камеры
В соответствии с высотной схемой очистной станции высота камеры
хлопьеобразования принята Н=2,6м.Тогда площадь камеры в плане= W :
Н=1198/2,6=342,3
.
Скорость движения воды в камере принимаем
=0,2 м/сек (по СНиП Н-Г. 3-62, п.
5.617,
=0,2-0,3 м/сек).
Площадь одной ячейки камеры
Число ячеек в камере n=F:f=342.3 : 4=85.6=8шт. В каждом ряду по ширине
камеры размещается по 8 ячеек, а по длине 11 ячеек.
Общее число поворотов m потока в камере:
Размеры каждой ячейки в плане: длина s=2 м; ширина b=2 Полная ширина
камеры хлопьеобразования B=8
м а длина камеры L=11
Действительная скорость движения воды в камере с учетом толщины
перегородок при фактической площади ячейки
м/сек
Потеря напора в камере
Расчет горизонтальных отстойников
В горизонтальном отстойнике различаются две зоны (рис. 2): зона осаждения
взвеси и зона накопления и уплотнения осадка. Средняя глубина зоны осаждения
принимается в пределах 2,5-3,5 м в зависимости от высотной схемы водоочистной
станции; глубина зоны накопления и уплотнения осадка зависит от средней
концентрации взвешенных веществ и продолжительности работы отстойника между
двумя очередными чистками
Рис. 1. Горизонтальный отстойник: I - вихревая камера хлопьеобразования;
2 - коридор отстойника; 3 - дырчатая перегородка; 4 - камера для всасывающих
труб насосов
/сут
/час=0,8л/сек
u=0.6мм/сек
L/H=20
/сек
где
- расчетный расход воды
- скорость выпадения взвеси, задерживаемой отстойником, в
мм/сек;
- коэффициент, учитывающий
взвешивающее влияние вертикальной составляющей скорости потока
Ширина одного отстойника
где
- расчетный часовой расход, приходящийся на все отстойники;
- расчетное число отстойников2;
- средняя глубина зоны осаждения.
Длина отстойника
где F - суммарная площадь всех отстойников в плане в
;
В - ширина отстойника в м.
Таким образом, рабочая площадь распределительной перегородки в каждом
коридоре отстойника шириной
=3 м
Расчетный расход воды для каждого из 12 коридоров
/час=0,066л/сек
Расчет скорых фильтров
Вода, поступающая для полного осветления на фильтры после выхода из
отстойников (или из осветлителей), должна содержать не более 8-12 мг1л взвешенных
веществ. После фильтрования мутность воды, предназначенной для питьевых целей,
не может превышать 2 мг/л (ГОСТ 2874-54).
Скорый безнапорный фильтр (рис. 3) представляет собой резервуар,
загруженный слоями песка и гравия, крупность которых возрастает сверху вниз.
Верхний слой толщиной 0,7 м называется фильтрующим слоем и состоит из чистого
кварцевого песка с диаметрами зерен 0,5-1,2 мм.
Рис. 3. Схема скорого фильтра с кварцевой загрузкой 1 - подвод
фильтруемой воды; 2 - дренажная система; 3 - трубопровод фильтрованной воды; 4
- выпуск промывной воды; 5 -желоба для распределения фильтруемой воды и для
отвода промывной; 6 - трубопровод для подвода промывной воды; 7 - отводящий
канал; 8 - боковой карман
/сут=5751,375
/час
Суммарная площадь скорых фильтров находится по формуле
Здесь Т - продолжительность работы станции в течение суток;
= 6 м/ч - расчетная скорость фильтрования при нормальном
режиме эксплуатации;
= 4- число промывок каждого фильтра за сутки;
= 12,5 л/сек
- интенсивность промывки (см. СНиП Н-Г. табл..22);
= 0,1 ч - продолжительность промывки;
= 0,33 ч - время простоя фильтра в связи с промывкой
Число фильтров должно быть=0,5
Площадь одно фильтра будет 11969/18=65
с размером 8,1
Скорость фильтрования при форсированном режиме
м/час
где
= 3 - число фильтров, находящихся в
ремонте.
Состав загрузки скорых фильтров. Загрузка фильтра принята по табл. 32 и
34. Высота фильтрующего слоя
= 700 мм с минимальным диаметром зерен 0,5 лм и максимальным
1,2 мм. Эквивалентный диаметр зерен d3 =0,7 мм, а коэффициент неоднородности
= 2.
Поддерживающие слои имеют высоту 700 мм и крупность зерен от 2 до 32мм
Интенсивность промывки принята
= 13 л/сек
(см. табл. 37). Тогда количество
промывной воды, необходимое для одного фильтра, будет
л/сек=0,84
/сек
Общие расход воды для промывки фильтров будет
л/сек=15,2
/сек
Площадь фильтра, приходящаяся на каждое ответвление распределительной
системы при расстоянии между ними m =0,25-0,35 м и наружном диаметре коллектора
мм составит
а расход промывной воды, поступающей через одно ответвление,
л/сек
В рассматриваемом случае суммарная площадь отверстий для одного фильтра
составит
При диаметре отверстия
мм площадь отверстия
1,54
. Следовательно, общее число отверстий
в распределительной системе каждого фильтра будет
При длине каждого ответвления
,835=3,8м
шаг оси отверстий на ответвлении будет е
Определение емкости РЧВ
где:
Wреч - регулирующий объем воды, разница между подачей НС I и НС II
подъема = 1438,78; Wmax - максимальный объем воды; Wпож - объем
воды на пожар; Wсн - объем воды на собственные нужды станции; Wнс1
- объем воды подаваемым с НС I подъема.
;
где:
qвн - внутренний расход воды на пожар;
;нар
- наружный расход воды на пожар;
;
, где % =
4 - 5;
, где % =
4,17.
Согласно
типового проекта 4 - 18 - 851 проектируем два ж/б прямоугольных резервуара из
сборных унифицированных конструкций заводского типа, с размерами в плане 4,8×24×18м.
Расчет хлораторной установки для дозирования жидкого хлора
Обеззараживание воды применяют с целью уничтожения имеющихся в ней
бактерий. Оно достигается обычно путем хлорирования воды жидким (газообразным)
хлором или раствором хлорной извести. Обеззараживание воды может быть также
достигнуто озонированием или действием на нее бактерицидных лучей,
представляющих часть ультрафиолетового спектра.
Дозы хлора. Доза хлора для обеззараживания воды назначается с таким
расчетом, чтобы обеспечить полное окисление содержащихся в воде органических
веществ. Кроме того, принятая доза хлора должна обеспечивать в точке
водопровода, наиболее близкой к насосной станции, наличие так называемого
остаточного хлора в количестве не менее 0,3 мг/л и не более 0,5 мг/л. Обычно
хлор вводится дважды: в нефильтрованную воду из поверхностного источника в
количестве до 3-5 мг/л и после фильтрования в количестве 0,75-2 мг/л.
Хлор смешивается с водой в трубопроводе или в шайбовом смесителе.
Минимальная продолжительность контакта хлора с водой от начала смешения до
поступления воды к ближайшим потребителям составляет 30 мин.
Расчета хлораторной установки для станции очистки питьевой воды
производительностью
/сут. Хлор вводится в два этапа. Расчетный часовой расход
хлора:
для предварительного хлорирования (
мг/л) будет
равен
для вторичного хлорирования (
мг/л)
равен
Общий расход хлора равен 28,75 кг/ч, или 690 кг/сутки. Это вызывает
необходимость в большом числе стальных баллонов для хлора:
где
кг/ч-съем хлора c одного баллона в нормальных условиях.
Таким образом, съема хлора с одной бочки будет
/час
Для обеспечения подачи хлора в расчетном количестве нужно иметь
2875:10,95=2,62=3 бочки.
Количество одновременно действующих расходных баллонов до
28,75/5=5,75=6шт
Всего за сутки -потребуется 690/55=12,5 =13 баллонов с жидким хлором.
Количество трехсуточного баллона 13*3=39 шт
Песковое хозяйство
Количество фильтров -18
каждый площадь 68,8
Высотой фильруюшего слоя 0,7 м
Песковая площадка с размером 50
30м (1500
) 40
10

Я выбрал скорые фильтр и на своем чертеже показывал что как вода проходят
и как он очищается в этом фильтре. По формуле
Список литературы
1. А.А.
Кастальский, Д.М. Минц «Подготовка воды для питьевого и промышленного
водоснабжения ». Высшая школа Москва1962 г.
2. СНиП
2.04.02-84 «Водоснабжения. Наружное сети и сооружения»
. В.Ф.
Кожинов «Очистка питьевой и технической воды». Пример и расчеты Москва 1971 г.
4. Монтаж
систем внутреннего водоснабжения и канализации. Справочник монтажника (под редакции
Перешивкина А.К.) Москва 1984 г.